Variations of Runoff-Sediment Processes at Flood Event Scale at a Typical Catchment in the Loess Plateau of China
Abstract
1. Introduction
2. Study Area
3. Material and Methods
3.1. Data Sources
3.2. Methodologies
3.2.1. Statistical Analysis
3.2.2. Classification of Rainfall Types
3.2.3. Hysteretic Loops
4. Results
4.1. Classification of Rainfall Types
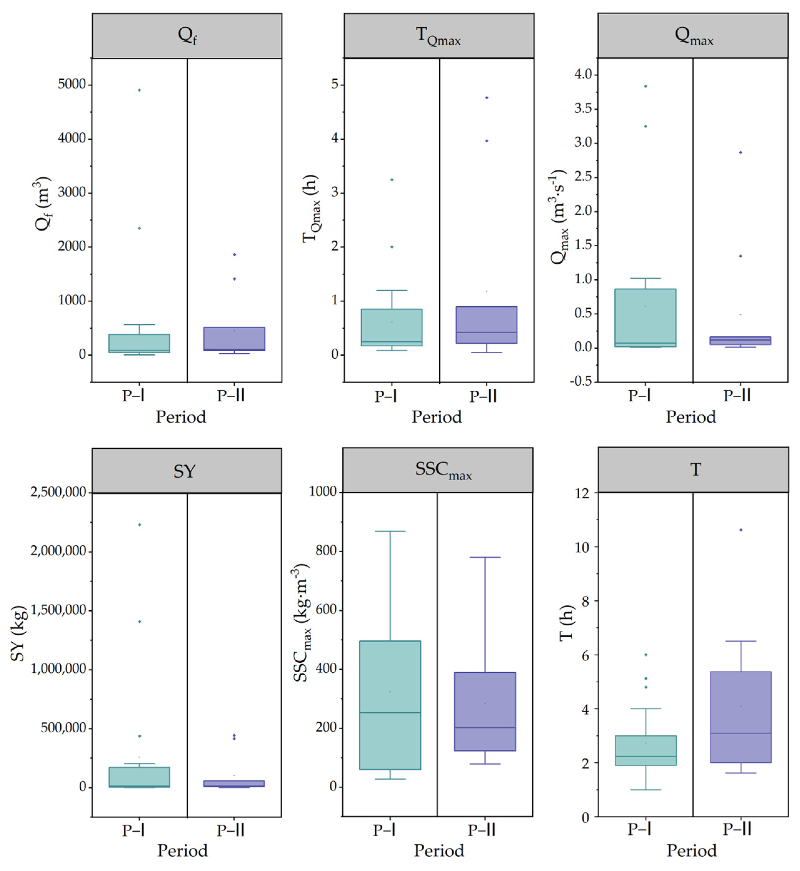
4.2. The Variations of Flood Characteristics for Different Periods
4.3. The Relationship between Runoff Depth and Sediment Transport Modulus for Different Periods
4.4. SSC-Q Hysteretic Loops for Different Periods
5. Discussion
5.1. Effects of Rainfall on Hydrologic and Sediment at Flood Event Scale
5.2. Effects of Revegetation on Hydrologic and Sediment at Flood Event Scale
5.3. Suspended Sediment Dynamics at Flood Event Scale
6. Conclusions
Author Contributions
Funding
Data Availability Statement
Conflicts of Interest
References
- Walling, D.E. Human impact on land–ocean sediment transfer by the world’s rivers. Geomorphology 2006, 79, 192–216. [Google Scholar] [CrossRef]
- Wei, W.; Chen, L.; Zhang, H.; Chen, J. Effect of rainfall variation and landscape change on runoff and sediment yield from a loess hilly catchment in China. Environ. Earth Sci. 2015, 73, 1005–1016. [Google Scholar] [CrossRef]
- Zhao, G.; Tian, P.; Mu, X.; Jiao, J.; Wang, F.; Gao, P. Quantifying the impact of climate variability and human activities on streamflow in the middle reaches of the Yellow River basin, China. J. Hydrol. 2014, 519, 387–398. [Google Scholar] [CrossRef]
- Li, L.; Ni, J.; Chang, F.; Yue, Y.; Frolova, N.; Magritsky, D.; Borthwick, A.G.L.; Ciais, P.; Wang, Y.; Zheng, C.; et al. Global trends in water and sediment fluxes of the world’s large rivers. Sci. Bull. 2020, 65, 62–69. [Google Scholar] [CrossRef]
- Shao, Y.; Mu, X.; He, Y.; Chen, K. Variations in runoff, sediment load, and their relationship for a major sediment source area of the Jialing River basin, southern China. Hydrol. Process. 2021, 35, e14297. [Google Scholar] [CrossRef]
- Wang, H.; Wang, W.; Hu, J.; Sang, Y.; Guo, W. Characterization of the evolution of runoff-sediment relationship in Min River based on coupling coordination theory. River Res. Appl. 2023, 39, 1067–1083. [Google Scholar] [CrossRef]
- Aras, E.; Berkun, M.; Akdemir, U.O. Water runoff, sediment transport and related impacts in the Southeastern Black Sea rivers. Environ. Eng. Manag. J. 2015, 14, 781–791. [Google Scholar] [CrossRef]
- Ngo, T.S.; Nguyen, D.B.; Rajendra, P.S. Effect of land use change on runoff and sediment yield in Da River Basin of Hoa Binh province, Northwest Vietnam. J. Mt. Sci. 2015, 12, 1051–1064. [Google Scholar] [CrossRef]
- Sonu, T.S.; Bhagyanathan, A. The impact of upstream land use land cover change on downstream flooding: A case of Kuttanad and Meenachil River Basin, Kerala, India. Urban Clim. 2022, 41, 101089. [Google Scholar]
- Feng, P.; Wu, J.; Li, J. Changes in flood characteristics and the flood driving mechanism in the mountainous Haihe River Basin, China. Hydrol. Sci. J. 2019, 64, 1997–2005. [Google Scholar] [CrossRef]
- Mehmood, A.; Jia, S.F.; Lv, A.F.; Zhu, W.B.; Mahmoodet, R.; Saifullah, A.; Ikram, R.M.A. Detection of spatial shift in flood regime of the Kabul river basin in Pakistan, causes, challenges, and opportunities. Water 2021, 13, 1276. [Google Scholar] [CrossRef]
- Ren, M. Sediment discharge of the Yellow River, China: Past, present and future—A synthesis. Acta Oceanol. Sin. 2015, 34, 1–8. [Google Scholar] [CrossRef]
- Liu, X.Y.; Li, X.Y.; Gao, Y.F.; Dang, S.Z. Changes of rainfall threshold for sediment producing in the loess hilly and gully region of the Loess Plateau. J. Hydraul. Eng. 2019, 50, 1177–1188. (In Chinese) [Google Scholar]
- Yang, S.; Kang, T.; Bu, J.; Chen, J.; Gao, Y. Evaluating the Impacts of Climate Change and Vegetation Restoration on the Hydrological Cycle over the Loess Plateau, China. Water 2019, 11, 2241. [Google Scholar] [CrossRef]
- Li, P.; Chen, J.; Zhao, G.; Holden, J.; Liu, B.; Chan, F.K.S.; Hu, J.; Wu, P.; Mu, X. Determining the drivers and rates of soil erosion on the Loess Plateau since 1901. Sci. Total Environ. 2022, 823, 153674. [Google Scholar] [CrossRef]
- Zheng, H.Y.; Miao, C.Y.; Wu, J.; Lei, X.; Liao, W.; Li, H. Temporal and spatial variations in water discharge and sediment load on the Loess Plateau, China: A high-density study. Sci. Total Environ. 2019, 666, 875–886. [Google Scholar] [CrossRef]
- Jia, L.; Yu, K.-X.; Li, Z.-B.; Li, P.; Zhang, J.-Z.; Wang, A.-N.; Ma, L.; Xu, G.-C.; Zhang, X. Temporal and spatial variation of rainfall erosivity in the Loess Plateau of China and its impact on sediment load. Catena 2022, 210, 105931. [Google Scholar] [CrossRef]
- Hu, J.; Zhao, G.; Mu, X.; Tian, P.; Gao, P.; Sun, W. Quantifying the impacts of human activities on runoff and sediment load changes in a Loess Plateau catchment, China. J. Soils Sediments 2019, 19, 3866–3880. [Google Scholar] [CrossRef]
- Zhang, Y.; Bi, Z.; Zhang, X.; Yu, Y. Influence of Landscape Pattern Changes on Runoff and Sediment in the Dali River Watershed on the Loess Plateau of China. Land 2019, 8, 180. [Google Scholar] [CrossRef]
- Xie, M.; Zhang, X.M.; Zhao, Y.; Wang, Z.Y. The mechanism of response of runoff and sediment yield to precipitation and LUCC in Beiluohe River basin. J. China Inst. Water Resour. Hydropower Res. 2019, 17, 39–44. (In Chinese) [Google Scholar] [CrossRef]
- Zhang, X.P.; Lin, P.F.; Chen, H.; Yan, R.; Zhang, J.J.; Yu, Y.P.; Liu, E.J.; Yang, Y.H.; Zhao, W.H.; Lv, D.; et al. Understanding land use and cover change impacts onrun-off and sediment load at flood events on the Loess Plateau, China. Hydrol. Process. 2018, 32, 576–589. [Google Scholar] [CrossRef]
- Liu, S.S.; Li, X.B.; Liu, S.J.; Du, X. Study on water and sediment variation of the typical small watershed in loess hilly and gully region at different spatial scales. J. Sediment. Res. 2022, 47, 51–58. (In Chinese) [Google Scholar] [CrossRef]
- Williams, G.P. Sediment concentration versus water discharge during single hydrologic events in rivers. J. Hydrol. 1989, 111, 89–106. [Google Scholar] [CrossRef]
- Morin, E.; Goodrich, D.C.; Maddox, R.A.; Gao, X.; Gupta, H.V.; Sorooshian, S. Spatial patterns in thunderstorm rainfall events and their coupling with watershed hydrological response. Adv. Water Resour. 2006, 29, 843–860. [Google Scholar] [CrossRef]
- Kinnell, P.I.A. Raindrop-impact-induced erosion processes and prediction: A review. Hydrol. Process. 2005, 19, 2815–2844. [Google Scholar] [CrossRef]
- Wan, L.; Zhang, X.P.; Ma, Q.; Zhang, J.J.; Ma, T.Y.; Sun, Y.P. Spatiotemporal characteristics of precipitation and extreme events on the Loess Plateau of China between 1957 and 2009. Hydrol. Process. 2014, 28, 4971–4983. [Google Scholar] [CrossRef]
- Gu, C.J.; Mu, X.M.; Sun, W.Y.; Gao, P.; Zhao, G.J. Comparative analysis of the responses of Rainstorm Flood and Sediment Yield to Vegetation Rehabilitation in the Yanhe River Basin. J. Nat. Resour. 2017, 32, 1755–1767. (In Chinese) [Google Scholar]
- Zhang, M.; Wei, X. Alteration of flow regimes caused by large-scale forest disturbance: A case study from a large watershed in the interior of British Columbia, Canada. Ecohydrology 2014, 7, 544–556. [Google Scholar] [CrossRef]
- Iroumé, A.; Mayen, O.; Huber, A. Runoff and peak flow responses to timber harvest and forest age in southern Chile. Hydrol. Process. 2006, 20, 37–50. [Google Scholar] [CrossRef]
- Bronstert, A.; Bárdossy, A.; Bismuth, C.; Buiteveld, H.; Disse, M.; Engel, H.; Fritsch, U.; Hundecha, Y.; Lammersen, R.; Niehoff, D.; et al. Multi-scale modelling of land-use change and river training effects on floods in the Rhine basin. River Res. Appl. 2007, 23, 1102–1125. [Google Scholar] [CrossRef]
- Gu, C.; Mu, X.; Gao, P.; Zhao, G.; Sun, W.; Tatarko, J.; Tan, X. Influence of vegetation restoration on soil physical properties in the Loess Plateau, China. J. Soils Sediments 2019, 19, 716–728. [Google Scholar] [CrossRef]
- Boix-Fayos, C.; Barberá, G.; López-Bermúdez, F.; Castillo, V. Effects of check dams, reforestation and land-use changes on river channel morphology: Case study of the Rogativa catchment (Murcia, Spain). Geomorphology 2007, 91, 103–123. [Google Scholar] [CrossRef]
- Lana-Renault, N.; Regüés, D. Seasonal patterns of suspended sediment transport in an abandoned farmland catchment in the Central Spanish Pyrenees. Earth Surf. Process. Landf. 2009, 34, 1291–1301. [Google Scholar] [CrossRef]
- Lenzi, M.A.; Marchi, L. Suspended sediment load during floods in a small stream of the Dolomites (northeastern Italy). Catena 2000, 39, 267–282. [Google Scholar] [CrossRef]
- Rovira, A.; Batalla, R.J. Temporal distribution of suspended sediment transport in a Mediterranean basin: The Lower Tordera (NE SPAIN). Geomorphology 2006, 79, 58–71. [Google Scholar] [CrossRef]













| Runoff-Relative Variables | Sediment-Relative Variables | Precipitation-Relative Variables |
|---|---|---|
| Event flood volume (Qf, m3) | Event sediment yield (SY, kg) | Event total precipitation (P, mm) |
| Event flood peak discharge (Qmax, m3·s−1) | Event maximum suspended sediment concentration (SSCmax, kg·m−1) | Event rainfall duration (D, h) |
| Event flood peak discharge time (TQmax, h) | Event rainfall intensity (I, mm·h−1) | |
| Event flood duration (T, h) |
| Rainfall Types | Characteristics Index | Frequency | Proportion/% | ||
|---|---|---|---|---|---|
| D/h | I/(mm·h−1) | ||||
| SW | Mean | 4.65 | 1.62 | 136 | 48.23 |
| V25 | 2.83 | 0.88 | |||
| V75 | 6.16 | 2.07 | |||
| LW | Mean | 13.29 | 1.38 | 85 | 30.14 |
| V25 | 10.17 | 0.77 | |||
| V75 | 14.92 | 1.69 | |||
| SH | Mean | 2.22 | 6.90 | 61 | 21.63 |
| V25 | 0.87 | 4.63 | |||
| V75 | 2.47 | 8.92 | |||
| Periods | Hysteretic Loops | |||
|---|---|---|---|---|
| Clockwise | Counter-Clockwise | Figure-of-Eight | Compound | |
| P-I (1986–1988) | 2 | 5 | 8 | 3 |
| P-II (2001–2009) | 0 | 1 | 4 | 5 |
| Flood Events | D/h | P/mm | I/mm·h−1 | Qf/m3 | Qmax/m3·s−1 | SY/kg | SSCmax/kg·m−3 |
|---|---|---|---|---|---|---|---|
| 19880715 | 5.92 | 61.45 | 10.38 | 4907.82 | 3.25 | 2,231,060.7 | 563.0 |
| 20060731 | 5.59 | 60.73 | 10.86 | 32.46 | 0.012 | 1470.2 | 78.8 |
Disclaimer/Publisher’s Note: The statements, opinions and data contained in all publications are solely those of the individual author(s) and contributor(s) and not of MDPI and/or the editor(s). MDPI and/or the editor(s) disclaim responsibility for any injury to people or property resulting from any ideas, methods, instructions or products referred to in the content. |
© 2023 by the authors. Licensee MDPI, Basel, Switzerland. This article is an open access article distributed under the terms and conditions of the Creative Commons Attribution (CC BY) license (https://creativecommons.org/licenses/by/4.0/).
Share and Cite
Fan, X.; Gao, P.; Wu, C.; Chai, X.; Mu, X. Variations of Runoff-Sediment Processes at Flood Event Scale at a Typical Catchment in the Loess Plateau of China. Water 2023, 15, 2690. https://doi.org/10.3390/w15152690
Fan X, Gao P, Wu C, Chai X, Mu X. Variations of Runoff-Sediment Processes at Flood Event Scale at a Typical Catchment in the Loess Plateau of China. Water. 2023; 15(15):2690. https://doi.org/10.3390/w15152690
Chicago/Turabian StyleFan, Xinyi, Peng Gao, Changxue Wu, Xueke Chai, and Xingmin Mu. 2023. "Variations of Runoff-Sediment Processes at Flood Event Scale at a Typical Catchment in the Loess Plateau of China" Water 15, no. 15: 2690. https://doi.org/10.3390/w15152690
APA StyleFan, X., Gao, P., Wu, C., Chai, X., & Mu, X. (2023). Variations of Runoff-Sediment Processes at Flood Event Scale at a Typical Catchment in the Loess Plateau of China. Water, 15(15), 2690. https://doi.org/10.3390/w15152690

