Effects of Cyclic Freezing–Thawing on Dynamic Properties of Loess Reinforced with Polypropylene Fiber and Fly Ash
Abstract
:1. Introduction
2. Materials and Methods
2.1. Materials
2.2. Specimen Preparation
2.3. Apparatus and Testing Procedure
3. Determination of Dynamic Parameters
4. Results and Discussions
4.1. Effect of Freeze–Thaw Cycle
4.2. Effect of Fly Ash
4.3. Effect of Polypropylene Fiber
4.4. Effect of Initial Water Content
4.5. Effect of Confining Pressure
4.6. Theoretical Analytical Formulations
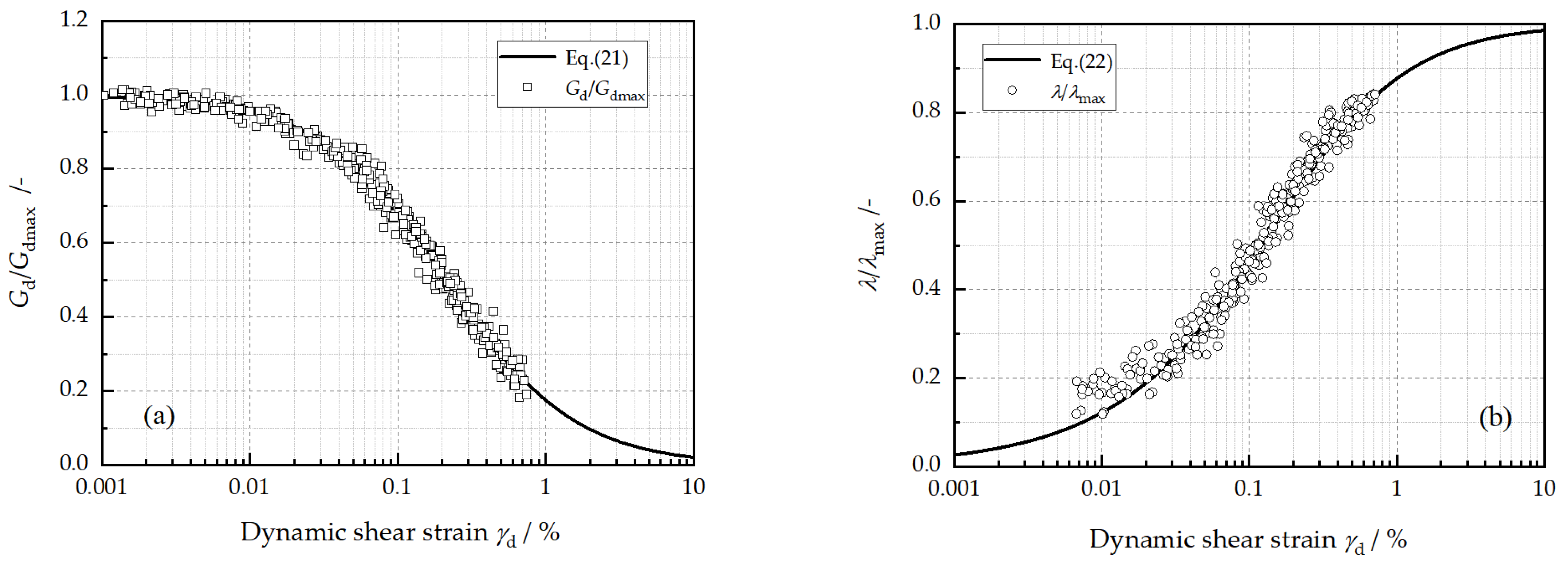
4.6.1. Normalized Maximum Shear Modulus and Damping Ratio
4.6.2. Empirical Expression for Dynamic Shear Modulus
5. Conclusions
- (1)
- The reinforced samples exhibited strain-hardening behavior. The Hardin model was adopted to describe the dynamic shear stress–strain relationships and exhibited good agreement with the experimental data.
- (2)
- A considerable reduction in the dynamic shear modulus was observed with increasing freeze–thaw cycles and initial water content. On the contrary, the dynamic shear modulus increased as the FA content and confining pressure increases. The sample with 0.5% PP fiber showed the best dynamic performance, and generally, the impact of PP fiber is not significant by comparison.
- (3)
- The damping ratio decreased as the FA content and confining pressure increased. However, it increased with cyclic freezing–thawing, PF content, and initial water content, which illustrates the better energy dissipation performance of the reinforced loess.
- (4)
- Novel empirical models for the dynamic shear modulus and damping ratio were established by taking account of freeze–thaw cycle, FA content, PF content, initial water content, and confining pressure. The comparison of the experimental and predicted results illustrated that the newly established models are suitable to estimate the dynamic shear modulus and damping ratio of fly ash–polypropylene fiber-reinforced loess.
Author Contributions
Funding
Institutional Review Board Statement
Informed Consent Statement
Data Availability Statement
Acknowledgments
Conflicts of Interest
References
- Lu, J.; Sun, B.; Ren, F.; Li, H.; Jiao, X. Effect of Freeze-Thaw Cycles on Soil Detachment Capacities of Three Loamy Soils on the Loess Plateau of China. Water 2021, 13, 342. [Google Scholar] [CrossRef]
- Yang, M.; Li, H.; Li, N.; Yang, S. Effect of subway excavation with different support pressures on existing utility tunnel in Xi’an loess. Adv. Civ. Eng. 2020, 2020, 8818949. [Google Scholar] [CrossRef]
- Lian, B.; Peng, J.; Zhan, H.; Wang, X. Mechanical response of root-reinforced loess with various water contents. Soil Till. Res. 2019, 193, 85–94. [Google Scholar] [CrossRef]
- Mariri, M.; Moayed, R.Z.; Kordnaeij, A. Stress-strain behavior of loess soil stabilized with cement, zeolite, and recycled polyester fiber. J. Mater. Civil Eng. 2019, 31, 4019291. [Google Scholar] [CrossRef]
- Chen, S.F.; Kong, L.W.; Xu, G.F. An effective way to estimate the Poisson’s ratio of silty clay in seasonal frozen regions. Cold Reg. Sci. Technol. 2018, 154, 74–84. [Google Scholar] [CrossRef]
- Kravchenko, E.; Liu, J.; Krainiukov, A.; Chang, D. Dynamic behavior of clay modified with polypropylene fiber under freeze-thaw cycles. Transp. Geotech. 2019, 21, 100282. [Google Scholar] [CrossRef]
- Gao, C.H.; Du, G.Y.; Guo, Q.; Zhuang, Z.X. Static and dynamic behaviors of basalt fiber reinforced cement-soil after freeze-thaw cycle. KSCE J. Civ. Eng. 2020, 24, 3573–3583. [Google Scholar] [CrossRef]
- Liu, H.M.; Wang, L.M.; Gao, P. The mechanical properties of cement reinforced loess and pore microstructure characteristics. Appl. Mech. Mater. 2014, 527, 25–30. [Google Scholar] [CrossRef]
- An, Q.; Zhang, Q.; Zhang, X.; Zhang, J. Bridging the gap between engineering properties and grouting reinforcement mechanisms for loess in eastern China: Taking Jinan loess as an example. Bull. Eng. Geol. Environ. 2021, 80, 4125–4141. [Google Scholar] [CrossRef]
- Jiang, Y.; Yuan, K.; Li, Q.; Deng, C.; Xue, J. Comparison of mechanical properties of cement-stabilized loess produced using different compaction methods. Adv. Mater. Sci. Eng. 2020, 2020, 1–20. [Google Scholar] [CrossRef]
- Ahmaruzzaman, M. A review on the utilization of fly ash. Prog. Energ. Combust. 2010, 36, 327–363. [Google Scholar] [CrossRef]
- Rosa, M.G.; Cetin, B.; Edil, T.B.; Benson, C.H. Freeze-thaw performance of fly ash-stabilized materials and recycled pavement materials. J. Mater. Civil Eng. 2017, 29, 4017015. [Google Scholar] [CrossRef]
- Orakoglu, M.E.; Liu, J.; Niu, F. Dynamic behavior of fiber-reinforced soil under freeze-thaw cycles. Soil Dyn. Earthq. Eng. 2017, 101, 269–284. [Google Scholar] [CrossRef]
- Wei, H.; Jiao, Y.; Liu, H. Effect of freeze-thaw cycles on mechanical property of silty clay modified by fly ash and crumb rubber. Cold Reg. Sci. Technol. 2015, 116, 70–77. [Google Scholar] [CrossRef]
- Lang, L.; Li, F.; Chen, B. Small-strain dynamic properties of silty clay stabilized by cement and fly ash. Constr. Build. Mater. 2020, 237, 117646. [Google Scholar] [CrossRef]
- Liu, Z.; Cai, C.S.; Liu, F.; Fan, F. Feasibility study of loess stabilization with fly ash-based geopolymer. J. Mater. Civil Eng. 2016, 28, 04016003. [Google Scholar] [CrossRef]
- Arora, S.; Aydilek, A.H. Class f fly-ash-amended soils as highway base materials. J. Mater. Civil Eng. 2005, 17, 640–649. [Google Scholar] [CrossRef] [Green Version]
- Bin-Shafique, S.; Rahman, K.; Yaykiran, M.; Azfar, I. The long-term performance of two fly ash stabilized fine-grained soil subbases. Resour. Conserv. Recycl. 2010, 54, 666–672. [Google Scholar] [CrossRef]
- Kravchenko, E.; Liu, J.; Niu, W.; Zhang, S. Performance of clay soil reinforced with fibers subjected to freeze-thaw cycles. Cold Reg. Sci. Technol. 2018, 153, 18–24. [Google Scholar] [CrossRef]
- Li, L.; Shao, W.; Li, Y.; Cetin, B. Effects of climatic factors on mechanical properties of cement and fiber reinforced clays. J. Geotech. Geoenviron. 2015, 33, 537–548. [Google Scholar] [CrossRef]
- Zaimoglu, A.S. Freezing-thawing behavior of fine-grained soils reinforced with polypropylene fibers. Cold Reg. Sci. Technol. 2010, 60, 63–65. [Google Scholar] [CrossRef]
- Roustaei, M.; Eslami, A.; Ghazavi, M. Effects of freeze-thaw cycles on a fiber reinforced fine grained soil in relation to geotechnical parameters. Cold Reg. Sci. Technol. 2015, 120, 127–137. [Google Scholar] [CrossRef]
- Chae, Y.S.; Chaiang, J.C. Dynamic properties of lime and LFA treated soils. In Proceedings of the ASCE Geotechnical Engineering Division Specialty Conference, Pasadena, CA, USA, 19–21 June 1978. [Google Scholar]
- Fatahi, B.; Fatahi, B.; Le, T.M.; Khabbaz, A.H. Small-strain properties of soft clay treated with fibre and cement. Geosynth. Int. 2013, 20, 286–300. [Google Scholar] [CrossRef] [Green Version]
- Fahoum, K.; Aggour, M.S.; Amini, F. Dynamic properties of cohesive soils treated with lime. J. Geotech. Eng. 1996, 122, 382–389. [Google Scholar] [CrossRef]
- Saride, S.; Dutta, T.T. Effect of fly-ash stabilization on stiffness modulus degradation of expansive clays. J. Mater. Civil Eng. 2016, 28, 4016166. [Google Scholar] [CrossRef]
- ASTM. Standard Specification for Coal Fly Ash and Raw or Calcined Natural Pozzolan for Use in Concrete; ASTM International: West Conshohocken, PA, USA, 2015. [Google Scholar]
- Ghazavi, M.; Roustaie, M. The influence of freeze-thaw cycles on the unconfined compressive strength of fiber-reinforced clay. Cold Reg. Sci. Technol. 2010, 61, 125–131. [Google Scholar] [CrossRef]
- Hardin, B.; Drnevich, V. Shear modulus and damping in soils: Design equations and curves. J. Soil Mech. Found. Div. 1972, 98, 667–692. [Google Scholar] [CrossRef]
- Jing, R.; Zhang, F.; Feng, D.; Liu, X.; Scarpas, A. Dynamic shear modulus and damping ratio of compacted silty clay subjected to freeze-thaw cycles. J. Mater. Civil Eng. 2019, 31, 4019244. [Google Scholar] [CrossRef]
- Lin, B.; Zhang, F.; Feng, D.; Tang, K.; Feng, X. Dynamic shear modulus and damping ratio of thawed saturated clay under long-term cyclic loading. Cold Reg. Sci. Technol. 2018, 145, 93–105. [Google Scholar] [CrossRef]
- Su, Y.Q.; Ma, W.; Zhong, X.M.; Wang, Q.; Mu, Y.H. Experimental study of influence of freeze-thaw cycles on damping ratio of remolded Qinghai-Tibet silty clay. Chin. J. Rock Mech. Eng. 2021, 40, 2960–2967. [Google Scholar]
- Kong, L.M.; Liang, K.; Peng, L.Y. Experimental study on the influence of specific surface area on the soil-freezing characteristic curve. Rock Soil Mech. 2021, 7, 1883–1893. (In Chinese) [Google Scholar]
- Cai, J.; Dong, B.Y. Micro-structure study on collapsibility loess with SEM method. Appl. Mech. Mater. 2011, 52–54, 1279–1283. [Google Scholar] [CrossRef]

















| Properties | Value | |
|---|---|---|
| Specific gravity | (-) | 2.64 |
| Plastic limit | (%) | 20.6 |
| Liquid limit | (%) | 34.2 |
| Plastic index | (-) | 13.6 |
| Optimum moisture content | (%) | 14.4 |
| Dry density | (kg/m3) | 1760 |
| Composition | Value (Percentage by Weight) |
|---|---|
| SiO2 | 54.24 |
| Al2O3 | 24.69 |
| Fe2O3 | 4.8 |
| CaO | 7.7 |
| MgO | 4.2 |
| K2O | 0.38 |
| Na2O | 0.85 |
| TiO2 | 0.44 |
| Ignition Loss (950 °C) | 2.7 |
| Parameter | Value | |
|---|---|---|
| Fiber type | (-) | Single fiber |
| Length | (mm) | 12.00 |
| Diameter | (mm) | 0.048 |
| Density | (g/cm3) | 0.91 |
| Modulus of elasticity | (GPa) | 4.8 |
| Elongation at break | (%) | 15.00 |
| Breaking tensile strength | (MPa) | 486.00 |
| Series | N | w (%) | Symbol | |||
|---|---|---|---|---|---|---|
| 1 | 5 | 20 | 0.5 | 18.9 | 100 | T01 |
| 2 | 0, 1, 2, 3, 7, 10 | 20 | 0.5 | 18.9 | 100 | T02~T07 |
| 3 | 5 | 0, 5, 10, 15, 30 | 0.5 | 18.9 | 100 | T08~T12 |
| 4 | 5 | 20 | 0, 0.25, 0.75, 1.0 | 18.9 | 100 | T13~T16 |
| 5 | 5 | 20 | 0.5 | 13, 16, 22, 25 | 100 | T17~T20 |
| 6 | 5 | 20 | 0.5 | 18.9 | 12.5, 25, 50, 200, 300, 400 | T21~T26 |
Publisher’s Note: MDPI stays neutral with regard to jurisdictional claims in published maps and institutional affiliations. |
© 2022 by the authors. Licensee MDPI, Basel, Switzerland. This article is an open access article distributed under the terms and conditions of the Creative Commons Attribution (CC BY) license (https://creativecommons.org/licenses/by/4.0/).
Share and Cite
Chen, S.; Luo, T.; Li, G.; Zhang, Y. Effects of Cyclic Freezing–Thawing on Dynamic Properties of Loess Reinforced with Polypropylene Fiber and Fly Ash. Water 2022, 14, 317. https://doi.org/10.3390/w14030317
Chen S, Luo T, Li G, Zhang Y. Effects of Cyclic Freezing–Thawing on Dynamic Properties of Loess Reinforced with Polypropylene Fiber and Fly Ash. Water. 2022; 14(3):317. https://doi.org/10.3390/w14030317
Chicago/Turabian StyleChen, Shufeng, Tao Luo, Gang Li, and Yao Zhang. 2022. "Effects of Cyclic Freezing–Thawing on Dynamic Properties of Loess Reinforced with Polypropylene Fiber and Fly Ash" Water 14, no. 3: 317. https://doi.org/10.3390/w14030317
APA StyleChen, S., Luo, T., Li, G., & Zhang, Y. (2022). Effects of Cyclic Freezing–Thawing on Dynamic Properties of Loess Reinforced with Polypropylene Fiber and Fly Ash. Water, 14(3), 317. https://doi.org/10.3390/w14030317

