A Method for Calculating Water Demand for Sediment Transport Based on the Principles of River Dynamics
Abstract
:1. Introduction
2. Materials and Methods
2.1. Study Area
2.2. Dataset
2.3. Methods
2.3.1. Resistance Formula of Moving Bed
2.3.2. Sediment Transport Equation
2.3.3. Hydraulic Geometry Relationship
2.3.4. Calculation Steps
3. Results
3.1. Influencing Factors of Sediment Transport Water Demand
3.1.1. River Bed Morphology and Material Composition
- Median Particle Size of the Bed Sand D50
- Slope
3.1.2. Incoming Water Conditions
- Sediment transport process under bed-making flow
- Total amount of incoming water and sediment
3.1.3. Conditions for Incoming Sand
- Sediment concentration
- Median particle size of suspended sediment d50
3.2. Calculation Results of Sediment Transport Water Demand
4. Discussion
4.1. Calculation Reflecting the Overcurrent Capacity of the Main Tank
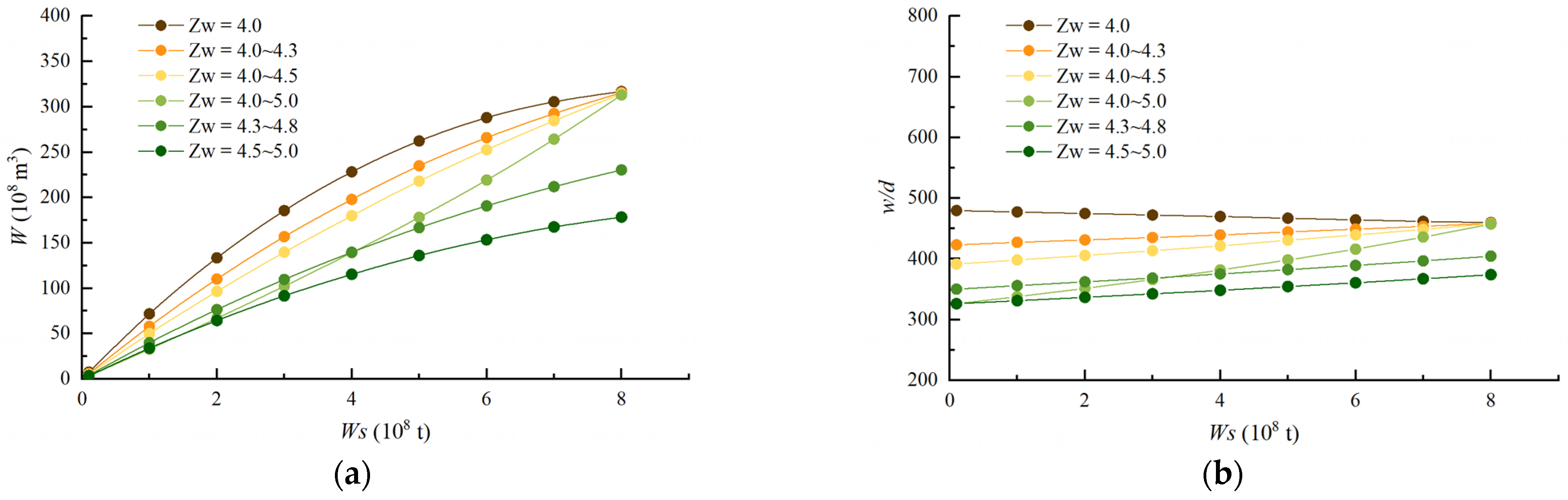
4.2. Calculation Reflecting the Degree of River Regulation
4.3. Comparison with Other Studies
5. Conclusions
Author Contributions
Funding
Data Availability Statement
Acknowledgments
Conflicts of Interest
References
- Zhang, Y.F.; Wang, P.; Shen, G.Q. Characterizing and identifying bedforms in the wandering reach of the lower Yellow River. Int. J. Sediment Res. 2022, 37, 110–121. [Google Scholar] [CrossRef]
- Wu, X.; Wang, H.J.; Bi, N.S.; Xu, J.P.; Nittrouer, J.A.; Yang, Z.S.; Lu, T.A.; Li, P.H. Impact of Artificial Floods on the Quantity and Grain Size of River-Borne Sediment: A Case Study of a Dam Regulation Scheme in the Yellow River Catchment. Water Resour. Res. 2017, 57, e2021WR029581. [Google Scholar] [CrossRef]
- Pershin, I.M.; Papush, E.G.; Kukharova, T.V.; Utkin, V.A. Modeling of Distributed Control System for Network of Mineral Water Wells. Water 2023, 15, 2289. [Google Scholar] [CrossRef]
- Martirosyan, K.V.; Chenyshev, A.B.; Martirosyan, A.V. Application of Bayes Networks in the Design of the Information System “Mineral Water Deposit”. In Proceedings of the 2023 XXVI International Conference on Soft Computing and Measurements (SCM), Saint Petersburg, Russia, 24–26 May 2023; pp. 236–239. [Google Scholar] [CrossRef]
- Ji, H.Y.; Chen, S.L.; Pan, S.Q. Fluvial sediment source to sink transfer at the Yellow River Delta: Quantifications, causes, and environmental impacts. J. Hydrol. 2022, 608, 127622. [Google Scholar] [CrossRef]
- Yang, Y.C.; Liu, B.J. Reservoir ecological operation on sediment-laden river considering wetland protection. Front. Environ. Sci. 2023, 11, 1207032. [Google Scholar] [CrossRef]
- Wang, H.; Wang, J.H.; Qin, D.Y.; Chen, C.Y.; Jiang, D.; Yao, Z.J. The Study on Water Resources Assessment and Subject System of Waterresources Study on Modern Times. Adv. Earth Sci. 2002, 1, 12–17. [Google Scholar]
- Yang, Z.F. Theory, Method, and Practice of Ecological Environmental Water Demand; Science Press: Bäch, Switzerland, 2003; pp. 38–42. [Google Scholar]
- Zhang, S.L.; Li, H.; Li, C.H.; Yi, Y.J.; Wang, X.; Liu, Q. Allocation of water resources in the lower Yellow river based on ecological footprint. Front. Earth Sci. 2023, 10, 1018980. [Google Scholar] [CrossRef]
- Mosley, P.M. Analysis of the Effect of Changing Discharge on Channel Morphology and Instream Uses in a Braided River, Ohau River, New Zealand. Water Resour. Res. 1982, 18, 800–812. [Google Scholar] [CrossRef]
- Li, X.F.; Yin, J.; Qiu, X.C. Effects of Seasonal Runoff Change on Eco-environmental Water Demand of Qingshui River Channel. Bull. Soil Water Conserv. 2022, 42, 23–28. [Google Scholar]
- Wang, S.J.; Wang, X.M. Changes in Water and Sediment Processes in the Yellow River and Their Responses to Ecological Protection during the Last Six Decades. Water 2023, 15, 2285. [Google Scholar] [CrossRef]
- Yi, Y.J.; Xu, J.X.; Song, J.; Liu, Q. Ecological water demand and discharge process calculation in the Yellow River Estuary. Water Res. Prot. 2022, 38, 133–140. [Google Scholar]
- Fu, Y.C.; Leng, J.W.; Zhao, J.Y.; Na, Y.; Zou, Y.P.; Yu, B.J.; Fu, G.S.; Wu, W.Q. Quantitative Calculation and Optimized Applications of Ecological Flow based on Nature-based Solutions. J. Hydrol. 2021, 598, 126–216. [Google Scholar] [CrossRef]
- Han, Q.; Tan, G.M.; Fu, X.; Yang, H.J.; Li, X. Calculation methods of river environmental flow and their applications. Eng. J. Wuhan Univ. 2018, 51, 189–197. [Google Scholar]
- Chang, F.J.; Chen, L.; Chang, L.C. Optimizing the reservoir operating rule curves by genetic algorithms. Hydrol. Process. 2005, 19, 2277–2289. [Google Scholar] [CrossRef]
- Wang, Z.Y.; Hu, C. Strategies for managing reservoir sedimentation. Int. J. Sed. Res. 2009, 24, 369–384. [Google Scholar] [CrossRef]
- Yin, X.A.; Yang, Z.F.; Petts, G.E.; Kondolf, G.M. A reservoir operating method for riverine ecosystem protection, reservoir sedimentation control and water supply. J. Hydro. 2014, 512, 379–387. [Google Scholar] [CrossRef]
- Yan, J.; Hu, C.H. Calculation and application of sediment-carrying water volume in the lower Yellow River. J. Sed. Res. 2004, 4, 25–32. [Google Scholar]
- Wu, B.S.; Li, S.; Li, L.Y. Calculation methods of water demand for channel forming and sediment transport in the lower Yellow River. J. Hydraul. Eng. 2012, 43, 594–601. [Google Scholar]
- Liu, X.Y.; Li, T.H.; Zhao, Y.A.; Jin, L.; Ni, J.R. Water demand for sediment transport in the lower Yellow River. J. Basic Sci. Eng. 2002, 3, 253–262. [Google Scholar]
- Chen, M.; Xu, L.J.; Xing, C.P.; Xu, H.F.; Zhao, W.J. Analysis of the evolution trends and influential factors of bankfull discharge in the Lower Yellow River. Sci. Rep. 2022, 12, 19981. [Google Scholar]
- Ma, Y.X.; Huang, H.Q. Controls of channel morphology and sediment concentration on flow resistance in a large sand-bed river: A case study of the lower Yellow River. Geomorphology 2016, 264, 132–146. [Google Scholar] [CrossRef]
- Ni, J.R.; Liu, X.Y.; Li, T.H.; Zhao, Y.A.; Jin, L. Efficiency of sediment transport by flood and its control in the Lower Yellow River. Sci. China Ser. E 2004, 47, 173–185. [Google Scholar] [CrossRef]
- Shen, G.Q.; Zhang, Y.F.; Zhang, M. Research on regulation indices of floods for high efficient sediment transport in the Lower Yellow River. Yellow River 2019, 41, 50–54. [Google Scholar]
- Qin, C.; Wu, B.S.; Fu, X.D.; Wang, G. Progresses of hydraulic geometry study regarding the extension of spatiotemporal dimensions. J. Sediment Res. 2022, 47, 73–80. [Google Scholar]
- Gregory, V.M.; Parker, G. Physical Basis for Quasi-universal relationships describing bankfull hydraulic geometry of sand-bed rivers. J. Hydraul. Eng. 2011, 137, 739–753. [Google Scholar]
- Zhang, H.W.; Li, L.Q.; Peng, H.; Hou, L. Study on related problems of the Yellow River based on the goal of high-quality development of the basin. Water Res. Hydropower Eng. 2021, 52, 60–68. [Google Scholar]
- Xu, J.X. Sediment Transferring Function of the Lower Yellow Riveras Influenced by Discharge and Sediment Load Conditions. Sci. Geogr. Sin. 2004, 3, 275–280. [Google Scholar]
- Xia, J.Q.; Liu, X.; Zhang, X.L. Variation characteristics and formula of movable bed roughness for the Lower Yellow River. Adv. Water Sci. 2021, 32, 218–229. [Google Scholar]
- Su, T.; Huang, H.Q.; Carling, P.A.; Yu, G.; Nanson, G.C. Channel-Form Adjustment of an Alluvial River Under Hydrodynamic and Eco-Geomorphologic Controls: Insights from Applying Equilibrium Theory Governing Alluvial Channel Flow. Water Resour. Res. 2021, 57, e2020WR029174. [Google Scholar] [CrossRef]
- Huang, H.Q.; Chang, H.H.; Nanson, G.C. Minimum energy as the general form of critical flow and maximum flow efficiency and for explaining variations in river channel pattern. Water Resour. Res. 2004, 40, W04502. [Google Scholar] [CrossRef]
- Parker, G. Self-formed straight rivers with equilibrium banks and mobile beds. Part l. The sand-silt river. J. Fluid Mech. 1978, 89, 109–125. [Google Scholar] [CrossRef]
- Parker, G. Self-formed straight rivers with equilibrium banks and mobile beds, Part 2. The gravel river. J. Fluid Mech. 1978, 89, 127–146. [Google Scholar] [CrossRef]
- Chang, H.H. Geometry of rivers in regime. J. Hydraul. Div. ASCE 1979, 105, 691–706. [Google Scholar] [CrossRef]
- White, W.R.; Bettess, R.; Paris, E. Analytical approach to river regime. J. Hydraul. Div. ASCE 1982, 108, 1179–1193. [Google Scholar] [CrossRef]
- Huang, H.Q.; Nanson, G.C. Hydraulic geometry and maximum flow efficiency as products of the principle of least action. Earth Surf. Process. Landf. 2000, 25, 1–16. [Google Scholar] [CrossRef]
- Zhang, H.W.; Zhang, L.H.; Peng, H.; Cai, R.R. Research on cognition and calculation method of alluvial river roughness. J. Hydraul. Eng. 2020, 51, 774–787. [Google Scholar]
- Zhang, H.W.; Zhao, L.J.; Cao, F.S. Research of the Cause of Formation of Wandering River Model and Its Changes. Yellow River 1996, 10, 11–15. [Google Scholar]
- Albert, M.; Wu, B.S. Transport of sediment in large sand-bed rivers. J. Hydraul. Res. 2001, 39, 135–146. [Google Scholar]
- Belikov, V.V.; Borisova, N.M.; Fedorova, T.A.; Petrovskaya, O.A.; Katolikov, V.M. On the Effect of the Froude Number and Hydromorphometric Parameters on Sediment Transport in Rivers. Water Resour. 2019, 46, S20–S28. [Google Scholar] [CrossRef]
- Garcia, M.; Gary, P. Entrainment of Bed Sediment into Suspension. J. Hydraul. Eng. 1991, 117, 414–435. [Google Scholar] [CrossRef]
- Tananaev, N.I. Applying regression analysis to calculating suspended sediment runoff: Specific features of the method. Water Resour. 2013, 40, 585–592. [Google Scholar] [CrossRef]
- Hou, L.; Zhang, H.W.; Zhao, J.C.; Li, L.Q. Theoretical analysis and test of sediment carrying capacity formula. J. Hydraul. Eng. 2023, 54, 563–574+586. [Google Scholar]
- Zhang, H.W.; Zhang, Q. Formula of sediment carrying capacity of the Yellow River. Yellow River 1992, 11, 7–9. [Google Scholar]
- Konsoer, K.M.; Rhoads, B.L.; Langendoen, E.J.; Best, J.L.; Garcia, M.H. Spatial variability in bank resistance to erosion on a large meandering, mixed bedrock-alluvial river. Geomorphology 2016, 252, 80–97. [Google Scholar] [CrossRef]
- Wright, S.; Parker, G. Grain-Size Specific Suspended Sediment Transport and Flow Resistance in Large Sand-Bed Rivers; Springer: Amsterdam, The Netherlands, 2003. [Google Scholar]
- Parker, G.; Wilcock, P.R.; Paola, C.; Dietrich, W.E.; Pitlick, J. Quasi-universal relations for bankfull hydraulic geometry of single- thread gravel-bed rivers. J. Geophys. Res. 2007, 112, F04005. [Google Scholar]
- Cheng, Y.F.; Xia, J.Q.; Zhou, M.R.; Deng, S.S.; Li, D.Y.; Li, Z.W.; Wan, Z.W. Recent variation in channel erosion efficiency of the Lower Yellow river with different channel patterns. J. Hydrol. 2022, 610, 127962. [Google Scholar] [CrossRef]
- Wu, B.S.; Li, L.Y.; Zhang, Y.F. Water demand for keeping main-channel from shrinkage in the Lower Yellow River. J. Hydraul. Eng. 2011, 42, 1392–1397. [Google Scholar]
- Hu, C.H.; Zhang, Z.H. The research of mechanism of constructing riverbed and index of flow and sediment of floodwater in the Lower Yellow River. Sci. Sin. 2015, 45, 1043–1051. [Google Scholar] [CrossRef]
- Wang, Y.J.; Wu, B.S.; Zhong, D.Y. Adjustment in the main-channel geometry of the lower Yellow River before and after the operation of the Xiaolangdi Reservoir from 1986 to 2015. J. Geogr. Sci. 2020, 30, 468–486. [Google Scholar] [CrossRef]
- van Scheltinga, R.C.T.; Coco, G.; Friedrich, H. Sediment Particle Velocity and Activity During Dune Migration. Water Resour. Res. 2021, 57, e2020WR029017. [Google Scholar] [CrossRef]
- Shi, W.; Wang, G.Q. Review of studies on the water requirement for sediment transport of the lower Yellow River. Adv. Water Sci. 2003, 14, 118–123. [Google Scholar]
- Lu, J.; Ma, L.M. Analysis of water demand for channel forming and sediment transport in the Upper Reaches of the Yellow River in Inner Mongolia. Trans. Chin. Soc. Agric. Eng. 2020, 36, 123–128. [Google Scholar]












| Station | Q (m3/s) | d (m) | v (m/s) | S (10−4) | SSC (kg·10−3) | D50 (mm) | n | (cm/s) | N | 
|---|---|---|---|---|---|---|---|---|---|
| HYK | 84–7750 | 0.53–5.2 | 0.5–3.33 | 0.4–9.4 | 0.232–465 | 0.012–0.37 | 0.0042–0.059 | 0.128–0.715 | 598 | 
| JHY | 293–8400 | 0.53–6.1 | 0.44–2.87 | 0.12–8.7 | 0.253–456 | 0.029–0.244 | 0.0048–0.045 | 0.113–0.665 | 330 | 
| GC | 60–7240 | 0.58–8 | 0.3–2.88 | 0.3–3.1 | 0.168–327 | 0.014–0.4 | 0.0036–0.05 | 0.143–0.655 | 619 | 
| SK | 63–6670 | 0.50–4.7 | 0.36–2.9 | 0.12–6.0 | 0.055–209 | 0.010–0.323 | 0.0037–0.032 | 0.134–0.631 | 330 | 
| AS | 52–9270 | 0.56–6.3 | 0.42–3.56 | 0.37–2.4 | 0.64–217 | 0.03–0.112 | 0.0048–0.027 | 0.107–0.702 | 492 | 
| LK | 83–7500 | 0.96–11.3 | 0.41–2.76 | 0.33–6.1 | 0.58–188 | 0.035–0.218 | 0.0076–0.059 | 0.093–0.428 | 166 | 
| LJ | 63–6280 | 0.52–4.99 | 0.35–2.78 | 0.4–2.1 | 0.157–211 | 0.031–0.248 | 0.0057–0.053 | 0.103–0.551 | 265 | 
| Ws (108 t) | W (108 m3) | v (m/s) | d (m) | w (m) | n | SSC (kg/m3) | 
|---|---|---|---|---|---|---|
| 0.1 | 7.67 | 1.69 | 2.22 | 1065.66 | 0.0134 | 13.04 | 
| 1 | 71.79 | 1.71 | 2.225 | 1056.94 | 0.0132 | 13.93 | 
| 2 | 133.249 | 1.73 | 2.21 | 1047.47 | 0.0130 | 15.01 | 
| 3 | 184.73 | 1.75 | 2.20 | 1037.91 | 0.0129 | 16.24 | 
| 4 | 226.89 | 1.78 | 2.19 | 1028.27 | 0.0127 | 17.63 | 
| 5 | 260.15 | 1.80 | 2.18 | 1018.54 | 0.0125 | 19.22 | 
| 6 | 286.12 | 1.82 | 2.17 | 1010.05 | 0.0123 | 20.97 | 
| 7 | 303.03 | 1.85 | 2.17 | 1000.14 | 0.0121 | 23.10 | 
| 8 | 313.60 | 1.87 | 2.16 | 991.47 | 0.0120 | 25.51 | 
| Ws (108 t) | W (108 m3) | ||||||
|---|---|---|---|---|---|---|---|
| This Paper | Shen | Lu | Zhang | Wu | Yan | Shi | |
| 0.1 | 7.67 | 87.73 | 85.42 | 96.17 | 62.55 | 46.8 | 3.3 | 
| 1 | 71.79 | 96.11 | 131.07 | 115 | 104.53 | 148 | 32.96 | 
| 2 | 133.249 | 105.42 | 181.79 | 135.92 | 122 | 209.3 | 65.91 | 
| 3 | 184.73 | 114.73 | 232.52 | 156.84 | 133.55 | 256.34 | 98.87 | 
| 4 | 226.89 | 124.04 | 283.24 | 177.76 | 142.4 | 296 | 131.82 | 
| 5 | 260.15 | 133.35 | 333.96 | 198.68 | 149.67 | 330.94 | 164.78 | 
| 6 | 286.12 | 142.66 | 384.68 | 219.6 | 155.88 | 362.52 | 197.74 | 
| 7 | 303.03 | 151.97 | 435.4 | 240.52 | 161.33 | 391.57 | 230.69 | 
| 8 | 313.60 | 161.28 | 486.12 | 261.44 | 166.21 | 418.61 | 263.65 | 
| Disclaimer/Publisher’s Note: The statements, opinions and data contained in all publications are solely those of the individual author(s) and contributor(s) and not of MDPI and/or the editor(s). MDPI and/or the editor(s) disclaim responsibility for any injury to people or property resulting from any ideas, methods, instructions or products referred to in the content. | 
© 2023 by the authors. Licensee MDPI, Basel, Switzerland. This article is an open access article distributed under the terms and conditions of the Creative Commons Attribution (CC BY) license (https://creativecommons.org/licenses/by/4.0/).
Share and Cite
Hou, L.; Zhang, H.; Li, L.; Zhao, J.; Li, X. A Method for Calculating Water Demand for Sediment Transport Based on the Principles of River Dynamics. Water 2023, 15, 3514. https://doi.org/10.3390/w15193514
Hou L, Zhang H, Li L, Zhao J, Li X. A Method for Calculating Water Demand for Sediment Transport Based on the Principles of River Dynamics. Water. 2023; 15(19):3514. https://doi.org/10.3390/w15193514
Chicago/Turabian StyleHou, Lin, Hongwu Zhang, Linqi Li, Junchi Zhao, and Xiji Li. 2023. "A Method for Calculating Water Demand for Sediment Transport Based on the Principles of River Dynamics" Water 15, no. 19: 3514. https://doi.org/10.3390/w15193514
APA StyleHou, L., Zhang, H., Li, L., Zhao, J., & Li, X. (2023). A Method for Calculating Water Demand for Sediment Transport Based on the Principles of River Dynamics. Water, 15(19), 3514. https://doi.org/10.3390/w15193514
 
        

 
       