Next Article in Journal
Groundwater Potentiality of Wadi Fatimah, Western Saudi Arabia: Geophysical and Remote Sensing Integrated Approach
Next Article in Special Issue
A Prediction Model to Cost-Optimize Clean-Out of Permeable Interlocking Concrete Pavers
Previous Article in Journal
Experimental and Analytical Evaluations of Ground Behaviors on Changing in Groundwater Level in Bangkok, Thailand
Previous Article in Special Issue
Adapted Water Quality Indices: Limitations and Potential for Water Quality Monitoring in Africa
 
 
Font Type:
Arial Georgia Verdana
Font Size:
Aa Aa Aa
Line Spacing:
Column Width:
Background:
Article

A New Graph-Based Deep Learning Model to Predict Flooding with Validation on a Case Study on the Humber River

by
Victor Oliveira Santos
1,*,
Paulo Alexandre Costa Rocha
1,2,
John Scott
3,
Jesse Van Griensven Thé
1,3 and
Bahram Gharabaghi
1,*
1
School of Engineering, University of Guelph, 50 Stone Rd. E, Guelph, ON N1G 2W1, Canada
2
Mechanical Engineering Department, Technology Center, Federal University of Ceará, Fortaleza 60020-181, CE, Brazil
3
Lakes Environmental, 170 Columbia St. W, Waterloo, ON N2L 3L3, Canada
*
Authors to whom correspondence should be addressed.
Water 2023, 15(10), 1827; https://doi.org/10.3390/w15101827
Submission received: 12 April 2023 / Revised: 5 May 2023 / Accepted: 7 May 2023 / Published: 10 May 2023
(This article belongs to the Special Issue Water Quality for Sustainable Development)

Abstract

Floods are one of the most lethal natural disasters. It is crucial to forecast the timing and evolution of these events and create an advanced warning system to allow for the proper implementation of preventive measures. This work introduced a new graph-based forecasting model, namely, graph neural network sample and aggregate (GNN-SAGE), to estimate river flooding. It then validated the proposed model in the Humber River watershed in Ontario, Canada. Using past precipitation and stage data from reference and neighboring stations, the proposed GNN-SAGE model could estimate the river stage for flooding events up to 24 h ahead, improving its forecasting performance by an average of 18% compared with the persistence model and 9% compared with the graph-based model residual gated graph convolutional network (GNN-ResGated), which were used as baselines. Furthermore, GNN-SAGE generated smaller errors than those reported in the current literature. The Shapley additive explanations (SHAP) revealed that prior data from the reference station was the most significant factor for all prediction intervals, with seasonality and precipitation being more influential for longer-range forecasts. The findings positioned the proposed GNN-SAGE model as a cutting-edge solution for flood forecasting and a valuable resource for devising early flood-warning systems.

1. Introduction

One of global warming’s adverse effects is the increase in the frequency and severity of floods [1,2]. Resulting from both anthropologic and weather factors [3,4,5,6,7], floods are the deadliest natural event [8,9], where they have already affected billions of people worldwide [10,11,12], causing huge economic and human losses [13,14,15,16,17]. In Canada, flood events can happen all year and are caused by snow melting and thunderstorms [18,19]. The frequency and intensity of floods have been increasing in recent years [10,20]; they were responsible for around 32% of the total natural disasters between 1950 and 2012 [1,21] and accounted for nearly 75% of the Canadian Disaster Financial Assistance Arrangements budget [18,22], pressuring municipalities to improve their infrastructure and management strategies to accommodate these extreme events [12,17,23].
To diminish flood impacts and help decision-making and proper management by authorities, researchers directed their efforts toward early flood detection models, allowing for the deployment of pre-emptive countermeasures and mitigating adverse flooding effects [19]. To this end, many predictive models were developed, which are divided into two major groups [24]: hydrological and data-driven intelligent models. Hydrological models rely on physics-based equations to determine future flood occurrences. Even though this approach achieved good results in previous studies [25,26,27,28,29], it has limitations regarding its complex modeling, computational cost, the need for many hydro-geomorphic input attributes, and high precision of mapping attributes, which may result in large errors [10,19,30,31,32].
To overcome the physics-based models’ limitations, data-driven models were employed using machine learning (ML) approaches. Researchers studied this paradigm because ML models are simpler, require fewer input parameters, have superior processing times, can solve non-linear relations, and identify the complex relationships between input and output parameters [5,24,33,34].
In [35], an ML model based on the autoregressive integrated moving average (ARIMA) was implemented to assess flooding of the Jhelum River, which is located in the Great Himalayas region. The authors used 41 years of maximum peak flow data to build the model and attained satisfactory forecasting results, deeming it suitable for predicting flood events in the region. In another work [36], the authors used an artificial neural network (ANN) multilayer perceptron (MLP) model to forecast floods in Southern Thailand. The researchers fused meteorological, hydrological, geospatial, and big data. The results showed that their proposed approach attained the best values when compared with other ML models, achieving 97.83% accuracy for flood forecasting. Another recent ML application was based on the group method of data handling (GMDH) [37,38]. A flood forecasting model based on this paradigm was first proposed by [39] for a study set in Iowa, where the proposed model achieved the best results when compared with traditional models, reaching a root-mean-squared error (RMSE) of 42.51 m3/s. Later studies acknowledged this approach’s superior performance when compared against conventional forecasting paradigms, such as ARIMA [1], with it being suited to forecast riverine flooding events up to 17 h in advance [10].
Data-driven models can use satellite information to calibrate and model river discharges [40,41] and can be used together with ML techniques for improved forecasting performance. In [42], a hybrid model using satellite information and ML techniques was implemented for forecasting floods in the USA. In their work, the authors successfully corrected faulty satellite measurements, increasing the accuracy for the determination of future flood events. In another work [43], the authors used geophysical and anthropogenic inputs to assess flood-susceptible areas in Iran. In their work, flood events were assessed using random forests (RFs) and a Bayesian generalized model, where the former showed better accuracy for this task. Another work [44] implemented Markov chains and Monte Carlo uncertainty analysis over satellite signals to improve flooding forecasting. The results demonstrated that the author’s proposed approach surpassed the traditional ML models that were used as benchmarks.
Models based on deep neural networks (DNNs) are an improvement over the traditional ML paradigms [45]. Le et al. [46] used a long short-term memory (LSTM) DNN model for flooding forecasting in Vietnam up to three days ahead. The best results were reached when upstream and study stations’ discharge data were used, achieving the optimal RMSE values of 151 m3/s, 373 m3/s, and 594 m3/s for one, two, and three days ahead, respectively, showing this method to be a reliable tool for flood modeling. Besides LSTM, convolutional neural networks (CNNs) based models were evaluated by Kabir et al. [47]. In their work, the implemented CNN model was trained with 2D data from a hydraulic model to forecast floods in the United Kingdom for 2005 and 2015. Compared with the benchmark model, CNN showed better computational performance and higher precision for such tasks.
Another viable approach for DNN models is combining them, resulting in a hybrid model. These models can reach better forecasting results in time-series problems [33,48,49]. A hybrid model was developed by [19], where an attention layer was embedded in the LSTM model. The proposed model sought to establish a spatiotemporal linkage between the neighboring stations, resulting in a more accurate model for flooding prediction across Canada. Their proposed spatiotemporal attention LSTM (STA-LSTM), when compared against CNN-LSTM and another LSTM-based model, was found to attain improved forecasting results, with the lowest error rate of 3.98%. A CNN-LSTM hybrid approach was proposed in [50] for river flow forecasting in Germany and possible flooding events. The authors used the hybrid model to process 2D radar imagery, processing spatial and temporal information using CNN and LSTM, respectively. Their results showed that the CNN-LSTM model attained overall satisfactory results for high-water and low-water discharge periods, which are useful for early flooding alert systems.
However, traditional DNN models cannot accurately process multi-dimensional spatiotemporal data information [51,52]. To address this hindrance, graph-based models were used for spatiotemporal forecasting problems in different time-series studies, such as weather prediction [51], pollution level estimation [53], and wind speed forecasting [54,55]. The use of a graph-based model for flooding forecasting was analyzed by Feng et al. [56] for a location in China. In their work, a graph convolutional network (GCN) was implemented with LSTM to better extract the spatiotemporal information underlying the input data. The proposed model was compared against six benchmark ML models, and it was found to achieve the best RMSE results for all forecasting horizons, with an average of 84.76 m3/s.
The literature review given above shows the importance of data-driven models using DNN and recently graph-based approaches for forecasting flooding events. To deepen the understanding of flooding prediction, the present work proposed a novel forecasting graph-based model to determine the flooding occurrence in Humber River, Ontario, Canada. The model aimed to contribute to the field in the following ways:
  • Develop a new state-of-the-art model for flooding forecasting, allowing for a more precise and accurate early flooding alert system.
  • Verify the addition of spatiotemporal data for improved flooding forecasting results.
  • Development of a reliable ML model based on graph theory and DL paradigm.
The remainder of this work is divided as follows: in Section 2, the methodology used is presented, followed by Section 3, where the achieved results are shown. In Section 4, there is a discussion of the results, and Section 5 closes the work with a conclusion.

2. Proposed Model

2.1. Persistence Model

The persistence model was selected as a benchmark for the present work to compare the results with the proposed graph-based deep learning model. The persistence model is widely used as a baseline for forecasting algorithms applied to intermittent and non-linear time series. This model is a hard contender to be surpassed for short forecasting horizons [57,58], offering good results by simply stating that the future estimated value will be the same as the one measured in the present [59,60]. Nevertheless, as the horizon extends, the persistence model fails to capture the dynamicity of the trends for seasonality and external factors that may influence the estimated value, reducing its performance [61].

2.2. GNN-SAGE and GNN-ResGated Models

The present work proposed a new graph neural network sample and aggregate (GNN-SAGE) model for forecasting potential flooding occurrences. This model, as its name suggests, uses graph theory to retrieve spatiotemporal information from the dataset. The GNN-SAGE framework extracts spatiotemporal information by equally sampling and aggregating its nodes, with it being especially efficient in handling large graphs.
During the sampling phase, several neighboring nodes are selected rather than using all available nodes. This predefined selection improves the computational time at the expense of reduced information being given to the model. In the following phase, an aggregator is implemented to collect information from the previously selected neighboring nodes, resulting in an embedding vector that represents the node of interest that can generalize unknown information apart from the graph shape [53,62,63,64,65].
The present study used the GNN-SAGE model to predict future stage levels, employing spatiotemporal information from neighboring measuring stations in the Humber River. Each station, which provided both precipitation and stage information, contributed spatiotemporal data for forecasting the stage level at the reference station, which was located near the river’s estuary. This information was fed into the GNN-SAGE model as input data, effectively capturing the spatial and temporal relationships between the measuring stations. Its inherent capacity to identify and retrieve the underlying spatiotemporal information within the dataset was an important aspect of the GNN-SAGE model for the present application due to both spatial and temporal features being major drivers of flooding occurrence. The following Figure 1 depicts the GNN-SAGE framework used in this study.
Figure 1 shows the framework for the GNN-SAGE model: the spatiotemporal data from the stations (represented as graph nodes) are the input information. After this, there is a succession of convolutional, activation, dropout, and dense layers, identifying patterns and extracting local features and spatiotemporal information as the inputs go deeper into the model.
The graph-based model residual gated graph convolutional network (GNN-ResGated) was also selected to benchmark the proposed model’s performance. The authors Bresson and Laurent [66] originally proposed GNN-ResGated as an improvement over the works of He et al. [67] and Marcheggiani and Titov [68]. The GNN-ResGated combines graph-based models and long short-term memory (LSTM). It differs from GNN-SAGE in how it processes its data: while GNN-SAGE operates by sampling and extracting data from each node, the GNN-ResGated approach considers residual connections and recurrent information between the graph’s layers [69]. In the GNN-ResGated architecture, the residuality allows for stacking multiple layers within the model, improving the spatial data extraction [70], while the LSTM controls the data flow and processes the temporal aspect of the data, also deciding what information can be kept or discarded. This approach was found to have superior performance over other graph and recurrent neural network models [66].

2.3. SHAP Analysis

Despite its attested performance and state-of-the-art results in many research fields, ML models still lack explainability, not offering a complete understanding of their outcomes. The Shapley additive explanations (SHAP) (documentation available at https://shap.readthedocs.io/en/latest/, accessed on 5 April 2023) uses game theory to provide further insight into the ML results, relating input variables and the achieved output value in terms of importance, correlation, and influence of each input variable over the final prediction [53,71]. The SHAP analysis was found to be a reliable tool for authors to fully understand their results in multidisciplinary fields, such as pharmaceuticals [72], material engineering [73], Earth system modeling [74], and social factors driving income [75].

3. Validation and Analysis of Results

3.1. Humber River Description

The Humber River is located in the southern part of the Ontario province in Canada, with it being Lake Ontario’s most important tributary river. The Humber River drainage area is approximately 903 km2, comprising an estimated population of around 850,000. Its land use is mixed between rural and urban areas in the upstream area but becomes increasingly urbanized as it approaches Toronto [19,76,77]. The increase in the urbanized area leads to an increase in the amount of runoff after rains due to the impervious surface, resulting in a region prone to flooding [76,78]. In past years, this region has suffered from major floods, causing both economic damage and the loss of human lives.
In the present study, both stage and precipitation data were used to assess the occurrence of flooding. The historical data were from the period 8 June 2018 to 17 September 2020, with a time resolution of 15 min for stage data and 5 min for precipitation data. It was retrieved from The Toronto and Region Conservation Authority (available at https://backup.trcagauging.ca/, accessed on 30 March 2023). Figure 2 depicts the stations used using stage data and precipitation data, and the southernmost red symbol represents the reference station, where we wanted to determine flooding occurrences by forecasting the river stage at this location.

3.2. Evaluation Metrics

The results forecasted with GNN-SAGE were compared with the benchmarking models using the metrics root-mean-squared error (RMSE), mean average error (MAE), mean absolute percentage error (MAPE), and coefficient of determination (R2). Their equations can be found in [79] for R2 and [60] for the remainder.

3.3. Dataset Size Evaluation

The training dataset was tested to verify whether the used dataset size could provide stable results when the proposed model was used to forecast the river stage. Figure 3 depicts the results without (only stage data) and with precipitation data.
In Figure 3, the y-axis represents the RMSE error for the target variable stage in meters, while the x-axis shows the ratio of the used data for evaluating the model. Figure 3 shows that for each assessed dataset size, increasing the training data size provided better results in terms of reduced RMSE values, showing convergence when a ratio greater than 10/90 was used for both cases with and without precipitation data. The optimal configuration for GNN-SAGE without the precipitation information was reached for a ratio of 70/30, where the model’s RMSE was 0.0291 m. For the case where the dataset considered precipitation data, the best result was found at 90/10, with an RMSE equal to 0.3057 m. Ultimately, the data was divided using an 80/20 Pareto ratio, retaining more information than a 70/30 split while avoiding the limited data concerns associated with a 90/10 distribution.

3.4. Results for a 1 h Forecast Horizon

Multiple time lag values were evaluated for predicting floods 1 h in advance. To compare the proposed GNN-SAGE model, its results were analyzed against persistence and GNN-ResGated models. The results are presented in Figure 4, where the x-axis represents the time lag in hours.
Figure 4 shows that for 1 h forecasting, the GNN-ResGated model had no improvement over its performance for time lags greater than 6 h, while for GNN-SAGE, it improved the overall model’s performance consistently by a slight margin after a 3 h time lag. The proposed GNN-SAGE achieved the best results for all time lags used, improving the flooding forecasting by up to 9.95% when compared with the persistence model and 18.93% on average when compared with GNN-ResGated. Conversely, GNN-ResGated did not achieve satisfactory results, with it being surpassed by the other two models for all considered time lags, and it was not able to capture the spatiotemporal characteristics of the dataset satisfactorily. For GNN-SAGE, it was deemed that a 6 h time lag was sufficient for the model’s prediction performance since it showed convergence after a 3 h time lag.
Different input variables were tested for the GNN-SAGE and GNN-ResGated models for 1 h forecasting, as depicted in Figure 5, where its x-axis represents the used variables (day of year, hour of day, precipitation, and stage level).
Figure 5 demonstrates that, in terms of understanding the hydrological response, the best performance for both models was achieved when using 6 h of past data solely for the input variable “Stage”, with errors equal to 0.02466 m (40.36% improvement over the persistence model) and 0.02574 m (37.76% improvement over the persistence model) for GNN-SAGE and GNN-ResGated, respectively. This result indicates that the DoY, HoD, and precipitation data from neighboring upstream stations did not provide meaningful information for the model, and thus, did not exert a positive impact over its forecasting for a 1 h horizon using past data from up to 6 h.
Figure 6 depicts the accuracy of the GNN-SAGE model forecasting compared with the real measured stage values for the Humber River validation dataset.
From Figure 6, it is possible to see that the predicted stage values closely followed the real ones. It is important to highlight that GNN-SAGE managed to identify all the peaks for the assessed period, though slightly underestimating them. This is critical in identifying possible flooding events where the stage levels of the river surpass the safety limits for a location. The exceptional correlation between the predicted and actual stage values was evident in the regression line for the model, as illustrated in Figure 7. The associated histograms display the frequency of the statistical probability distribution for the stage values.
Figure 7 confirms the concurrence between the predicted and actual stage values, as demonstrated by the clustering of points around the regression line, with a higher concentration between 1.25 m and 1.75 m for both the forecasted and real values. For this scenario, R2 reached an excellent value of 96.45%.

3.5. Results for a 3 h Forecast Horizon

The following results refer to flood forecasting 3 h in advance. Figure 8 shows the effects of different time lags on the models’ performances.
For a 3 h forecasting horizon, again, GNN-SAGE achieved the best results, outperforming both the persistence model and GNN-ResGated for all assessed time lag windows. This time, both models benefited from previous information, showing a decreasing error trend: GNN-ResGated improved its forecasting by 8.11% compared with the persistence model for a 48 h time lag, with an RMSE equal to 0.07451 m. Furthermore, GNN-SAGE managed to improve the flooding forecasting by up to 15.87% and 14.36% when compared with the persistence and GNN-ResGated models, respectively, for the optimal time lag of 60 h and with an RMSE equal to 0.06822 m. Concerning GNN-SAGE, after a 60 h time lag, the model showed convergence in its results, thus deeming this number enough to return satisfactory results for stage forecasting.
Figure 9 shows the results for different input variables.
The best performance for the 3 h forecasting horizon for the proposed GNN-SAGE was achieved using past information from all input variables and DoY/HoD. For this input data configuration, the GNN-SAGE RMSE was equal to 0.06822 m, achieving improvements of 15.87% over the persistence model and 14.36% over GNN-ResGated. Figure 9 indicates that the 3 h forecasting horizon benefits from the DoY, HoD, and precipitation information that reached the reference station positively influenced the model’s performance by adding significant temporal information from neighboring stations.
Since precipitation data was used for a 3 h forecasting configuration, verifying the precipitation influence over the model’s performance was important. To do so, the precipitation summing window, which indicated previous accumulated precipitation levels, was assessed for different sizes, ranging from 1 h to 24 h in the past, as presented in Figure 10.
The best error value was reached using a window size of 1 h, with an RMSE equal to 0.06721 m, indicating improvements of 17.11% and 12.51% over the persistence model and GNN-ResGated, respectively. This means that the total accumulated rain from the past 1 h was enough to provide information for the GNN-SAGE model regarding the stage level prediction. Figure 11 shows the forecasted stage values obtained using the proposed model, comparing them with the real measured values over a reference period.
Similarly to Figure 6, the proposed graph model followed the real stage values but was less accurate than before. Concerning the level peaks for the reference period, the model underestimated them, especially the highest peak over 3 m, which occurred between 1 July and 15 July. As expected, this reflected an inferior performance compared with the previous 1 h forecasting horizon, as illustrated in Figure 12.
For a 3 h forecasting horizon, there was still a good agreement between the forecasted and real data. There was more scattering around the regression line, even though the GNN-SAGE model still returned good forecasting values. The measured values were located within the same interval of 1.25 m and 1.75 m, and the forecasted data were located between 1.20 m and 1.80 m, resulting in a variance higher than for the 1 h forecasting horizon situation. The resultant R2 for this case was 75.49%.

3.6. Results for a 6 h Forecast Horizon

Considering a forecasting horizon of 6 h, the results found for the effect of different time lags over the models’ performances are shown in Figure 13.
For the 6 h forecasting horizon, both GNN-SAGE and GNN-ResGated managed to surpass the reference model for all studied time lags: the former attained the best overall results for a 60 h time lag with an RMSE of 0.09103 m; meanwhile, the latter achieved better results for a 48 h time lag with an RMSE equal to 0.09227 m. Again, GNN-SAGE was the best model for the analyzed time lag interval, improving the stage forecasting by up to 17.97% compared with the persistence model and 5.19% compared with GNN-ResGated. Figure 14 presents the results for different input variables.
As expected, due to the large time lag value of 60 h, all input variables contributed positively to GNN-SAGE performance since there was time for them to reach the reference station downstream. For this configuration, the best error value for the proposed model was 0.09103 m. Interestingly, both graph-based models achieved the same error values when DoY, HoD, and stage were used together as input variables, indicating that using these data together did not contribute to improving the models’ performance. In this situation, adding precipitation data was fundamental for the GNN-SAGE performance and was achieved by supplementing extra spatiotemporal information to the model. For GNN-ResGated, the model presented almost the same error values for all assessed cases, indicating that the model could not correctly extract spatiotemporal information from the data, which did not improve its forecasting capacity. Figure 15 presents the models’ behavior regarding the accumulated precipitation data for different intervals in terms of the window size in hours.
Concerning 6 h forecasting, the total accumulated precipitation in the past 6 h provided sufficient information for the GNN-SAGE model. For this time window, the proposed model error was 0.09103 m, the same as that presented in Figure 13, and this model achieved the same improvements compared with the other two models. In Figure 16, a comparison between the forecasted and validation values is presented.
For the 6 h forecasting horizon, the model somewhat followed the actual data trend, though it significantly missed the peaks. This behavior is typical for predictive models that forecast values too far into the future, thus losing the connection between the data, resulting in averaged forecasted values [53]. For this scenario, the peaks were significantly underestimated, resulting in an inferior performance, as pictured in Figure 17.
Figure 17 shows more scattering than the previous scatter plots for 1 h and 3 h forecasting horizons. The forecasted values were located more sparsely between 1.20 m and 1.80 m. This higher variance around the regression line reflected the proposed model’s performance, resulting in a reduced R2 with a value of 59.07%.

3.7. Results for a 12 h Forecast Horizon

Considering a forecasting horizon of 12 h, the results found for the effects of different time lags on the models’ performances are shown in Figure 18.
Figure 18 points out that both models could improve their forecasting performances when data from further past was added, surpassing the persistence model for all tested time lags. For GNN-SAGE, the model started to present convergent behavior after a 66 h time lag and had the best configuration for the 12 h forecasting horizon situation among all models, with the minimum error value of 0.12293 m. Compared with the persistence model and GNN-ResGated, for the same time lag, the proposed model improved the forecasting performance by 13.33% and 6.69%, respectively. The following Figure 19 shows the different input data used for each model.
Again, for a 12 h forecast, using all variables information was found to increase GNN-SAGE’s performance, resulting in the lowest RMSE value of 0.12293 m. Using the variable stage alone resulted in similar errors for both models, and the case using DoY, HoD, and stage. Similar to the 6 h forecasting horizon scenario, the addition of extra precipitation information could improve GNN-SAGE’s performance. Figure 20 shows the accumulated precipitation data for different time intervals in the past.
For the assessed case forecasted 12 h in advance, accumulated rain from the last 3 h sufficed for the model forecasting performance. Using this summing window size, the RMSE was equal to 0.12227 m, providing an increase of 13.79% over the persistence model and a 6.97% increase over the remaining GNN-ResGated model. Figure 21 illustrates how well the forecasted values followed the measured values’ trend over the reference period.
As expected, the model’s performance deteriorated for an increased forecasting horizon of 12 h. Although GNN-SAGE still followed the data trend, most of the peaks were missed by its predictions. This reduced performance is better visualized in the following Figure 22.
Figure 22 shows the scattered points around the regression line. In this case, the forecasted data were mostly within the 1.35 m to 1.80 m interval, resulting in a high variance for the model’s prediction, leading to more dispersed points, and thus, again reducing R2 to a value of 40.12%.

3.8. Results for a 24 h Forecast Horizon

Considering a forecasting horizon of 24 h, the results found for the effects of different time lags on the models’ performances are shown in Figure 23.
For one-day-ahead forecasting, increasing the time lag improved both the GNN-SAGE and GNN-ResGated predictions: the former, again, reached the best overall performance, converging its results for a 60 h time lag, resulting in an RMSE equal to 0.16079 m; meanwhile, the latter achieved its best result for an 84 h time lag and an RMSE equal to 0.16331 m. Interestingly, GNN-ResGated could not outperform the persistence model until a 42 h time lag, requiring more past information to improve its performance. Figure 24 presents the results of different input variables used for each model.
For the 24 h forecasting horizon, additional precipitation data added no significant information for the GNN-SAGE model. It reached similar results when compared with forecasting using just stage as an input variable, indicating that it may add noise rather than relevant information for long forecasting horizons. This may have been due to a combination of both the large time lag and forecasting horizon: due to their extended lengths, part of the data coming from upstream stations may not get captured by the predictive model, thus not improving its performance.
Due to the very similar results using just stage and all variables as inputs, there was no conclusive best configuration for this situation. However, to keep following the previous results from 3 h to 12 h forecasting horizons, the authors opted to use all independent variables as input, leading to an error of 0.160 m and an improvement of 4.13% over the persistence model and 2.28% over GNN-ResGated. Figure 25 shows the results for the accumulated precipitation from 1 h to 24 h.
Both GNN-SAGE and GNN-ResGated showed low sensitivity for different precipitation window sizes. The proposed GNN-SAGE model managed to achieve the best results for each one of the windows, with marginal differences between them. The minimum error of 0.16079 m was reached using a 6 h window. The GNN-SAGE performance was also evaluated based on how its forecasted results followed the real measured ones, as depicted in Figure 26.
Unsurprisingly, the 24 h ahead prediction led to the worst results thus far. From Figure 26, it is possible to see that the model completely missed the highest peak of more than 3.0 m. This indicated that the model could not correctly predict stage values too far into the future, with it not being able to provide precise results. The following Figure 27 illustrates the variance in the forecasted results around the regression line.
As expected, there was much more prominent scattering than the previously shown results. The high variance of the model for 24 h forecasting resulted in more dispersed forecasted points, indicating a less precise model for this situation. This was reflected in the model’s R2, which was lower than the previously assessed configurations, with a value of 22.65%.

3.9. Results of the SHAP Analysis

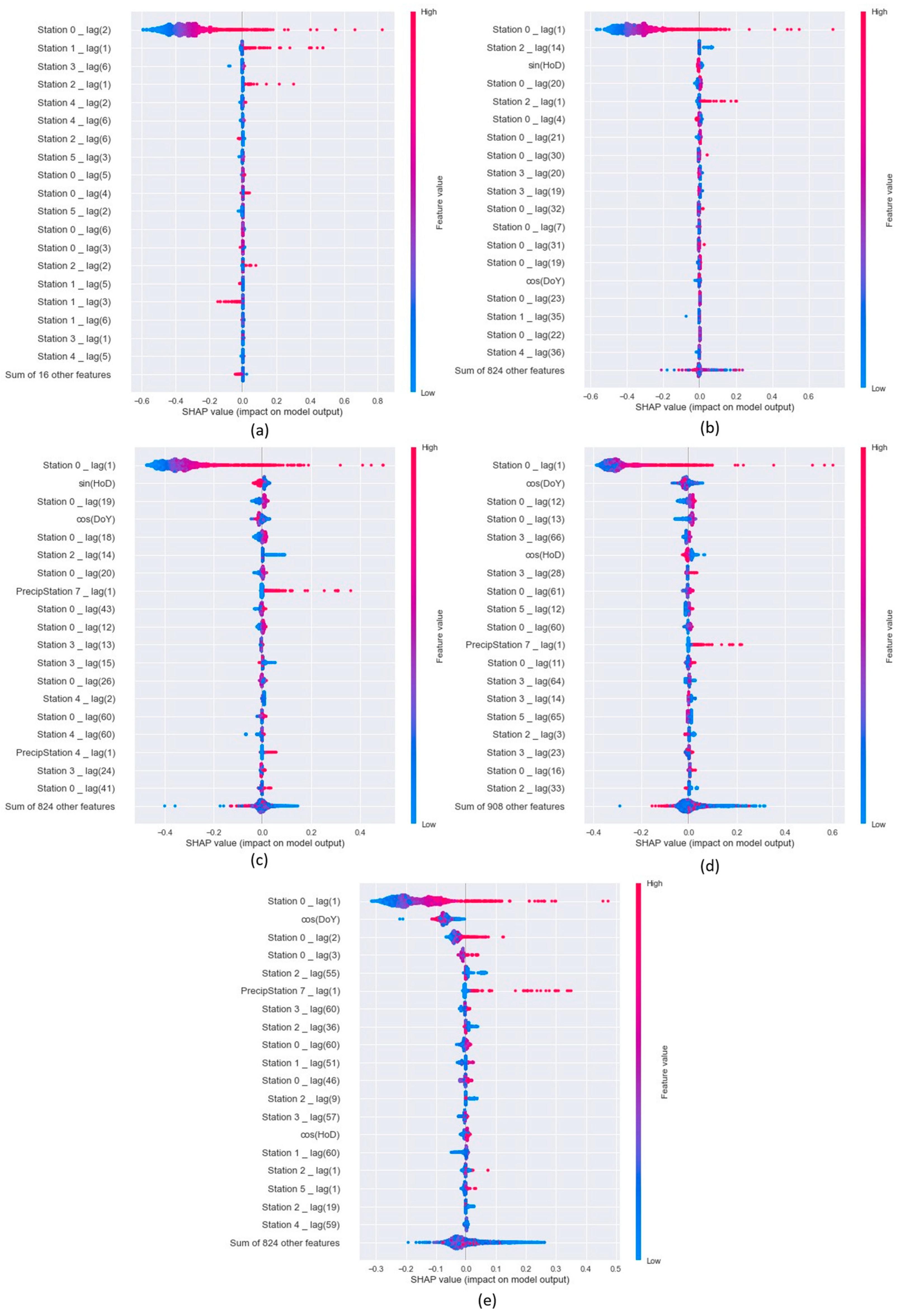
Figure 28a–e present the results of the SHAP analysis conducted for the proposed model. The SHAP analysis organized the variables in descending order of influence over the forecasted result. This meant that the closer to the top the variable was, the more influential it was. This approach also presented the correlation between input variables and the achieved result, as presented by the right sidebar in Figure 28a–e: the higher the feature value, the higher the correlation with the forecasted stage for the river. Besides this, positive values for the SHAP analysis indicated that the variable positively affected the model’s forecasting, and vice versa.
From Figure 28, the most influential variable for the model for all forecasting horizons was related to the reference station itself, as indicated by the variable “Station 0_lag”. This variable refers to the stage level of the reference station and shows a high correlation with the final output, negatively affecting the model’s prediction. In Figure 28a, all the most influential variables were previous information from neighboring stations because only past-stage values were used for this configuration. However, as previously mentioned, from the 3 h forecast horizon onward, other input variables were added to the model. Figure 28b–e show that HoD and DoY played a significative role in the model’s predictions, being amongst the most influential variables for this forecasting horizon. These variables could capture seasonality and diuturnal variations, adding important information for the model’s forecasting due to the daily and yearly river stage variations.
For the precipitation input data, its influence started to be relevant for the 6 h horizon onward, as shown in Figure 28c–e. Past information for precipitation coming from station 7, e.g., “PrecipStation 7_lag”, carried more spatiotemporal information than the other stations. Only for the 6 h forecasting horizon did another station provide influential information regarding precipitation, i.e., station 4.

4. Discussion

The proposed GNN-SAGE model managed to satisfactorily forecast flooding events of the Humber River up to 3 h in advance. After this time horizon, the results started to deteriorate, as shown in Figure 17, Figure 22 and Figure 27. However, this is an expected behavior in ML approaches that use time-series forecasting. Previous works on flooding forecasting showed that the error increased as the leading time increased, deteriorating future flood predictions and indicating that the input information may not provide enough spatiotemporal data for the model [24,80]. This may also lead to lagged forecasted results when compared with the expected values, as shown in Figure 16, Figure 21 and Figure 26 [81]. The performance deterioration could potentially be attributed to the dataset size, suggesting that more data might be required for increased precision in longer-range forecasts [24,79].
GNN-SAGE’s performance was comparable with some of the state-of-the-art approaches found in the literature. Table 1 and Table 2 summarize the performance metrics achieved by the proposed graph-based model and the results from previous works.
The hybrid approach STA-LSTM, as implemented by Zhang et al. [19], was used to forecast flooding of the Humber River. The attention-based LSTM model showed good agreement between real and predicted values for forecasting horizons ranging from 6 h to 24 h. When comparing GNN-SAGE with their results, it is possible to see that the graph-based model achieved better results for each of the studied horizons. The results indicate that the GNN-SAGE had better performance when forecasting flooding of the Humber River than the attention model.
In Wu et al. [28], a physics-based model was implemented to forecast flooding for 1 h ahead in Taiwan. The authors managed to improve their results by 80% when compared with direct simulated values of the river using real-time data correction. However, when comparing GNN-SAGE with the best QPF result achieved, the graph-based model showed superior performance, achieving an RMSE that was 3.5 times smaller than the one presented in the literature.
The GNN-SAGE performance was also superior when analyzed against SVM and SVR models. In Dazzi et al. [80], the authors used an SVM to predict the river stage in Italy up to 9 h into the future. Their best results were found for the 3 h forecasting horizon, where the RMSE was 0.072 m and the MAE was 0.036. For a 3 h forecasting horizon, the errors were greater (as expected), achieving 0.131 m for the RMSE and 0.070 m for the MAE. When comparing these values with the ones presented in Table 1, GNN-SAGE surpassed the literature numbers for both assessed horizons, improving the forecasting for 3 h and 6 h ahead by 6% and 29%, respectively, in terms of RMSE. For the MAE, GNN-SAGE improved the forecasting by 4% for 3 h ahead and 38% for 6 h ahead. For both metrics, GNN-SAGE presented forecasted results more accurately for the river stage. When comparing with the work done by Nguyen and Chen [69], where the authors forecasted flooding events in Taiwan, the proposed graph-based model improved the RMSE metric by 64% and 73% for 1 h and 3 h, respectively.
The GNN-SAGE model also surpassed the results achieved by MART and hybrid WANN models. The MART model was used by Fu et al. [83] to predict flooding in China. Considering their downstream station and the best results from their study, which are presented in Table 2, GNN-SAGE presented an improvement of 82% for the 1 h forecasting horizon and 77% for the 3 h forecasting horizon, indicating great superiority over the MART model. Finally, in Alexander et al. [84], a hybrid WANN model was implemented to estimate flooding in India. Their model RMSE and R2 were consistent between 1 h and 3 h ahead, with a minimal difference between them, as presented in Table 2. However, for the 6 h forecasting horizon, their RMSE and R2 deteriorated greatly. Compared with the WANN model, GNN-SAGE improved the forecasting for 1 h ahead regarding RMSE by 16%. However, for this same forecasting horizon, the R2 metric for the WANN model was superior, indicating that their model was better at explaining the data. For a 3 h forecasting horizon, GNN-SAGE was surpassed by the WANN model in terms of RMSE and R2. However, our proposed model improved the forecasting for the 6 h horizon by 23%, while the R2 was around the same value as the one in the literature.
The SHAP analysis showed that for most of the assessed horizons, past data from the reference and its neighboring stations were found to be the most relevant for the model forecasting. The river seasonality was captured using HoD and DoY, which started to exert relevant influence over GNN-SAGE from 3 h onward. Precipitation was also another relevant variable for the model starting from the 6 h horizon. Precipitation is an important parameter for hydrological event simulations [19,40,85], and accumulated precipitation data from the previous 72 h can give enough hydrological information for flooding forecasting [30]. In [86], SHAP analysis showed that forecasting streamflow relies on important precipitation data, besides streamflow inputs, often influencing the mode positively. In Ekmekcioğlu et al. [87] and Aydin and Iban [88], SHAP analysis showed that precipitation may affect the forecasted result differently depending on the ML model used, which is an expected behavior since different ML approaches process data differently, resulting in different results for an identical task [33,48,49,89].

5. Conclusions

The present work presented a graph-based deep-learning forecasting model to estimate flooding. The proposed model was validated for the Humber River, Canada. Using historical data from stations distributed along the river, comprising previous information on the stage level and precipitation ranging from 8 June 2018 to 17 September 2020, the GNN-SAGE model was trained and tested to forecast possible flooding events up to 24 h in advance.
The forecasted results were assessed using the metrics RMSE and the coefficient of determination R2. The RMSE values for 1 h, 3 h, 6 h, 12 h, and 24 h forecasting horizons were, respectively, 0.025 m, 0.067 m, 0.920 m, 0.122 m, and 0.160 m. For the coefficient of determination, the found values were 96.45%, 75.50%, 59.10%, 40.12%, and 22.65%, respectively, meaning average improvements over the benchmark persistence and GNN-ResGated models of 18% and 9%, respectively. The model presented a great performance for forecasting horizons of 1 h and 3 h. However, results deteriorated after that, which was an expected behavior due to the increase in uncertainty for longer forecasting horizons.
When compared with similar studies found in the literature, GNN-SAGE surpassed or provided competitive results in terms of errors RMSE, MAE, and MAPE, and the coefficient of determination R2, except when compared with the hybrid WANN model. The graph-based model surpassed the physic-based QPF model, the ML SVM and SVR models, and the ensemble MART model, offering an average improvement of 53% over the literature models.
The SHAP analysis showed that the most influential variable for the model result was the data coming from the reference station for all assessed horizons. However, seasonality regarding DoY and HoD increased their importance over the forecasted values when the forecast horizon was increased. Precipitation was also more influential in the forecasted result starting from a forecasting horizon of 6 h.
In future works, the performance of GNN-SAGE can be investigated further when applied to a larger river body. In this case, the impact of spatiotemporal information from neighboring stations can be assessed by examining a variety of station numbers. The developed model can also be applied to an early alarm flooding system. The results of the graph-based model indicate that it can provide adequate warning ahead of time, allowing residents and stakeholders to be better prepared for flooding events.

Author Contributions

Conceptualization, J.V.G.T. and B.G.; methodology, P.A.C.R., J.V.G.T. and B.G.; software, P.A.C.R.; validation, P.A.C.R., J.V.G.T. and B.G.; formal analysis, P.A.C.R.; investigation, P.A.C.R., J.V.G.T. and B.G.; resources, J.V.G.T. and B.G.; data curation, J.V.G.T. and B.G.; writing—original draft preparation, V.O.S., P.A.C.R. and J.S.; writing—review and editing, V.O.S., P.A.C.R., J.S., J.V.G.T. and B.G.; visualization, V.O.S. and P.A.C.R.; supervision, J.V.G.T. and B.G.; project administration, J.V.G.T. and B.G.; funding acquisition, B.G. and J.V.G.T. All authors have read and agreed to the published version of the manuscript.

Funding

This research was funded by the Natural Sciences and Engineering Research Council of Canada (NSERC) Alliance, grant No. 401643, in association with Lakes Environmental Software Inc., and by the Conselho Nacional de Desenvolvimento Científico e Tecnológico—Brasil (CNPq), grant no. 303585/2022-6.

Data Availability Statement

The used data were acquired from https://backup.trcagauging.ca/ (accessed on 30 March 2023). The used algorithm can be downloaded from https://drive.google.com/drive/folders/1dCCG8tNBpXNJ_4do5OeXzYI4VnGwYGSp?usp=sharing (accessed on 5 April 2023).

Conflicts of Interest

The authors declare no conflict of interest.

References

  1. Bonakdari, H.; Binns, A.D.; Gharabaghi, B. A Comparative Study of Linear Stochastic with Nonlinear Daily River Discharge Forecast Models. Water Resour. Manag. 2020, 34, 3689–3708. [Google Scholar] [CrossRef]
  2. Taraky, Y.M.; Liu, Y.; Gharabaghi, B.; McBean, E.; Daggupati, P.; Shrestha, N.K. Influence of Headwater Reservoirs on Climate Change Impacts and Flood Frequency in the Kabul River Basin. Can. J. Civ. Eng. 2022, 49, 1300–1309. [Google Scholar] [CrossRef]
  3. Javadinejad, S. Causes and Consequences of Floods: Flash Floods, Urban Floods, River Floods and Coastal Floods. Resour. Environ. Inf. Eng. 2022, 4, 156–166. [Google Scholar] [CrossRef]
  4. Sohn, W.; Kim, J.-H.; Li, M.-H.; Brown, R.D.; Jaber, F.H. How Does Increasing Impervious Surfaces Affect Urban Flooding in Response to Climate Variability? Ecol. Indic. 2020, 118, 106774. [Google Scholar] [CrossRef]
  5. Soltani, K.; Ebtehaj, I.; Amiri, A.; Azari, A.; Gharabaghi, B.; Bonakdari, H. Mapping the Spatial and Temporal Variability of Flood Susceptibility Using Remotely Sensed Normalized Difference Vegetation Index and the Forecasted Changes in the Future. Sci. Total Environ. 2021, 770, 145288. [Google Scholar] [CrossRef] [PubMed]
  6. Taraky, Y.M.; Liu, Y.; McBean, E.; Daggupati, P.; Gharabaghi, B. Flood Risk Management with Transboundary Conflict and Cooperation Dynamics in the Kabul River Basin. Water 2021, 13, 1513. [Google Scholar] [CrossRef]
  7. Perdikaris, J.; Gharabaghi, B.; Mcbean, E. A Methodology for Undertaking Vulnerability Assessments of Flood Susceptible Communities. Int. J. Saf. Secur. Eng. 2011, 1, 126–146. [Google Scholar] [CrossRef]
  8. Munawar, H.S.; Hammad, A.W.A.; Waller, S.T. Remote Sensing Methods for Flood Prediction: A Review. Sensors 2022, 22, 960. [Google Scholar] [CrossRef]
  9. Oubennaceur, K.; Chokmani, K.; Nastev, M.; Lhissou, R.; El Alem, A. Flood Risk Mapping for Direct Damage to Residential Buildings in Quebec, Canada. Int. J. Disaster Risk Reduct. 2019, 33, 44–54. [Google Scholar] [CrossRef]
  10. Elkurdy, M.; Binns, A.D.; Bonakdari, H.; Gharabaghi, B.; McBean, E. Early Detection of Riverine Flooding Events Using the Group Method of Data Handling for the Bow River, Alberta, Canada. Int. J. River Basin Manag. 2022, 20, 533–544. [Google Scholar] [CrossRef]
  11. Serinaldi, F.; Loecker, F.; Kilsby, C.G.; Bast, H. Flood Propagation and Duration in Large River Basins: A Data-Driven Analysis for Reinsurance Purposes. Nat. Hazards 2018, 94, 71–92. [Google Scholar] [CrossRef]
  12. Jiang, A.Z.; McBean, E.A.; Binns, A.D.; Gharabaghi, B. Guidance on Field Survey Programme Design for Basement Flooding Assessment. Hydrol. Sci. J. 2022, 67, 2524–2533. [Google Scholar] [CrossRef]
  13. Rentschler, J.; Salhab, M.; Jafino, B.A. Flood Exposure and Poverty in 188 Countries. Nat. Commun. 2022, 13, 3527. [Google Scholar] [CrossRef] [PubMed]
  14. Piadeh, F.; Behzadian, K.; Alani, A.M. A Critical Review of Real-Time Modelling of Flood Forecasting in Urban Drainage Systems. J. Hydrol. 2022, 607, 127476. [Google Scholar] [CrossRef]
  15. Rehman, S.; Sahana, M.; Hong, H.; Sajjad, H.; Ahmed, B.B. A Systematic Review on Approaches and Methods Used for Flood Vulnerability Assessment: Framework for Future Research. Nat. Hazards 2019, 96, 975–998. [Google Scholar] [CrossRef]
  16. Sattar, A.M.A.; Bonakdari, H.; Gharabaghi, B.; Radecki-Pawlik, A. Hydraulic Modeling and Evaluation Equations for the Incipient Motion of Sandbags for Levee Breach Closure Operations. Water 2019, 11, 279. [Google Scholar] [CrossRef]
  17. Jiang, A.Z.; McBean, E.A.; Binns, A.; Gharabaghi, B. Quantifying Rainfall-Derived Inflow from Private Foundation Drains in Sanitary Sewers: Case Study in London, Ontario, Canada. J. Hydrol. Eng. 2019, 24, 05019023. [Google Scholar] [CrossRef]
  18. Zahmatkesh, Z.; Kumar Jha, S.; Coulibaly, P.; Stadnyk, T. An Overview of River Flood Forecasting Procedures in Canadian Watersheds. Can. Water Resour. J./Rev. Can. Des Ressour. Hydr. 2019, 44, 213–229. [Google Scholar] [CrossRef]
  19. Zhang, Y.; Gu, Z.; Thé, J.V.G.; Yang, S.X.; Gharabaghi, B. The Discharge Forecasting of Multiple Monitoring Station for Humber River by Hybrid LSTM Models. Water 2022, 14, 1794. [Google Scholar] [CrossRef]
  20. Wijayarathne, D.B.; Coulibaly, P. Identification of Hydrological Models for Operational Flood Forecasting in St. John’s, Newfoundland, Canada. J. Hydrol. Reg. Stud. 2020, 27, 100646. [Google Scholar] [CrossRef]
  21. Kelly, G.; Stodolak, P. Why Insurers Fail; PACICC: Toronto, ON, Canada, 2013. [Google Scholar]
  22. Pattison-Williams, J.K.; Pomeroy, J.W.; Badiou, P.; Gabor, S. Wetlands, Flood Control and Ecosystem Services in the Smith Creek Drainage Basin: A Case Study in Saskatchewan, Canada. Ecol. Econ. 2018, 147, 36–47. [Google Scholar] [CrossRef]
  23. Vrban, S.; Wang, Y.; McBean, E.A.; Binns, A.; Gharabaghi, B. Evaluation of Stormwater Infrastructure Design Storms Developed Using Partial Duration and Annual Maximum Series Models. J. Hydrol. Eng. 2018, 23, 04018051. [Google Scholar] [CrossRef]
  24. Ding, Y.; Zhu, Y.; Feng, J.; Zhang, P.; Cheng, Z. Interpretable Spatio-Temporal Attention LSTM Model for Flood Forecasting. Neurocomputing 2020, 403, 348–359. [Google Scholar] [CrossRef]
  25. Perdikaris, J.; Gharabaghi, B.; Rudra, R. Evaluation of the Simplified Dynamic Wave, Diffusion Wave and the Full Dynamic Wave Flood Routing Models. Earth Sci. Res. 2018, 7, 14. [Google Scholar] [CrossRef]
  26. Perdikaris, J.; Gharabaghi, B.; Rudra, R. Reference Time of Concentration Estimation for Ungauged Catchments. Earth Sci. Res. 2018, 7, 58. [Google Scholar] [CrossRef]
  27. Yoon, S.-S. Adaptive Blending Method of Radar-Based and Numerical Weather Prediction QPFs for Urban Flood Forecasting. Remote Sens. 2019, 11, 642. [Google Scholar] [CrossRef]
  28. Wu, R.-S.; Sin, Y.-Y.; Wang, J.-X.; Lin, Y.-W.; Wu, H.-C.; Sukmara, R.B.; Indawati, L.; Hussain, F. Real-Time Flood Warning System Application. Water 2022, 14, 1866. [Google Scholar] [CrossRef]
  29. Hussain, F.; Wu, R.-S.; Wang, J.-X. Comparative Study of Very Short-Term Flood Forecasting Using Physics-Based Numerical Model and Data-Driven Prediction Model. Nat. Hazards 2021, 107, 249–284. [Google Scholar] [CrossRef]
  30. Zahura, F.T.; Goodall, J.L.; Sadler, J.M.; Shen, Y.; Morsy, M.M.; Behl, M. Training Machine Learning Surrogate Models from a High-Fidelity Physics-Based Model: Application for Real-Time Street-Scale Flood Prediction in an Urban Coastal Community. Water Resour. Res. 2020, 56, e2019WR027038. [Google Scholar] [CrossRef]
  31. Mosavi, A.; Ozturk, P.; Chau, K. Flood Prediction Using Machine Learning Models: Literature Review. Water 2018, 10, 1536. [Google Scholar] [CrossRef]
  32. Kašpar, V.; Zapletal, M.; Samec, P.; Komárek, J.; Bílek, J.; Juráň, S. Unmanned Aerial Systems for Modelling Air Pollution Removal by Urban Greenery. Urban For. Urban Green. 2022, 78, 127757. [Google Scholar] [CrossRef]
  33. Rocha, P.A.C.; Santos, V.O. Global Horizontal and Direct Normal Solar Irradiance Modeling by the Machine Learning Methods XGBoost and Deep Neural Networks with CNN-LSTM Layers: A Case Study Using the GOES-16 Satellite Imagery. Int. J. Energy Environ. Eng. 2022, 13, 1271–1286. [Google Scholar] [CrossRef]
  34. Costa Rocha, P.A.; Johnston, S.J.; Oliveira Santos, V.; Aliabadi, A.A.; Thé, J.V.G.; Gharabaghi, B. Deep Neural Network Modeling for CFD Simulations: Benchmarking the Fourier Neural Operator on the Lid-Driven Cavity Case. Appl. Sci. 2023, 13, 3165. [Google Scholar] [CrossRef]
  35. Parvaze, S.; Khan, J.N.; Kumar, R.; Allaie, S.P. Temporal Flood Forecasting for Trans-Boundary Jhelum River of Greater Himalayas. Theor. Appl. Climatol. 2021, 144, 493–506. [Google Scholar] [CrossRef]
  36. Puttinaovarat, S.; Horkaew, P. Flood Forecasting System Based on Integrated Big and Crowdsource Data by Using Machine Learning Techniques. IEEE Access 2020, 8, 5885–5905. [Google Scholar] [CrossRef]
  37. Ivakhnenko, A.G. Heuristic Self-Organization in Problems of Engineering Cybernetics. Automatica 1970, 6, 207–219. [Google Scholar] [CrossRef]
  38. Ivakhnenko, A.G. Polynomial Theory of Complex Systems. IEEE Trans. Syst. Man Cybern. 1971, SMC-1, 364–378. [Google Scholar] [CrossRef]
  39. Walton, R.; Binns, A.; Bonakdari, H.; Ebtehaj, I.; Gharabaghi, B. Estimating 2-Year Flood Flows Using the Generalized Structure of the Group Method of Data Handling. J. Hydrol. 2019, 575, 671–689. [Google Scholar] [CrossRef]
  40. Zaji, A.H.; Bonakdari, H.; Gharabaghi, B. Remote Sensing Satellite Data Preparation for Simulating and Forecasting River Discharge. IEEE Trans. Geosci. Remote Sens. 2018, 56, 3432–3441. [Google Scholar] [CrossRef]
  41. Zaji, A.H.; Bonakdari, H.; Gharabaghi, B. Applying Upstream Satellite Signals and a 2-D Error Minimization Algorithm to Advance Early Warning and Management of Flood Water Levels and River Discharge. IEEE Trans. Geosci. Remote Sens. 2019, 57, 902–910. [Google Scholar] [CrossRef]
  42. Bonakdari, H.; Zaji, A.H.; Soltani, K.; Gharabaghi, B. Improving the Accuracy of a Remotely-Sensed Flood Warning System Using a Multi-Objective Pre-Processing Method for Signal Defects Detection and Elimination. Comptes Rendus Géosci. 2020, 352, 73–86. [Google Scholar] [CrossRef]
  43. Avand, M.; Moradi, H.; Lasboyee, M.R. Using Machine Learning Models, Remote Sensing, and GIS to Investigate the Effects of Changing Climates and Land Uses on Flood Probability. J. Hydrol. 2021, 595, 125663. [Google Scholar] [CrossRef]
  44. Bonakdari, H.; Zaji, A.H.; Binns, A.D.; Gharabaghi, B. Integrated Markov Chains and Uncertainty Analysis Techniques to More Accurately Forecast Floods Using Satellite Signals. J. Hydrol. 2019, 572, 75–95. [Google Scholar] [CrossRef]
  45. LeCun, Y.; Bengio, Y.; Hinton, G. Deep Learning. Nature 2015, 521, 436–444. [Google Scholar] [CrossRef] [PubMed]
  46. Le, X.H.; Ho, H.V.; Lee, G.; Jung, S. Application of Long Short-Term Memory (LSTM) Neural Network for Flood Forecasting. Water 2019, 11, 1387. [Google Scholar] [CrossRef]
  47. Kabir, S.; Patidar, S.; Xia, X.; Liang, Q.; Neal, J.; Pender, G. A Deep Convolutional Neural Network Model for Rapid Prediction of Fluvial Flood Inundation. J. Hydrol. 2020, 590, 125481. [Google Scholar] [CrossRef]
  48. Marinho, F.P.; Rocha, P.A.C.; Neto, A.R.R.; Bezerra, F.D.V. Short-Term Solar Irradiance Forecasting Using CNN-1D, LSTM, and CNN-LSTM Deep Neural Networks: A Case Study with the Folsom (USA) Dataset. J. Sol. Energy Eng. 2023, 145, 041002. [Google Scholar] [CrossRef]
  49. Carneiro, T.C.; Rocha, P.A.C.; Carvalho, P.C.M.; Fernández-Ramírez, L.M. Ridge Regression Ensemble of Machine Learning Models Applied to Solar and Wind Forecasting in Brazil and Spain. Appl. Energy 2022, 314, 118936. [Google Scholar] [CrossRef]
  50. Li, P.; Zhang, J.; Krebs, P. Prediction of Flow Based on a CNN-LSTM Combined Deep Learning Approach. Water 2022, 14, 993. [Google Scholar] [CrossRef]
  51. Wilson, T.; Tan, P.-N.; Luo, L. A Low Rank Weighted Graph Convolutional Approach to Weather Prediction. In Proceedings of the 2018 IEEE International Conference on Data Mining (ICDM), Singapore, 17–20 November 2018; pp. 627–636. [Google Scholar]
  52. Zhang, S.; Tong, H.; Xu, J.; Maciejewski, R. Graph Convolutional Networks: A Comprehensive Review. Comput. Soc. Netw. 2019, 6, 11. [Google Scholar] [CrossRef]
  53. Oliveira Santos, V.; Costa Rocha, P.A.; Scott, J.; Van Griensven Thé, J.; Gharabaghi, B. Spatiotemporal Air Pollution Forecasting in Houston-TX: A Case Study for Ozone Using Deep Graph Neural Networks. Atmosphere 2023, 14, 308. [Google Scholar] [CrossRef]
  54. Stańczyk, T.; Mehrkanoon, S. Deep Graph Convolutional Networks for Wind Speed Prediction. In Proceedings of the 29th European Symposium on Artificial Neural Networks, Computational Intelligence and Machine Learning, Online, 6–8 October 2021; pp. 147–152. [Google Scholar]
  55. Wu, Q.; Zheng, H.; Guo, X.; Liu, G. Promoting Wind Energy for Sustainable Development by Precise Wind Speed Prediction Based on Graph Neural Networks. Renew. Energy 2022, 199, 977–992. [Google Scholar] [CrossRef]
  56. Feng, J.; Wang, Z.; Wu, Y.; Xi, Y. Spatial and Temporal Aware Graph Convolutional Network for Flood Forecasting. In Proceedings of the 2021 International Joint Conference on Neural Networks (IJCNN), Shenzhen, China, 18–22 July 2021; pp. 1–8. [Google Scholar]
  57. Baïle, R.; Muzy, J.-F. Leveraging Data from Nearby Stations to Improve Short-Term Wind Speed Forecasts. Energy 2023, 263, 125644. [Google Scholar] [CrossRef]
  58. Baïle, R.; Muzy, J.F.; Poggi, P. Short-Term Forecasting of Surface Layer Wind Speed Using a Continuous Random Cascade Model. Wind. Energy 2011, 14, 719–734. [Google Scholar] [CrossRef]
  59. Wu, Y.-K.; Hong, J.-S. A Literature Review of Wind Forecasting Technology in the World. In Proceedings of the 2007 IEEE Lausanne Power Tech, Lausanne, Switzerland, 1–5 July 2007; pp. 504–509. [Google Scholar]
  60. Yang, D.; Kleissl, J.; Gueymard, C.A.; Pedro, H.T.C.; Coimbra, C.F.M. History and Trends in Solar Irradiance and PV Power Forecasting: A Preliminary Assessment and Review Using Text Mining. Sol. Energy 2018, 168, 60–101. [Google Scholar] [CrossRef]
  61. Hanifi, S.; Liu, X.; Lin, Z.; Lotfian, S. A Critical Review of Wind Power Forecasting Methods—Past, Present and Future. Energies 2020, 13, 3764. [Google Scholar] [CrossRef]
  62. Zhou, J.; Cui, G.; Hu, S.; Zhang, Z.; Yang, C.; Liu, Z.; Wang, L.; Li, C.; Sun, M. Graph Neural Networks: A Review of Methods and Applications. AI Open 2020, 1, 57–81. [Google Scholar] [CrossRef]
  63. Hamilton, W.L.; Ying, R.; Leskovec, J. Inductive Representation Learning on Large Graphs. In Proceedings of the 31st Conference on Neural Information Processing Systems (NIPS 2017), Long Beach, CA, USA, 4–9 December 2017. [Google Scholar]
  64. Wu, Z.; Pan, S.; Chen, F.; Long, G.; Zhang, C.; Yu, P.S. A Comprehensive Survey on Graph Neural Networks. IEEE Trans. Neural Netw. Learn. Syst. 2021, 32, 4–24. [Google Scholar] [CrossRef]
  65. Labonne, M. Hands-On Graph Neural Networks Using Python; Packt Publishing: Birmingham, UK, 2023. [Google Scholar]
  66. Bresson, X.; Laurent, T. Residual Gated Graph Convnets. arXiv 2017, arXiv:1711.07553. [Google Scholar]
  67. He, K.; Zhang, X.; Ren, S.; Sun, J. Deep Residual Learning for Image Recognition. In Proceedings of the 2016 IEEE Conference on Computer Vision and Pattern Recognition (CVPR), Las Vegas, NV, USA, 27–30 June 2016; pp. 770–778. [Google Scholar]
  68. Marcheggiani, D.; Titov, I. Encoding Sentences with Graph Convolutional Networks for Semantic Role Labeling. In Proceedings of the 2017 Conference on Empirical Methods in Natural Language Processing, Copenhagen, Denmark, 7–11 September 2017. [Google Scholar]
  69. Dwivedi, V.P.; Joshi, C.K.; Luu, A.T.; Laurent, T.; Bengio, Y.; Bresson, X. Benchmarking Graph Neural Networks. J. Mach. Learn. Res. 2020, 23, 1–48. [Google Scholar]
  70. Shafiq, M.; Gu, Z. Deep Residual Learning for Image Recognition: A Survey. Appl. Sci. 2022, 12, 8972. [Google Scholar] [CrossRef]
  71. Lundberg, S.M.; Lee, S.-I. A Unified Approach to Interpreting Model Predictions. In Advances in Neural Information Processing Systems; Curran Associates, Inc.: Red Hook, NY, USA, 2017; Volume 30. [Google Scholar]
  72. Akbar, S.; Ali, F.; Hayat, M.; Ahmad, A.; Khan, S.; Gul, S. Prediction of Antiviral Peptides Using Transform Evolutionary & SHAP Analysis Based Descriptors by Incorporation with Ensemble Learning Strategy. Chemom. Intell. Lab. Syst. 2022, 230, 104682. [Google Scholar] [CrossRef]
  73. Abdulalim Alabdullah, A.; Iqbal, M.; Zahid, M.; Khan, K.; Nasir Amin, M.; Jalal, F.E. Prediction of Rapid Chloride Penetration Resistance of Metakaolin Based High Strength Concrete Using Light GBM and XGBoost Models by Incorporating SHAP Analysis. Constr. Build. Mater. 2022, 345, 128296. [Google Scholar] [CrossRef]
  74. Silva, S.J.; Keller, C.A.; Hardin, J. Using an Explainable Machine Learning Approach to Characterize Earth System Model Errors: Application of SHAP Analysis to Modeling Lightning Flash Occurrence. J. Adv. Model. Earth Syst. 2022, 14, e2021MS002881. [Google Scholar] [CrossRef]
  75. Bai, R.; Lam, J.C.K.; Li, V.O.K. What Dictates Income in New York City? SHAP Analysis of Income Estimation Based on Socio-Economic and Spatial Information Gaussian Processes (SSIG). Humanit. Soc. Sci. Commun. 2023, 10, 60. [Google Scholar] [CrossRef] [PubMed]
  76. Rincón, D.; Velandia, J.F.; Tsanis, I.; Khan, U.T. Stochastic Flood Risk Assessment under Climate Change Scenarios for Toronto, Canada Using CAPRA. Water 2022, 14, 227. [Google Scholar] [CrossRef]
  77. Howell, E.T.; Benoit, N. Nutrient Footprints on the Toronto-Mississauga Waterfront of Lake Ontario. J. Great Lakes Res. 2021, 47, 343–365. [Google Scholar] [CrossRef]
  78. Rincón, D.; Khan, U.; Armenakis, C. Flood Risk Mapping Using GIS and Multi-Criteria Analysis: A Greater Toronto Area Case Study. Geosciences 2018, 8, 275. [Google Scholar] [CrossRef]
  79. Weisberg, S. Applied Linear Regression; John Wiley & Sons: Hoboken, NJ, USA, 2005; ISBN 978-0-471-70408-9. [Google Scholar]
  80. Dazzi, S.; Vacondio, R.; Mignosa, P. Flood Stage Forecasting Using Machine-Learning Methods: A Case Study on the Parma River (Italy). Water 2021, 13, 1612. [Google Scholar] [CrossRef]
  81. Wang, H.; Hu, Y.; Guo, Y.; Wu, Z.; Yan, D. Urban Flood Forecasting Based on the Coupling of Numerical Weather Model and Stormwater Model: A Case Study of Zhengzhou City. J. Hydrol. Reg. Stud. 2022, 39, 100985. [Google Scholar] [CrossRef]
  82. Nguyen, D.T.; Chen, S.-T. Real-Time Probabilistic Flood Forecasting Using Multiple Machine Learning Methods. Water 2020, 12, 787. [Google Scholar] [CrossRef]
  83. Fu, J.-C.; Huang, H.-Y.; Jang, J.-H.; Huang, P.-H. River Stage Forecasting Using Multiple Additive Regression Trees. Water Resour. Manag. 2019, 33, 4491–4507. [Google Scholar] [CrossRef]
  84. Alexander, A.A.; Thampi, S.G.; NR, C. Development of Hybrid Wavelet-ANN Model for Hourly Flood Stage Forecasting. ISH J. Hydraul. Eng. 2018, 24, 266–274. [Google Scholar] [CrossRef]
  85. Langridge, M.; Gharabaghi, B.; Bonakdari, H.; Walton, R. Understanding the Dynamic Nature of Catchment Response Time through Machine Learning Analysis. ESS Open Archive 2019. [Google Scholar] [CrossRef]
  86. Lin, Y.; Wang, D.; Wang, G.; Qiu, J.; Long, K.; Du, Y.; Xie, H.; Wei, Z.; Shangguan, W.; Dai, Y. A Hybrid Deep Learning Algorithm and Its Application to Streamflow Prediction. J. Hydrol. 2021, 601, 126636. [Google Scholar] [CrossRef]
  87. Ekmekcioğlu, Ö.; Koc, K.; Özger, M.; Işık, Z. Exploring the Additional Value of Class Imbalance Distributions on Interpretable Flash Flood Susceptibility Prediction in the Black Warrior River Basin, Alabama, United States. J. Hydrol. 2022, 610, 127877. [Google Scholar] [CrossRef]
  88. Aydin, H.E.; Iban, M.C. Predicting and Analyzing Flood Susceptibility Using Boosting-Based Ensemble Machine Learning Algorithms with SHapley Additive ExPlanations. Nat. Hazards 2023, 116, 2957–2991. [Google Scholar] [CrossRef]
  89. de Amorim Neto, J.P.; Marinho, F.P.; Lima, R.J.P.; Rocha, P.A.C.; Mendonça, S.P.; Bueno, A.V.; da Silva, M.E.V. Thermal Behavior Estimation of a Solar Wall Operated by TiO2 Nanofluids Using Several Machine Learning Models. J. Braz. Soc. Mech. Sci. Eng. 2022, 44, 128. [Google Scholar] [CrossRef]
Figure 1. General GNN-SAGE architecture structure used.
Figure 1. General GNN-SAGE architecture structure used.
Water 15 01827 g001
Figure 2. Map showing the location of the stations containing stage (in green) and precipitation (in blue) data. The red symbol is the site of the reference station.
Figure 2. Map showing the location of the stations containing stage (in green) and precipitation (in blue) data. The red symbol is the site of the reference station.
Water 15 01827 g002
Figure 3. Influence of the different dataset sizes without and with precipitation data, as represented by the colors orange and blue, respectively.
Figure 3. Influence of the different dataset sizes without and with precipitation data, as represented by the colors orange and blue, respectively.
Water 15 01827 g003
Figure 4. Influence of the time lag on the GNN-SAGE and GNN-ResGated models for a 1 h forecasting horizon compared with persistence.
Figure 4. Influence of the time lag on the GNN-SAGE and GNN-ResGated models for a 1 h forecasting horizon compared with persistence.
Water 15 01827 g004
Figure 5. Influence of the different input variables for the GNN-SAGE and GNN-ResGated models for a 1 h forecasting horizon.
Figure 5. Influence of the different input variables for the GNN-SAGE and GNN-ResGated models for a 1 h forecasting horizon.
Water 15 01827 g005
Figure 6. Comparison between the forecasted stage values using GNN-SAGE and real measured stage values for Humber River for a 1 h forecasting horizon.
Figure 6. Comparison between the forecasted stage values using GNN-SAGE and real measured stage values for Humber River for a 1 h forecasting horizon.
Water 15 01827 g006
Figure 7. Scatter plot (a) with the marginal distribution for the measured (b) and forecasted (c) level values using GNN-SAGE for 1 h ahead.
Figure 7. Scatter plot (a) with the marginal distribution for the measured (b) and forecasted (c) level values using GNN-SAGE for 1 h ahead.
Water 15 01827 g007
Figure 8. Influence of the different time lags for the GNN-SAGE and GNN-ResGated models for a 3 h forecasting horizon compared with the persistence model.
Figure 8. Influence of the different time lags for the GNN-SAGE and GNN-ResGated models for a 3 h forecasting horizon compared with the persistence model.
Water 15 01827 g008
Figure 9. Influence of the different input variables for the GNN-SAGE and GNN-ResGated models for a 3 h forecasting horizon.
Figure 9. Influence of the different input variables for the GNN-SAGE and GNN-ResGated models for a 3 h forecasting horizon.
Water 15 01827 g009
Figure 10. Influence of the different precipitation summing window sizes for a 3 h forecasting horizon.
Figure 10. Influence of the different precipitation summing window sizes for a 3 h forecasting horizon.
Water 15 01827 g010
Figure 11. Comparison between forecasted stage values using GNN-SAGE and real measured stage values for Humber River for a 3 h forecasting horizon.
Figure 11. Comparison between forecasted stage values using GNN-SAGE and real measured stage values for Humber River for a 3 h forecasting horizon.
Water 15 01827 g011
Figure 12. Scatter plot (a) with a marginal distribution for the measured (b) and forecasted (c) level values using GNN-SAGE for 3 h ahead.
Figure 12. Scatter plot (a) with a marginal distribution for the measured (b) and forecasted (c) level values using GNN-SAGE for 3 h ahead.
Water 15 01827 g012
Figure 13. Influence of the different time lags for the GNN-SAGE and GNN-ResGated models for a 6 h forecasting horizon compared with the persistence model.
Figure 13. Influence of the different time lags for the GNN-SAGE and GNN-ResGated models for a 6 h forecasting horizon compared with the persistence model.
Water 15 01827 g013
Figure 14. Influence of the different input variables for the GNN-SAGE and GNN-ResGated models for a 6 h forecasting horizon.
Figure 14. Influence of the different input variables for the GNN-SAGE and GNN-ResGated models for a 6 h forecasting horizon.
Water 15 01827 g014
Figure 15. Influence of the different precipitation summing window sizes for a 6 h forecasting horizon.
Figure 15. Influence of the different precipitation summing window sizes for a 6 h forecasting horizon.
Water 15 01827 g015
Figure 16. Comparison between the forecasted stage values using GNN-SAGE and the measured stage values for Humber River for a 6 h forecasting horizon.
Figure 16. Comparison between the forecasted stage values using GNN-SAGE and the measured stage values for Humber River for a 6 h forecasting horizon.
Water 15 01827 g016
Figure 17. Scatter plot (a) with a marginal distribution for the measured (b) and forecasted (c) level values using GNN-SAGE for 6 h ahead.
Figure 17. Scatter plot (a) with a marginal distribution for the measured (b) and forecasted (c) level values using GNN-SAGE for 6 h ahead.
Water 15 01827 g017
Figure 18. Influence of the different time lags for the GNN-SAGE and GNN-ResGated models for a 12 h forecasting horizon compared with the persistence model.
Figure 18. Influence of the different time lags for the GNN-SAGE and GNN-ResGated models for a 12 h forecasting horizon compared with the persistence model.
Water 15 01827 g018
Figure 19. Influence of the different input variables for the GNN-SAGE and GNN-ResGated models for a 12 h forecasting horizon.
Figure 19. Influence of the different input variables for the GNN-SAGE and GNN-ResGated models for a 12 h forecasting horizon.
Water 15 01827 g019
Figure 20. Influence of the different precipitation summing window sizes for a 12 h forecasting horizon.
Figure 20. Influence of the different precipitation summing window sizes for a 12 h forecasting horizon.
Water 15 01827 g020
Figure 21. Comparison between the forecasted stage values using GNN-SAGE and the real measured stage values for Humber River for a 12 h forecasting horizon.
Figure 21. Comparison between the forecasted stage values using GNN-SAGE and the real measured stage values for Humber River for a 12 h forecasting horizon.
Water 15 01827 g021
Figure 22. Scatter plot (a) with a marginal distribution for the measured (b) and forecasted (c) level values using GNN-SAGE for 12 h ahead.
Figure 22. Scatter plot (a) with a marginal distribution for the measured (b) and forecasted (c) level values using GNN-SAGE for 12 h ahead.
Water 15 01827 g022
Figure 23. Influence of the different time lags for the GNN-SAGE and GNN-ResGated models for a 24 h forecasting horizon compared with the persistence model.
Figure 23. Influence of the different time lags for the GNN-SAGE and GNN-ResGated models for a 24 h forecasting horizon compared with the persistence model.
Water 15 01827 g023
Figure 24. Influence of the different input variables for the GNN-SAGE and GNN-ResGated models for a 24 h forecasting horizon.
Figure 24. Influence of the different input variables for the GNN-SAGE and GNN-ResGated models for a 24 h forecasting horizon.
Water 15 01827 g024
Figure 25. Influence of the different precipitation summing window sizes for a 24 h forecasting horizon.
Figure 25. Influence of the different precipitation summing window sizes for a 24 h forecasting horizon.
Water 15 01827 g025
Figure 26. Comparison between the forecasted stage values using GNN-SAGE and the real measured stage values for Humber River for a 24 h forecasting horizon.
Figure 26. Comparison between the forecasted stage values using GNN-SAGE and the real measured stage values for Humber River for a 24 h forecasting horizon.
Water 15 01827 g026
Figure 27. Scatter plot (a) with a marginal distribution for the measured (b) and forecasted (c) level values using GNN-SAGE for 24 h ahead.
Figure 27. Scatter plot (a) with a marginal distribution for the measured (b) and forecasted (c) level values using GNN-SAGE for 24 h ahead.
Water 15 01827 g027
Figure 28. SHAP analysis results for (a) 1 h, (b) 3 h, (c) 6 h, (d) 12 h, and (e) 24 h horizons.
Figure 28. SHAP analysis results for (a) 1 h, (b) 3 h, (c) 6 h, (d) 12 h, and (e) 24 h horizons.
Water 15 01827 g028
Table 1. Summary of performance metrics for forecasting using the GNN-SAGE model.
Table 1. Summary of performance metrics for forecasting using the GNN-SAGE model.
Metric1 h Ahead3 h Ahead6 h Ahead12 h Ahead24 h Ahead
RMSE (m)0.025160.067360.092000.122150.16077
MAE (m)0.015920.03450.043720.055140.07077
MAPE1.04%2.18%2.65%3.20%3.78%
R296.45%75.50%59.10%40.12%22.65%
Table 2. Literature values for flooding prediction.
Table 2. Literature values for flooding prediction.
ModelMetric ValueAuthor
Spatio-temporal attention LSTM (STA-LSTM)Error rate
3.96% for 6 h forecasting horizon
3.98% for 12 h forecasting horizon
6.31% for 24 h forecasting horizon
Zhang et al.
[19]
Quantitative precipitation forecast (QPF)RMSE
0.09 m for 1 h forecasting horizon
Wu et al.
[28]
Support vector machine
(SVM)
RMSE (MAE)
0.072 m (0.036 m) for 3 h forecasting horizon
0.131 m (0.070 m) for 6 h forecasting horizon
Dazzi et al.
[80]
Support vector regression
(SVR)
RMSE
0.07 m for 1 h forecasting horizon
0.25 m for 3 h forecasting horizon
RMSE
Nguyen and Chen
[82]
Multiple additive regression trees
(MART)
0.14 m for 1 h forecasting horizon
0.29 m for 3 h forecasting horizon
Fu et al.
[83]
Hybrid wavelet and ANN
(WANN)
RMSE (R2)
0.03 m (98%) for 1 h forecasting horizon
0.038 m (97%) for 3 h forecasting horizon
0.12 m (60%) for 6 h forecasting horizon
Alexander et al.
[84]
Disclaimer/Publisher’s Note: The statements, opinions and data contained in all publications are solely those of the individual author(s) and contributor(s) and not of MDPI and/or the editor(s). MDPI and/or the editor(s) disclaim responsibility for any injury to people or property resulting from any ideas, methods, instructions or products referred to in the content.

Share and Cite

MDPI and ACS Style

Oliveira Santos, V.; Costa Rocha, P.A.; Scott, J.; Thé, J.V.G.; Gharabaghi, B. A New Graph-Based Deep Learning Model to Predict Flooding with Validation on a Case Study on the Humber River. Water 2023, 15, 1827. https://doi.org/10.3390/w15101827

AMA Style

Oliveira Santos V, Costa Rocha PA, Scott J, Thé JVG, Gharabaghi B. A New Graph-Based Deep Learning Model to Predict Flooding with Validation on a Case Study on the Humber River. Water. 2023; 15(10):1827. https://doi.org/10.3390/w15101827

Chicago/Turabian Style

Oliveira Santos, Victor, Paulo Alexandre Costa Rocha, John Scott, Jesse Van Griensven Thé, and Bahram Gharabaghi. 2023. "A New Graph-Based Deep Learning Model to Predict Flooding with Validation on a Case Study on the Humber River" Water 15, no. 10: 1827. https://doi.org/10.3390/w15101827

APA Style

Oliveira Santos, V., Costa Rocha, P. A., Scott, J., Thé, J. V. G., & Gharabaghi, B. (2023). A New Graph-Based Deep Learning Model to Predict Flooding with Validation on a Case Study on the Humber River. Water, 15(10), 1827. https://doi.org/10.3390/w15101827

Note that from the first issue of 2016, this journal uses article numbers instead of page numbers. See further details here.

Article Metrics

Back to TopTop