Morphological Evolution Characteristics of River Cross-Sections in the Lower Weihe River and Their Response to Streamflow and Sediment Changes
Abstract
:1. Introduction
2. Materials and Methods
2.1. Study Area
2.2. Datasets
2.3. Incoming Sediment Coefficient
2.4. Trend Analysis
2.5. Change-Point Analysis
3. Results and Discussion
3.1. Changes in River Cross-Sectional Characteristics
3.1.1. Cross-Section Shape
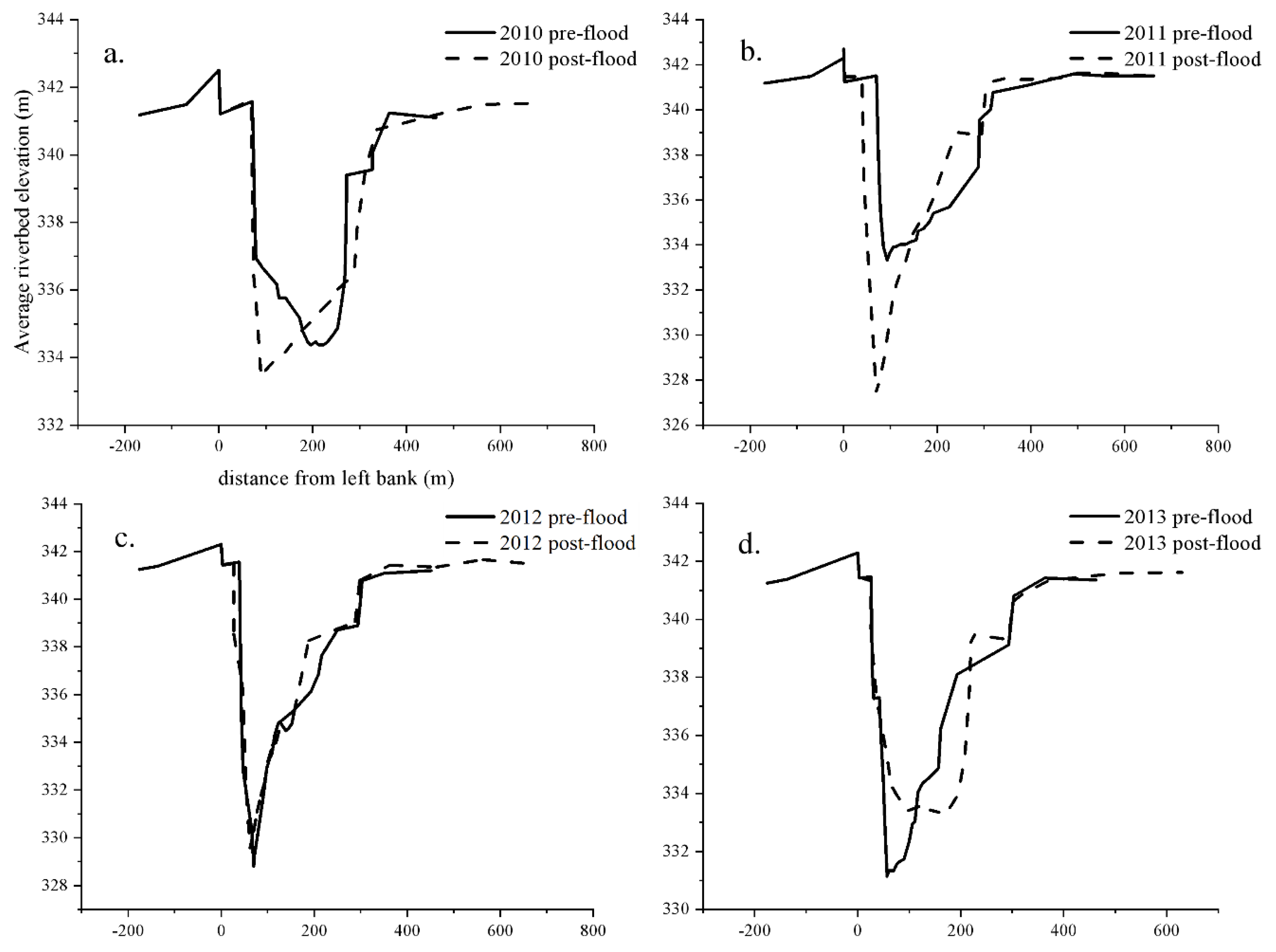
3.1.2. Elevation Change of Cross-Section
3.2. Characteristics of River Water and Sediment Changes
3.2.1. Variation of Water and Sediment Process
3.2.2. Variation of Sediment Particles
3.2.3. Typical Flood Characteristics
3.3. Response of River Cross-Section Changes to Water and Sediment
3.3.1. Correspondence to Water and Sediment Changes
3.3.2. Response to Sediment Particles
3.3.3. Response to Floods
4. Conclusions
- (1)
- The river cross-sections at Xianyang and Huaxian stations in the lower reaches of the Wei River suffered scouring from 2006 to 2018, whereas the Lintong station experienced continuous siltation, exhibiting the general characteristic of “scouring at both ends and siltation in the middle”. The three stations’ annual pattern of river cross-section variation still demonstrates “non-flood scouring and flood siltation”;
- (2)
- Between 2006 and 2018, the lower Weihe River’s runoff volume increased, the sediment concentration and discharged decreased, and the incoming sediment coefficient significantly decreased. The overall state was characterized by “more water and less sediment”. The median diameter of suspended sediment particles at the Xianyang and Huaxian stations changed gradually and decreased slightly, whereas the median diameter of suspended sediment particles at the Lintong station increased slightly;
- (3)
- Large floods impact the cross-sectional morphology of the channel, and variations in the mean elevation of the main channel in the lower Weihe River are closely correlated with the changes in the incoming sediment coefficient. Additionally, the scouring and silting of the river channel are significantly impacted by variations in the median diameter of suspended sediment particles. The type of human activities, such as river training projects, can also directly impact the cross-sectional morphology.
Author Contributions
Funding
Institutional Review Board Statement
Informed Consent Statement
Data Availability Statement
Conflicts of Interest
References
- Schumm, S.A. The Fluvial System; Wiley-Interscience: New York, NY, USA, 1977. [Google Scholar]
- Gregory, K.J. The human role in changing river channels. Geomorphology 2006, 79, 172–191. [Google Scholar] [CrossRef]
- Rădoane, M.; Obreja, F.; Cristea, I.; Mihailă, D. Changes in the channel-bed level of the eastern Carpathian rivers: Climatic vs. human control over the last 50 years. Geomorphology 2013, 193, 91–111. [Google Scholar] [CrossRef]
- Biedenharn, D.S.; Thorne, C.R.; Watson, C.C. Recent morphological evolution of the Lower Mississippi River. Geomorphology 2000, 34, 227–249. [Google Scholar] [CrossRef]
- Phillips, J.D. Toledo Bend reservoir and geomorphic response in the lower Sabine River. River Res. Appl. 2003, 19, 137–159. [Google Scholar] [CrossRef]
- Xia, J.; Li, X.; Li, T.; Zhang, X.; Zong, Q. Response of reach-scale bankfull channel geometry to the altered flow and sediment regime in the lower Yellow River. Geomorphology 2014, 213, 255–265. [Google Scholar] [CrossRef]
- Xu, J. A study of sedimentation rate in the lower Yellow River based on cross-section measurement data. Z. Geomorphol. 2012, 56, 239–254. [Google Scholar] [CrossRef]
- He, L. Application of the numerical model in evaluating the effects of a planned reservoir on reach-scale bankfull discharge of the lower Wei River. J. Mt. Sci.-Engl. 2018, 15, 1057–1070. [Google Scholar] [CrossRef]
- Kong, D.; Latrubesse, E.M.; Miao, C.; Zhou, R. Morphological response of the Lower Yellow River to the operation of Xiaolangdi Dam, China. Geomorphology 2020, 350, 106931. [Google Scholar] [CrossRef]
- Magliulo, P.; Bozzi, F.; Leone, G.; Fiorillo, F.; Leone, N.; Russo, F.; Valente, A. Channel adjustments over 140 years in response to extreme floods and land-use change, Tammaro River, southern Italy. Geomorphology 2021, 383, 107715. [Google Scholar] [CrossRef]
- Poeppl, R.E.; Coulthard, T.; Keesstra, S.D.; Keiler, M. Modeling the impact of dam removal on channel evolution and sediment delivery in a multiple dam setting. Int. J. Sediment. Res. 2019, 34, 537–549. [Google Scholar] [CrossRef]
- Liu, W.; Wang, S.; Sang, Y.; Ran, L.; Ma, Y. Effects of large upstream reservoir operations on cross-sectional changes in the channel of the lower Yellow River reach. Geomorphology 2021, 387, 107768. [Google Scholar] [CrossRef]
- Ma, H.; Nittrouer, J.A.; Fu, X.; Parker, G.; Zhang, Y.; Wang, Y.; Lamb, M.P.; Cisneros, J.; Best, J.; Parsons, D.R.; et al. Amplification of downstream flood stage due to damming of fine-grained rivers. Nat. Commun. 2022, 13, 3054. [Google Scholar] [CrossRef] [PubMed]
- Magilligan, F.J.; Nislow, K.H. Changes in hydrologic regime by dams. Geomorphology 2005, 71, 61–78. [Google Scholar] [CrossRef]
- Petts, G.E.; Gurnell, A.M. Dams and geomorphology: Research progress and future directions. Geomorphology 2005, 71, 27–47. [Google Scholar] [CrossRef]
- Dai, Z.; Liu, J.T. Impacts of large dams on downstream fluvial sedimentation: An example of the Three Gorges Dam (TGD) on the Changjiang (Yangtze River). J. Hydrol. 2013, 480, 10–18. [Google Scholar] [CrossRef]
- Diefenderfer, H.L.; Borde, A.B.; Cullinan, V.I. Floodplain Wetland Channel Planform, Cross-Sectional Morphology, and Sediment Characteristics Along an Estuarine to Tidal River Gradient. J. Geophys. Res. Earth Surf. 2021, 126, e2019JF005391. [Google Scholar] [CrossRef]
- Zheng, S.; Edmonds, D.A.; Wu, B.; Han, S. Backwater controls on the evolution and avulsion of the Qingshuigou channel on the Yellow River Delta. Geomorphology 2019, 333, 137–151. [Google Scholar] [CrossRef]
- Sziło, J.; Bialik, R.J. Bedload transport in two creeks at the ice-free area of the Baranowski Glacier, King George Island, West Antarctica. Pol. Polar Res. 2017, 38, 21–39. [Google Scholar] [CrossRef] [Green Version]
- Sziło, J.; Bialik, R. Grain Size Distribution of Bedload Transport in a Glaciated Catchment (Baranowski Glacier, King George Island, Western Antarctica). Water 2018, 10, 360. [Google Scholar] [CrossRef] [Green Version]
- Zheng, S.; Wu, B.; Thorne, C.R.; Tan, G. Case Study of Variation of Sedimentation in the Yellow and Wei Rivers. J. Hydraul Eng. 2015, 141, 05014009. [Google Scholar] [CrossRef]
- Tian, S.; Luo, W.; Jia, Z.; Butalia, R.S. Temporal variation of over-bank flooding of Wei River and its impact on a riparian wetland in Xi’an, China. Hydrol. Process. 2010, 24, 1296–1307. [Google Scholar] [CrossRef]
- Guangqian, W.; Baosheng, W.; Zhao, Y. Sedimentation problems and management strategies of Sanmenxia Reservoir, Yellow River, China. Water Resour Res. 2005, 41. [Google Scholar] [CrossRef] [Green Version]
- ShanZheng, H.B. Delayed morphological adjustment of the Yellow and lower Wei Rivers upstream of the Sanmenxia dam at multi-temporal scales. Catena 2022, 212, 106035. [Google Scholar]
- Liang, Z.; Li, W.; Zhang, C. Study on the flushing and siltation characteristics of the lower Weihe and Yellow River channels. Yellow River 2003, 25, 5–6+9–45. (In Chinese) [Google Scholar]
- Deng, A.; Guo, Q. Characteristics and evolution mechanism of cross sections along the Lower Weihe River. J. Sediment Res. 2006, 5, 33–39. (In Chinese) [Google Scholar]
- Zhang, C.; Jiang, N.; Hou, S.; Yi, X. Recent analysis of the causes of river siltation in the lower Weihe River. Yellow River 2006, 6, 75–76+79. (In Chinese) [Google Scholar]
- Fan, X.; Shi, C.; Shao, W.; Zhou, Y. Study’of fluvial processes of Lower Weihe River in recent years. J. Sediment Res. 2013, 1, 20–26. (In Chinese) [Google Scholar]
- He, L. Numerical evaluation of the effects of the Dongzhuang reservoir on channel deposition in the Lower Wei River in China. J. Mt. Sci.-Engl. 2021, 18, 1550–1563. [Google Scholar] [CrossRef]
- Shao, W.; Shi, C.; Fan, X.; Zhou, Y.; Bai, J. Sediment budgets for a sediment-laden river: The lower Wei River in the period 1960–1990. Earth Surf. Proc. Land 2015, 40, 414–426. [Google Scholar] [CrossRef]
- Hou, S.; Wang, P.; Guo, Y.; Hu, T. Factors driving riverbed scouring and sedimentation in the Bayangaole to Toudaoguai reaches of the Upper Yellow River. J. Geogr. Sci. 2016, 26, 1305–1320. [Google Scholar] [CrossRef]
- Yin, Z.; Zhang, H.; Tan, G.; Liu, Y.; Feng, Z.; Shu, C.; Wang, J.; Zhang, G. Operating Effects of the Three Gorges Reservoir on the Riverbed Stability in the Wuhan Reach of the Yangtze River. Water 2021, 13, 3353. [Google Scholar] [CrossRef]
- Yuan, X.; Tian, F.; Wang, X.; Liu, Y.; Chen, M. Small-scale sediment scouring and siltation laws in the evolution trends of fluvial facies in the Ningxia Plain Reaches of the Yellow River (NPRYR). Quatern Int. 2018, 476, 14–25. [Google Scholar] [CrossRef]
- Kendall, M.G. A New Measure of Rank Correlation. Biometrika 1938, 30, 81–93. [Google Scholar] [CrossRef]
- Mann, H.B. Nonparametric Tests Against Trend. Econometrica 1945, 13, 245–259. [Google Scholar] [CrossRef]
- Fisher, W.D. On Grouping for Maximum Homogeneity. J. Am. Stat. Assoc. 1958, 53, 789–798. [Google Scholar] [CrossRef]
- Lindberg, M.B. Fisher: A turbo Pascal unit for optimal partitions. Comput. Geosci.-UK 1990, 16, 717–732. [Google Scholar] [CrossRef]
- Roach, T.; Kapelan, Z.; Ledbetter, R. Resilience-based performance metrics for water resources management under uncertainty. Adv. Water Resour. 2018, 116, 18–28. [Google Scholar] [CrossRef]
- Xu, T. A Study on the coupling relation between the water and sediment yield sub-system and river channel deposition sub-system: An example from the Yellow River. Acta Geogr. Sin. 1997, 39–47. (In Chinese) [Google Scholar]
- Zhang, C.; Zhang, C.; Yi, X.; Luo, L. Analysis of the flooding and siltation characteristics and non-siltation critical flow in the lower Weihe River. Yellow River 2011, 33, 27–28+31+146. (In Chinese) [Google Scholar]
- Feng, P.; Li, Q.; Cao, Q.; Zhang, L. Characteristics and sediment carrying capacity of the hyperconcentrated floods in the Jing River and Wei River. J. Sediment Res. 2021, 46, 8–14. (In Chinese) [Google Scholar]
- Zhang, Y.; Huang, C.C.; Pang, J.; Zha, X.; Zhou, Y.; Yin, S.; Wang, J. Comparative study of the modern flood slackwater deposits in the upper reaches of Hanjiang and Weihe River Valleys, China. Quatern Int. 2012, 282, 184–191. [Google Scholar] [CrossRef]
- Qin, Y.; Zhang, X.; Wang, F.; Yan, H.; Han, H. Scour and silting evolution and its influencing factors in Inner Mongolian Reach of the Yellow River. J. Geogr. Sci. 2011, 21, 1037–1046. [Google Scholar] [CrossRef]
- Asselman, N.E.M. Suspended sediment dynamics in a large drainage basin: The River Rhine. Hydrol Process. 1999, 13, 1437–1450. [Google Scholar] [CrossRef]
- Yu, L. The Huanghe (Yellow) River: Recent changes and its countermeasures. Cont. Shelf Res. 2006, 26, 2281–2298. [Google Scholar] [CrossRef]












| Year | Xianyang | Lingtong | Huaxian | |||
|---|---|---|---|---|---|---|
| Flood Season | Non-Flood Season | Flood Season | Non-Flood Season | Flood Season | Non-Flood Season | |
| 2006 | −0.62 | −0.48 | −0.06 | 0.01 | 0.08 | 0.29 |
| 2007 | 0.53 | 0.04 | −0.44 | |||
| 0.33 | 0.01 | 0.58 | ||||
| 2008 | −0.12 | 0.17 | 1.02 | |||
| −0.07 | −0.3 | −0.97 | ||||
| 2009 | 0.09 | 0.08 | 0.38 | |||
| 0.39 | 0.16 | −0.15 | ||||
| 2010 | −0.45 | 0.2 | −0.25 | |||
| −0.41 | −0.07 | −0.14 | ||||
| 2011 | 0.83 | 0.01 | −0.18 | |||
| −0.25 | −0.04 | −0.81 | ||||
| 2012 | −0.1 | −0.04 | 0.19 | |||
| −1.11 | 0.71 | −0.23 | ||||
| 2013 | 0.95 | −0.34 | 0.32 | |||
| −0.38 | −0.04 | −0.39 | ||||
| 2014 | 0.27 | −0.2 | 0.98 | |||
| 0.02 | −0.05 | −1.09 | ||||
| 2015 | −0.02 | 0.84 | −0.37 | |||
| −0.22 | −0.06 | 0.7 | ||||
| 2016 | 0.1 | 0.21 | 0.04 | |||
| 0.41 | −0.28 | −0.05 | ||||
| 2017 | −0.58 | 0.07 | 0.68 | |||
| −0.22 | −0.1 | −0.67 | ||||
| 2018 | 0.01 | −0.37 | 0.15 | |||
| Hydrological Station | Streamflow | Sediment Concentration | Sediment Discharge | Incoming Sediment Coefficient | ||||
|---|---|---|---|---|---|---|---|---|
| Average (m3 s−1) | Z | Average (kg m−3) | Z | Average (kg s−1) | Z | Average | Z | |
| Xianyang | 90.91 | −0.18 | 2.70 | −1.28 | 448.79 | −0.89 | 0.03 | −1.28 |
| Lintong | 171.68 | 0.21 | 7.65 | 0.07 | 1969.38 | −1.17 | 0.05 | −0.48 |
| Huaxian | 166.11 | 0.18 | 9.15 | −1.04 | 2244.63 | −1.77 | 0.06 | −1.04 |
| Hydrological Station | Streamflow | Sediment Concentration | Sediment Discharge | Incoming Sediment Coefficient | ||||
|---|---|---|---|---|---|---|---|---|
| Average (m3 s−1) | Z | Average (kg m−3) | Z | Average (kg s−1) | Z | Average | Z | |
| Xianyang | 114.00 | 0.43 | 5.18 | −1.16 | 934.46 | −1.04 | 0.06 | −1.04 |
| Lintong | 207.14 | 0.67 | 15.87 | −0.55 | 3874.86 | −1.28 | 0.09 | −1.16 |
| Huaxian | 206.12 | 0.92 | 16.80 | −1.16 | 4088.64 | −1.65 | 0.10 | −1.28 |
| Flood Year | Hydrological Stations | Peak Discharge (m3 s−1) | Lasted | Maximum Sediment Content during Flood (kg m−3) |
|---|---|---|---|---|
| 2010 | Lintong | 2800 | 27 July 2010–31 July 2010 | 453 |
| Huaxian | 2170 | 20 August 2010–31 August 2010 | 458 | |
| 2011 | Xianyang | 2140 | 3 September 2011–11 September 2011 | 38.5 |
| 2190 | 12 September 2011–16 September 2011 | |||
| 3970 | 17 September 2011–1 October 2011 | |||
| Lintong | 2660 | 5 September 2011–11 September 2011 | 43.3 | |
| 2660 | 12 September 2011–17 September 2011 | |||
| 5400 | 18 September 2011–27 September 2011 | |||
| Huaxian | 2130 | 6 September 2011–11 September 2011 | 41.2 | |
| 2180 | 12 September 2011–17 September 2011 | |||
| 5050 | 17 September 2011–3 October 2011 | |||
| 2012 | Xianyang | 2550 | 1 September 2012–7 September 2012 | 20.5 |
| Lintong | 2590 | 1 September 2012–7 September 2012 | 486 | |
| Huaxian | 2250 | 1 September 2012–8 September 2012 | 353 | |
| 2013 | Xianyang | 3240 | 23 July 2013–26 July 2013 | 77.4 |
| Lintong | 3850 | 23 July 2013–26 July 2013 | 111 | |
| Huaxian | 2470 | 23 July 2013–27 July 2013 | 99.3 | |
| 2018 | Xianyang | 4240 | 10 July 2018–20 July 2018 | 53.8 |
| Lintong | 2460 | 3 July 2018–9 July 2018 | 193 | |
| 4450 | 10 July 2018–22 July 2018 | |||
| Huaxian | 2140 | 2 July 2018–9 July 2018 | 111 | |
| 3380 | 10 July 2018–22 July 2018 |
Publisher’s Note: MDPI stays neutral with regard to jurisdictional claims in published maps and institutional affiliations. |
© 2022 by the authors. Licensee MDPI, Basel, Switzerland. This article is an open access article distributed under the terms and conditions of the Creative Commons Attribution (CC BY) license (https://creativecommons.org/licenses/by/4.0/).
Share and Cite
Ma, C.; Qiu, D.; Mu, X.; Gao, P. Morphological Evolution Characteristics of River Cross-Sections in the Lower Weihe River and Their Response to Streamflow and Sediment Changes. Water 2022, 14, 3419. https://doi.org/10.3390/w14213419
Ma C, Qiu D, Mu X, Gao P. Morphological Evolution Characteristics of River Cross-Sections in the Lower Weihe River and Their Response to Streamflow and Sediment Changes. Water. 2022; 14(21):3419. https://doi.org/10.3390/w14213419
Chicago/Turabian StyleMa, Chaohui, Dexun Qiu, Xingmin Mu, and Peng Gao. 2022. "Morphological Evolution Characteristics of River Cross-Sections in the Lower Weihe River and Their Response to Streamflow and Sediment Changes" Water 14, no. 21: 3419. https://doi.org/10.3390/w14213419
APA StyleMa, C., Qiu, D., Mu, X., & Gao, P. (2022). Morphological Evolution Characteristics of River Cross-Sections in the Lower Weihe River and Their Response to Streamflow and Sediment Changes. Water, 14(21), 3419. https://doi.org/10.3390/w14213419

