Application of Magnetic Nanocomposites in Water Treatment: Core–Shell Fe3O4 Material for Efficient Adsorption of Cr(VI)
Abstract
1. Introduction
2. Materials and Experiments
2.1. Reagent Selection
2.2. Synthesis of SiO2-Coated Fe3O4 Particles
2.3. Structure and Characterization Methods
2.4. Experimental Method Analysis and Optimization
2.5. Magnetic Removal of Cr (VI) from Water
3. Results and Discussion
3.1. Characterization of Magnet MS
3.1.1. SEM Analysis and Particle Size Analysis
3.1.2. XRD Analysis
3.1.3. BET Analysis
3.1.4. FT-IR Analysis
3.1.5. Magnetic Analysis
3.2. Analysis of the Removal Rate of Cr (VI)
3.3. Adsorption Isotherm Analysis
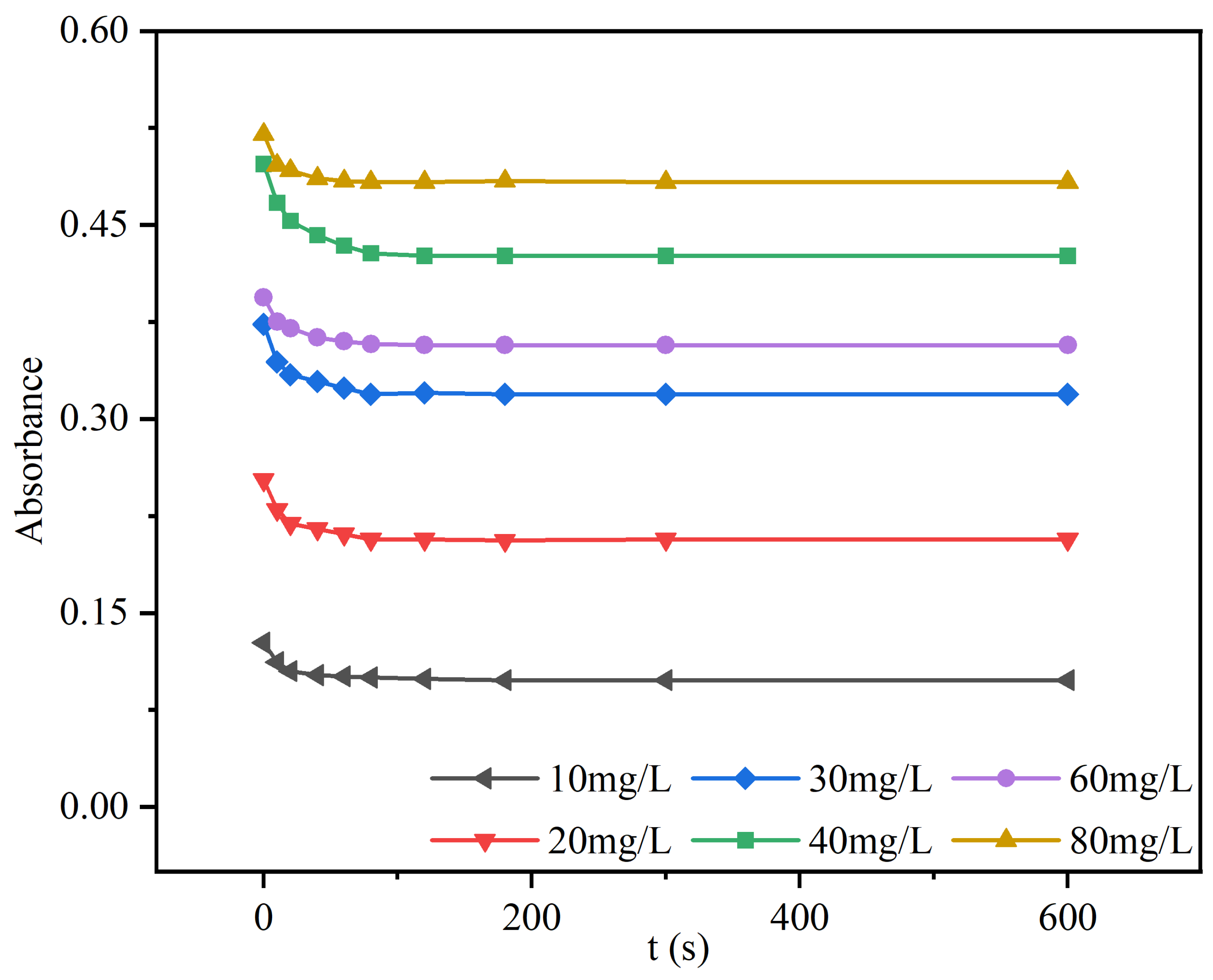
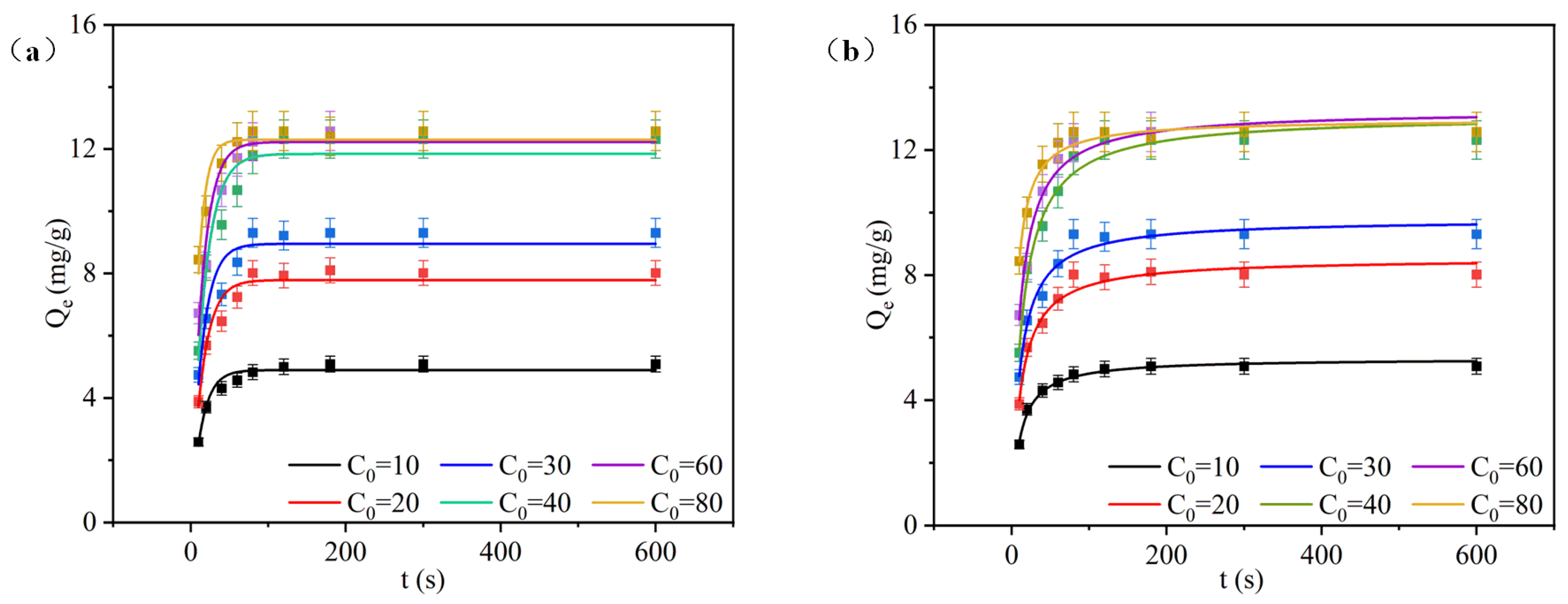
3.4. Adsorption Kinetic Analysis
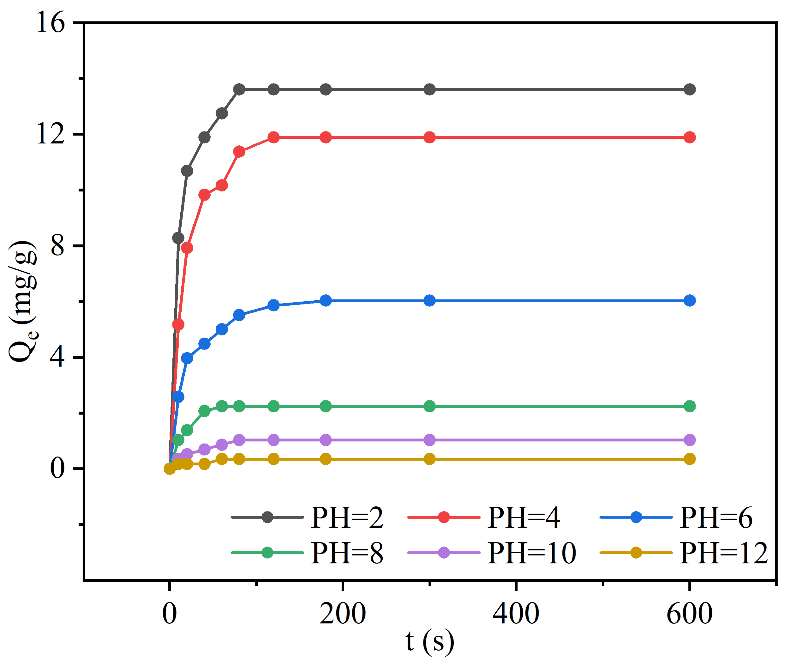
3.5. Effect of pH on Cr(VI) Adsorption
3.6. Effect of Temperature on the Adsorption of Cr(VI)
3.7. Comparison with Other Adsorbents
3.8. Desorption Analysis of MS
3.9. Adsorption Mechanism
4. Conclusions
Author Contributions
Funding
Data Availability Statement
Conflicts of Interest
References
- Petrus, R.; Warchoł, J. Ion exchange equilibria between clinoptilolite and aqueous solutions of Na+/Cu2+, Na+/Cd2+ and Na+/Pb2+. Microporous Mesoporous Mater. 2003, 61, 137–146. [Google Scholar] [CrossRef]
- Petcharoen, K.; Sirivat, A. Synthesis and characterization of magnetite nanoparticles via the chemical co-precipitation method. Mater. Sci. Eng. B 2012, 177, 421–427. [Google Scholar] [CrossRef]
- Owlad, M.; Aroua, M.K.; Daud, W.A.W.; Baroutian, S. Removal of Hexavalent Chromium-Contaminated Water and Wastewater: A Review. Water Air Soil Pollut. 2008, 200, 59–77. [Google Scholar] [CrossRef]
- Sall, M.L.; Diaw, A.K.D.; Gningue-Sall, D.; Efremova Aaron, S.; Aaron, J.J. Toxic heavy metals: Impact on the environment and human health, and treatment with conducting organic polymers, a review. Environ. Sci. Pollut. Res. Int. 2020, 27, 29927–29942. [Google Scholar] [CrossRef]
- Vareda, J.P.; Valente, A.J.M.; Duraes, L. Assessment of heavy metal pollution from anthropogenic activities and remediation strategies: A review. J. Environ. Manag. 2019, 246, 101–118. [Google Scholar] [CrossRef] [PubMed]
- Fischer, R.; Seidel, H.; Morgenstern, P.; Förster, H.J.; Thiele, W.; Krebs, P. Treatment of Process Water Containing Heavy Metals with a Two-Stage Electrolysis Procedure in a Membrane Electrolysis Cell. Eng. Life Sci. 2005, 5, 163–168. [Google Scholar] [CrossRef]
- Kurniawan, T.A.; Chan, G.Y.S.; Lo, W.-H.; Babel, S. Physico–chemical treatment techniques for wastewater laden with heavy metals. Chem. Eng. J. 2006, 118, 83–98. [Google Scholar] [CrossRef]
- Meunier, N.; Drogui, P.; Montane, C.; Hausler, R.; Mercier, G.; Blais, J.F. Comparison between electrocoagulation and chemical precipitation for metals removal from acidic soil leachate. J. Hazard. Mater. 2006, 137, 581–590. [Google Scholar] [CrossRef]
- Shaw, L.; Shaw, D.; Hardisty, M.; Britz-McKibbin, P.; Verma, D.K. Relationships between inhalable and total hexavalent chromium exposures in steel passivation, welding and electroplating operations of Ontario. Int. J. Hyg. Environ. Health 2020, 230, 113601. [Google Scholar] [CrossRef]
- Duran, U.; Coronado-Apodaca, K.G.; Meza-Escalante, E.R.; Ulloa-Mercado, G.; Serrano, D. Two combined mechanisms responsible to hexavalent chromium removal on active anaerobic granular consortium. Chemosphere 2018, 198, 191–197. [Google Scholar] [CrossRef]
- Gu, F.; Zhang, Y.; Su, Z.; Tu, Y.; Liu, S.; Jiang, T. Recovery of chromium from chromium-bearing slags produced in the stainless-steel smelting: A review. J. Clean. Prod. 2021, 296, 126467. [Google Scholar] [CrossRef]
- Krishna Kumar, A.S.; Jiang, S.J.; Warchol, J.K. Synthesis and Characterization of Two-Dimensional Transition Metal Dichalcogenide Magnetic MoS(2)@Fe(3)O(4) Nanoparticles for Adsorption of Cr(VI)/Cr(III). ACS Omega 2017, 2, 6187–6200. [Google Scholar] [CrossRef] [PubMed]
- Kumar, S.; Tonda, S.; Kumar, B.; Baruah, A.; Shanker, V. Synthesis of Magnetically Separable and Recyclable g-C3N4–Fe3O4 Hybrid Nanocomposites with Enhanced Photocatalytic Performance under Visible-Light Irradiation. J. Phys. Chem. C 2013, 117, 26135–26143. [Google Scholar] [CrossRef]
- Ye, J.; Wang, Y.; Xu, Q.; Wu, H.; Tong, J.; Shi, J. Removal of hexavalent chromium from wastewater by Cu/Fe bimetallic nanoparticles. Sci. Rep. 2021, 11, 10848. [Google Scholar] [CrossRef] [PubMed]
- Hernandez-Ramirez, O.; Holmes, S.M. Novel and modified materials for wastewater treatment applications. J. Mater. Chem. 2008, 18, 2751–2761. [Google Scholar] [CrossRef]
- Hunsom, M.; Pruksathorn, K.; Damronglerd, S.; Vergnes, H.; Duverneuil, P. Electrochemical treatment of heavy metals (Cu2+, Cr6+, Ni2+) from industrial effluent and modeling of copper reduction. Water Res. 2005, 39, 610–616. [Google Scholar] [CrossRef]
- Shah, B.A.; Patel, A.V.; Bagia, M.I.; Oluyinka, O.A. Removal of Cr(VI) from aqueous solutions using EDCC-MCM-41: Isotherm, kinetics and thermodynamic evaluation. J. Dispers. Sci. Technol. 2019, 40, 1827–1841. [Google Scholar] [CrossRef]
- Atmatzidis, K.; Alimohammadi, F.; Strongin, D.R.; Tehrani, R. Biomimetic System for the Application of Nanomaterials in Fluid Purification: Removal of Arsenic with Ferrihydrite. ACS Omega 2020, 5, 5873–5880. [Google Scholar] [CrossRef]
- Zito, P.; Shipley, H.J. Inorganic nano-adsorbents for the removal of heavy metals and arsenic: A review. RSC Adv. 2015, 5, 29885–29907. [Google Scholar] [CrossRef]
- Zhai, Q.-Z.; Li, X.-D. Immobilization and sustained release of cefalexin on MCF nano-mesoporous material. J. Dispers. Sci. Technol. 2019, 40, 1675–1685. [Google Scholar] [CrossRef]
- Jiang, Y.; Meng, L.; Mu, X.; Li, X.; Wang, H.; Chen, X.; Wang, X.; Wang, W.; Wu, F.; Wang, X. Effective TiO2 hybrid heterostructure fabricated on nano mesoporous phenolic resol for visible-light photocatalysis. J. Mater. Chem. 2012, 22, 23642–23649. [Google Scholar] [CrossRef]
- Zhai, Q.-Z. Use of SBA-15 ordered nano mesoporous silica for removal of copper(II) from aqueous media: Studies on equilibrium, isotherm, kinetics and thermodynamics. J. Environ. Chem. Eng. 2019, 7, 103069. [Google Scholar] [CrossRef]
- Tolkou, A.K.; Katsoyiannis, I.A.; Zouboulis, A.I. Removal of Arsenic, Chromium and Uranium from Water Sources by Novel Nanostructured Materials Including Graphene-Based Modified Adsorbents: A Mini Review of Recent Developments. Appl. Sci. 2020, 10, 3241. [Google Scholar] [CrossRef]
- Iida, H.; Takayanagi, K.; Nakanishi, T.; Osaka, T. Synthesis of Fe3O4 nanoparticles with various sizes and magnetic properties by controlled hydrolysis. J. Colloid Interface Sci. 2007, 314, 274–280. [Google Scholar] [CrossRef]
- Kopanja, L.; Kralj, S.; Zunic, D.; Loncar, B.; Tadic, M. Core–shell superparamagnetic iron oxide nanoparticle (SPION) clusters: TEM micrograph analysis, particle design and shape analysis. Ceram. Int. 2016, 42, 10976–10984. [Google Scholar] [CrossRef]
- Unal, B.; Durmus, Z.; Kavas, H.; Baykal, A.; Toprak, M.S. Synthesis, conductivity and dielectric characterization of salicylic acid–Fe3O4 nanocomposite. Mater. Chem. Phys. 2010, 123, 184–190. [Google Scholar] [CrossRef]
- Girginova, P.I.; Daniel-da-Silva, A.L.; Lopes, C.B.; Figueira, P.; Otero, M.; Amaral, V.S.; Pereira, E.; Trindade, T. Silica coated magnetite particles for magnetic removal of Hg2+ from water. J. Colloid Interface Sci. 2010, 345, 234–240. [Google Scholar] [CrossRef]
- Guo, L.; Li, J.; Zhang, L.; Li, J.; Li, Y.; Yu, C.; Shi, J.; Ruan, M.; Feng, J. A facile route to synthesize magnetic particles within hollow mesoporous spheres and their performance as separable Hg2+ adsorbents. J. Mater. Chem. 2008, 18, 2733–2738. [Google Scholar] [CrossRef]
- Lopes, C.B.; Otero, M.; Coimbra, J.; Pereira, E.; Rocha, J.; Lin, Z.; Duarte, A. Removal of low concentration Hg2+ from natural waters by microporous and layered titanosilicates. Microporous Mesoporous Mater. 2007, 103, 325–332. [Google Scholar] [CrossRef]
- Mohammadi, N.S.; Khiabani, M.S.; Ghanbarzadeh, B.; Mokarram, R.R. Improvement of lipase biochemical properties via a two-step immobilization method: Adsorption onto silicon dioxide nanoparticles and entrapment in a polyvinyl alcohol/alginate hydrogel. J. Biotechnol. 2020, 323, 189–202. [Google Scholar] [CrossRef]
- Souza, D.M.; Andrade, A.L.; Fabris, J.D.; Valério, P.; Góes, A.M.; Leite, M.F.; Domingues, R.Z. Synthesis and in vitro evaluation of toxicity of silica-coated magnetite nanoparticles. J. Non-Cryst. Solids 2008, 354, 4894–4897. [Google Scholar] [CrossRef]
- Lee, D.W.; Fatima, H.; Kim, K.S. Preparation of Silica Coated Magnetic Nanoparticles for Bioseparation. J. Nanosci. Nanotechnol. 2018, 18, 1414–1418. [Google Scholar] [CrossRef]
- Sui, H.; Gao, Z.; Guo, J.; Wang, Y.; Yuan, J.; Hao, J.; Dong, S.; Cui, J. Dual pH-Responsive Polymer Nanogels with a Core–Shell Structure for Improved Cell Association. Langmuir 2019, 35, 16869–16875. [Google Scholar] [CrossRef] [PubMed]
- He, D.; Zheng, M.; Ma, T.; Ni, J. Nitrite interference and elimination in diphenylcarbazide (DPCI) spectrophotometric determination of hexavalent chromium. Water Sci. Technol. 2015, 72, 223–229. [Google Scholar] [CrossRef] [PubMed]
- Jin, S.; Wan, J.; Meng, L.; Huang, X.; Guo, J.; Liu, L.; Wang, C. Biodegradation and Toxicity of Protease/Redox/pH Stimuli-Responsive PEGlated PMAA Nanohydrogels for Targeting Drug delivery. ACS Appl. Mater. Interfaces 2015, 7, 19843–19852. [Google Scholar] [CrossRef] [PubMed]
- Wang, Z.; Fang, D.M.; Li, Q.; Zhang, L.X.; Qian, R.; Zhu, Y.; Qu, H.Y.; Du, Y.P. Modified mesoporous silica materials for on-line separation and preconcentration of hexavalent chromium using a microcolumn coupled with flame atomic absorption spectrometry. Anal. Chim. Acta 2012, 725, 81–86. [Google Scholar] [CrossRef]
- Xu, J.; Cao, Z.; Zhang, Y.; Yuan, Z.; Lou, Z.; Xu, X.; Wang, X. A review of functionalized carbon nanotubes and graphene for heavy metal adsorption from water: Preparation, application, and mechanism. Chemosphere 2018, 195, 351–364. [Google Scholar] [CrossRef]
- Yazar, M.; Bahadır, Z.; Duran, C. Salt-Assisted Bulk Liquid Membrane and Flame Atomic Absorption Spectrometry for the Separation and Determination of Chromium(VI). Anal. Lett. 2020, 54, 1729–1745. [Google Scholar] [CrossRef]
- Tan, S.; Saito, K.; Hearn, M.T.W. Isothermal modelling of protein adsorption to thermo-responsive polymer grafted Sepharose Fast Flow sorbents. J. Sep. Sci. 2021, 44, 1884–1892. [Google Scholar] [CrossRef]
- Feng, X.; Zhang, S.; Lou, X. Controlling silica coating thickness on TiO2 nanoparticles for effective photodynamic therapy. Colloids Surf. B Biointerfaces 2013, 107, 220–226. [Google Scholar] [CrossRef]
- Chen, S.; Yue, Q.; Gao, B.; Li, Q.; Xu, X.; Fu, K. Adsorption of hexavalent chromium from aqueous solution by modified corn stalk: A fixed-bed column study. Bioresour. Technol. 2012, 113, 114–120. [Google Scholar] [CrossRef] [PubMed]
- Hermosa, G.C.; Chen, W.-C.; Wu, H.-S.; Liao, C.-S.; Sun, Y.-M.; Wang, S.-F.; Chen, Y.; Sun, A.-C. Investigations of the effective parameters on the synthesis of monodispersed magnetic Fe3O4 by solvothermal method for biomedical applications. AIP Adv. 2020, 10, 015234. [Google Scholar] [CrossRef]
- Lv, X.; Xue, X.; Jiang, G.; Wu, D.; Sheng, T.; Zhou, H.; Xu, X. Nanoscale zero-valent iron (nZVI) assembled on magnetic Fe3O4/graphene for chromium (VI) removal from aqueous solution. J. Colloid Interface Sci. 2014, 417, 51–59. [Google Scholar] [CrossRef] [PubMed]
- Shimizu, S.; Matubayasi, N. Fluctuation adsorption theory: Quantifying adsorbate-adsorbate interaction and interfacial phase transition from an isotherm. Phys. Chem. Chem. Phys. 2020, 22, 28304–28316. [Google Scholar] [CrossRef]
- Kopinke, F.-D.; Georgi, A.; Goss, K.-U. Comment on “Re-evaluation of the century-old Langmuir isotherm for modeling adsorption phenomena in solution”, published by Azizian et al. [Chemical physics 513 (2018) 99–104]. Chem. Phys. 2019, 517, 265–267. [Google Scholar] [CrossRef]
- Chu, K.H. Revisiting the Temkin Isotherm: Dimensional Inconsistency and Approximate Forms. Ind. Eng. Chem. Res. 2021, 60, 13140–13147. [Google Scholar] [CrossRef]
- Sang, P.-L.; Wang, Y.-Y.; Zhang, L.-Y.; Chai, L.-Y.; Wang, H.-Y. Effective adsorption of sulfate ions with poly(m-phenylenediamine) in aqueous solution and its adsorption mechanism. Trans. Nonferrous Met. Soc. China 2013, 23, 243–252. [Google Scholar] [CrossRef]
- Kalidhasan, S.; Gupta, P.A.; Cholleti, V.R.; Kumar, A.S.; Rajesh, V.; Rajesh, N. Microwave assisted solvent free green preparation and physicochemical characterization of surfactant-anchored cellulose and its relevance toward the effective adsorption of chromium. J. Colloid Interface Sci. 2012, 372, 88–98. [Google Scholar] [CrossRef]
- Park, D.; Yun, Y.S.; Park, J.M. Studies on hexavalent chromium biosorption by chemically-treated biomass of Ecklonia sp. Chemosphere 2005, 60, 1356–1364. [Google Scholar] [CrossRef]
- Yusuff, A.S. Adsorption of hexavalent chromium from aqueous solution byLeucaena leucocephalaseed pod activated carbon: Equilibrium, kinetic and thermodynamic studies. Arab J. Basic Appl. Sci. 2019, 26, 89–102. [Google Scholar] [CrossRef]
- Samuel, M.S.; Bhattacharya, J.; Raj, S.; Santhanam, N.; Singh, H.; Pradeep Singh, N.D. Efficient removal of Chromium(VI) from aqueous solution using chitosan grafted graphene oxide (CS-GO) nanocomposite. Int. J. Biol. Macromol. 2019, 121, 285–292. [Google Scholar] [CrossRef] [PubMed]
- Moussout, H.; Ahlafi, H.; Aazza, M.; El Akili, C. Performances of local chitosan and its nanocomposite 5%Bentonite/Chitosan in the removal of chromium ions (Cr(VI)) from wastewater. Int. J. Biol. Macromol. 2018, 108, 1063–1073. [Google Scholar] [CrossRef] [PubMed]
- Nasernejad, B.; Zadeh, T.E.; Pour, B.B.; Bygi, M.E.; Zamani, A. Camparison for biosorption modeling of heavy metals (Cr (III), Cu (II), Zn (II)) adsorption from wastewater by carrot residues. Process Biochem. 2005, 40, 1319–1322. [Google Scholar] [CrossRef]
- Oliveira, E.A.; Montanher, S.F.; Andrade, A.D.; Nóbrega, J.A.; Rollemberg, M.C. Equilibrium studies for the sorption of chromium and nickel from aqueous solutions using raw rice bran. Process Biochem. 2005, 40, 3485–3490. [Google Scholar] [CrossRef]
- Hu, J.; Chen, G.; Lo, I.M. Removal and recovery of Cr(VI) from wastewater by maghemite nanoparticles. Water Res. 2005, 39, 4528–4536. [Google Scholar] [CrossRef]
- Garg, U.K.; Kaur, M.P.; Garg, V.K.; Sud, D. Removal of hexavalent chromium from aqueous solution by agricultural waste biomass. J. Hazard. Mater. 2007, 140, 60–68. [Google Scholar] [CrossRef]
- Agarwal, G.S.; Bhuptawat, H.K.; Chaudhari, S. Biosorption of aqueous chromium(VI) by Tamarindus indica seeds. Bioresour. Technol. 2006, 97, 949–956. [Google Scholar] [CrossRef]
- Arıca, M.Y.; Tüzün, İ.; Yalçın, E.; İnce, Ö.; Bayramoğlu, G. Utilisation of native, heat and acid-treated microalgae Chlamydomonas reinhardtii preparations for biosorption of Cr(VI) ions. Process Biochem. 2005, 40, 2351–2358. [Google Scholar] [CrossRef]
- Erdem, M.; Altundoğan, H.S.; Tümen, F. Removal of hexavalent chromium by using heat-activated bauxite. Miner. Eng. 2004, 17, 1045–1052. [Google Scholar] [CrossRef]
- Tel, H.; Altas, Y.; Taner, M.S. Adsorption characteristics and separation of Cr(III) and Cr(VI) on hydrous titanium(IV) oxide. J. Hazard. Mater. 2004, 112, 225–231. [Google Scholar] [CrossRef]
- Gupta, V.K.; Ali, I. Removal of lead and chromium from wastewater using bagasse fly ash--a sugar industry waste. J. Colloid Interface Sci. 2004, 271, 321–328. [Google Scholar] [CrossRef] [PubMed]
- Daneshvar, E.; Zarrinmehr, M.J.; Kousha, M.; Hashtjin, A.M.; Saratale, G.D.; Maiti, A.; Vithanage, M.; Bhatnagar, A. Hexavalent chromium removal from water by microalgal-based materials: Adsorption, desorption and recovery studies. Bioresour. Technol. 2019, 293, 122064. [Google Scholar] [CrossRef] [PubMed]
- Qian, L.; Liu, S.; Zhang, W.; Chen, Y.; Ouyang, D.; Han, L.; Yan, J.; Chen, M. Enhanced reduction and adsorption of hexavalent chromium by palladium and silicon rich biochar supported nanoscale zero-valent iron. J. Colloid Interface Sci. 2019, 533, 428–436. [Google Scholar] [CrossRef] [PubMed]
- Pakade, V.E.; Tavengwa, N.T.; Madikizela, L.M. Recent advances in hexavalent chromium removal from aqueous solutions by adsorptive methods. RSC Adv. 2019, 9, 26142–26164. [Google Scholar] [CrossRef] [PubMed]
- Wang, X.; Lu, J.; Cao, B.; Liu, X.; Lin, Z.; Yang, C.; Wu, R.; Su, X.; Wang, X. Facile synthesis of recycling Fe3O4/graphene adsorbents with potassium humate for Cr(VI) removal. Colloids Surf. A Physicochem. Eng. Asp. 2019, 560, 384–392. [Google Scholar] [CrossRef]



















| Experiment Serial Number | Pre-Adsorption Zeta Potential (mV) | Zeta Potential after Adsorption (mV) |
|---|---|---|
| 1 | 14.06 | 15.84 |
| 2 | 14.09 | 16.02 |
| 3 | 14.17 | 15.76 |
| Adsorbent | Specific Surface Area (m2/g) | Mean Pore Size (nm) | Average Pore Volume (cc/g) |
|---|---|---|---|
| MS | 16.468 | 3.554 | 0.067 |
| MS-Cr | 17.719 | 6.738 | 0.033 |
| CAC | 162.175 | 4.133 | 0.168 |
| BTT | 65.176 | 9.024 | 0.147 |
| Sample | MS (emu·g−1) | MR (emu·g−1) | HC (Oe) | MR/MS |
|---|---|---|---|---|
| Fe3O4/SiO2 | 73.26 | 10.33 | 110.91 | 0.14 |
| R2 | Langmuir | Freundlich | Temkin | D-R |
|---|---|---|---|---|
| MS | 0.97096 | 0.93031 | 0.95636 | 0.94986 |
| R2 | Pseudo-First-Order Dynamics | Pseudo-Second-Order Dynamics |
|---|---|---|
| 10 | 0.96969 | 0.99025 |
| 20 | 0.96028 | 0.98002 |
| 30 | 0.92784 | 0.98033 |
| 40 | 0.95878 | 0.98712 |
| 60 | 0.93523 | 0.97583 |
| 80 | 0.91605 | 0.97839 |
| Adsorbents | Optimum pH | Temperature (°C) | Model Used to Calculate Adsorption Capacities | Maximum Adsorption Capacity Qm (mg/g) | Reference |
|---|---|---|---|---|---|
| MS | 2 | 25 | Langmuir | 13.6 | |
| Composite alginate–goethite beads | 4 | 20 | Langmuir | 20.5 | [53] |
| Raw rice bran | 5 | 25 | Freundlich | 0.07 | [54] |
| Maghemite nanoparticles | 10 | 22.5 | Freundlich | 1.5 | [55] |
| Sugarcane bagasse | 4 | 25 | Langmuir | 4.76 | [56] |
| Almond shell (AS) | 4 | 10 | Langmuir | 2.4 | [57] |
| Heat-treated algae (Chlamydomonas reinhardtii) | 2 | 25 | Langmuir | 30.2 | [58] |
| Bauxite | 2 | 35 | Langmuir | 0.5 | [59] |
| Hydrous titanium(IV) oxide | 2 | 25 | Langmuir | 5 | [60] |
| Bagasse fly ash | 5 | 40 | Langmuir | 2.3 | [61] |
Disclaimer/Publisher’s Note: The statements, opinions and data contained in all publications are solely those of the individual author(s) and contributor(s) and not of MDPI and/or the editor(s). MDPI and/or the editor(s) disclaim responsibility for any injury to people or property resulting from any ideas, methods, instructions or products referred to in the content. |
© 2023 by the authors. Licensee MDPI, Basel, Switzerland. This article is an open access article distributed under the terms and conditions of the Creative Commons Attribution (CC BY) license (https://creativecommons.org/licenses/by/4.0/).
Share and Cite
Li, H.; Hua, J.; Li, R.; Zhang, Y.; Jin, H.; Wang, S.; Chen, G. Application of Magnetic Nanocomposites in Water Treatment: Core–Shell Fe3O4 Material for Efficient Adsorption of Cr(VI). Water 2023, 15, 2827. https://doi.org/10.3390/w15152827
Li H, Hua J, Li R, Zhang Y, Jin H, Wang S, Chen G. Application of Magnetic Nanocomposites in Water Treatment: Core–Shell Fe3O4 Material for Efficient Adsorption of Cr(VI). Water. 2023; 15(15):2827. https://doi.org/10.3390/w15152827
Chicago/Turabian StyleLi, Heng, Junpeng Hua, Ranran Li, Yan Zhang, Huanhuan Jin, Shijing Wang, and Guoyin Chen. 2023. "Application of Magnetic Nanocomposites in Water Treatment: Core–Shell Fe3O4 Material for Efficient Adsorption of Cr(VI)" Water 15, no. 15: 2827. https://doi.org/10.3390/w15152827
APA StyleLi, H., Hua, J., Li, R., Zhang, Y., Jin, H., Wang, S., & Chen, G. (2023). Application of Magnetic Nanocomposites in Water Treatment: Core–Shell Fe3O4 Material for Efficient Adsorption of Cr(VI). Water, 15(15), 2827. https://doi.org/10.3390/w15152827

