Abstract
The degradation of Reactive Yellow 18 (RY-18), induced by gamma radiation in aqueous medium, was carried out as a function of gamma radiation dose (5–20 kGy) and concentration of hydrogen peroxide, the initial dye concentration and pH of the solution were optimized for the maximum degradation efficiency. Gamma radiations alone and in combination with H2O2 were used to degrade the RY-18. A degradation rate of 99% was achieved using an absorbed dose of 20 kGy, 0.6 mL H2O2 in acidic pH. Variations in the functional groups of untreated and treated RY-18 were determined by FTIR analysis. The LCMS technique was used to determine the intermediates formed during the degradation process. The cytotoxicity and mutagenicity of RY-18 were studied by hemolytic and Ames tests, respectively. There were significant reductions in cytotoxicity and mutagenicity in response to gamma radiation treatment. Cytotoxicity was reduced from 15.1% to 7.6% after treatment with a 20 kGy absorbed dose of gamma radiations with 0.6 mL H2O2. Mutagenicity was reduced by 81.3% and 82.3% against the bacterial strains TA98 and TA100 after treatment with a 20 kGy absorbed dose with 0.6 mL H2O2. The advanced oxidation process efficiency was evaluated using the byproduct formations, which were low-molecular-weight organic acid units, which through further oxidation were converted into carbon dioxide and water end products. Based on RY-18 degradation, cytotoxicity and mutagenicity reduction, the gamma radiation in combination with H2O2 has potential for the removal of dye from the effluents.
1. Introduction
Dye contamination is a major source of water pollution from the textile industries, which is increasing day by day due to advancements in the textile sector. Synthetic dyes are commonly used in various fields [1,2,3]. However, the excessive use of synthetic dyes causes serious environmental problems, because 12% of textile dyes are disposed of into water resources without applying detoxification and treatment processes. Almost 280,000 T/Y of all textile dyes are released into water sheds without treatment worldwide [4]. In industrial effluents, an average dye concentration of 300 mg/L has been reported [5].
According to dyeing applications, dyes can be classified into various categories, such as disperse, acidic, basic and reactive dyes. The most common class of synthetic dyes is reactive dyes, because these are soluble in water and are used to dye cotton fabrics [6]. In the dyeing process, reactive dyes form covalent bonds with cellulose fibers, which have hydroxyl groups for good fastness. Reactive dyes offer strong forces to anchor with fibers [7]. A wide range of reactive dye colors with low costs and good fastness properties are available, such as navies, black, bright shades, etc. [8]. According to the reactive groups present in reactive dyes, these can be classified as vinyl sulphone and triazinyl ring systems. They undergo addition reactions or substitution reactions to react with hydroxyl moieties present in cellulose fibers [9].
Chemical coagulation, catalytic reduction, biological treatment and adsorption are the common traditional methods to degrade dyes [10,11,12]. These methods are inappropriate for degradation processes because these produce some harmful byproducts that require separate treatment processes and cause environmental pollution [13,14]. On the other hand, advanced oxidation processes (AOPs) are successfully used to degrade dyes present in industrial wastewater [15]. The AOP uses strong oxidant-like hydroxyl species, which are produced in situ and start a reaction sequence to degrade the organic molecules into smaller inorganic moieties, which are harmless. AOPs include many techniques to degrade dyes, such as ozonation, Fenton and photo-Fenton processes, gamma radiations, photocatalysis, UV photolysis and sonolysis, etc. [16,17,18,19].
Different high-energy radiations are reported in the literature to decolorize the dyes, but the most suitable alternative to degrade the dyes present in wastewater is the use of gamma radiations [20]. Powerful species such as hydroxyl radicals are produced by gamma radiations, which non-selectively degrade the organic dyes into inorganic moieties, such as CO2, H2O and other less harmful substances [21]. During the degradation process with hydroxyl radicals, other different species, such as hydrogen radicals and hydrated electrons (eaq−), are also generated [22]. Hydrogen peroxide is used as an oxidant to enhance hydroxyl radical production and to scavenger the reducing species, such as hydrated electrons and hydrogen radicals [23].
This study aimed to evaluate the effect of gamma radiations on the degradation of RY-18 dye. The effects of oxidant hydrogen peroxide, dye concentration, and absorbed gamma radiation dose on the degradation of RY-18 were also studied. UV–visible and FTIR techniques were used to investigate the progress of the degradation process. LCMS analysis was used to determine the intermediates formed during the degradation process. The efficiency of AOP was assessed by the bases of dye degradation and the toxicity reduction of the RY-18 dye.
2. Material and Methods
2.1. Chemicals
RY-18 (C25H16ClN9Na4O13S4, 906.12 g/mole) was purchased from Khawaja Company of dyes, Faisalabad, Pakistan. The chemical structure of RY-18 is given in Figure 1 and the properties are given in Table 1. Hydrogen peroxide (30%) was obtained from Sigma Aldrich (Germany). Sodium hydroxide (0.1 M) and hydrogen chloride (0.1 M) were used to adjust the pH of the solution. Distilled water was used to prepare the stock solution and other solutions of different concentrations. Further, 0.45 µm Millipore filter paper was used to filter the dye solution after gamma radiation treatment. All of these chemicals were of analytical grade and were used as received.
Figure 1.
Chemical structure of Reactive Yellow 18 dye.
Table 1.
Properties of Reactive Yellow 18.
2.2. Determination of λmax of RY-18
A spectrophotometer (UH5300-HITECH, Tokyo, Japan) was used to determine the maximum wavelength at which RY-18 gives the maximum absorption. Analysis of RY-18 was performed in the 200–800 nm wavelength range.
2.3. Preparation of Sample Solution
The RY-18 solution of different concentrations (30–90 mg/L) was prepared by dilution from the stock solution (1000 mg/L). All the concentrations were subjected to gamma radiation treatment to monitor the degradation. Distilled water was used to prepare all the solutions.
2.4. Gamma Treatment of Sample
Gamma radiation treatment was performed at the Nuclear Institute of Agriculture and Biology (NIAB), Faisalabad. Different dye concentrations (30–90 mg/L) were studied. Gamma radiation source Cs-137 was used and the dose rate was 669 Gy/h. Pyrex glass tubes were used to treat samples under gamma radiation. A total of 10 mL of each dye concentration (30–90 mg/L) was taken in Pyrex glass tubes, and irradiation was performed for different absorbed doses (5–20 kGy). This experiment was performed at room temperature. A spectrophotometer (UH5300-HITECH, Tokyo, Japan) was used to measure the absorbance of dye solutions before and after treatment. The effect of pH was studied in the 3–9 range. The effect of hydrogen peroxide (0.2–0.8 mL) in combination with gamma radiation was also studied.
2.5. FTIR Analysis
In order to study the different functional groups present in RY-18, FTIR analysis was performed. The RY-18 analysis was performed using an FTIR spectrometer (U-2001, Schimadzu, Kyoto, Japan) in the range 400–4000 cm−1 [21].
2.6. LCMS Analysis
Liquid chromatography mass spectroscopy was used to analyze the degraded sample of RY-18 at the National Institute of Biotechnology and Genetic Engineering (NIBGE), Faisalabad. A mass spectrometer (Thermo Scientific, Waltham, MA, USA) with a linear ion trap and electro ionization sprayer was used. Before direct insertion into the mass spectrometer, a sample was extracted in methanol. Gamma degraded samples were scanned in the range 0.0–500 m/z ratio. The flow rate for injection of the sample was 10 µL/min, while the temperature and voltage were 280 °C and 4.2 kV, respectively [24].
2.7. Toxicity Analysis
Hemolytic and Ames toxicity tests were performed to check the cytotoxicity and mutagenicity of treated and untreated samples. Before toxicological tests, hydrogen peroxide present in degraded samples was removed by using less than 0.1 mg/mL of magnesium dioxide. Hydrogen peroxide was removed in 45 min and samples were ready for toxicological tests.
Human red blood cells were used to study the hemolytic activity of RY-18 samples, and Triton X-100 and PBS were used as positive and negative controls, respectively. In a Falcon tube, 15 mL of blood was taken and then centrifuged for 5 min at 850× g. Supernatant was removed and pellets were cleaned using phosphate buffer saline (PBS). A total of 180 µL of blood cells and 20 µL of sample were incubated for 30 min at 37 °C. Then, they were centrifuged at 1310× g for 5 min, and 100 µL of supernatant was taken and diluted with 900 µL of PBS [25]. Percentage hemolysis was calculated using the following formula:
Mutagenicity of samples was studied against bacterial strains TA98 and TA100 (Salmonella Typhimurium). NaN3 (0.5 µg/100 µL) and K2Cr2O7 (0.01 g/L) were used as positive controls, while distilled water was used as a negative control. Agar plates in plastic bags were incubated at 37 °C for 4 days. The total number of wells in blank plates was counted, and then the number of wells in incubated plates was counted. The total number of yellow wells gives the number of affected plates for mutagenicity analysis [26,27].
3. Results and Discussion
3.1. Reactive Yellow 18 Analysis
A spectrophotometer (UH5300-HITECH) was used to monitor the absorbance at 410 nm. The absorbance spectrum is shown in Figure 2. Later on, the absorbance of all the degraded samples was measured at a wavelength of 410 nm, and the percentage degradation was calculated using the following formula:
Percentage degradation = (A0 − A/A0) × 100
Figure 2.
Absorption spectrum of Reactive Yellow 18.
3.2. Effect of Dye Concentration
To study the influence of the initial concentrations of RY-18, different concentrations (30, 60, and 90 mg/L) were treated. Gamma radiations of different doses, from 5 to 20 kGy, were used. The effect of the initial dye concentration on the degradation of RY-18, under different doses of gamma radiations, is shown in Figure 3. It was observed that as the initial concentration of dye was increased from 30 mg/L to 90 mg/L, the degradation efficiency was decreased from 99% to 70%. The maximum degradation was achieved using 30 mg/L at 20 kGy. At higher concentrations of dye, the optical density increases and light photons cannot penetrate. At higher concentrations of dye, fewer rays can interact with hydrogen peroxide and fewer hydroxyl species are produced, and degradation was decreased. Therefore, as the concentration of dye was increased, the degradation rate decreased. However, the dye degradation increased linearly with the absorbed dose of gamma radiation. These findings are in line with previous studies [28,29].
Figure 3.
Effect of initial RY-18 dye concentration on degradation as a function of different absorbed doses.
3.3. Effect of Hydrogen Peroxide
The effect of hydrogen peroxide on the degradation of RY-18 was also studied. Different concentrations (0.2–0.6 mL) of hydrogen peroxide were used to study the degradation efficiency. Degradation was increased by increasing the concentration of hydrogen peroxide. The maximum (99%) degradation was achieved using 0.6 mL H2O2 and a gamma radiation dose of 20 kGy (Figure 4). The increase in degradation efficiency was due to the increased production of hydroxyl species on interaction with gamma radiation. As the hydrogen peroxide concentration was increased, more reactive species, such as hydroxyl radicals, were produced, and, as a result, the RY-18 dye degradation was also increased. The degradation efficiency for RY-18 was obtained at 0.6 mL concentration of hydrogen peroxide. These findings are in line with previous studies that found that hydrogen peroxide in combination with gamma radiation has a significant effect on the degradation of dye [30,31].
Figure 4.
Effect of different concentrations of hydrogen peroxide on degradation of RY-18.
3.4. Effect of pH
The chemistry of the RY-18 dye solution is strongly affected by changes in pH, which was also evaluated. The degradation of RY-18 was >90% at pH 3, with 0.6 mL H2O2 and a 20 kGy absorbed dose of gamma radiation (Figure 5). The effect of pH on degradation was observed in the range 3–9. The pH of pure dye solution was neutral, while for the dye samples treated under gamma radiation, the pH decreased, which is an indication of the formation of acidic species during the degradation process, which are low-molecular-weight organic acid intermediates. This effect was more pronounced when the sample was treated with gamma radiations in combination with hydrogen peroxide. This decrease in pH was due to the conversion of chromophores of RY-18 into low-molecular-weight organic acidic units, which decreased the pH of the solution [32]. At acidic pH, the increase in degradation was due to the increased production of hydroxyl species [33].
Figure 5.
Effect of pH on degradation of Reactive Yellow 18 under gamma radiations.
3.5. Identification of By-Products
In order to determine the functional groups, FTIR analysis was performed on treated and untreated RY-18 samples. The FTIR spectrum of pure RY-18 reveals a single peak at 1559.9 cm−1 that shows N=N stretching, a peak at 3421.7 cm−1 for N-H stretching, a peak of C=O at 1724 cm−1, C-N bond peak at 792 cm−1, and peaks at 1090 cm−1 and 702 cm−1 show stretching for C-S and C-Cl bonds. The FTIR spectrum of gamma/H2O2-treated sample shows no functional peaks for these groups. This confirmed the complete degradation of RY-18 into simple compounds. Characteristic functional groups of RY-18 were diminished after treatment with gamma radiations/H2O2 (Figure 6).
Figure 6.
FTIR spectrum of Reactive Yellow 18 (A) before and (B) after treatment.
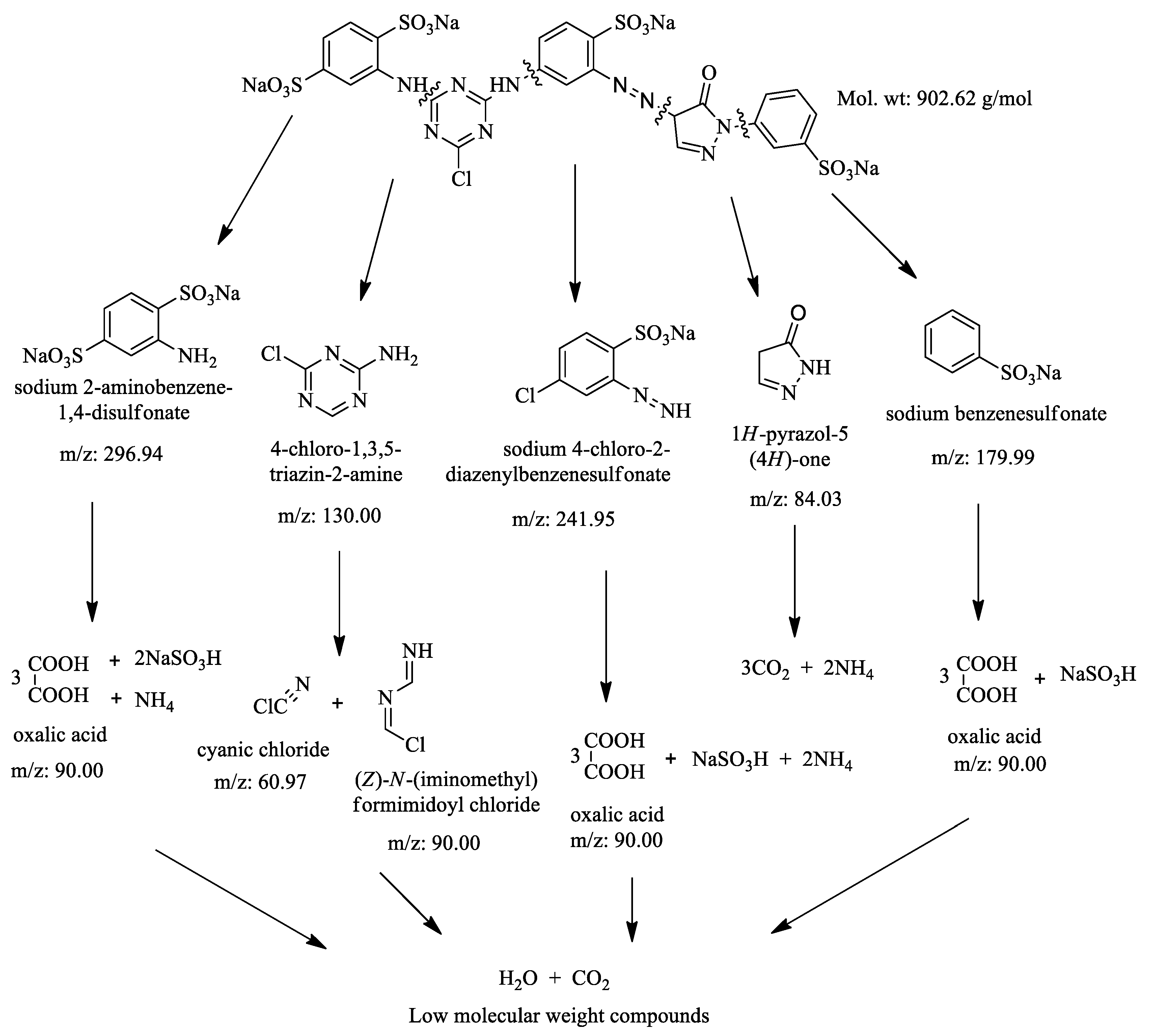
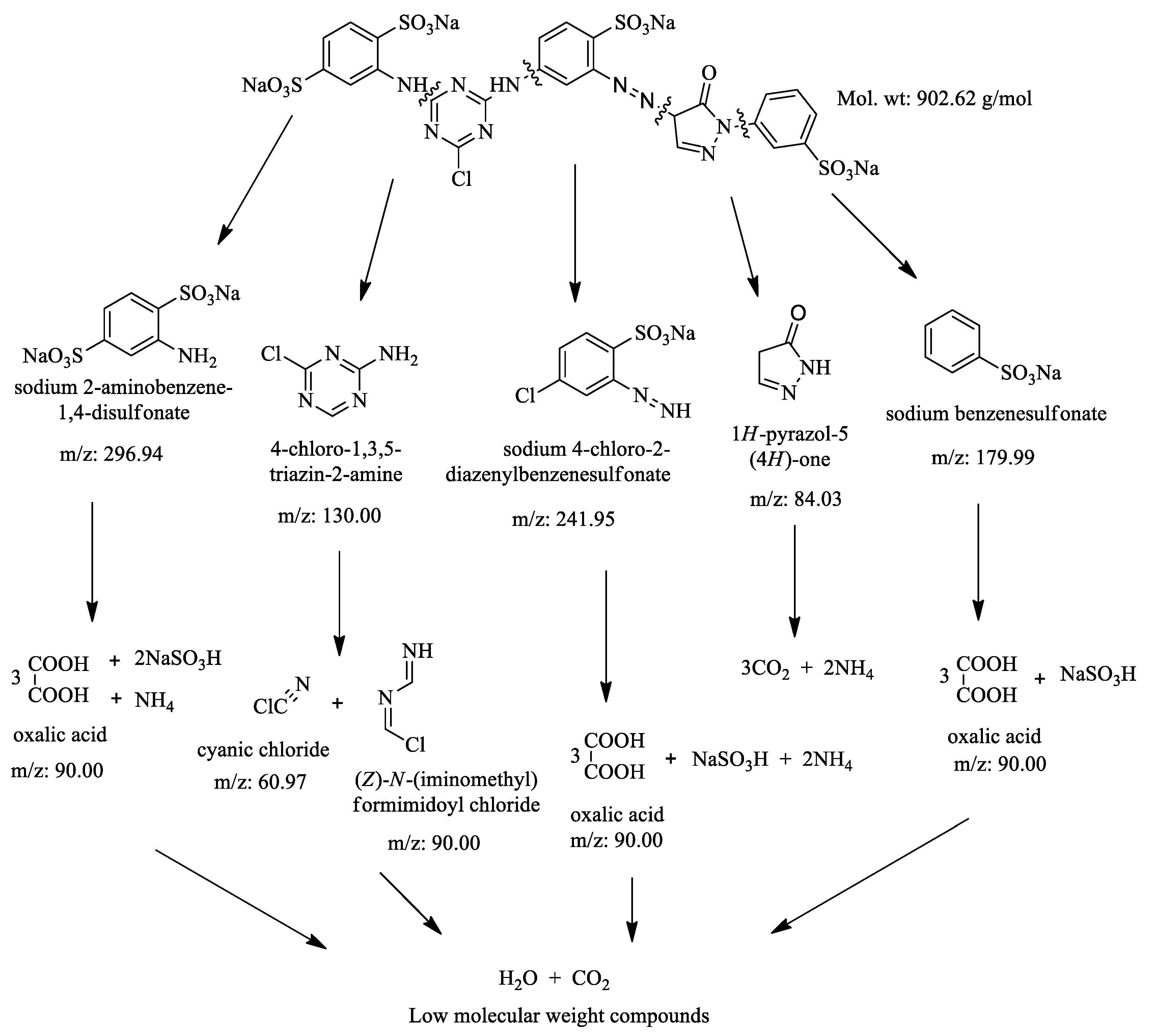
LCMS is an effective method to study the intermediates formed during the degradation of dyes. The degraded end products of RY-18 were analyzed by LCMS. The degraded sample was scanned in positive mode, with a mass–to-charge ratio of 00.0−500 for better resolution, and their retention time was 1.28 min. The peaks of degraded products were analyzed with m/z values of 90.0, 130.0, 179, 241.1 and 296.17 for oxalic acid or (Z)-N-(iminomethyl)-formimidoyl chloride, 4-chloro-1,3,5-triazin-2-amine, sodium benzosulfate, sodium-4-chloro-2-diazenylbenzenesulfonate, and sodium 2-aminobenzene-1,4-disulfonate, respectively (Figure 7). The data obtained for the degraded RY-19 dye samples confirmed that the dye breaks down into low-molecular-weight acidic units and, finally, into carbon dioxide and water by an oxidative process. The intermediates recorded along their m/z values are given in Table 2 and the proposed mechanism of degradation of RY-18 dye is shown in Figure 8.
Figure 7.
LCMS spectrum of Reactive Yellow 18 after treatment with gamma radiations/H2O2 (Green line is pointing the specific peaks).
Table 2.
Degradation intermediates of Reactive Yellow 18 identified by LCMS.
Figure 8.
Proposed degradation pathway of Reactive Yellow 18.
The AOP produced a highly reactive hydroxyl radical (•OH) in situ, which is an oxidizing species. When dyed aqueous solution is irradiated with gamma radiation, it furnishes a significantly higher G-value (radiation yield) (Equation (1)). The G-value refers to the number of species (radicals/ions) generated/1 joule of energy. The •OH is an oxidizing species, which degrades the dye in aqueous solution by an oxidative process to low-molecular-weight by-products, especially organic acids (as per LCMS analysis). The mineralization/degradation efficiency during radiation treatment is based on the production of •OH. Moreover, to enhance the AOP efficiency, H2O2 is applied and, resultantly, the G-value enhanced manyfold (Equation (2)). The •OH radical generation is enhanced by the radiolysis of H2O2, and due to the enhanced concentration of •OH radicals, the dye is degraded with more efficiency (Equation (3)) [34].
H2O + γ ⟶ •OH (0.29), •H (0.06), eaq− (0.28), H2 (0.047), H2O2 (0.07), H3O+ (0.27)
H2O2 + γ ⟶ •OH (0.29 + 0.29 = 0.58)
RH (dye) + •OH ⟶ H2O + •R ⟶ CO2 + H2O + inorganic ions
3.6. Effect of Gamma Radiation Treatment on Toxicity
3.6.1. Cytotoxicity
Cell damage or death caused by any process/agent is called a cytotoxic effect. The samples of RY-18 were studied to check the toxicity before and after treatment with gamma radiation in combination with hydrogen peroxide. The percentage of hemolysis of the untreated (30 mg/L) RY-19 dye sample was 15.1%, while the percentage of hemolysis of the RY-19 dye sample treated with gamma/H2O2 was reduced to 7.6%. The results showed that there was a significant reduction in toxicity of RY-18 when treated with gamma radiation in combination with hydrogen peroxide, and previous findings revealed that the AOPs had a significant effect on the cytotoxicity reduction of the dye [34,35].
3.6.2. Mutagenicity
The Ames test utilized a bacterium to check mutations in the DNA by a specific chemical/agent. Mutagenicity of 30 mg/L of RY-18 was examined before and after treatment with gamma radiation in combination with hydrogen peroxide. Two bacterial strains, TA98 and TA100, were utilized, which are sensitive for mutagenicity analysis. The untreated RY-18 dye sample showed mutagenicity up to 69% and 73%, while gamma/H2O2-treated RY-18 dye samples revealed a reduction in mutagenicity to 81.3% and 82.3%, respectively. These results showed that mutagenicity was reduced significantly when the RY-18 dye sample was treated with gamma radiation in combination with H2O2, and previous studies also support these findings [36,37].
4. Conclusions
In view of the promising efficiency of the advanced oxidation process, gamma radiation in combination with hydrogen peroxide was employed for the removal of RY-18 dyes from aqueous solutions. The operational variables, such as the gamma radiation absorbed dose, initial concentration of dye, hydrogen peroxide concentration and initial pH of the solution, significantly affected the RY-18 dye degradation, and up to 99% dye degradation was achieved at 20 kGy of gamma absorbed dose, 0.6 mL hydrogen peroxide at pH 3. The FTIR and LCMS analyses revealed the complete degradation of RY-18 dye into low-molecular-weight acidic units, which, upon further oxidation, are converted into carbon dioxide, water and inorganic ion end products. The bioassay (for toxicity analysis) tests were performed on RY-18 dyes before treatment, and the dyes showed cytotoxic and mutagenic nature. The gamma radiation in combination with hydrogen peroxide reduced the toxicity significantly, which revealed the safer nature of treated RY-18 dye. Based on the findings, it is proved that gamma radiation in combination with hydrogen peroxide is highly effective in removing the RY-18 dye from aqueous solution, along with cytotoxicity and mutagenicity reduction, and this treatment could be employed for the remediation of reactive dyes in textile effluents.
Author Contributions
Conceptualization, T.H.B.; methodology, M.S.; software, N.N.; validation, M.U., formal analysis, M.I. (Mazhar Iqbal); investigation, M.S.; resources, S.E.; data curation, M.K.K.; writing—original draft preparation, M.I. (Mazhar Iqbal); writing—review and editing, M.I (Munawar Iqbal); visualization, M.I. (Mazhar Iqbal) and M.A.; supervision, T.H.B.; project administration, N.A. (Nada Alfryyan); funding acquisition, N.A (Norah Alwadai). All authors have read and agreed to the published version of the manuscript.
Funding
The authors express their gratitude to Princess Nourah bint Abdulrahman University Researchers Supporting Project (Grant No. PNURSP2022R11), Princess Nourah bint Abdulrahman University, Riyadh, Saudi Arabia. The authors extend their appreciation to the Deanship of Scientific Research at King Khalid University, Saudi Arabia for funding this work through Research Groups Program under grant number R.G.P.2-187/1443. Authors gratefully acknowledge the Higher Education Commission (HEC) Pakistan for financial support to conduct the research work project no. 5626/Punjab/NRPU/HEC/2016.
Informed Consent Statement
Not applicable.
Data Availability Statement
Not applicable.
Acknowledgments
The authors express their gratitude to Princess Nourah bint Abdulrahman University Researchers Supporting Project (Grant No. PNURSP2022R11), Princess Nourah bint Abdulrahman University, Riyadh, Saudi Arabia. The authors extend their appreciation to the Deanship of Scientific Research at King Khalid University, Saudi Arabia for funding this work through Research Groups Program under grant number R.G.P.2-187/1443. Authors gratefully acknowledge the Higher Education Commission (HEC) Pakistan for financial support to conduct the research work project no. 5626/Punjab/NRPU/HEC/2016.
Conflicts of Interest
The authors declare no conflict of interest.
References
- Grillini, V.; Verlicchi, P.; Zanni, G. SWOT-SOR analysis of activated carbon-based technologies and O3/UV process as polishing treatments for hospital effluent. Water 2022, 14, 243. [Google Scholar] [CrossRef]
- Starkl, M.; Brunner, N.; Das, S.; Singh, A. Sustainability assessment for wastewater treatment systems in developing countries. Water 2022, 14, 241. [Google Scholar] [CrossRef]
- Wong, T.P.; Babcock, R.W.; Uekawa, T.; Schneider, J.; Hu, B. Effects of waste activated sludge extracellular polymeric substances on biosorption. Water 2022, 14, 218. [Google Scholar] [CrossRef]
- Jin, X.-C.; Liu, G.-Q.; Xu, Z.-H.; Tao, W.-Y. Decolorization of a dye industry effluent by Aspergillus fumigatus XC6. Appl. Microbiol. Biotechnol. 2007, 74, 239–243. [Google Scholar] [CrossRef]
- O’Neill, C.; Hawkes, F.R.; Hawkes, D.L.; Lourenço, N.D.; Pinheiro, H.M.; Delée, W. Colour in textile effluents–sources, measurement, discharge consents and simulation: A review. J. Chem. Technol. Biotechnol. Int. Res. Process Environ. Clean Technol. 1999, 74, 1009–1018. [Google Scholar] [CrossRef]
- Siddiqua, U.H.; Ali, S.; Iqbal, M.; Hussain, T. Relationship between structure and dyeing properties of reactive dyes for cotton dyeing. J. Mol. Liq. 2017, 241, 839–844. [Google Scholar] [CrossRef]
- Chinta, S.; VijayKumar, S. Technical facts & figures of reactive dyes used in textiles. Int. J. Eng. Manag. Sci. 2013, 4, 308–312. [Google Scholar]
- Gowri, R.S.; Vijayaraghavan, R.; Meenambigai, P. Microbial degradation of reactive dyes—A review. Int. J. Curr. Microbiol. Appl. Sci. 2014, 3, 421–436. [Google Scholar]
- Lewis, D.M. Developments in the chemistry of reactive dyes and their application processes. Coloration Technol. 2014, 130, 382–412. [Google Scholar] [CrossRef]
- Fartode, A.P.; Fartode, S.A.; Shelke, T.R.; Parwate, D.V. Synergistic effect of H2O2 Addition on Gamma Radiolytic Decoloration of Some commercial Dye Solutions. In IOP Conference Series: Materials Science and Engineering; IOP Publishing: Bristol, UK, 2021. [Google Scholar]
- Okoro, H.K.; Tella, A.C.; Ajibola, O.A.; Zvinowanda, C.; Ngila, J.C. Adsorptive removal of naphthalene and anthracene from aqueous solution with zinc and copper-terephthalate metal-organic frameworks. Bull. Chem. Soc. Ethiop. 2019, 33, 229–241. [Google Scholar] [CrossRef] [Green Version]
- Shah, L.A.; Haleem, A.; Sayed, M.; Siddiq, M. Synthesis of sensitive hybrid polymer microgels for catalytic reduction of organic pollutants. J. Environ. Chem. Eng. 2016, 4, 3492–3497. [Google Scholar] [CrossRef]
- Ohtani, B.; Ogawa, Y.; Nishimoto, S.I. Photocatalytic activity of amorphous—Anatase mixture of titanium (IV) oxide particles suspended in aqueous solutions. J. Phys. Chem. B 1997, 101, 3746–3752. [Google Scholar] [CrossRef] [Green Version]
- Chen, X.; Mao, S.S. Titanium dioxide nanomaterials: Synthesis, properties, modifications, and applications. Chem. Rev. 2007, 107, 2891–2959. [Google Scholar] [CrossRef] [PubMed]
- Saquib, M.; Abu Tariq, M.; Faisal, M.; Muneer, M. Photocatalytic degradation of two selected dye derivatives in aqueous suspensions of titanium dioxide. Desalination 2008, 219, 301–311. [Google Scholar] [CrossRef]
- Modirshahla, N.; Behnajady, M.A. Photooxidative degradation of Malachite Green (MG) by UV/H2O2: Influence of operational parameters and kinetic modeling. Dye. Pigment. 2006, 70, 54–59. [Google Scholar] [CrossRef]
- Schrank, S.G.; dos Santos, J.N.R.; Souza, D.S.; Souza, E.E.S. Decolourisation effects of Vat Green 01 textile dye and textile wastewater using H2O2/UV process. J. Photochem. Photobiol. A Chem. 2007, 186, 125–129. [Google Scholar] [CrossRef]
- He, J.; Ma, W.; He, J.; Zhao, J.; Jimmy, C.Y. Photooxidation of azo dye in aqueous dispersions of H2O2/α-FeOOH. Appl. Catal. B Environ. 2002, 39, 211–220. [Google Scholar] [CrossRef]
- Abdullah, F.H.; Rauf, M.; Ashraf, S.S. Photolytic oxidation of Safranin-O with H2O2. Dye. Pigment. 2007, 72, 349–352. [Google Scholar] [CrossRef]
- Barakat, M.; El-Banna, M. Radiolytic studies on some organic dyes in aqueous solutions. Int. J. Low Radiat. 2007, 4, 286–295. [Google Scholar] [CrossRef]
- Aleboyeh, A.; Kasiri, M.; Olya, M. Prediction of azo dye decolorization by UV/H2O2 using artificial neural networks. Dye. Pigment. 2008, 77, 288–294. [Google Scholar] [CrossRef]
- Rauf, M.; Ashraf, S.S. Radiation induced degradation of dyes—An overview. J. Hazard. Mater. 2009, 166, 6–16. [Google Scholar] [CrossRef] [PubMed]
- Wang, M.; Yang, R.; Wang, W.; Shen, Z.; Bian, S.; Zhu, Z. Radiation-induced decomposition and decoloration of reactive dyes in the presence of H2O2. Radiat. Phys. Chem. 2006, 75, 286–291. [Google Scholar] [CrossRef]
- Arshad, R.; Bokhari, T.H.; Khosa, K.K.; Bhatti, I.A.; Munir, M.; Iqbal, M.; Iqbal, D.N.; Khan, M.; Iqbal, M.; Nazir, A. Gamma radiation induced degradation of anthraquinone Reactive Blue-19 dye using hydrogen peroxide as oxidizing agent. Radiat. Phys. Chem. 2020, 168, 108637. [Google Scholar] [CrossRef]
- Arshad, R.; Bokhari, T.H.; Javed, T.; Bhatti, I.A.; Rasheed, S.; Iqbal, M.; Nazir, A.; Naz, S.; Khan, M.I.; Khosa, M.K.K.; et al. Degradation product distribution of Reactive Red-147 dye treated by UV/H2O2/TiO2 advanced oxidation process. J. Mater. Res. Technol. 2020, 9, 3168–3178. [Google Scholar] [CrossRef]
- An, T.; An, J.; Gao, Y.; Li, G.; Fang, H.; Song, W. Photocatalytic degradation and mineralization mechanism and toxicity assessment of antivirus drug acyclovir: Experimental and theoretical studies. Appl. Catal. B Environ. 2015, 164, 279–287. [Google Scholar] [CrossRef]
- Maron, D.M.; Ames, B.N. Revised methods for the Salmonella mutagenicity test. Mutat. Res. Environ. Mutagenesis Relat. Subj. 1983, 113, 173–215. [Google Scholar] [CrossRef]
- Bilal, M.; Rasheed, T.; Iqbal, H.M.; Li, C.; Wang, H.; Hu, H.; Wang, W.; Zhang, X. Photocatalytic degradation, toxicological assessment and degradation pathway of CI Reactive Blue 19 dye. Chem. Eng. Res. Des. 2018, 129, 384–390. [Google Scholar] [CrossRef]
- Iqbal, M.; Abbas, M.; Arshad, M.; Hussain, T.; Ullah Khan, A.; Masood, N.; Tahir, M.A.; Hussain, S.M.; Bokhari, T.H.; Ahmad Khera, R. Short communication gamma radiation treatment for reducing cytotoxicity and mutagenicity in industrial wastewater. Pol. J. Environ. Stud. 2015, 24, 2745–2750. [Google Scholar] [CrossRef]
- Zhang, S.-J.; Yu, H.-Q.; Li, Q.-R. Radiolytic degradation of Acid Orange 7: A mechanistic study. Chemosphere 2005, 61, 1003–1011. [Google Scholar] [CrossRef]
- Şolpan, D.; Güven, O.; Takács, E.; Wojnárovits, L.; Dajka, K. High-energy irradiation treatment of aqueous solutions of azo dyes: Steady-state gamma radiolysis experiments. Radiat. Phys. Chem. 2003, 67, 531–534. [Google Scholar] [CrossRef]
- Muneer, M.; Kanjal, M.I.; Saeed, M.; Javed, T.; Haq, A.U.; Ud Den, N.Z.; Jamal, M.A.; Ali, S.; Iqbal, M. High energy radiation induced degradation of reactive yellow 145 dye: A mechanistic study. Radiat. Phys. Chem. 2020, 177, 109115. [Google Scholar] [CrossRef]
- Muneer, M.; Hafiz, N.; Usman, M.; Rehman, F.U.; Saeed, M.; Bhatti, H.; Kanjal, M.I. Environmentally friendly oxidative degradation of reactive orange dye by high energy radiation. Oxid. Commun. 2015, 38, 2091–2099. [Google Scholar]
- Iqbal, M.; Bhatti, I.A. Gamma radiation/H2O2 treatment of a nonylphenol ethoxylates: Degradation, cytotoxicity, and mutagenicity evaluation. J. Hazard. Mater. 2015, 299, 351–360. [Google Scholar] [CrossRef] [PubMed]
- Abbas, M.; Hafiz, N.; Usman, M.; Rehman, F.U.; Saeed, M.; Bhatti, H.; Kanjal, M.I. Vibrio fischeri bioluminescence inhibition assay for ecotoxicity assessment: A review. Sci. Total Environ. 2018, 626, 1295–1309. [Google Scholar] [CrossRef]
- Iqbal, M.; Khera, R.A.; Hussain, T.; Sadia, H.; Abbas, M.; Nazir, A.; Younas, U. Cytotoxicity and bioactivity evaluation of pygmy date palm extracts. Cur. Sci. Perspect 2017, 3, 106. [Google Scholar]
- Arshad, M.; Hussain, T.; Chaudhry, N.; Sadia, H.; Aslam, B.; Tahir, U.; Abbas, M.; Qureshi, N.; Nazir, A.; Rajoka, M.I.; et al. Enhancing profitability of ethanol fermentation through gamma ray mutagenesis of Saccharomyces cerevisiae. Pol. J. Environ. Stud. 2019, 28, 35–41. [Google Scholar] [CrossRef]
Publisher’s Note: MDPI stays neutral with regard to jurisdictional claims in published maps and institutional affiliations. |
© 2022 by the authors. Licensee MDPI, Basel, Switzerland. This article is an open access article distributed under the terms and conditions of the Creative Commons Attribution (CC BY) license (https://creativecommons.org/licenses/by/4.0/).















