Land Use and Land Cover Change Modulates Hydrological Flows and Water Supply to Gaborone Dam Catchment, Botswana
Abstract
1. Introduction
2. Materials and Methods
2.1. Study Area
2.2. Data and Data Quality Control
2.2.1. Hydrometeorological Data
2.2.2. SPATIAL Data
2.2.3. LULC Classification Accuracy Assessment
2.3. Preprocessing for Running SWAT
2.3.1. SWAT Model Setup
2.3.2. Calibration and Validation Assessment
2.3.3. Simulation of LULC and Its Impacts on Hydrology
2.3.4. Indicator of Hydrological Alteration (IHA) Method
3. Result
3.1. LULC Accuracy Assessment
3.2. Calibration and Validation of SWAT
3.3. Impacts of Land Use Land Cover Changes on Hydrology
3.3.1. LULC Change
3.3.2. Impacts of LULC Changes on the Hydrology at Sub-Basin Level
3.4. Impact of LULC Changes on Hydrological Variables
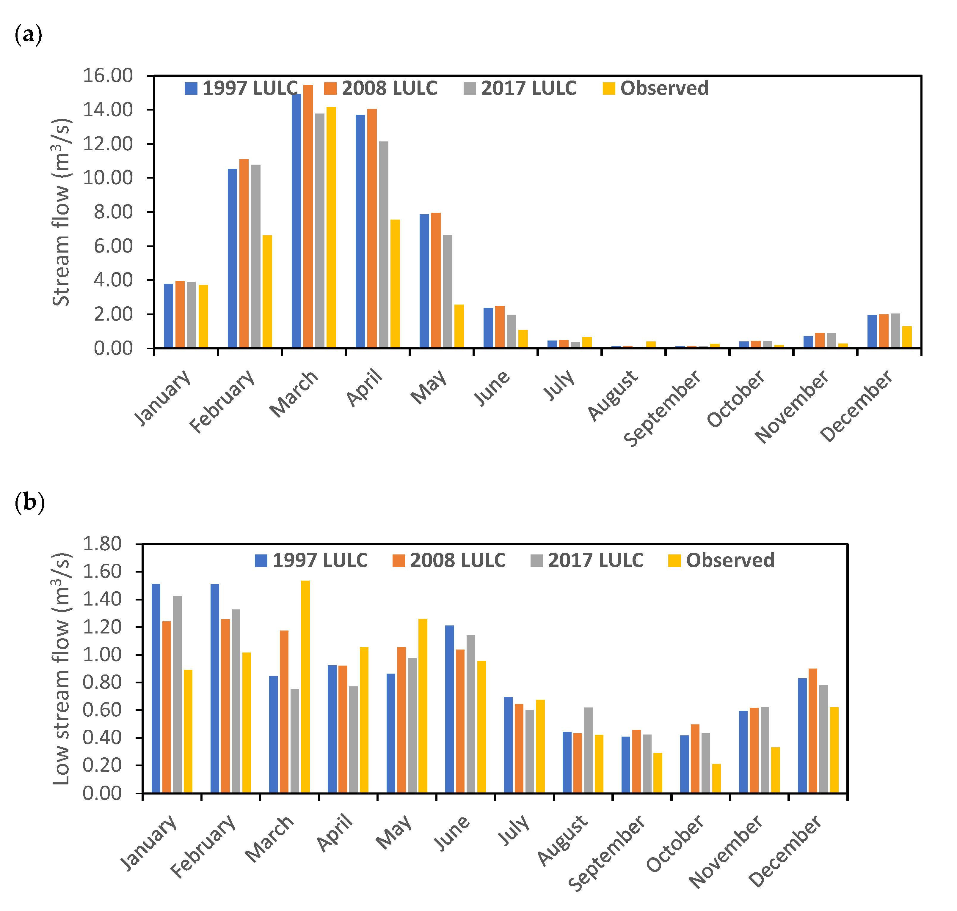
3.4.1. Mean Annual Stream Flow
3.4.2. Daily Average Annual Discharges
3.4.3. Indices of Hydrological Alteration
4. Discussion
5. Conclusions
Author Contributions
Funding
Institutional Review Board Statement
Informed Consent Statement
Data Availability Statement
Acknowledgments
Conflicts of Interest
References
- Duan, W.; He, B.; Takara, K.; Luo, P.; Nover, D.; Sahu, N.; Yamashiki, Y. Spatiotemporal Evaluation of Water Quality Incidents in Japan between 1996 and 2007. Chemosphere 2013, 93, 946–953. [Google Scholar] [CrossRef] [PubMed]
- Pangare, G. The Source of the Problem. 2006. Available online: https://scholar.google.com/scholar?hl=en&as_sdt=0%2C5&q=Pangare%2C+G.+2006.+The+Source+of+the+Problem.+Nature%3B+441%2C+28.+2.+&btnG= (accessed on 3 June 2023).
- Boretti, A.; Rosa, L. Reassessing the Projections of the World Water Development Report. NPJ Clean Water 2019, 2, 15. [Google Scholar] [CrossRef]
- Steffen, W.; Richardson, K.; Rockström, J.; Cornell, S.E.; Fetzer, I.; Bennett, E.M.; Biggs, R.; Carpenter, S.R.; De Vries, W.; De Wit, C.A.; et al. Planetary Boundaries: Guiding Human Development on a Changing Planet. Science 2015, 347, 1259855. [Google Scholar] [CrossRef] [PubMed]
- Albert, J.S.; Destouni, G.; Duke-Sylvester, S.M.; Magurran, A.E.; Oberdorff, T.; Reis, R.E.; Winemiller, K.O.; Ripple, W.J. Scientists’ Warning to Humanity on the Freshwater Biodiversity Crisis. Ambio 2021, 50, 85–94. [Google Scholar] [CrossRef]
- Papa, F.; Crétaux, J.F.; Grippa, M.; Robert, E.; Trigg, M.; Tshimanga, R.M.; Kitambo, B.; Paris, A.; Carr, A.; Fleischmann, A.S.; et al. Water Resources in Africa under Global Change: Monitoring Surface Waters from Space. Surv. Geophys. 2023, 44, 43–93. [Google Scholar] [CrossRef] [PubMed]
- Mulligan, M.; Fisher, M.; Sharma, B.; Xu, Z.X.; Ringler, C.; Mahé, G.; Jarvis, A.; Ramírez, J.; Clanet, J.C.; Ogilvie, A.; et al. The Nature and Impact of Climate Change in the Challenge Program on Water and Food (CPWF) Basins. Water Int. 2011, 36, 96–124. [Google Scholar] [CrossRef]
- Magombeyi, M.; Akpofure, T.; Barron, J. Rural Poverty and Food Insecurity Mapping at District Level for Improved Agricultural Water Management in the Limpopo River Basin; CGIAR Challenge Program on Water and Food (CPWF): Colombo, Sri Lanka, 2013. [Google Scholar]
- UNFCC. Climate Change and Freshwater Resources; UNFCC: Rio de Janeiro, Brazil, 2015. [Google Scholar]
- Batisani, N.; Yarnal, B. Rainfall Variability and Trends in Semi-Arid Botswana: Implications for Climate Change Adaptation Policy. Appl. Geogr. 2010, 30, 483–489. [Google Scholar] [CrossRef]
- Mengistu Tsidu, G. Southern Africa between 5° and 30°S [in “State of the Climate in 2015”]. Bull. Am. Meteorol. Soc. 2016, 97, S192–S193. [Google Scholar] [CrossRef]
- Tirivarombo, S.; Oromeng, G. Remote Sensing for Drought Assessment and Monitoring: A Case of Botswana. In Recent Advances in Environmental Science from the Euro-Mediterranean and Surrounding Regions; 2018; pp. 1753–1755. [Google Scholar]
- Lindhe, A.; Rosén, L.; Johansson, P.; Water, T.N. Dynamic Water Balance Modelling for Risk Assessment and Decision Support on MAR Potential in Botswana. Water 2020, 12, 721. [Google Scholar] [CrossRef]
- Himanshu, S.K.; Pandey, A.; Shrestha, P. Application of SWAT in an Indian River Basin for Modeling Runoff, Sediment and Water Balance. Environ. Earth Sci. 2017, 76, 1–18. [Google Scholar] [CrossRef]
- Farrington, E.M. The Water Crisis in Gaborone: Investigating the Underlying Factors Resulting in the ‘Failure’ of the Gaborone Dam, Botswana. Bachelor’s Thesis, Lund University, Lund, Sweden, 2015. [Google Scholar]
- Thakur, B.K.; Bal, D.P.; Nurujjaman, M.; Debnath, K. Developing a Model for Residential Water Demand in the Indian Himalayan Region of Ravangla; Elsevier: South Sikkim, India, 2023. [Google Scholar]
- Motho, M.; Kolawole, O.D.; Motsholapheko, M.R.; Mogomotsi, P.K. Influence of Household Demographic and Socio-Economic Factors on Water Demand in Ngamiland District, Botswana. Water Sci. 2022, 36, 48–59. [Google Scholar] [CrossRef]
- Botswana Environment Statistics. Natural Disasters Digest 2017; Botswana Environment Statistics: Maun, Botswana, 2018. [Google Scholar]
- Mao, G.; Liu, J.; Han, F.; Meng, Y.; Tian, Y.; Zheng, Y.; Zheng, C. Assessing the Interlinkage of Green and Blue Water in an Arid Catchment in Northwest China. Environ. Geochem. Health 2020, 42, 933–953. [Google Scholar] [CrossRef] [PubMed]
- Falkenmark, M.; Rockström, J. The New Blue and Green Water Paradigm: Breaking New Ground for Water Resources Planning and Management Water for Food and Hunger Alleviation. J. Water Resour. Plan. Manag. 2006, 132, 129–132. [Google Scholar] [CrossRef]
- Hoekstra, A.Y.; Chapagain, A.K.; Van Oel, P. Progress in Water Footprint Assessment; MDPI: Basel, Switzerland, 2019. [Google Scholar]
- Pandey, A.; Palmate, S.S. Assessments of Spatial Land Cover Dynamic Hotspots Employing MODIS Time-Series Datasets in the Ken River Basin of Central India. Arab. J. Geosci. 2018, 11, 1–8. [Google Scholar] [CrossRef]
- Swain, S.; Sahoo, S.; Kumar Taloor, A.; Mishra, S.K.; Pandey, A. Exploring Recent Groundwater Level Changes Using Innovative Trend Analysis (ITA) Technique over Three Districts of Jharkhand, India. Groundw. Sustain. Dev. 2022, 18, 100783. [Google Scholar] [CrossRef]
- Aragaw, H.M.; Goel, M.K.; Mishra, S.K. Hydrological Responses to Human-Induced Land Use/Land Cover Changes in the Gidabo River Basin, Ethiopia. Hydrol. Sci. J. 2021, 66, 640–655. [Google Scholar] [CrossRef]
- Kan, G.; He, X.; Ding, L.; Li, J.; Liang, K.; Hong, Y. Study on Applicability of Conceptual Hydrological Models for Flood Forecasting in Humid, Semi-Humid Semi-Arid and Arid Basins in China. Water 2017, 9, 719. [Google Scholar] [CrossRef]
- Dhami, B.; Himanshu, S.K.; Pandey, A.; Gautam, A.K. Evaluation of the SWAT Model for Water Balance Study of a Mountainous Snowfed River Basin of Nepal. Environ. Earth Sci. 2018, 77, 21. [Google Scholar] [CrossRef]
- Negussie, K.G.; Wyss, D.; Knox, N.; Vallejo Orti, M.; Corral-Pazos-de-Provens, E.; Kappas, M. Evaluating Swat Model for Streamflow Estimation in the Semi-Arid Okavango-Omatako Catchment, Namibia. SSRN Electron. J. 2022, 16, 385–403. [Google Scholar] [CrossRef]
- Simić, Z.; Milivojević, N.; Prodanović, D.; Milivojević, V.; Perović, N. SWAT-Based Runoff Modeling in Complex Catchment Areas-Theoretical Background and Numerical Procedures. J. Serbian Soc. Comput. Mech. 2009, 3, 38–63. [Google Scholar]
- Neitsch, S.L.; Arnold, J.G.; Kiniry, J.R.; Williams, J.R. Soil and Water Assessment Tool Theoretical Documentation Version 2009; Texas Water Resources Institute: College Station, TX, USA, 2011. [Google Scholar]
- Arnold, J.G.; Moriasi, D.N.; Gassman, P.W.; Abbaspour, K.C.; White, M.J.; Srinivasan, R.; Santhi, C.; Harmel, R.D.; Van Griensven, A.; Van Liew, M.W.; et al. SWAT: Model Use, Calibration, and Validation. Trans. ASABE 2012, 55, 1491–1508. [Google Scholar] [CrossRef]
- Daniel, E.B.; Camp, J.V.; Leboeuf, E.J.; Penrod, J.R.; Dobbins, J.P.; Abkowitz, M.D. Watershed Modeling and Its Applications: A State-of-the-Art Review. Open Hydrol. J. 2011, 5, 1874. [Google Scholar] [CrossRef]
- Maliva, R.; Missimer, T. Arid Lands Water Evaluation and Management; Springer Science & Business Media: London, UK, 2012. [Google Scholar] [CrossRef]
- Aadhar, S.; Swain, S.; Rath, D.R. Application and Performance Assessment of SWAT Hydrological Model over Kharun River Basin, Chhattisgarh, India. In World Environmental and Water Resources Congress 2019: Watershed Management, Irrigation and Drainage, and Water Resources Planning and Management; American Society of Civil Engineers: Reston, VA, USA, 2019; pp. 272–280. [Google Scholar] [CrossRef]
- Swain, S. Hydrological Modeling through Soil and Water Assessment Toolin a Climate Change Perspective a Brief Review. In Proceedings of the 2017 2nd International Conference for Convergence in Technology, Mumbai, India, 7–9 April 2017; pp. 358–361. [Google Scholar] [CrossRef]
- Breiman, L. Random Forests. Mach. Learn 2001, 45, 5–32. [Google Scholar] [CrossRef]
- Du, P.; Samat, A.; Waske, B.; Liu, S.; Photogrammetry, Z.L.-I. Random Forest and Rotation Forest for Fully Polarized SAR Image Classification Using Polarimetric and Spatial Features; Elsevier: Amsterdam, The Netherlands, 2015. [Google Scholar]
- Palmer, M.; Science, A.R. Linkages between Flow Regime, Biota, and Ecosystem Processes: Implications for River Restoration. Science 2019, 365, eaaw2087. [Google Scholar] [CrossRef] [PubMed]
- Rodriguez-Galiano, V.F.; Ghimire, B.; Rogan, J.; Chica-Olmo, M.; Rigol-Sanchez, J.P. An Assessment of the Effectiveness of a Random Forest Classifier for Land-Cover Classification; Elsevier: Amsterdam, The Netherlands, 2012. [Google Scholar]
- Belgiu, M.; Csillik, O. Sentinel-2 Cropland Mapping Using Pixel-Based and Object-Based Time-Weighted Dynamic Time Warping Analysis. Remote Sens. Environ. 2018, 204, 509–523. [Google Scholar] [CrossRef]
- Aladejana, O.O.; Salami, A.T.; Adetoro, O.I.O. Hydrological Responses to Land Degradation in the Northwest Benin Owena River Basin, Nigeria. J. Environ. Manag. 2018, 225, 300–312. [Google Scholar] [CrossRef] [PubMed]
- Hajati, M.C.; White, S.; Moosdorf, N.; Santos, I.R. Modeling Catchment-Scale Nitrogen Losses Across a Land-Use Gradient in the Subtropics. Front. Earth Sci. 2020, 8, 347. [Google Scholar] [CrossRef]
- Arnold, J.G.; Srinivasan, R.; Muttiah, R.S.; Williams, J.R. Large Area Hydrologic Modeling and Assessment Part I: Model Development. J. Am. Water Resour. Assoc. 1998, 34, 73–89. [Google Scholar] [CrossRef]
- Dile, Y.T.; Karlberg, L.; Srinivasan, R.; Rockström, J. Investigation of the Curve Number Method for Surface Runoff Estimation in Tropical Regions. J. Am. Water Resour. Assoc. 2016, 52, 1155–1169. [Google Scholar] [CrossRef]
- Population and Housing Census: Population of Towns, Villages and Associated Localities | Statistics Botswana. 2011. Available online: https://www.statsbots.org.bw/2011-population-and-housing-census-population-towns-villages-and-associated-localities (accessed on 7 June 2023).
- Meinhardt, M.; Fleischer, M.; Fink, M.; Kralisch, S.; Kenabatho, P.; de Clercq, W.P.; Zimba, H.; Phiri, W.; Helmschrot, J. Semi-Arid Catchments under Change: Adapted Hydrological Models to Simulate the Influence of Climate Change and Human Activities on Rainfall-Runoff Processes. Biodivers. Ecol. 2018, 6, 114–130. [Google Scholar] [CrossRef][Green Version]
- Derber, J.C.; Parrish, D.F.; Lord, S.J. The New Global Operational Analysis System at the National Meteorological Center. Weather Forecast. 1991, 6, 538–547. [Google Scholar] [CrossRef]
- Adler, R.F.; Huffman, G.J.; Chang, A.; Ferraro, R.; Xie, P.P.; Janowiak, J.; Rudolf, B.; Schneider, U.; Curtis, S.; Bolvin, D. The Version-2 Global Precipitation Climatology Project (GPCP) Monthly Precipitation Analysis (1979–Present). J. Hydrometeorol. 2003, 4, 1147–1167. [Google Scholar] [CrossRef]
- Huffman, G.J.; Adler, R.F.; Morrissey, M.M.; Bolvin, D.T.; Curtis, S.; Joyce, R.; McGavock, B.; Susskind, J. Global Precipitation at One-Degree Daily Resolution from Multisatellite Observations. J. Hydrometeorol. 2001, 2, 36–50. [Google Scholar] [CrossRef]
- Gelaro, R.; McCarty, W.; Suárez, M.J.; Todling, R.; Molod, A.; Takacs, L.; Randles, C.A.; Darmenov, A.; Bosilovich, M.G.; Reichle, R. The Modern-Era Retrospective Analysis for Research and Applications, Version 2 (MERRA-2). J. Clim. 2017, 30, 5419–5454. [Google Scholar] [CrossRef] [PubMed]
- Bosilovich, M.G.; Robertson, F.R.; Chen, J. Global Energy and Water Budgets in MERRA. J. Clim. 2011, 24, 5721–5739. [Google Scholar] [CrossRef]
- Lim, Y.K.; Kovach, R.M.; Pawson, S.; Vernieres, G. The 2015/16 El Niño Event in Context of the MERRA-2 Reanalysis: A Comparison of the Tropical Pacific with 1982/83 and 1997/98. J. Clim. 2017, 30, 4819–4842. [Google Scholar] [CrossRef] [PubMed]
- Kuma, H.G.; Feyessa, F.F.; Demissie, T.A. Hydrologic Responses to Climate and Land-Use/Land-Cover Changes in the Bilate Catchment, Southern Ethiopia. J. Water Clim. Chang. 2021, 12, 3750–3769. [Google Scholar] [CrossRef]
- Abijith, D.; Saravanan, S. Assessment of Land Use and Land Cover Change Detection and Prediction Using Remote Sensing and CA Markov in the Northern Coastal Districts of Tamil Nadu, India. Environ. Sci. Pollut. Res. 2021, 29, 86055–86067. [Google Scholar] [CrossRef]
- Tassi, A.; Vizzari, M. Object-Oriented LULC Classification in Google Earth Engine Combining SNIC, GLCM, and Machine Learning Algorithms. Remote Sens. 2020, 12, 3776. [Google Scholar] [CrossRef]
- Foody, G.M. Status of land cover classification accuracy assessment. Remote Sens. Environ. 2002, 80, 185–201. [Google Scholar] [CrossRef]
- Abdi, A.M. Land Cover and Land Use Classification Performance of Machine Learning Algorithms in a Boreal Landscape Using Sentinel-2 Data. GIsci. Remote Sens. 2020, 57, 1–20. [Google Scholar] [CrossRef]
- Monserud, R.A.; Leemans, R. Comparing Global Vegetation Maps with the Kappa Statistic; Elsevier: Amsterdam, The Netherlands, 1992. [Google Scholar]
- Ismail, M.; Jusoff, K. Satellite Data Classification Accuracy Assessment Based from Reference Dataset. Int. J. Geol. Environ. Eng. 2008, 2, 23–29. [Google Scholar]
- Zang, C.; Liu, J.; Gerten, D.; Jiang, L. Influence of Human Activities and Climate Variability on Green and Blue Water Provision in the Heihe River Basin, NW China. J. Water Clim. Chang. 2015, 6, 800–815. [Google Scholar] [CrossRef]
- Rost, S.; Gerten, D.; Bondeau, A.; Lucht, W.; Rohwer, J.; Schaphoff, S. Agricultural Green and Blue Water Consumption and Its Influence on the Global Water System. Water Resour. Res. 2008, 44, 9405. [Google Scholar] [CrossRef]
- Howell, T.A.; Steiner, J.L.; Schneider, A.D.; Evett, S.R.; Tolk, J.A. Seasonal and Maximum Daily Evapotranspiration of Irrigated Winter Wheat, Sorghum, and Corn—Southern High Plains. Trans. ASAE 1997, 40, 623–634. [Google Scholar] [CrossRef]
- Allen, R.; Pereira, L.; Raes, D.; Smith, M. Crop Evapotranspiration-Guidelines for Computing Crop Water Requirements—FAO Irrigation and Drainage Paper 56; FAO: Rome, Italy, 1998. [Google Scholar]
- Jimmy, R. Williams Flood Routing with Variable Travel Time or Variable Storage Coefficients. Trans. ASAE 1969, 12, 0100–0103. [Google Scholar] [CrossRef]
- Yang, J.; Reichert, P.; Abbaspour, K.C.; Xia, J.; Yang, H. Comparing Uncertainty Analysis Techniques for a SWAT Application to the Chaohe Basin in China; Elsevier: Amsterdam, The Netherlands, 2008. [Google Scholar]
- Abbaspour, K.C.; Johnson, C.A.; van Genuchten, M.T. Estimating Uncertain Flow and Transport Parameters Using a Sequential Uncertainty Fitting Procedure. Vadose Zone J. 2004, 3, 1340–1352. [Google Scholar] [CrossRef]
- Kobayashi, K.; Salam, M.U. Comparing Simulated and Measured Values Using Mean Squared Deviation and Its Components. Agron. J. 2000, 92, 345–352. [Google Scholar] [CrossRef]
- Gauch, H.G.; Hwang, J.T.G.; Fick, G.W. Model Evaluation by Comparison of Model-Based Predictions and Measured Values. Agron. J. 2003, 95, 1442–1446. [Google Scholar] [CrossRef]
- Sao, D.; Kato, T.; Tu, L.H.; Thouk, P.; Fitriyah, A.; Oeurng, C. Evaluation of Different Objective Functions Used in the SUFI-2 Calibration Process of SWAT-CUP on Water Balance Analysis: A Case Study of the Pursat River Basin, Cambodia. Water 2020, 12, 2901. [Google Scholar] [CrossRef]
- Abbaspour, K.C.; Rouholahnejad, E.; Vaghefi, S.R.I.N.I.V.A.S.A.N.B.; Srinivasan, R.; Yang, H.; Kløve, B. A Continental-Scale Hydrology and Water Quality Model for Europe: Calibration and Uncertainty of a High-Resolution Large-Scale SWAT Model. J. Hydrol. 2015, 524, 733–752. [Google Scholar] [CrossRef]
- Moriasi, D.N.; Gitau, M.W.; Pai, N.; Daggupati, P. Hydrologic and Water Quality Models: Performance Measures and Evaluation Criteria. Trans. ASABE 2015, 58, 1763–1785. [Google Scholar] [CrossRef]
- Kramar, V.; Alchakov, V. Time-Series Forecasting of Seasonal Data Using Machine Learning Methods. Algorithms 2023, 16, 248. [Google Scholar] [CrossRef]
- Forecasting: Principles and Practice-Rob J Hyndman, George Athanasopoulos-Google Books. Available online: https://books.google.co.bw/books?hl=en&lr=&id=_bBhDwAAQBAJ&oi=fnd&pg=PA7&ots=TinYth0QNO&sig=NyoBal8TzBbud_LH4Vfb6ywu_Cs&redir_esc=y#v=onepage&q&f=false (accessed on 26 August 2023).
- Rodrigues, D.B.B.; Gupta, H.V.; Mendiondo, E.M. A Blue/Green Water-Based Accounting Framework for Assessment of Water Security. Water Resour. Res. 2014, 50, 7187–7205. [Google Scholar] [CrossRef]
- Kaur, B.; Shrestha, N.K.; Daggupati, P.; Rudra, R.P.; Goel, P.K.; Shukla, R.; Allataifeh, N. Water Security Assessment of the Grand River Watershed in Southwestern Ontario, Canada. Sustainability 2019, 11, 1883. [Google Scholar] [CrossRef]
- Zhu, K.; Xie, Z.; Zhao, Y.; Lu, F.; Song, X.; Li, L.; Song, X. The Assessment of Greenwater Based on the SWAT Model: A Case Study in the Hai River Basin, China. Water 2018, 10, 798. [Google Scholar] [CrossRef]
- Richter, B.D.; Baumgartner, J.V.; Powell, J.; Braun, D.P. A Method for Assessing Hydrologic Alteration within Ecosystems; Wiley Online Library: New York, NY, USA, 1996. [Google Scholar]
- Anderson, J. A Land Use and Land Cover Classification System for Use with Remote Sensor Data; US Government Printing Office: Washington, DC, USA, 1976. [Google Scholar]
- Moriasi, D.N.; Arnold, J.G.; Van Liew, M.W.; Bingner, R.L.; Harmel, R.D.; Veith, T.L. Model Evaluation Guidelines for Systematic Quantification of Accuracy in Watershed Simulations. Trans. ASABE 2007, 50, 885–900. [Google Scholar] [CrossRef]
- Koycegiz, C.; Buyukyildiz, M. Calibration of SWAT and Two Data-Driven Models for a Data-Scarce Mountainous Headwater in Semi-Arid Konya Closed Basin. Water 2019, 11, 147. [Google Scholar] [CrossRef]
- Thavhana, M.P.; Savage, M.J.; Moeletsi, M.E. SWAT Model Uncertainty Analysis, Calibration and Validation for Runoff Simulation in the Luvuvhu River Catchment, South Africa; Elsevier: New York, NY, USA, 2018. [Google Scholar]
- Mengistu, A.G.; van Rensburg, L.D.; Woyessa, Y.E. Techniques for Calibration and Validation of SWAT Model in Data Scarce Arid and Semi-Arid Catchments in South Africa; Elsevier: New York, NY, USA, 2019. [Google Scholar]
- Leng, M.; Yu, Y.; Wang, S.; Zhang, Z. Simulating the Hydrological Processes of a Meso-Scale Watershed on the Loess Plateau, China. Water 2020, 12, 878. [Google Scholar] [CrossRef]
- Brown, A.E.; Zhang, L.; McMahon, T.A.; Western, A.W.; Vertessy, R.A. A Review of Paired Catchment Studies for Determining Changes in Water Yield Resulting from Alterations in Vegetation. J. Hydrol. 2005, 310, 28–61. [Google Scholar] [CrossRef]
- Yurtseven, I.; Serengil, Y.; Gökbulak, F.; Şengönül, K.; Ozhan, S.; Kılıç, U.; Uygur, B.; Ozçelik, M.S. Results of a Paired Catchment Analysis of Forest Thinning in Turkey in Relation to Forest Management Options. Sci. Total Environ. 2018, 618, 785–792. [Google Scholar] [CrossRef] [PubMed]
- Cai, X.; Riley, W.J.; Zhu, Q.; Tang, J.; Zeng, Z.; Bisht, G.; Randerson, J.T. Improving Representation of Deforestation Effects on Evapotranspiration in the E3SM Land Model. Geosci. Model Dev. 2019, 11, 2412–2427. [Google Scholar] [CrossRef]
- Cheng, L.; Zhang, L.; Chiew, F.H.S.; Canadell, J.G.; Zhao, F.; Wang, Y.-P.; Hu, X.; Lin, K. Quantifying the Impacts of Vegetation Changes on Catchment Storage-discharge Dynamics Using Paired-catchment Data. Water Resour. Res. 2017, 53, 5963–5979. [Google Scholar] [CrossRef]
- Marquart, A.; Geissler, K.; Heblack, J.; Lobas, C.; Münch, E.; Blaum, N. Individual Shrubs, Large Scale Grass Cover and Seasonal Rainfall Explain Invertebrate-Derived Macropore Density in a Semi-Arid Namibian Savanna. J. Arid Environ. 2020, 176, 104101. [Google Scholar] [CrossRef]
- Fernádez, P.; Minea, G.; Teodor, R.; Centeri, C. Effects of Grazing on Water Erosion, Compaction and Infiltration on Grasslands. Hydrology 2022, 9, 34. [Google Scholar] [CrossRef]
- Woldesenbet, T.A. Impact of Land Use and Land Cover Dynamics on Ecologically-Relevant Flows and Blue-Green Water Resources. Ecohydrol. Hydrobiol. 2022, 22, 420–434. [Google Scholar] [CrossRef]
- Rita, M.; Fonseca, S.; Elias, R.; Uagoda, S.; Marinho, H.; Chaves, L. Runoff, Soil Loss, and Water Balance in a Restored Karst Area of the Brazilian Savanna. Catena 2022, 222, 106878. [Google Scholar] [CrossRef]
- Chemura, A.; Rwasoka, D.; Mutanga, O.; Dube, T.; Mushore, T. The Impact of Land-Use/Land Cover Changes on Water Balance of the Heterogeneous Buzi Sub-Catchment, Zimbabwe. Remote Sens. Appl. 2020, 18, 100292. [Google Scholar] [CrossRef]
- Tsheko, R. Land Cover Land Use (LCLU) Classification Methods in Semi-Arid Botswana. J. Remote Sens. GIS 2021, 10, 497. [Google Scholar]
- Jeltsch, F.; Weber, G.E.; Grimm, V. Ecological Buffering Mechanisms in Savannas: A Unifying Theory of Long-Term Tree-Grass Coexistence. Plant Ecol. 2000, 150, 161–171. [Google Scholar] [CrossRef]
- Roques, K.G.; O’Connor, T.G.; Watkinson, A.R. Dynamics of Shrub Encroachment in an African Savanna: Relative Influences of Fire, Herbivory, Rainfall and Density Dependence. J. Appl. Ecol. 2001, 38, 268–280. [Google Scholar] [CrossRef]
- Lohmann, D.; Tietjen, B.; Blaum, N.; Joubert, D.F.; Jeltsch, F. Shifting Thresholds and Changing Degradation Patterns: Climate Change Effects on the Simulated Long-Term Response of a Semi-Arid Savanna to Grazing. J. Appl. Ecol. 2012, 49, 814–823. [Google Scholar] [CrossRef]
- Matin, M.A.; Bourque, C.P.-A.; Matin, M.A.; Bourque, C.P.-A. Influence of Vegetation Cover on Regional Evapotranspiration in Semi-Arid Watersheds in Northwest China. In Evapotranspiration—An Overview; IntechOpen: London, UK, 2013. [Google Scholar] [CrossRef]
- Ma, Q.; Cheng, F.; Liu, Y.; Wang, F.; Zhang, D.; Jin, H.; Ma, Q.; Cheng, F.; Liu, Y.; Wang, F.; et al. Spatial Heterogeneity of Soil Water Content in the Reversion Process of Desertification in Arid Areas. J. Arid. Land 2011, 3, 268–277. [Google Scholar] [CrossRef]
- Gabarrón-Galeote, M.A.; Martínez-Murillo, J.F.; Quesada, M.A.; Ruiz-Sinoga, J.D. Seasonal Changes in the Soil Hydrological and Erosive Response Depending on Aspect, Vegetation Type and Soil Water Repellency in Different Mediterranean. Solid Earth 2013, 4, 497–509. [Google Scholar] [CrossRef]
- Gómez-Plaza, A.; Alvarez-Rogel, J.; Albaladejo, J.; Castillo, V.M. Spatial Patterns and Temporal Stability of Soil Moisture across a Range of Scales in a Semi-arid Environment. Hydrol. Process. 2000, 14, 1261–1277. [Google Scholar] [CrossRef]
- Rodríguez-Iturbe, I.; Isham, V.; Cox, D.R.; Manfreda, S.; Porporato, A. Space-Time Modeling of Soil Moisture: Stochastic Rainfall Forcing with Heterogeneous Vegetation. Water Resour. Res. 2006, 42. [Google Scholar] [CrossRef]
- Liu, X.; Feng, X.; Fu, B. Changes in Global Terrestrial Ecosystem Water Use Efficiency Are Closely Related to Soil Moisture. Sci. Total Environ. 2020, 698, 134165. [Google Scholar] [CrossRef] [PubMed]
- Amundson, R.G.; Ali, A.R.; Belsky, A.J. Stomatal Responsiveness to Changing Light Intensityincreases Rain-Use Efficiency of below-Crown Vegetation in Tropical Savannas. J. Arid Environ. 1995, 29, 139–153. [Google Scholar] [CrossRef]
- Ludwig, F.; De Kroon, H.; Berendse, F.; Prins, H.H.T. The Influence of Savanna Trees on Nutrient, Water and Light Availability and the Understorey Vegetation. Plant Ecol. 2004, 170, 93–105. [Google Scholar] [CrossRef]
- Gordon, L.J.; Steffen, W.; Jönsson, B.F.; Folke, C.; Falkenmark, M.; Johannessen, Å. Human Modification of Global Water Vapor Flows from the Land Surface. Proc. Natl. Acad. Sci. USA 2005, 102, 7612–7617. [Google Scholar] [CrossRef]
- Wang, D.; Hejazi, M. Quantifying the Relative Contribution of the Climate and Direct Human Impacts on Mean Annual Streamflow in the Contiguous United States. Water Resour. Res. 2011, 47. [Google Scholar] [CrossRef]
- Destouni, G.; Jaramillo, F.; Prieto, C. Hydroclimatic Shifts Driven by Human Water Use for Food and Energy Production. Nat. Clim. Change 2012, 3, 213–217. [Google Scholar] [CrossRef]
- Chang, X.; Zhao, W.; Liu, B.; Liu, H.; He, Z.; Du, J. Can Forest Water Yields Be Increased with Increased Precipitation in a Qinghai Spruce Forest in Arid Northwestern China? Agric. For. Meteorol. 2017, 247, 139–150. [Google Scholar] [CrossRef]
- Li, G.; Jiang, C.; Zhang, Y.; Jiang, G. Available Online 13. Ecol. Indic. 2021, 120, 106926. [Google Scholar] [CrossRef]
- Hawthorne, S.N.; Lane, P.N.; Bren, L.J.; Sims, N.C. The Long Term Effects of Thinning Treatments on Vegetation Structure and Water Yield. For. Ecol. Manag. 2013, 310, 983–993. [Google Scholar] [CrossRef]
- Li, L.-J.; Zhang, L.; Wang, H.; Wang, J.; Yang, J.-W.; Jiang, D.-J.; Li, J.-Y.; Qin, D.-Y. Assessing the Impact of Climate Variability and Human Activities on Streamflow from the Wuding River Basin in China. Hydrol. Process. 2007, 21, 3485–3491. [Google Scholar] [CrossRef]
- Birkel, C.; Soulsby, C.; Tetzlaff, D. Modelling the Impacts of Land-Cover Change on Streamflow Dynamics of a Tropical Rainforest Headwater Catchment. Hydrol. Sci. J. 2012, 57, 1543–1561. [Google Scholar] [CrossRef]
- Chang, J.; Zhang, H.; Wang, Y.; Zhu, Y. Assessing the Impact of Climate Variability and Human Activities on Streamflow Variation. Hydrol. Earth Syst. Sci. 2016, 20, 1547–1560. [Google Scholar] [CrossRef]
- Liu, Y.; Wu, G.; Fan, X.; Gan, G.; Wang, W.; Liu, Y. Hydrological Impacts of Land Use/Cover Changes in the Lake Victoria Basin. Ecol. Indic. 2022, 145, 109580. [Google Scholar] [CrossRef]
- Nepal, S.; Flügel, W.-A.; Shrestha, A.B. Upstream-Downstream Linkages of Hydrological Processes in the Himalayan Region. Ecol. Process. 2014, 3, 19. [Google Scholar] [CrossRef]
- Bunn, S.E.; Arthington, A.H. Basic Principles and Ecological Consequences of Altered Flow Regimes for Aquatic Biodiversity. Environ. Manag. 2002, 30, 492–507. [Google Scholar] [CrossRef] [PubMed]
- Allan, J.D. Landscapes and Riverscapes: The Influence of Land Use on Stream Ecosystems. Annu. Rev. Ecol. Evol. Syst. 2004, 35, 257–284. [Google Scholar] [CrossRef]
- Poff, N.L.R.; Olden, J.D.; Pepin, D.M.; Bledsoe, B.P. Placing Global Stream Flow Variability in Geographic and Geomorphic Contexts. River Res. Appl. 2006, 22, 149–166. [Google Scholar] [CrossRef]
- James, L.A.; Lecce, S.A. Impacts of Land-Use and Land-Cover Change on River Systems. Treatise Geomorphol. 2013, 9, 768–793. [Google Scholar] [CrossRef]
- Mathews, R. A Six-Step Framework for Ecologically Sustainable Water Management. J. Contemp. Water Res. Educ. 2009, 131, 60–65. [Google Scholar] [CrossRef]
- Tekleab, S.; Mohamed, Y.; Uhlenbrook, S.; Wenninger, J. Hydrologic Responses to Land Cover Change: The Case of Jedeb Mesoscale Catchment, Abay/Upper Blue Nile Basin, Ethiopia. Hydrol. Process. 2014, 28, 5149–5161. [Google Scholar] [CrossRef]
- Gashaw, T.; Tulu, T.; Argaw, M.; Worqlul, A.W. Modeling the Impacts of Land Use–Land Cover Changes on Soil Erosion and Sediment Yield in the Andassa Watershed, Upper Blue Nile Basin, Ethiopia. Environ. Earth Sci. 2019, 78, 679. [Google Scholar] [CrossRef]
- Ebabu, K.; Tsunekawa, A.; Haregeweyn, N.; Adgo, E.; Meshesha, D.T.; Aklog, D.; Masunaga, T.; Tsubo, M.; Sultan, D.; Fenta, A.A. Effects of Land Use and Sustainable Land Management Practices on Runoff and Soil Loss in the Upper Blue Nile Basin, Ethiopia. Sci. Total Environ. 2019, 648, 1462–1475. [Google Scholar] [CrossRef]
- Rientjes, T.H.M.; Haile, A.T.; Kebede, E.; Mannaerts, C.M.M.; Habib, E.; Steenhuis, T.S. Changes in Land Cover, Rainfall and Stream Flow in Upper Gilgel Abbay Catchment, Blue Nile Basin–Ethiopia. Hydrol. Earth Syst. Sci. 2011, 15, 1979–1989. [Google Scholar] [CrossRef]
- Kennen, J.G.; Riva-Murray, K.; Beaulieu, K.M. Determining Hydrologic Factors That Influence Stream Macroinvertebrate Assemblages in the Northeastern US. Ecohydrology 2010, 3, 88–106. [Google Scholar] [CrossRef]
- Naiman, R.J.; Décamps, H. The Ecology of Interfaces: Riparian Zones. Annu. Rev. Ecol. Syst. 1997, 28, 621–658. [Google Scholar] [CrossRef]
- Konrad, C.P.; Brasher, A.M.D.; May, J.T. Assessing streamflow characteristics as limiting factors on benthic invertebrate assemblages in streams across the western United States. Freshw. Biol. 2008, 53, 1983–1998. [Google Scholar] [CrossRef]
- Townsend, C.R.; Dolédec, S.; Scarsbrook, M.R. Species Traits in Relation to Temporal and Spatial Heterogeneity in Streams: A Test of Habitat Templet Theory. Freshw. Biol. 1997, 37, 367–387. [Google Scholar] [CrossRef]
- Walsh, C.J.; Fletcher, T.D.; Ladson, A.R. Stream Restoration in Urban Catchments through Redesigning Stormwater Systems: Looking to the Catchment to Save the Stream. J. N. Am. Benthol. Soc. 2005, 24, 690–705. [Google Scholar] [CrossRef]
- Welde, K.; Conservation, B. Effect of Land Use Land Cover Dynamics on Hydrological Response of Watershed: Case Study of Tekeze Dam Watershed, Northern Ethiopia. Int. Soil Water Conserv. Res. 2017, 5, 1–16. [Google Scholar] [CrossRef]











| Sub-Basin | Area [km2] | % of Weight Area |
|---|---|---|
| 1 | 495.76 | 11.59 |
| 2 | 186.23 | 4.35 |
| 3 | 542.72 | 12.69 |
| 4 | 418.83 | 9.79 |
| 5 | 437.66 | 10.23 |
| 6 | 919.85 | 21.5 |
| 7 | 1277.13 | 29.85 |
| Forest | Shrubs | Pasture | Built-Up | Barren | Water | PA | |
|---|---|---|---|---|---|---|---|
| Forest | 1317 | 215 | 18 | 31 | 0 | 2 | 0.83 |
| Shrubs | 379 | 772 | 294 | 91 | 13 | 1 | 0.5 |
| Pasture | 48 | 270 | 2181 | 176 | 158 | 4 | 0.77 |
| Built-up | 13 | 76 | 1410 | 1146 | 195 | 1 | 0.4 |
| Barren | 2 | 19 | 167 | 207 | 1213 | 27 | 0.74 |
| Water | 5 | 1 | 85 | 3 | 22 | 1561 | 0.93 |
| CA | 0.75 | 0.57 | 0.52 | 0.69 | 0.76 | 0.98 | |
| OA | 0.72 | ||||||
| Kappa | 0.67 |
| No. | Name of Parameter | Minimum | Maximum | Fitted Value | Description |
|---|---|---|---|---|---|
| 1 | R__CN2 | 0.20 | 0.20 | 0.03 | Soil Conservation Service (SCS) runoff curve number-f |
| 2 | V__OV_N | 1.50 | 1.50 | 0.79 | Manning’s “n” value for overland flow |
| 3 | V__FFCB | 0.12 | 0.69 | 0.26 | Initial soil water storage expressed as a fraction of field capacity water content |
| 4 | V__ESCO | 0.00 | 1.00 | 0.25 | Soil evaporation compensation factor |
| 5 | V__CH_K2 | 2.00 | 140.00 | 100.32 | Effective hydraulic conductivity in main channel alluvium (mm/h) |
| 6 | V__CH_N2 | 0.25 | 0.76 | 0.31 | Manning’s “n” value for the main channel. |
| 7 | V__ALPHA_BF | 0.00 | 1.00 | 0.82 | Base flow alpha factor (days) |
| 8 | V__GW_DELAY | 30.00 | 450.00 | 35.25 | Groundwater delay time (days) |
| 9 | V__GWQMN | 0.00 | 2.00 | 1.72 | Threshold depth of water in the shallow aquifer required for flow to occur (mm). |
| 10 | V__SURLAG | 0.00 | 20.00 | 14.95 | Surface runoff lag time |
| 11 | R__SOL_AWC | 0.00 | 1.00 | 0.30 | Available water capacity of the soil layer |
| 12 | V__GW_REVAP | 0.02 | 0.20 | 0.11 | Groundwater “revap” coefficient. |
| Calibration | Validation | |
|---|---|---|
| p-factor | 0.81 | 0.43 |
| R-factor | 2.28 | 0.72 |
| R2 | 0.68 | 0.66 |
| NSE | 0.63 | 0.64 |
| PBIAS | 9.2 | –8.6 |
| RSR | 0.61 | 0.69 |
| Performance Rating | R2 | NSE | RSR | PBIAS |
|---|---|---|---|---|
| Very Good | 0.75 < R2≤ 1.00 | 0.75 < NSE ≤ 1.00 | 0.00 ≤ RSR ≤ 0.50 | PBIAS < ±10 |
| Good | 0.60 < R2 ≤ 0.75 | 0.65 < NSE ≤ 0.75 | 0.50 ≤ RSR ≤ 0.60 | ±10 ≤ PBIAS < ±15 |
| Satisfactory | 0.50 < R2 ≤ 0.60 | 0.50 < NSE ≤ 0.65 | 0.60 ≤ RSR ≤ 0.70 | ±15 ≤ PBIAS < ±25 |
| Unsatisfactory | R2≤ 0.50 | NSE ≤ 0.50 | RSR > 0.70 | PBIAS ≥ ±25 |
| Winters’ Multiplicative | ||
|---|---|---|
| Calibration | Validation | |
| R2 | 0.4435 | 0.0815 |
| NSE | 0.4435 | 0.0815 |
| PBIAS | 26.23% | 83.80% |
| RSR | 0.739 | 1.0329 |
| Time | Forest | Shrubs/Mixed F. | Pasture | Built-Up | Barren | Water | Water Yield | Soil Moisture | GWRCHG | GWQ | ET |
|---|---|---|---|---|---|---|---|---|---|---|---|
| % | % | % | % | % | % | mm/Year | SW (mm) | mm/Year | mm/Year | mm/Year | |
| 1997 | 41.59 | 23.53 | 28.13 | 5.45 | 0.72 | 0.57 | 38.36 | 411.77 | 20.48 | 8.27 | 281.09 |
| 2008 | 30.75 | 34.04 | 26.38 | 6.29 | 2.03 | 0.51 | 43.47 | 432.80 | 19.08 | 7.67 | 271.48 |
| 2017 | 24.19 | 22.15 | 44.91 | 5.32 | 2.86 | 0.58 | 46.34 | 433.43 | 17.65 | 6.92 | 272.60 |
| 2008–1997 | −10.84 | 10.51 | 1.75 | 0.84 | 1.31 | 0.06 | 5.12 | 21.03 | 1.40 | 0.59 | 9.61 |
| 2017–2008 | −6.56 | 11.89 | 18.53 | 0.97 | 0.83 | 0.07 | 2.87 | 0.62 | 1.44 | 0.76 | 1.12 |
| 2017–1997 | −17.40 | −1.38 | 16.78 | 0.13 | 2.14 | 0.01 | 7.99 | 21.65 | 2.83 | 1.35 | 8.49 |
| Hydrologic Parameter IHA | Indicators | Pre-Impact Period: Medians 1997 LULC | Post-Impact Period: 2017 LULC | Deviation Factor | **** Significance Count | ||
|---|---|---|---|---|---|---|---|
| Pre | *** CD | Medians | *** C.D. | Medians | *** C.D. | ||
| Group-1 monthly water condition magnitude | January | 1.29 | 2.27 | 1.32 | 2.01 | 0.03 | 0.82 |
| February | 2.44 | 7.04 | 1.88 | 6.56 | 0.23 | 0.89 | |
| March | 3.28 | 5.26 | 2.28 | 6.00 | 0.30 | 0.86 | |
| April | 2.96 | 5.29 | 2.66 | 4.59 | 0.10 | 0.84 | |
| May | 1.42 | 7.85 | 0.97 | 8.22 | 0.32 | 0.93 | |
| June | 0.57 | 4.30 | 0.35 | 5.70 | 0.39 | 0.61 | |
| July | 0.09 | 7.97 | 0.05 | 12.87 | 0.44 | 0.49 | |
| August | 0.00 | 0.00 | 0.00 | 0.00 | |||
| September | 0.00 | 0.00 | 0.00 | 0.00 | |||
| October | 0.00 | 0.00 | 0.00 | 0.00 | |||
| November | 0.24 | 2.91 | 0.32 | 2.67 | 0.32 | 0.88 | |
| December | 0.82 | 2.66 | 0.84 | 3.28 | 0.02 | 0.64 | |
| Group-2 * Magnitude and duration of annual extreme water conditions | 1-day minimum | 0.00 | 0.00 | 0.00 | 0.00 | - | - |
| 3-day minimum | 0.00 | 0.00 | 0.00 | 0.00 | - | - | |
| 7-day minimum | 0.00 | 0.00 | 0.00 | 0.00 | - | - | |
| 30-day minimum | 0.000 | 0.00 | 0.000 | 0.00 | - | - | |
| 90-day minimum | 0.004 | 34.36 | 0.002 | 89.20 | 0.60 | 0.18 | |
| 1-day maximum | 208.10 | 1.99 | 203.70 | 2.05 | 0.02 | 0.95 | |
| 3-day maximum | 124.80 | 1.86 | 129.00 | 1.78 | 0.03 | 0.90 | |
| 7-day maximum | 67.05 | 1.75 | 68.67 | 1.77 | 0.02 | 0.98 | |
| 30-day maximum | 27.68 | 1.88 | 27.51 | 1.95 | 0.01 | 0.97 | |
| 90-day maximum | 17.08 | 2.19 | 15.10 | 2.43 | 0.12 | 0.89 | |
| Number of zero days | 105 | 1.28 | 112 | 1.188 | 0.07 | 0.74 | |
| Group-3 Annual extreme water conditions | Julian date of annual minimum | 44 | 0.44 | 45 | 0.47 | 0.01 | 0.73 |
| Julian date of annua maximum | 39 | 0.22 | 39 | 0.22 | 0.00 | 0.99 | |
| Group-4 ** Frequency and duration of high and low pulses | Low pulse count | 0 | 0 | 0 | 0 | - | - |
| High pulse count | 6 | 0.50 | 7 | 0.57 | 0.1667 | 0.65 | |
| High pulse duration | 5.5 | 0.3636 | 4 | 0.375 | 0.27 | 0.96 | |
| Group-5 Rate and frequency of water condition changes | Rise rate | 0.19 | 0.84 | 0.25 | 0.70 | 0.31 | 0.52 |
| Fall rate | 0.18 | 0.71 | 0.19 | 0.62 | 0.05 | 0.66 | |
| Number of reversals | 71 | 0.45 | 71 | 0.40 | 0.00 | 0.88 | |
| * EFC Parameters (High Floods) | Median | ** CD | Deviation Factor | Significance Count | ||||
|---|---|---|---|---|---|---|---|---|
| Pre | Post | Pre | Post | Medians | ** CD | Medians | ** CD | |
| Flood peak (m3/s) | 9.82 | 10.33 | 1.32 | 0.90 | 0.05 | 0.32 | 0.78 | 0.28 |
| Flood duration (days) | 4.5 | 4 | 0.39 | 0.50 | 0.11 | 0.29 | 0.13 | 0.38 |
| Flood timing (Julian dates) | 356 | 355 | 0.16 | 0.12 | 0.01 | 0.20 | 0.66 | 0.39 |
| Flow frequency | 5 | 6 | 0.50 | 0.42 | 0.20 | 0.17 | 0.01 | 0.58 |
| Flood rise rate | 5.32 | 5.78 | 1.26 | 0.96 | 0.09 | 0.24 | 0.90 | 0.51 |
| Flood fall rate | 1.85 | 2.29 | 0.79 | 0.60 | 0.24 | 0.24 | 0.15 | 0.45 |
Disclaimer/Publisher’s Note: The statements, opinions and data contained in all publications are solely those of the individual author(s) and contributor(s) and not of MDPI and/or the editor(s). MDPI and/or the editor(s) disclaim responsibility for any injury to people or property resulting from any ideas, methods, instructions or products referred to in the content. |
© 2023 by the authors. Licensee MDPI, Basel, Switzerland. This article is an open access article distributed under the terms and conditions of the Creative Commons Attribution (CC BY) license (https://creativecommons.org/licenses/by/4.0/).
Share and Cite
Arsiso, B.K.; Mengistu Tsidu, G. Land Use and Land Cover Change Modulates Hydrological Flows and Water Supply to Gaborone Dam Catchment, Botswana. Water 2023, 15, 3364. https://doi.org/10.3390/w15193364
Arsiso BK, Mengistu Tsidu G. Land Use and Land Cover Change Modulates Hydrological Flows and Water Supply to Gaborone Dam Catchment, Botswana. Water. 2023; 15(19):3364. https://doi.org/10.3390/w15193364
Chicago/Turabian StyleArsiso, Bisrat Kifle, and Gizaw Mengistu Tsidu. 2023. "Land Use and Land Cover Change Modulates Hydrological Flows and Water Supply to Gaborone Dam Catchment, Botswana" Water 15, no. 19: 3364. https://doi.org/10.3390/w15193364
APA StyleArsiso, B. K., & Mengistu Tsidu, G. (2023). Land Use and Land Cover Change Modulates Hydrological Flows and Water Supply to Gaborone Dam Catchment, Botswana. Water, 15(19), 3364. https://doi.org/10.3390/w15193364

