Baseflow Persistence and Magnitude in Oil Palm, Logged and Primary Tropical Rainforest Catchments in Malaysian Borneo: Implications for Water Management under Climate Change
Abstract
1. Introduction and Brief Review
2. Experimental Design and Study Area
3. Methodology
3.1. Data Collection and Processing
3.2. Baseflow Recession Constant
3.3. Statistical Analyses
4. Results and Analysis
4.1. Evaluation and Selection of K Estimation Methods
4.1.1. Precision (Coefficient of Variation)
4.1.2. Performance of Various K Estimators (Root Mean Squared Error)
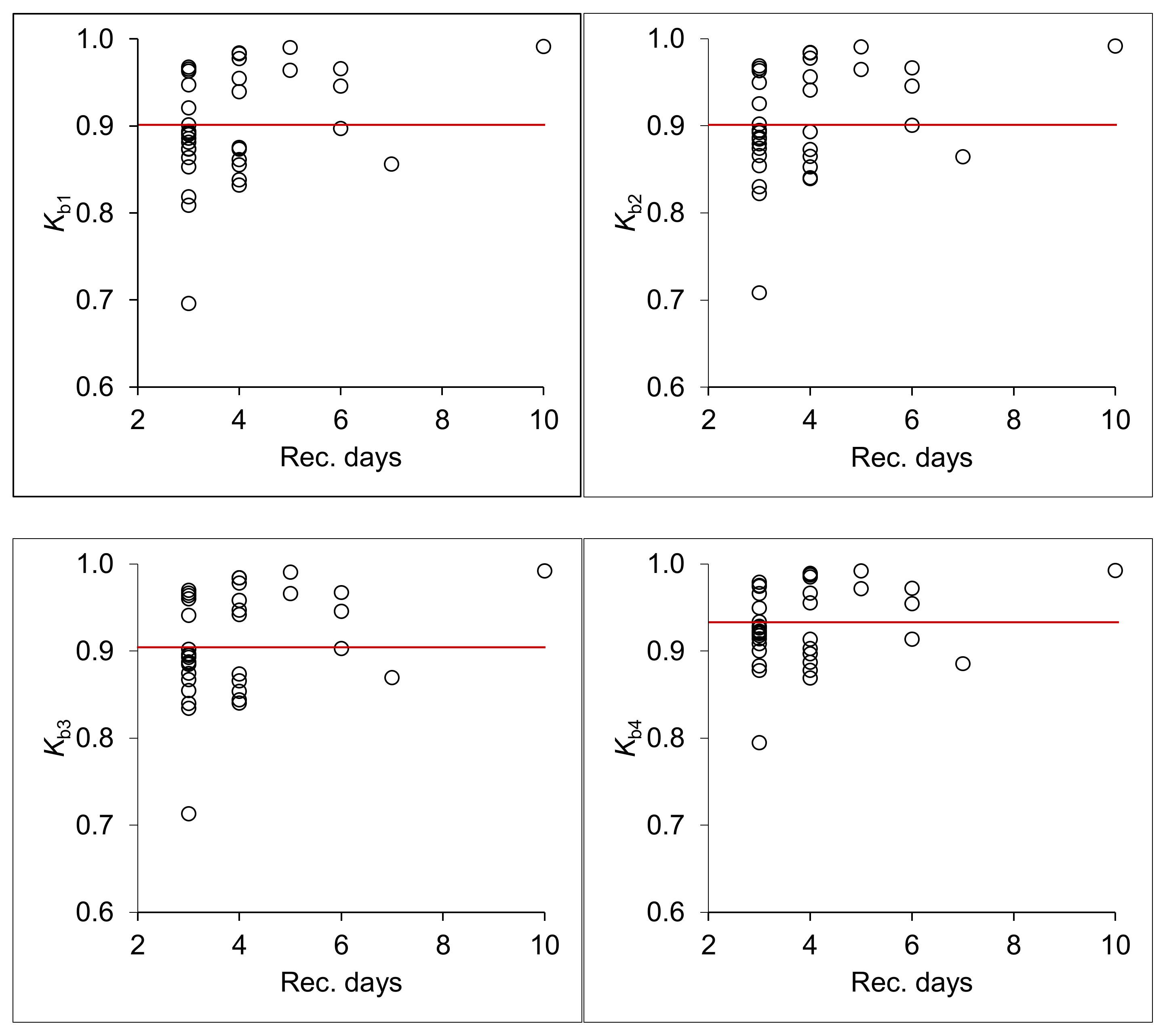
4.1.3. Effects of Baseflow Recession Length on K
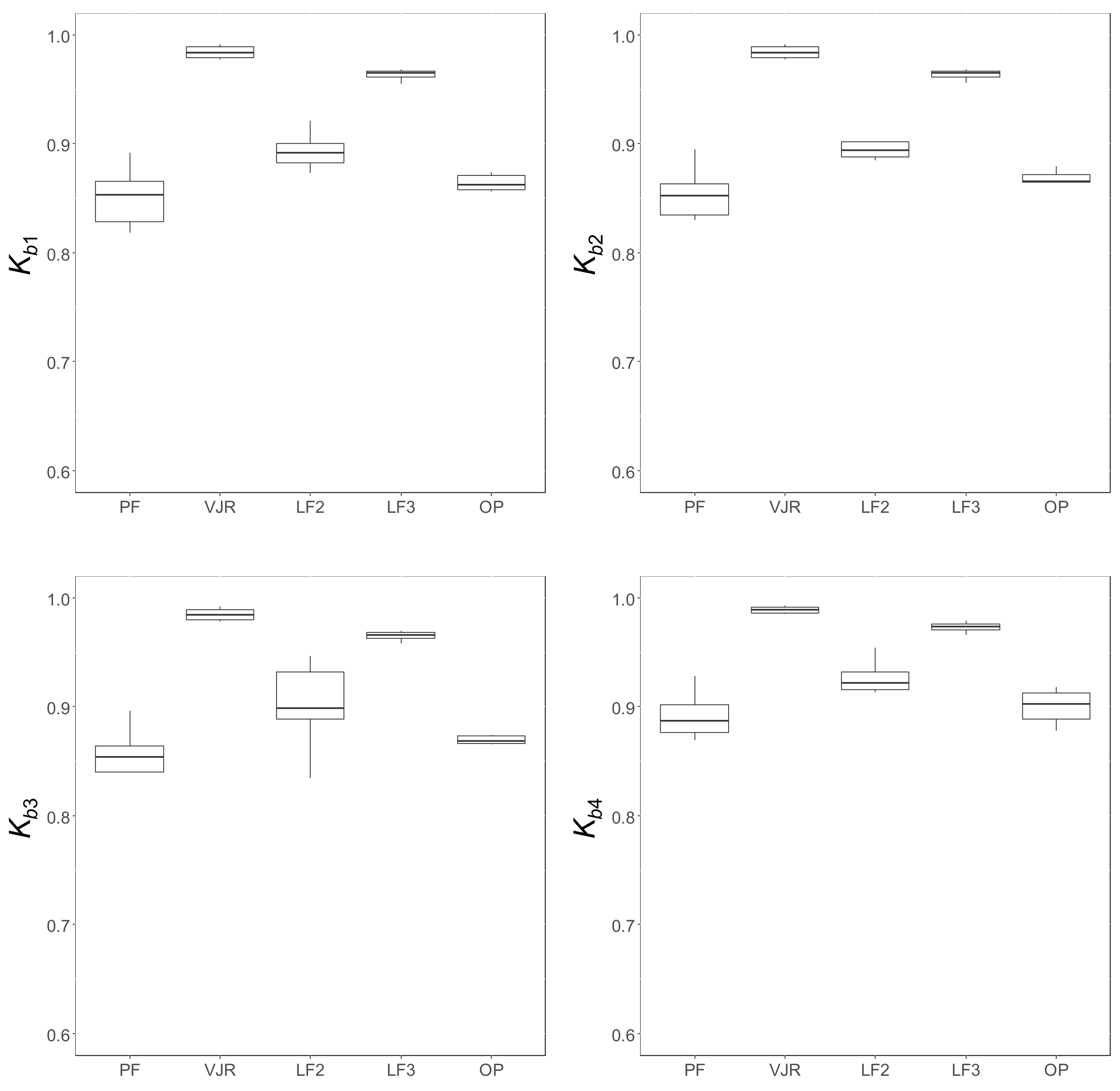
4.2. Baseflow and K in a Gradient of Land-Use Disturbances
5. Discussion
5.1. Evaluation and Selection of K Estimation Methods
5.2. Baseflow and K in a Gradient of Land-Use Disturbances
6. Conclusions
- Kb3 was found to be the most effective baseflow recession estimator in terms of resulting in the lowest combination of Coefficient of Variation and Root Mean Squared Error values. However, Kb4 should be considered in even wetter tropical areas than the study area where baseflow recessions are even shorter.
- The VJR had the highest baseflow recession constant (slowest recession; K = 0.97841), followed by the LF3 (K = 0.96692), LF2 (K = 0.90347), OP (K = 0.86756), and PF (K = 0.83886).
- Catchment baseflow values (absolute; % of streamflow) were found to be (in decreasing order): PF (1877 mm; 68%), LF3 (1265 mm; 55%), LF2 (812 mm; 51%), VJR (753 mm; 42%), and OP (367; 38%). Synthesizing K and baseflow data, the PF has the highest baseflow quantity and persistence despite having the fastest baseflow recession. This is followed by the VJR and LF3 (minimal differences in baseflow), the LF2, and the OP.
Author Contributions
Funding
Data Availability Statement
Acknowledgments
Conflicts of Interest
Appendix A
| Cat. | Event | Kb1 | Kb2 | Kb3 | Kb4 | Rec. Days | RMSE | |||
|---|---|---|---|---|---|---|---|---|---|---|
| Kb1 | Kb2 | Kb3 | Kb4 | |||||||
| PF | PF1 | 0.85333 | 0.85408 | 0.85444 | 0.90019 | 3 | 0.29676 | 0.25221 | 0.20866 | 0.41946 |
| PF | PF2 | 0.83822 | 0.83905 | 0.84037 | 0.86902 | 4 | 0.03038 | 0.03523 | 0.04576 | 0.27295 |
| PF | PF3 | 0.85561 | 0.85251 | 0.85372 | 0.88721 | 4 | 0.11725 | 0.10339 | 0.08998 | 0.12664 |
| PF | PF4 | 0.81860 | 0.82992 | 0.83983 | 0.88313 | 3 | 0.33437 | 0.35716 | 0.38158 | 0.82407 |
| PF | PF5 | 0.89208 | 0.89453 | 0.89668 | 0.92839 | 3 | 0.27589 | 0.26170 | 0.24780 | 0.06065 |
| PF | PF7 | 0.87565 | 0.87256 | 0.87366 | 0.90281 | 4 | 0.12413 | 0.11606 | 0.10814 | 0.01972 |
| PF | PF9 | 0.69596 | 0.70831 | 0.71330 | 0.79460 | 3 | 0.75311 | 0.77099 | 0.78853 | 1.03822 |
| Mean | 0.83278 | 0.83585 | 0.83886 | 0.88076 | 3.4 | 0.27598 | 0.27096 | 0.26721 | 0.39453 | |
| CoV | 0.07790 | 0.07197 | 0.07017 | 0.04804 | 0.86262 | 0.91092 | 0.95951 | 1.00216 | ||
| VJR | VJR1 | 0.98391 | 0.98393 | 0.98398 | 0.98926 | 4 | 0.01239 | 0.01202 | 0.01158 | 0.02902 |
| VJR | VJR2 | 0.98398 | 0.98396 | 0.98400 | 0.98795 | 4 | 0.02272 | 0.02199 | 0.02066 | 0.00213 |
| VJR | VJR3 | 0.99028 | 0.99029 | 0.99041 | 0.99222 | 5 | 0.04864 | 0.04785 | 0.04639 | 0.02572 |
| VJR | VJR4 | 0.93965 | 0.94071 | 0.94186 | 0.95519 | 4 | 0.19620 | 0.19722 | 0.19910 | 0.22574 |
| VJR | VJR5 | 0.97768 | 0.97777 | 0.97810 | 0.98513 | 4 | 0.03773 | 0.03853 | 0.04002 | 0.06168 |
| VJR | VJR6 | 0.99149 | 0.99155 | 0.99211 | 0.99260 | 10 | 0.07387 | 0.07213 | 0.06896 | 0.03260 |
| Mean | 0.97783 | 0.97804 | 0.97841 | 0.98372 | 5.2 | 0.06526 | 0.06496 | 0.06445 | 0.06281 | |
| CoV | 0.01980 | 0.01938 | 0.01901 | 0.01449 | 1.03607 | 1.04828 | 1.07013 | 1.30623 | ||
| LF2 | LF11 | 0.87358 | 0.89298 | 0.94675 | 0.91343 | 4 | 0.02805 | 0.02543 | 0.02265 | 0.02988 |
| LF2 | LF12 | 0.89415 | 0.89458 | 0.89500 | 0.91985 | 3 | 0.00624 | 0.00368 | 0.00273 | 0.01412 |
| LF2 | LF13 | 0.80875 | 0.82222 | 0.83430 | 0.87766 | 3 | 0.09172 | 0.09661 | 0.10609 | 0.12757 |
| LF2 | LF14 | 0.94580 | 0.94548 | 0.94577 | 0.95436 | 6 | 0.14647 | 0.13543 | 0.11380 | 0.06363 |
| LF2 | LF15 | 0.88131 | 0.88455 | 0.88736 | 0.92147 | 3 | 0.01371 | 0.01711 | 0.02447 | 0.04221 |
| LF2 | LF16 | 0.88581 | 0.88641 | 0.88666 | 0.92276 | 3 | 0.00598 | 0.01119 | 0.02161 | 0.04521 |
| LF2 | LF17 | 0.89010 | 0.89180 | 0.89288 | 0.92650 | 3 | 0.01218 | 0.01696 | 0.03237 | 0.07149 |
| LF2 | LF18 | 0.92076 | 0.92529 | 0.94109 | 0.94955 | 3 | 0.02385 | 0.02114 | 0.01674 | 0.01540 |
| LF2 | LF19 | 0.89715 | 0.90022 | 0.90293 | 0.91384 | 6 | 0.01863 | 0.02133 | 0.03730 | 0.08522 |
| LF2 | LF110 | 0.90135 | 0.90180 | 0.90198 | 0.93341 | 3 | 0.01268 | 0.00748 | 0.00370 | 0.02618 |
| Mean | 0.88988 | 0.89453 | 0.90347 | 0.92328 | 3.7 | 0.03595 | 0.03564 | 0.03815 | 0.05209 | |
| CoV | 0.03968 | 0.03541 | 0.03797 | 0.02298 | 1.28528 | 1.23031 | 1.03299 | 0.68329 | ||
| LF3 | LF21 | 0.96794 | 0.96829 | 0.96982 | 0.97875 | 3 | 0.00842 | 0.00788 | 0.00740 | 0.01628 |
| LF3 | LF22 | 0.94752 | 0.94956 | 0.95999 | 0.96608 | 3 | 0.04577 | 0.04686 | 0.05062 | 0.06305 |
| LF3 | LF23 | 0.98321 | 0.98331 | 0.98396 | 0.98746 | 4 | 0.03557 | 0.03434 | 0.03015 | 0.01681 |
| LF3 | LF24 | 0.95480 | 0.95582 | 0.95827 | 0.96668 | 4 | 0.08326 | 0.08722 | 0.10104 | 0.14695 |
| LF3 | LF26 | 0.96599 | 0.96655 | 0.96719 | 0.97205 | 6 | 0.01463 | 0.01380 | 0.01706 | 0.05022 |
| LF3 | LF28 | 0.96544 | 0.96590 | 0.96674 | 0.97431 | 3 | 0.04263 | 0.03839 | 0.02418 | 0.02566 |
| LF3 | LF29 | 0.96421 | 0.96471 | 0.96567 | 0.97167 | 5 | 0.01925 | 0.02104 | 0.03148 | 0.07676 |
| LF3 | LF211 | 0.96306 | 0.96329 | 0.96375 | 0.97537 | 3 | 0.01387 | 0.01596 | 0.02455 | 0.05576 |
| Mean | 0.96402 | 0.96468 | 0.96692 | 0.97405 | 3.9 | 0.03292 | 0.03319 | 0.03581 | 0.05644 | |
| CoV | 0.01072 | 0.01017 | 0.00814 | 0.00706 | 0.75144 | 0.77202 | 0.81381 | 0.75823 | ||
| OP | OP1 | 0.86144 | 0.86484 | 0.86583 | 0.89681 | 4 | 0.00940 | 0.01173 | 0.01473 | 0.06450 |
| OP | OP3 | 0.86393 | 0.86597 | 0.86693 | 0.90852 | 3 | 0.01070 | 0.01060 | 0.01302 | 0.06532 |
| OP | OP4 | 0.87328 | 0.87401 | 0.87431 | 0.91414 | 3 | 0.01464 | 0.00951 | 0.00651 | 0.03227 |
| OP | OP5 | 0.87403 | 0.87912 | 0.88472 | 0.91770 | 3 | 0.02179 | 0.01914 | 0.01817 | 0.04002 |
| OP | OP6 | 0.85644 | 0.86436 | 0.86954 | 0.88561 | 7 | 0.05527 | 0.06707 | 0.07451 | 0.17263 |
| OP | OP9 | 0.83221 | 0.84048 | 0.84404 | 0.87780 | 4 | 0.01978 | 0.02252 | 0.02420 | 0.04506 |
| Mean | 0.86022 | 0.86480 | 0.86756 | 0.90010 | 4.0 | 0.02193 | 0.02343 | 0.02519 | 0.06996 | |
| CoV | 0.01783 | 0.01536 | 0.01547 | 0.01788 | 0.77721 | 0.93882 | 0.98671 | 0.74349 | ||
References
- Nainar, A.; Tanaka, N.; Bidin, K.; Annammala, K.V.; Ewers, R.M.; Reynolds, G.; Walsh, R.P.D. Hydrological dynamics of tropical streams on a gradient of land-use disturbance and recovery: A multi-catchment experiment. J. Hydrol. 2018, 566, 581–594. [Google Scholar] [CrossRef]
- Nainar, A.; Bidin, K.; Walsh, R.P.D.; Ewers, R.M.; Reynolds, G. Effects of different land-use on suspended sediment dynamics in Sabah (Malaysian Borneo)—A view at the event and annual timescales. Hydrol. Res. Lett. 2017, 11, 79–84. [Google Scholar] [CrossRef]
- Department of Irrigation and Drainage. Sungei Tekam Experimental Basin Calibration Report, July 1980 to June 1983; Bahagian Parit & Tali Air: Kuala Lumpur, Malaysia, 1982. [Google Scholar]
- Department of Irrigation and Drainage. Sungei Tekam Experimental Basin Transition Report, July 1980 to June 1983; Publication Unit: Kuala Lumpur, Malaysia, 1986. [Google Scholar]
- Douglas, I. Hydrological investigations of forest disturbance and land cover impacts in South-East Asia: A review. Philos. Trans. R. Soc. B 1999, 354, 1725–1738. [Google Scholar] [CrossRef] [PubMed]
- Douglas, I. Water and the Rainforest in Malaysian Borneo; Springer Nature: Cham, Switzerland, 2022. [Google Scholar]
- Vergopolan, N.; Fisher, J.B. The impact of deforestation on the hydrological cycle in Amazonia as observed from remote sensing. Int. J. Remote Sens. 2016, 37, 5412–5430. [Google Scholar] [CrossRef]
- Espinoza, J.C.; Sörensson, A.A.; Ronchail, J.; Molina-Carpio, J.; Segura, H.; Gutierrez-Cori, O.; Ruscica, R.; Condom, T.; Wongchuig-Correa, S. Regional hydro-climatic changes in the Southern Amazon Basin (Upper Madeira Basin) during the 1982–2017 period. J. Hydrol. Reg. Stud. 2019, 26, 100637. [Google Scholar] [CrossRef]
- Rizzo, R.; Garcia, A.S.; Vilela, V.M.d.F.N.; Ballester, M.V.R.; Neill, C.; Victoria, D.C.; da Rocha, H.R.; Coe, M.T. Land use changes in Southeastern Amazon and trends in rainfall and water yield of the Xingu River during 1976–2015. Clim. Chang. 2020, 162, 1419–1436. [Google Scholar] [CrossRef]
- De Oliveira, G.; Chen, J.M.; Mataveli, G.A.V.; Chaves, M.E.D.; Rao, J.; Sternberg, M.; Dos Santos, T.V.; Dos Santos, C.A.C. Evapotranspiration and Precipitation over Pasture and Soybean Areas in the Xingu River Basin, an Expanding Amazonian Agricultural Frontier. Agronomy 2020, 10, 1112. [Google Scholar] [CrossRef]
- Marhaento, H.; Booij, M.J.; Ahmed, N. Quantifying relative contribution of land use change and climate change to streamflow alteration in the Bengawan Solo River, Indonesia. Hydrol. Sci. J. 2021, 66, 1059–1068. [Google Scholar] [CrossRef]
- Stefanidis, S.; Alexandridis, V.; Mallinis, G. A cloud-based mapping approach for assessing spatiotemporal changes in erosion dynamics due to biotic and abiotic disturbances in a Mediterranean Peri-Urban forest. CATENA 2022, 218, 106564. [Google Scholar] [CrossRef]
- Fan, Y.; Meijide, A.; Lawrence, D.M.; Roupsard, O.; Carlson, K.M.; Chen, H.Y.; Röll, A.; Niu, F.; Knohl, A. Reconciling Canopy Interception Parameterization and Rainfall Forcing Frequency in the Community Land Model for Simulating Evapotranspiration of Rainforests and Oil Palm Plantations in Indonesia. J. Adv. Model. Earth Syst. 2019, 11, 732–751. [Google Scholar] [CrossRef]
- Meijide, A.; Badu, C.S.; Moyano, F.; Tiralla, N.; Gunawan, D.; Knohl, A. Impact of forest conversion to oil palm and rubber plantations on microclimate and the role of the 2015 ENSO event. Agric. For. Meteorol. 2018, 252, 208–219. [Google Scholar] [CrossRef]
- Röll, A.; Niu, F.; Meijide, A.; Hardanto, A.; Hendrayanto; Knohl, A.; Hölscher, D. Transpiration in an oil palm landscape: Effects of palm age. Biogeosciences 2015, 12, 5619–5633. [Google Scholar] [CrossRef]
- Srivastava, A.; Kumari, N.; Maza, M. Hydrological Response to Agricultural Land Use Heterogeneity Using Variable Infiltration Capacity Model. Water Resour. Manag. 2020, 34, 3779–3794. [Google Scholar] [CrossRef]
- Yang, H.; Choi, H.; Lim, H. Applicability Assessment of Estimation Methods for Baseflow Recession Constants in Small Forest Catchments. Water 2018, 10, 1074. [Google Scholar] [CrossRef]
- Kienzle, S.W. The Use of the Recession Index as an Indicator for Streamflow Recovery After a Multi-Year Drought. Water Resour. Manag. 2006, 20, 991–1006. [Google Scholar] [CrossRef]
- Nainar, A.; Tanaka, N.; Sato, T.; Kishimoto, K.; Kuraji, K. A comparison of the baseflow recession constant (K) between a Japanese cypress and mixed-broadleaf forest via six estimation methods. Sustain. Water Resour. Manag. 2021, 7, 6. [Google Scholar] [CrossRef]
- Sidle, R.C.; Sasaki, S.; Otsuki, M.; Noguchi, S.; Abdul Rahim, N. Sediment pathways in a tropical forest: Effects of logging roads and skid trails. Hydrol. Process. 2004, 18, 703–720. [Google Scholar] [CrossRef]
- Tani, M.; Nik, A.R.; Yasuda, Y.; Noguchi, S.; Shamsuddin, S.A.; Md Sahat, M.; Takanashi, S.; Rah Nik, A.I.; Yasuda, Y.; Shamsuddin, S.A.; et al. Long-Term Estimation of Evapotranspiration from a Tropical Rain Forest in Peninsular Malaysia; International Association of Hydrological Sciences: Wallingford, UK, 2003; pp. 267–274. [Google Scholar]
- Kume, T.; Tanaka, N.; Kuraji, K.; Komatsu, H.; Yoshifuji, N.; Saitoh, T.M.; Suzuki, M.; Kumagai, T. Ten-year evapotranspiration estimates in a Bornean tropical rainforest. Agric. For. Meteorol. 2011, 151, 1183–1192. [Google Scholar] [CrossRef]
- Douglas, I.; Spencer, T.; Greer, T.; Bidin, K.; Sinun, W.; Meng, W.W. The impact of selective commercial logging on stream hydrology, chemistry and sediment loads in the Ulu Segama rain forest, Sabah, Malaysia. Philos. Trans. R. Soc. B 1992, 335, 397–406. [Google Scholar]
- Mohammad, N.A.; Nainar, A.; Annammala, K.V.; Sugumaran, D.; Jamal, M.H.; Yusop, Z. Soil erosion in disturbed forests and agricultural plantations in tropical undulating terrain: In situ measurement using a laser erosion bridge method. J. Water Clim. Chang. 2020, 11, 1032–1041. [Google Scholar] [CrossRef]
- Sugumaran, D.; Nainar, A.; Mohd Yusoff, A.R.; Yusop, Z.; Mohammad, N.A.; Mazilamani, L.S.; Annammala, K.V. Tracing non-point source sediment using environmental forensic method: Case study in Kelantan river basin, Malaysia. J. Water Clim. Chang. 2019, in press. [Google Scholar]
- Walsh, R.P.D.; Bidin, K.; Blake, W.H.; Chappell, N.A.; Clarke, M.A.; Douglas, I.; Ghazali, R.; Sayer, A.M.; Suhaimi, J.; Tych, W.; et al. Long-term responses of rainforest erosional systems at different spatial scales to selective logging and climatic change. Philos. Trans. R. Soc. B 2011, 366, 3340–3353. [Google Scholar] [CrossRef] [PubMed][Green Version]
- Luke, S.H.; Barclay, H.; Bidin, K.; Chey, V.K.; Ewers, R.M.; Foster, W.A.; Nainar, A.; Pfeifer, M.; Reynolds, G.; Turner, E.C.; et al. The effects of catchment and riparian forest quality on stream environmental conditions across a tropical rainforest and oil palm landscape in Malaysian Borneo. Ecohydrology 2017, 10, e1827. [Google Scholar] [CrossRef] [PubMed]
- Sulai, P.; Nurhidayu, S.; Aziz, N.; Zakaria, M.; Barclay, H.; Azhar, B. Effects of water quality in oil palm production landscapes on tropical waterbirds in Peninsular Malaysia. Ecol. Res. 2015, 30, 941–949. [Google Scholar] [CrossRef]
- Reynolds, G.; Payne, J.; Sinun, W.; Mosigil, G.; Walsh, R.P.D. Changes in forest land use and management in Sabah, Malaysian Borneo, 1990–2010, with a focus on the Danum Valley region. Philos. Trans. R. Soc. B 2011, 366, 3168–3176. [Google Scholar] [CrossRef]
- Bidin, K.; Chappell, N.A. Characteristics of rain events at an inland locality in northeastern Borneo, Malaysia. Hydrol. Process. 2006, 20, 3835–3850. [Google Scholar] [CrossRef][Green Version]
- Chappell, N.A.; Bidin, K.; Tych, W. Modelling rainfall and canopy controls on net-precipitation beneath selectively-logged tropical forest. Plant Ecol. 2001, 153, 215–229. [Google Scholar] [CrossRef]
- Ewers, R.M.; Didham, R.K.; Fahrig, L.; Ferraz, G.; Hector, A.; Holt, R.D.; Kapos, V.; Reynolds, G.; Sinun, W.; Snaddon, J.L.; et al. A large-scale forest fragmentation experiment: The Stability of Altered Forest Ecosystems Project. Philos. Trans. R. Soc. B 2011, 366, 3292–3302. [Google Scholar] [CrossRef]
- Turner, E.C.; Zainal Abidin, Y.; Barlow, H.; Fayle, T.M.; Hattah, M.; Jaafar, H.J.; Vun Khen, C.; Larenus, J.; Nainar, A.; Reynolds, G.; et al. The Stability of Altered Forest Ecosystems Project: Investigating the Design of Human-Modified Landscapes for Productivity and Conservation. Plant 2012, 88, 453–468. [Google Scholar]
- Padfield, R.; Hansen, S.; Davies, Z.G.; Ehrensperger, A.; Slade, E.; Evers, S.; Papargyropoulou, E.; Bessou, C.; Abdullah, N.; Page, S.; et al. Co-producing a research agenda for sustainable palm oil. Front. For. Glob. Chang. 2019, 2, 1–17. [Google Scholar] [CrossRef]
- Rondhi, M.; Pratiwi, P.A.; Handini, V.T.; Sunartomo, A.F.; Budiman, S.A. Agricultural Land Conversion, Land Economic Value, and Sustainable Agriculture: A Case Study in East Java, Indonesia. Land 2018, 7, 148. [Google Scholar] [CrossRef]
- Fox, J.; Nghiem, T.; Kimkong, H.; Hurni, K.; Baird, I.G. Large-Scale Land Concessions, Migration, and Land Use: The Paradox of Industrial Estates in the Red River Delta of Vietnam and Rubber Plantations of Northeast Cambodia. Land 2018, 7, 77. [Google Scholar] [CrossRef]
- Fox, J.; Vogler, J.B.; Sen, O.L.; Giambelluca, T.W.; Ziegler, A.D. Simulating Land-Cover Change in Montane Mainland Southeast Asia. Environ. Manag. 2012, 49, 968–979. [Google Scholar] [CrossRef] [PubMed]
- Rathnayake, C.W.M.; Jones, S.; Soto-Berelov, M. Mapping Land Cover Change over a 25-Year Period (1993–2018) in Sri Lanka Using Landsat Time-Series. Land 2020, 9, 27. [Google Scholar] [CrossRef]
- Jepsen, M.R.; Palm, M.; Bruun, T.B. What Awaits Myanmar’s Uplands Farmers? Lessons Learned from Mainland Southeast Asia. Land 2019, 8, 29. [Google Scholar] [CrossRef]
- Camacho-Valdez Id, V.; Rodiles-Herná Ndez, R.; Navarrete-Gutié Rrez, D.A.; Valencia-Barrera, E. Tropical wetlands and land use changes: The case of oil palm in neotropical riverine floodplains. PLoS ONE 2022, 17, e0266677. [Google Scholar] [CrossRef]
- Lambin, E.F.; Geist, H.J.; Lepers, E. Dynamics of Land-Use and Land-Cover Change in Tropical Regions. Annu. Rev. Environ. Resour. 2003, 28, 205–241. [Google Scholar] [CrossRef]
- Singh, M.; Malhi, Y.; Bhagwat, S.A. Aboveground biomass and tree diversity of riparian zones in an oil palm-dominated mixed landscape in Borneo. J. Trop. For. Sci. 2015, 27, 227–239. [Google Scholar]
- Newbery, D.M.; Kennedy, D.N.; Petol, G.H.; Madani, L.; Ridsdale, C.E. Primary forest dynamics in lowland dipterocarp forest at Danum Valley, Sabah, Malaysia, and the role of the understorey. Philos. Trans. R. Soc. B 1999, 354, 1763–1782. [Google Scholar] [CrossRef]
- Leong, K.M. The Geology and Mineral Resources of the Upper Segama Valley and Darvel Bay Area, Sabah, Malaysia; Memoir 4 (Revised); U.S. Government Printing Office: Washington, DC, USA, 1974.
- Geological Survey of Malaysia. Geological Map of Sabah, 3rd ed.Geological Survey of Malaysia: Kuala Lumpur, Malaysia, 1985. [Google Scholar]
- Vogel, R.M.; Kroll, C.N. Regional geohydrologic-geomorphic relationships for the estimation of low-flow statistics. Water Resour. Res. 1992, 28, 2451–2458. [Google Scholar] [CrossRef]
- Thomas, B.F.; Vogel, R.M.; Kroll, C.N.; Famiglietti, J.S. Estimation of the base flow recession constant under human interference. Water Resour. Res. 2013, 49, 7366–7379. [Google Scholar] [CrossRef]
- Thomas, B.F.; Vogel, R.M.; Famiglietti, J.S. Objective hydrograph baseflow recession analysis. J. Hydrol. 2015, 525, 102–112. [Google Scholar] [CrossRef]
- Kelman, J. A stochastic model for daily streamflow. J. Hydrol. 1980, 47, 235–249. [Google Scholar] [CrossRef]
- Bates, B.C.; Davies, P.K. Effect of baseflow separation procedures on surface runoff models. J. Hydrol. 1988, 103, 309–322. [Google Scholar] [CrossRef]
- Tallaksen, L.M. A review of baseflow recession analysis. J. Hydrol. 1995, 165, 349–370. [Google Scholar] [CrossRef]
- Stagnitta, T.J.; Kroll, C.N.; Zhang, Z. A comparison of methods for low streamflow estimation from spot measurements. Hydrol. Process. 2018, 32, 480–492. [Google Scholar] [CrossRef]
- Boussinesq, J. Essai sur la théorie des eaux courantes. In Mémoires Présentés par Divers Savants à l’Academie des Sciences de l’Institut de France; Nabu Press: Charleston, SC, USA, 1877; Volume 23, p. 64. [Google Scholar]
- Brutsaert, W.; Nieber, J.L. Regionalized drought flow hydrographs from a mature glaciated plateau. Water Resour. Res. 1977, 13, 637–643. [Google Scholar] [CrossRef]
- Vogel, R.M.; Kroll, C.N. Estimation of baseflow recession constants. Water Resour. Manag. 1996, 10, 303–320. [Google Scholar] [CrossRef]
- Beck, H.E.; van Dijk, A.I.J.M.; Miralles, D.G.; de Jeu, R.A.M.; Bruijnzeel, L.A.; McVicar, T.R.; Schellekens, J. Global patterns in base flow index and recession based on streamflow observations from 3394 catchments. Water Resour. Res. 2013, 49, 7843–7863. [Google Scholar] [CrossRef]
- Van Dijk, A.I.J.M. Climate and terrain factors explaining streamflow response and recession in Australian catchments. Hydrol. Earth Syst. Sci. 2010, 14, 159–169. [Google Scholar] [CrossRef]
- Hall, F.R. Base-Flow Recessions-A Review. Water Resour. Res. 1968, 4, 973–983. [Google Scholar] [CrossRef]
- Renner, M.; Hassler, S.K.; Blume, T.; Weiler, M.; Hildebrandt, A.; Guderle, M.; Schymanski, S.J.; Kleidon, A. Dominant controls of transpiration along a hillslope transect inferred from ecohydrological measurements and thermodynamic limits. Hydrol. Earth Syst. Sci 2016, 20, 2063–2083. [Google Scholar] [CrossRef]
- Ghimire, C.P.; Bruijnzeel, L.A.; Lubczynski, M.W.; Zwartendijk, B.W.; Odongo, V.O.; Ravelona, M.; Van Meerveld, H.J.I. Transpiration and stomatal conductance in a young secondary tropical montane forest: Contrasts between native trees and invasive understorey shrubs. Tree Physiol. 2018, 38, 1053–1070. [Google Scholar] [CrossRef]
- Forrester, D.I. Transpiration and water-use efficiency in mixed-species forests versus monocultures: Effects of tree size, stand density and season. Tree Physiol. 2015, 35, 289–304. [Google Scholar] [CrossRef]
- Salas-Acosta, E.R.; Andrade, J.L.; Perera-Burgos, J.A.; Us-Santamaría, R.; Figueroa-Espinoza, B.; Uuh-Sonda, J.M.; Cejudo, E. Transpiration of a Tropical Dry Deciduous Forest in Yucatan, Mexico. Atmosphere 2022, 13, 271. [Google Scholar] [CrossRef]
- Kobayashi, N.; Kumagai, T.; Miyazawa, Y.; Matsumoto, K.; Tateishi, M.; Lim, T.K.; Mudd, R.G.; Ziegler, A.D.; Giambelluca, T.W.; Yin, S. Transpiration characteristics of a rubber plantation in central Cambodia. Tree Physiol. 2014, 34, 285–301. [Google Scholar] [CrossRef] [PubMed]
- Tanaka, N.; Levia, D.; Igarashi, Y.; Yoshifuji, N.; Tanaka, K.; Tantasirin, C.; Nanko, K.; Suzuki, M.; Kumagai, T. What factors are most influential in governing stemflow production from plantation-grown teak trees? J. Hydrol. 2017, 544, 10–20. [Google Scholar] [CrossRef]
- Delzon, S.; Loustau, D. Age-related decline in stand water use: Sap flow and transpiration in a pine forest chronosequence. Agric. For. Meteorol. 2005, 129, 105–119. [Google Scholar] [CrossRef]
- Ambrose, A.R.; Sillett, S.C.; Koch, G.W.; Van Pelt, R.; Antoine, M.E.; Dawson, T.E. Effects of height on treetop transpiration and stomatal conductance in coast redwood (Sequoia sempervirens). Tree Physiol. 2010, 30, 1260–1272. [Google Scholar] [CrossRef]
- Kuraji, K.; Gomyo, M.; Nainar, A. Thinning of cypress forest increases subsurface runoff but reduces peak storm-runoff: A lysimeter observation. Hydrol. Res. Lett. 2019, 13, 49–54. [Google Scholar] [CrossRef]
- Nainar, A.; Tanaka, N.; Sato, T.; Mizuuchi, Y.; Kuraji, K. A comparison of hydrological characteristics between a cypress and mixed-broadleaf forest: Implication on water resource and floods. J. Hydrol. 2021, 595, 125679. [Google Scholar] [CrossRef]





| Catchment | Area (km2) | Runoff ratio, C | μ Channel ⦛ (°) | μ Slope ⦛ (°) | Elevation (m.a.s.l) | μ LAI | μ AGB (t ha−1) | Tree Density (ha−1) | |
|---|---|---|---|---|---|---|---|---|---|
| <10 cm | >10 cm | ||||||||
| Primary Forest (PF) | 1.70 | 0.789 | 8.94 | 9.41 | 188–309 | 4.74 | 22.50 | 1706 | 453 |
| Virgin Jungle Reserve (VJR) | 3.08 | 0.615 | 38.64 | 50.48 | 97–859 | 4.15 | 9.34 | 233 | 48 |
| Twice-logged Forest (LF2) | 4.64 | 0.889 | 12.10 | 26.11 | 429–864 | 3.82 | 5.39 | 173 | 456 |
| Multiple-logged Forest (LF3) | 2.78 | 0.796 | 32.81 | 39.64 | 277–904 | 4.02 | 5.90 | 400 | 440 |
| Oil Palm Plantation (OP) | 3.27 | 0.357 | 17.39 | 26.48 | 199–517 | 2.40 | 2.07 | 455 | 601 |
| Catchment | CoV of K | |||
|---|---|---|---|---|
| Kb1 | Kb2 | Kb3 | Kb4 | |
| PF | 0.07790 | 0.07197 | 0.07017 | 0.04804 |
| VJR | 0.01980 | 0.01938 | 0.01901 | 0.01449 |
| LF2 | 0.03968 | 0.03541 | 0.03797 | 0.02298 |
| LF3 | 0.01072 | 0.01017 | 0.00814 | 0.00706 |
| OP | 0.01783 | 0.01536 | 0.01547 | 0.01788 |
| Catchment | RMSE | |||
|---|---|---|---|---|
| Kb1 | Kb2 | Kb3 | Kb4 | |
| PF | 0.27598 | 0.27096 | 0.26721 | 0.39453 |
| VJR | 0.06526 | 0.06496 | 0.06445 | 0.06281 |
| LF2 | 0.03595 | 0.03564 | 0.03815 | 0.05209 |
| LF3 | 0.03292 | 0.03319 | 0.03581 | 0.05644 |
| OP | 0.02193 | 0.02343 | 0.02519 | 0.06996 |
| Catchment | Kb1 | Kb2 | Kb3 | Kb4 |
|---|---|---|---|---|
| PF | 0.83278 | 0.83585 | 0.83886 | 0.88076 |
| VJR | 0.97783 | 0.97804 | 0.97841 | 0.98372 |
| LF2 | 0.88988 | 0.89453 | 0.90347 | 0.92328 |
| LF3 | 0.96402 | 0.96468 | 0.96692 | 0.97405 |
| OP | 0.86022 | 0.86480 | 0.86756 | 0.90010 |
| Discharge Parameter | PF | VJR | LF2 | LF3 | OP |
|---|---|---|---|---|---|
| Annual streamflow (mm) | 2764 | 1785 | 1597 | 1907 | 956 |
| Annual stormflow (mm) | 887 | 1032 | 785 | 1049 | 589 |
| Annual baseflow (mm) | 1877 | 753 | 812 | 1265 | 367 |
| Annual baseflow (%) | 67.92 | 42.18 | 50.84 | 55.02 | 38.43 |
| CoVQ | 1.231 | 1.527 | 2.025 | 1.486 | 2.062 |
| Kb3 | 0.83886 | 0.97841 | 0.90347 | 0.96692 | 0.86756 |
| Hydro. Component | Catchment Rank | ||||
|---|---|---|---|---|---|
| Lowest | −−−−−−−−−−−−−−−−−−−−−−−−−−−−−−−→ | Highest | |||
| Runoff ratio | OP | VJR | LF2 | PF | LF3 |
| % baseflow | OP | VJR | LF2 | LF3 | PF |
| K | PF | OP | LF2 | LF3 | VJR |
Publisher’s Note: MDPI stays neutral with regard to jurisdictional claims in published maps and institutional affiliations. |
© 2022 by the authors. Licensee MDPI, Basel, Switzerland. This article is an open access article distributed under the terms and conditions of the Creative Commons Attribution (CC BY) license (https://creativecommons.org/licenses/by/4.0/).
Share and Cite
Nainar, A.; Walsh, R.P.D.; Bidin, K.; Tanaka, N.; Annammala, K.V.; Letchumanan, U.; Ewers, R.M.; Reynolds, G. Baseflow Persistence and Magnitude in Oil Palm, Logged and Primary Tropical Rainforest Catchments in Malaysian Borneo: Implications for Water Management under Climate Change. Water 2022, 14, 3791. https://doi.org/10.3390/w14223791
Nainar A, Walsh RPD, Bidin K, Tanaka N, Annammala KV, Letchumanan U, Ewers RM, Reynolds G. Baseflow Persistence and Magnitude in Oil Palm, Logged and Primary Tropical Rainforest Catchments in Malaysian Borneo: Implications for Water Management under Climate Change. Water. 2022; 14(22):3791. https://doi.org/10.3390/w14223791
Chicago/Turabian StyleNainar, Anand, Rory P. D. Walsh, Kawi Bidin, Nobuaki Tanaka, Kogila Vani Annammala, Umeswaran Letchumanan, Robert M. Ewers, and Glen Reynolds. 2022. "Baseflow Persistence and Magnitude in Oil Palm, Logged and Primary Tropical Rainforest Catchments in Malaysian Borneo: Implications for Water Management under Climate Change" Water 14, no. 22: 3791. https://doi.org/10.3390/w14223791
APA StyleNainar, A., Walsh, R. P. D., Bidin, K., Tanaka, N., Annammala, K. V., Letchumanan, U., Ewers, R. M., & Reynolds, G. (2022). Baseflow Persistence and Magnitude in Oil Palm, Logged and Primary Tropical Rainforest Catchments in Malaysian Borneo: Implications for Water Management under Climate Change. Water, 14(22), 3791. https://doi.org/10.3390/w14223791

