Next Article in Journal
Fostering Well-Being in Resettled Communities: Cultivating Cultural Resilience and Sustainable Development in Resettlement Caused by Ghazi Barotha Hydropower Project, Pakistan
Previous Article in Journal
Flood Forecasting by Using Machine Learning: A Study Leveraging Historic Climatic Records of Bangladesh
Previous Article in Special Issue
Nitrogen and Phosphorus Loading Characteristics of Agricultural Non-Point Sources in the Tuojiang River Basin
 
 
Font Type:
Arial Georgia Verdana
Font Size:
Aa Aa Aa
Line Spacing:
Column Width:
Background:
Article

Effects of Partial Straw Mulching on Potato Production under Different Rainfall Years in Dry-Farming Region

1
Gansu Institute of Architectural Design and Research Co., Ltd., Lanzhou 730070, China
2
College of Water Conservancy and Hydropower Engineering, Gansu Agricultural University, Lanzhou 730070, China
3
Dingxi Institute of Water Conservancy Science, Dingxi 743000, China
4
College of Agronomy, Gansu Agricultural University, Lanzhou 730070, China
*
Author to whom correspondence should be addressed.
Water 2023, 15(22), 3971; https://doi.org/10.3390/w15223971
Submission received: 25 August 2023 / Revised: 31 October 2023 / Accepted: 9 November 2023 / Published: 15 November 2023
(This article belongs to the Special Issue Agricultural Water-Saving Effects of Soil Mulching)

Abstract

Improving resource utilization efficiency is critical for achieving high yields and long-term agricultural development in arid and semi-arid settings. Using potato as the research material, a field trial was carried out from 2020 to 2022 in dryland agricultural areas of China, with two treatments of ridge planting with a furrow mulching straw pattern (SML) and flat planting without mulching (CK). The responses of the dryland potato yield, water use efficiency (WUE), and soil hydrothermal properties to the two cultivation patterns were investigated. The results indicated that during the potato reproductive period, the soil temperature of 0–25 cm in the SML treatment dropped by 0.70–0.83 °C, in comparison to CK; the ridge and furrow-covered belt, which showed a warming effect at 7:00 a.m. in the seedling stage (SD) and the budding stage (BP), was lower than CK in all the rest of the time, and also the planting belt on the ridge, which cooled down significantly at 14:00 a.m. and the performance varied between the years of 7:00 a.m. and 17:00 a.m. SML significantly decreased the water consumption before BP but significantly increased it after BP in the year of median water and mild drought, while the total amount of water consumed during the entire growing season did not differ significantly from CK’s. In the year of moderate drought, SML’s total water consumption was significantly less than that of CK, with the water consumption significantly lower before BP and after the tuber bulking stage (TB), but significantly higher from the BP to the TB. In three consecutive growing seasons, SML increased the yields by 9.72–41.67% and WUE by 4.62–11.14% compared with CK, with the yields significantly or positively connected with the average soil temperatures at the TB, the starch accumulation stage (SA), and the water consumption from the BP to the TB. Overall, partial straw mulching could be used as a cultivation technique to achieve sustainable agricultural development in dry farming areas.

1. Introduction

After rice, wheat, and maize, potato (Solanum tuberosum L.) is the fourth-largest food crop in the world [1]. With 122 million tons of fresh potatoes produced and a national planting area of roughly 5,456,100 hectares, China is one of the world’s leading producers of potatoes [2]. With 36% of the country’s total potato area under cultivation, the arid and semi-arid regions of the Loess Plateau are the main potato-producing locations in China, and the potato business has become a regional specialty industry [3,4]. Water scarcity has long been a major constraint on agricultural development in arid regions, especially in the last 50 years, when there has been a clear trend toward the warming and drying of the climate, with rising temperatures, decreasing precipitation, and a significant increase in the dryness index posing new challenges to agricultural production and food security [5,6].
Cultivation measures are important in regulating the water environment for crop growth to counteract the effects of drought. Ground mulching cultivation, which is commonly employed in the arid and semi-arid regions of China’s Loess Plateau, embodies more advantages than traditional cultivation [7,8,9]. Studies have shown that the benefits of plastic film mulching over straw mulching gradually diminish as the number of years mulched increases [10]. While straw mulching can reuse straw and reduce pollution caused by burning straw [11], it also has soil ecological effects such as improving the soil moisture conditions [12] and soil quality [13,14], as well as it is expected to become an alternative to mulching, reducing white pollution and achieving sustainable agricultural development. It is expected to be one of the key techniques to replace mulching, reduce white pollution, and achieve sustainable agricultural development. Studies have revealed that traditional full straw mulching has a low-temperature effect, which has a greater impact on the growth and development of cool-season growing crops than the moisture retention effect of straw mulching [15], so perfecting and improving the traditional straw mulching technique is one of the crucial approaches to develop dry farming cultivation methods.
The partial straw mulching technique is an improvement of the traditional full straw mulching mode, which has now been investigated for application in grain crops such as wheat [16], soya bean [17], and potato [18], and it has achieved favorable results. Furthermore, because potatoes are a cool-season crop, their output is highly dependent on a number of variables, including seasonal condition and cultivar choice [6,19], fertilization rate [20], and soil mycorrhization [21], with lower nighttime temperatures favoring the formation and accumulation of dry matter in potato tubers [22]. Even though partial straw mulching has been shown to increase the yield and save water, the complexity of agroecosystems and the variability of experiment sites have led to inconsistent results; therefore, it is necessary to explore further to enrich the dry farming cultivation system. In this work, a three-year field trial was carried out using ridge planting with a furrow mulching straw pattern and bare land flat planting as treatments. In order to provide a theoretical foundation for the development of a high-yielding, efficient, and ecological cultivation system in dry farming regions, our objective was to (1) investigate the effects of partial straw mulching on soil moisture and temperature in potato (2) and its effect on the potato tuber yield and WUE.

2. Materials and Methods

2.1. Experimental Site

The filed experiments were carried out from 2020 to 2022 at the irrigation experiment site (104°36′ E, 35°33′ N; asl. 1925 m) of Dingxi City, Gansu Province of China. The area has a distinctly inland climate because it is located in the center of the Loess Plateau. The average annual precipitation, evaporation, frost-free period, and annual sunshine hours are 450 mm, 1500 mm, 141 d, and 2500 h, respectively; the average annual temperature is 6.3 °C; and the ≥10 °C accumulated temperature is 2075.2 °C. The soil in the test area is yellow loamy soil with an organic matter content from 1.0% to 1.5%. An amount of 90 kg·ha−1 of pure N and 90 kg·ha−1 of P2O5 were applied before sowing in each of the three growing seasons, and no additional fertilizer was added during the growing period.
Based on the standard of classification for drought severity (SL424-2008), the drought in 2020–2022 is divided as follows: The total rainfall in 2020 during the growing period of potato was 319.65 mm, with more than adequate rainfall after May (a median water year). The total rainfall in 2021 was 290.64 mm, with less rainfall in August (a mild drought), and the total rainfall was 176.3 mm in 2022 (a moderate drought year) (Figure 1). Compared to the multi-year average temperature, the average daily temperature throughout the potato planting period is 1.1 °C warmer in 2020, 1.53 °C warmer on average in 2021, and 3.91 °C warmer in 2022.

2.2. Experimental Scheme

There were two treatments, including ridge planting with a furrow mulching straw pattern (SML) and bare ground flat cultivation (CK), arranged in randomized block groups with a plot size of 28 m2 (7 m × 4 m). The straw mulching amount of 9000 kg·ha−1 was mulched on the pre-reserved furrow with a 15 cm height at the emergence stage by hand.
The potato varieties tested in 2020 were ‘Xin Daping’ and ‘Qingshu 9′ in 2021 and 2022, with plants spaced 30 cm apart and rows spaced 60 cm apart in a triangular arrangement, sown by hand in holes to a depth of 15 cm (Figure 2). The growth period was divided into five stages: seedling stage (SD), budding stage (BP), tuber bulking stage (TB), starch accumulation stage (SA), and maturity stage (MA), based on the irrigation test specifications and the actual growth process for local potato. For every treatment, the sowing density of potato was 225 kg·ha−1. Throughout all three growing seasons, the same quantity of fertilizer was applied. The basal fertilizer was plowed into the soil before sowing and consisted of 105 kg·ha−1 of P2O5 and 150 kg·ha−1 of net nitrogen. No topdressing was performed. The management was in line with local farmers’ production practices, with no irrigation during the entire growing period.

2.3. Measurements and Calculations

2.3.1. Soil Temperature

Soil temperatures in soil layers of 5, 10, 15, 20, and 25 cm were observed using a curved-tube geothermometer at 7:00, 14:00, and 17:00 in both the planting zone and mulching zone during the main growing period of potato, and the arithmetic average of three measurements was used to determine the daily average soil temperature.

2.3.2. Soil Water Content

Soil water content was measured using a soil auger and the drying method in the soil layers of 0–20, 20–40, 40–60, 60–90, 90–120, 120–150 cm, and 150–180 cm before sowing at SD, BP, TB, SA, and MA. Soil water content (%) = (the mass of fresh soil − the mass of dried soil)/mass of dried soil × 100%.

2.3.3. Soil Water Storage and Water Consumption Calculation

Soil water storage is calculated as
W = h × ρ × ω × 10
where W is the soil water storage volume (mm); h is the soil depth (cm); ρ is the soil volume mass (g·cm−3); and ω is the mass soil water content (%).
Water consumption on farmland is calculated as
ETi = (W1W2) + P
where ETi is the water consumption during various growth periods (mm); P is the effective precipitation of ≥5 mm at this stage (mm), where the data are measured by the home-made small weather station at the experimental base; and W1 and W2 are the soil water storage before and after each growth stage (mm), respectively.

2.3.4. Yield Measurement

Yields are measured after the potato has matured, according to the actual area of the plot.

2.3.5. Water Use Efficiency (WUE) Calculation

The WUE is calculated as
W U E = Y / E T
where WUE is water use efficiency (kg·ha−1·mm−1), Y is the potato tuber yield (kg·ha−1), and ET is the total water consumption of potato during the entire growing season (mm).

2.4. Data Analysis

Microsoft Excel 2010 (Microsoft Corp., Raymond, Washington, DC, USA) was used for data collation and Origin 2018 (Originlab Corp., Northampton, MA, USA) for graphing. IBM SPSS Statistical Analysis 20.0 (IBM Inc., New York, NY, USA) was used for data significance testing (p < 0.05) and correlation analysis. The differences in relevant indicators between the cover treatments and CK were analyzed using one-way ANOVA and post hoc multiple comparisons were made using Duncan’s test.

3. Results

3.1. Soil Temperature

The ridge planting and furrow mulching positively affected the soil temperature in the 0–25 cm soil layer at different stages of potato (Figure 3). Compared with CK, the soil temperature of 0–25 cm was significantly lower in 2020, 2021, and 2022 by 0.83 °C, 0.70 °C, and 0.76 °C, respectively, during the whole reproductive period of potato, while the SD, BP, TB, and SA were cooled by 0.93 °C, 0.31 °C, 1.21 °C, and 0.87 °C in 2020; 1.23 °C, 1.07 °C, 0.19 °C, and 0.29 °C in 2021; and 1.56 °C, 0.33 °C, 0.27 °C, and 0.89 °C in 2022, respectively.
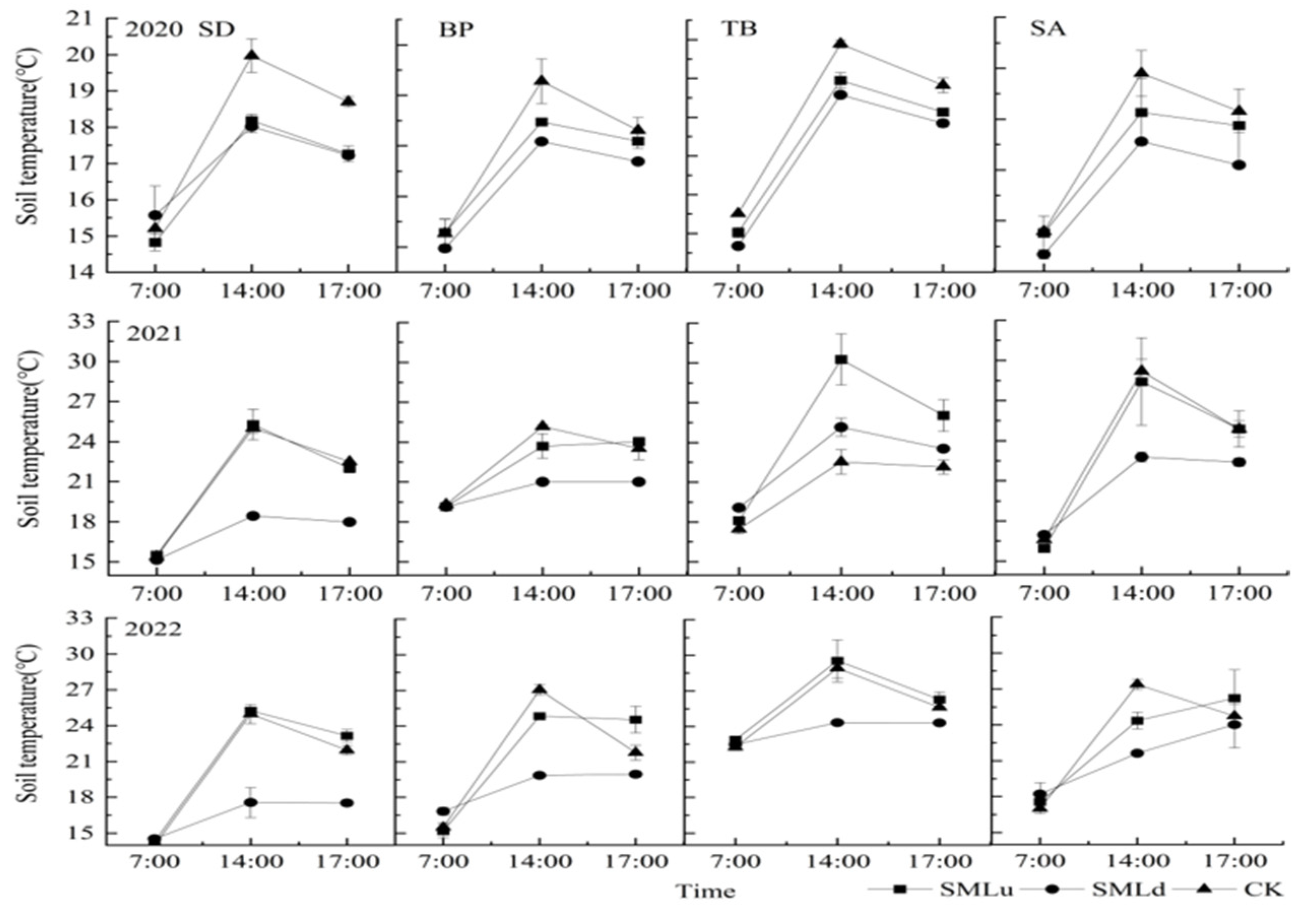
Looking at the different times of the various growth periods (Figure 4), the soil temperature was generally higher than that of CK at 7:00 in the mulching zone at the SD and BP during three growing seasons and decreased significantly at 14:00 and 17:00 compared with CK. The soil temperature in the planting zone was significantly cooler at 14:00 and not significantly cooler at 7:00 and 17:00. During the TB and SA, the soil temperature in the mulching zone was generally lower than that in CK at 7:00, 14:00 and 17:00, and the soil temperature in the planting zone was significantly cooler at 14:00, but it differed among years at 7:00 and 17:00.

3.2. Soil Water Storage

As can be seen in Figure 5, the SML treatment positively affected the soil water storage in the 0–180 cm soil layer during various growth periods of potato compared with CK. The total soil water storage at the BP, TB, SA, and MA in 2020, 2021, and 2022 increased by 4.02–50.69 mm, 32.31–43.28 mm, 23.27–55.79 mm, and 9.10–65.37 mm, respectively, compared with CK.
In terms of differences in the soil water storage of different soil layers, the soil water storage in the 40–90 cm soil layer was significantly higher than that in CK at the BP, TB, SA, and SA in three growing seasons. The soil water storage in the 0–40 cm soil layer was significantly higher than CK during all growth periods except the BP in 2021. In the 90–180 cm soil layer, the differences were not significant or reduced at the BP and TB in 2020 and 2021, not significantly different at TB, significantly increased at SA and MA, and significantly higher than CK at all periods in 2022.

3.3. Soil Water Consumption

The total water consumption of potato differed from year to year during the three growing seasons (Figure 6). In 2020 and 2021, which are the years of median water and mild drought, respectively, there is no significant difference in the total water consumption between SML and CK, but the water consumption of SML is significantly reduced before the BP and the water consumption after the BP is significantly increased compared with CK. Meanwhile, the water consumption from SW to BP decreased by 23.99 mm and 23.02 mm, respectively, while the water consumption from the BP to the TB increased by 6.85 mm and 8.94 mm, respectively, and the water consumption from the TB to the MA increased by 13.33 mm and 14.24 mm, respectively, in both growing seasons, all reaching significant levels.
It was a moderate drought year in 2022, with a significant reduction of 24.37 mm in the total water consumption during the reproductive period compared with CK, among which SW to BP was significantly reduced by 9.69 mm, BP to TB was significantly increased by 10.76 mm, and TB to MA was significantly reduced by 25.44 mm.

3.4. Potato Tuber Yield and Water Use Efficiency (WUE)

The ridge plating and furrow mulching pattern could significantly increase the potato tuber yield and WUE (Figure 7). Compared with CK, ridge plating and furrow mulching increased the tuber yield by 9.72%, 41.67%, and 13.72%, and increased WUE by 11.14%, 4.62%, and 9.51% in 2020, 2021, and 2022, respectively. For the different years, the 2021 potato yield was significantly higher than in 2020 and 2022, which was mainly because 2022 was a moderate drought year and the lack of rainfall during the growing season seriously affected the growth and development of the crop and the formation of its yields; however, it may also be related to the varieties selected for the different years.

3.5. Correlations Analysis of Various Indices

The simple correlation analysis results among all indicators are shown in Figure 8. Correlation analysis showed that the potato tuber yield was highly and positively correlated with the average soil temperature in the 0–25 cm soil layer during the TB and the SA, with the water consumption from the BP to the TB, and also with the soil water storage during the TB and the MA. The WUE showed significant or highly significant positive correlations with the tuber yield, water consumption from the BP to TB, and water storage at the TB, but highly significant negative correlations with the soil temperature at the SA. Additionally, the total water consumption was negatively correlated with the soil temperature at all growth periods and was significantly or extremely significantly correlated with the soil temperature at the BP and the TB.

4. Discussion

4.1. The Effect of Partial Straw Mulching on Soil Temperature

In dry farming areas, with the deepening of cultivation techniques, especially the application of mulching techniques, the efficient use of precipitation resources has been achieved and the relationship between soil water, fertilizer, air, and heat has been effectively improved and harmonized. Potatoes are a cool-loving crop and the right temperature is essential for growth and yield [23]. Studies have shown that straw mulching can reduce soil temperatures throughout the reproductive period of crops in wheat [24] and potato [18], and straw strip mulching significantly reduces soil temperatures by 0.8–1.4 °C during the whole potato growth period. In this study, ridge planting and furrow mulching straw pattern significantly reduced the soil temperature by 0.70–0.83 °C throughout the whole potato period and the cooling effect of the mulching strip was higher than that of the planting strip. The warming effect was evident at 7:00 a.m. and the cooling effect was greater at 14:00 than at 17:00 in the mulching strip zone, while the cooling effect was evident at 14:00 in the planting strip zone and varied with the growth period at 7:00 and 17:00. This is similar to the findings of Chen et al. [25] and Gholamhoseini M et al. [26], i.e., although the soil temperature effect is affected by a variety of factors such as the mulching season, mulching amount, rainfall year pattern, and soil moisture, the seasonal and daily changes in soil temperature after straw mulching tended to be moderate and the variability of soil temperature was reduced, presenting an increase in soil heating when the air temperature is low and a decrease in soil cooling when the air temperature is high.

4.2. The Effect of Partial Straw Mulching on Soil Moisture

For rainfed agriculture, it is critical to optimize the limited soil moisture storage and rainfall to provide more moisture for crops [27,28]. The furrow mulching pattern can effectively improve the moisture conditions of farmland and play a role in rainwater harvesting, water storage, and moisture conservation [29]. Straw mulching has a significant effect on late-growth moisture while increasing the soil water content [18]. The results of this research indicated that ridge planting with furrow mulching straw patterns can significantly improve the soil water and soil conditions at all growth stages of potato, with the soil water storage in the 0–40 cm and 40–90 cm soil layers significantly higher than CK during the three planting seasons, and the increase in the soil water storage in the 90–180 cm soil layer in the dry year of rainfall higher than in the moderate year. This may be because straw mulching effectively reduces surface runoff and optimizes the physical structure of the soil, thus enhancing its water infiltration and retention capacity [30,31]. In this study, in the year of moderate rainfall, the total water consumption of ridge planting and furrow mulching straw pattern was not significantly different from that of CK during the whole potato growth period, but significantly reduced the water consumption before the BP and significantly increased the water consumption after the BP; in the medium dry year (2022), the total water consumption throughout the entire growing period of potato was significantly lower by 24.37 mm compared to CK, while the water consumption was reduced from the SW to the BP and from the TB to the MA. Since straw mulching could inhibit the ineffective evaporation of farmland soil in the initial period to a certain extent, it not only reduced the water consumption at the beginning of the crop reproductive period, but it also reserved water for the later period when the water demand was higher and promoted the seasonal storage effect of the soil reservoir [32]. The above results are consistent with the reports of Chang et al. [18] and Yan et al. [33].

4.3. The Efect of Partial Straw Mulching on Potato Tuber Yield and WUE

Increasing the potato yield and WUE is key to the regulation of cultivation practices. Studies have shown that straw mulching can significantly increase the dryland potato yields in the dry areas of northwest China compared with conventional planting [34], with straw strip mulching increasing the potato yields by 10.5–34.2% and WUE by 8.9–29.8%, which is significantly higher than that of ridge plastic mulching and full-plastic film mulching [18]. In this study, potato yields were increased by 9.72–41.67% in ridge planting with furrow mulching straw patterns compared with CK, and the yield increase in different years is 2021 > 2022 > 2020, indicating that ridge planting and furrow mulching straw pattern showed stronger yield-increasing effects in mild drought years. The reason for this is that under moderate drought stress, straw mulching harmonizes the soil water and heat conditions to create a better soil microenvironment for potato root proliferation, which promotes the growth of plant tubers and thus facilitates yield formation [35]; whereas in moderately dry years, the water deficit and dry climate severely affected crop productivity.
Correlation analysis also showed that the potato tuber yield was high and positively associated with the water consumption from the BP to the TB, with the soil water storage at the TB and the MA, and with the average soil temperature in the 0–25 cm soil layer at the TB and SA. Potato planted on the ridge help to compensate for the cooling problems caused by straw mulching, and the cooling effect on potato alleviates the inhibition of tuber formation and expansion by high soil temperatures in the post-mid seasons [36], of which a relatively stable soil temperature environment is conducive to increased potato yields [37] and that there is a clear reciprocal regulatory effect with the soil water temperature [7].

5. Conclusions

(1)
The ridge planting and furrow mulching straw pattern significantly reduced soil temperatures in all growth periods of potatoes and had a significant effect on water storage and moisture retention.
(2)
The potato tuber yield and WUE were significantly increased by the ridge planting and furrow mulching straw pattern. In normal rainfall years, the ridge planting and furrow mulching straw pattern reduced the water consumption before the BP and the total water consumption during the whole growing period was not significantly different from that of CK; in moderately dry years, the total water consumption during the whole growth period was significantly lower than that of CK.
(3)
Additionally, from the results of correlation analyses, the formation of tuber yield was highly and positively correlated with the average soil temperature during the TB and SA, as well as the water consumption from the BP to TB and the soil water storage during the TB and the MA.
However, this study only made comparative analyses of the potato soil temperature, moisture, yield, and WUE in different years under the two cultivation modes of bare land flat cropping and partial straw mulching and ignored the differences in potato varieties, which has certain shortcomings, and the further refinement of experimental research is needed in the future, taking into account the effects of varieties and mulching cultivation modes in an integrated manner. In conclusion, it is also evident that the partial straw mulching pattern broadens the efficient cultivation technique system of potato, which is practically significant for the sustainable development of the potato industry in dry farming regions.

Author Contributions

Data curation, D.Z., J.M. and L.H.; formal analysis, D.Z., J.M. and L.H.; funding acquisition, C.H.; writing—original draft, D.Z. and C.H.; supervision, X.C., C.H. and L.C.; writing—review and editing, D.Z., Z.W., L.C. and C.H. All authors have read and agreed to the published version of the manuscript.

Funding

This study was sponsored by the National Natural Science Foundation of China (no. 31960830), the Special Funds for Research Group Construction of Water Con-servancy and Hydropower Engineering College, Gansu Agricultural University (no. Gaucwky-07), the Youth Mentor Fund of Gansu Agricultural University (no. GAU-QDFC-2023-13), the Lanzhou Science and Technology planning Project (no. 2022-2-6), the Natural Fund of Gansu Province (no. 22JR5RJ1020).

Data Availability Statement

Data are contained within the article.

Acknowledgments

We thank everyone who helped during the manuscript writing. We also thank the reviewers for their useful comments and suggestions.

Conflicts of Interest

Author Deming Zhao was employed by the company Gansu Institute of Architectural Design and Research Co., Ltd. The remaining authors declare that the research was conducted in the absence of any commercial or financial relationships that could be construed as a potential conflict of internet.

References

  1. FAO (Food and Agricultural Organization). Online Statistical Databases. 2016. Available online: http://faostat3.fao.org/ (accessed on 19 October 2023).
  2. Luo, Q.Y.; Gao, W.J.; Lv, J.F.; Gao, M.J. Analysis of the development situation of China’s potato industry in 2021–2022. Potato Industry and Seed Industry Innovation (2022). In Proceedings of the China Potato Congress, Qiqihaer, China, 15–18 July 2022. [Google Scholar]
  3. Li, Q.; Li, H.B.; Zhang, L.; Zhang, S.Q.; Chen, Y.L. Mulching improves yield and water-use efficiency of potato cropping in China: A meta-analysis. Field Crops Res. 2018, 221, 50–60. [Google Scholar] [CrossRef]
  4. Qin, S.H.; Zhang, J.L.; Dai, H.L.; Wang, D.; Li, D.M. Effect of ridge-furrow and plastic-mulching planting patterns on yield formation and water movement of potato in a semiarid area. Agric. Water Manag. 2014, 131, 87–94. [Google Scholar] [CrossRef]
  5. Zhang, Q.; Zhang, C.J.; Bai, H.Z.; Li, L.; Sun, L.D.; Liu, D.X.; Wang, J.S.; Zhao, H.Y. New development of climate change in Northwest China and its impact on arid environment-overall warming and drying, local signs of warmth and humidity. J. Arid Meteorol. 2010, 28, 1–7. [Google Scholar] [CrossRef]
  6. Xiao, G.J.; Qiu, Z.J.; Zhang, F.J.; Ma, F.; Yao, Y.B.; Zhang, Q.; Wang, R.Y. Influence of increased temperature on the potato yield and quality in a semiarid district of Northwest China. Acta Ecol. Sin. 2015, 35, 830–836. [Google Scholar] [CrossRef][Green Version]
  7. Chen, Y.Z.; Tian, H.H.; Li, Y.W.; Chai, Y.W.; Li, R.; Cheng, H.B.; Chang, L.; Chai, S.X. Effects of straw strip mulching on furrows and planting in ridges on water use efficiency and tuber yield in dryland potato. Acta Agron. Sin. 2019, 45, 714–727. [Google Scholar] [CrossRef]
  8. Shi, M.F.; Kang, Y.C.; Zhang, W.N.; Yang, X.Y.; Fan, Y.L.; Yu, H.F.; Zhang, R.Y.; Guo, A.X.; Qin, S.H. Plastic film mulching with ridge planting alters soil chemical and biological properties to increase potato yields in semiarid Northwest China. Chem. Biol. Technol. Agric. 2022, 9, 16. [Google Scholar] [CrossRef]
  9. Qin, S.H.; Yeboah, S.; Cao, L.; Zhang, J.L.; Shi, S.L.; Liu, Y.H. Breaking continuous potato cropping with legumes improves soil microbial communities, enzyme activities and tuber yield. PLoS ONE 2017, 12, e0175934. [Google Scholar] [CrossRef] [PubMed]
  10. Qin, Y.Q.; Cheng, H.B.; Chai, Y.W.; Ma, J.T.; Li, R.; Li, Y.W.; Chang, L.; Chai, S.X. Increasing effects of wheat yield under mulching cultivation in Northern of China: A meta-analysis. Sci. Agric. Sin. 2022, 55, 1095–1109. [Google Scholar] [CrossRef]
  11. Xiao, L.G.; Zhao, R.Q.; Kuhn, N. Straw mulching is more important than no tillage in yield improvement on the Chinese Loess Plateau. Soil Tillage Res. 2019, 194, 104314. [Google Scholar] [CrossRef]
  12. Akhtar, K.; Wang, W.Y.; Khan, A.; Ren, G.G.; Afridi, M.Z.; Feng, Y.Z.; Yang, G.H. Wheat straw mulching offset soil moisture deficient for improving physiological and growth performance of summer sown soybean. Agric. Water Manag. 2019, 211, 16–25. [Google Scholar] [CrossRef]
  13. Niu, Y.N.; Zhang, R.Z.; Luo, Z.Z.; Li, L.L.; Cai, L.Q.; Li, G.; Xie, J.H. Contributions of long-term tillage systems on crop production and soil properties in the semi-arid Loess Plateau of China. J. Sci. Food Agric. 2016, 96, 2650–2659. [Google Scholar] [CrossRef] [PubMed]
  14. Wang, J.Y.; Mo, F.; Zhou, H.; Kavagi, L.; Nguluu, S.N.; Xiong, Y.C. Ridge—Furrow with grass straw mulching farming system to boost rainfed wheat productivity and water use efficiency in semiarid Kenya. J. Sci. Food Agric. 2020, 101, 3030–3040. [Google Scholar] [CrossRef] [PubMed]
  15. Chen, S.Y.; Niu, J.F.; Zhang, X.Y.; Shao, L.W.; Yao, Z.G.; Li, J.B. Temperature effects of straw mulching on the agronomic and physiological characteristics of winter wheat. Chin. J. Eco-Agric. 2022, 30, 820–830. [Google Scholar] [CrossRef]
  16. Yang, C.G.; Chai, S.X. Regulatory effects of bundled straw covering on winter wheat yield and soil thermal-moisture utilization in dryland. Chin. J. Appl. Ecol. 2018, 29, 3245–3255. [Google Scholar] [CrossRef]
  17. Li, F.; Zhang, G.H.; Chen, J.; Song, Y.L.; Geng, Z.G.; Li, K.F.; Siddique, K.H. Straw mulching for enhanced water use efficiency and economic returns from soybean fields in the Loess Plateau China. Sci. Rep. 2022, 12, 17111. [Google Scholar] [CrossRef] [PubMed]
  18. Chang, L.; Han, F.X.; Chai, S.X.; Cheng, H.B.; Yang, D.L.; Chen, Y.Z. Straw strip mulching affects soil moisture and temperature for potato yield in semiarid regions. Agron. J. 2020, 112, 1126–1139. [Google Scholar] [CrossRef]
  19. Lombardo, S.; Lo Monaco, A.; Pandino, G.; Parisi, B.; Mauromicale, G. The phenology, yield and tuber composition of ‘early’ crop potatoes: A comparison between organic and conventional cultivation systems. Renew. Agric. Food Syst. 2013, 28, 50–58. [Google Scholar] [CrossRef]
  20. Licciardello, F.; Lombardo, S.; Rizzo, V.; Pitino, I.; Pandino, G.; Strano, M.G.; Muratore, G.; Restuccia, C.; Mauromicale, G. Integrated agronomical and technological approach for the quality maintenance of ready-to-fry potato sticks during refrigerated storage. Postharvest Biol. Technol. 2018, 136, 23–30. [Google Scholar] [CrossRef]
  21. Douds, D.D., Jr.; Nagahashi, G.; Reider, C.; Hepperly, P.R. Inoculation with arbuscular mycorrhizal fungi increases the yield of potatoes in a high P soil. Biol. Agric. Hortic. 2007, 25, 67–78. [Google Scholar] [CrossRef]
  22. Krauss, A.; Marshner, H. Influence of nitrogen nutrition, day length and temperature on contents of gibberellic and abscisic acid and on tuberization in potato plants. Potato Res. 1982, 25, 13–21. [Google Scholar] [CrossRef]
  23. Woli, P.; Hoogenboom, G. Simulating weather effects on potato yield, nitrate leaching, and profit margin in the US Pacific Northwest. Agric. Water Manag. 2018, 201, 177–187. [Google Scholar] [CrossRef]
  24. Wang, F.; Cheng, H.B.; Li, H.; Chai, Y.W.; Chen, Y.Z.; Chang, L.; Huang, C.X.; Chai, S.X. Effect of bundled straw covering on soil temperature and yield of winter wheat in arid region. J. Triticeae Crops 2017, 37, 777–785. [Google Scholar] [CrossRef]
  25. Chen, S.Y.; Zhang, X.Y.; Sun, H.Y.; Shao, L.W. Cause and mechanism of winter wheat yield reduction under straw mulch in the North China Plain. Chin. J. Eco-Agric. 2013, 21, 519–525. [Google Scholar] [CrossRef]
  26. Gholamhoseini, M.; Dolatabadian, A.; Habibzadeh, F. Ridge-furrow planting system and wheat straw mulching effects on dryland sunflower yield, soil temperature, and moisture. Agron. J. 2019, 111, 3383–3392. [Google Scholar] [CrossRef]
  27. Yu, Y.Y.; Turner, N.; Gong, Y.H.; Li, F.M.; Fang, C.; Ge, L.J.; Ye, J.S. Benefits and limitations to straw and plastic film mulch on maize yield and water use efficiency: A meta-analysis across hydrothermal gradients. Eur. J. Agron. 2018, 99, 138–147. [Google Scholar] [CrossRef]
  28. Zhang, D.; Hu, W.L.; Liu, H.B.; Du, L.F.; Xu, Y.; Cheng, Z.H.; Sun, S.Y.; Wang, H.Y. Characteristics of residual mulching film and residual coefficient of typical crops in North China. Trans. Chin. Soc. Agric. Eng. 2016, 32, 2639–2646. [Google Scholar] [CrossRef]
  29. Li, R.; Cui, R.M.; Jia, Z.K.; Han, Q.F.; Lu, W.T.; Hou, X.Q. Effects of different furrow-ridge mulching ways on soil moisture and water use efficiency of winter wheat. Sci. Agric. Sin. 2011, 44, 3312–3322. [Google Scholar] [CrossRef]
  30. Wang, J.; Sainju, U.M. Aggregate-associated carbon and nitrogen affected by residue placement, crop species, and nitrogen fertilization. Soil Sci. 2014, 179, 153–165. [Google Scholar] [CrossRef]
  31. Zhang, M.; Cheng, G.; Feng, H.; Sun, B.H.; Zhao, Y.; Chen, H.X.; Chen, J.; Dyck, M.; Wang, X.D.; Zhang, J.G.; et al. Effects of straw and biochar amendments on aggregate stability, soil organic carbon, and enzyme activities in the Loess Plateau, China. Environ. Sci. Pollut. Res. 2017, 24, 10108–10120. [Google Scholar] [CrossRef]
  32. Zribi, W.; Aragüés, R.; Medina, E.; Faci, J.M. Efficiency of inorganic and organic mulching materials for soil evaporation control. Soil Tillage Res. 2015, 148, 40–45. [Google Scholar] [CrossRef]
  33. Yan, Q.Y.; Yang, F.; Dong, F.; Lu, J.X.; Li, F.; Duan, Z.Q.; Zhang, J.C.; Lou, G. Yield loss compensation effect and water use efficiency of winter wheat under double-blank row mulching and limited irrigation in northern China. Field Crops Res. 2018, 216, 63–74. [Google Scholar] [CrossRef]
  34. Ma, J.T.; Chen, H.B.; Chen, Y.Z.; Li, Y.W.; Lan, X.M.; Li, R.; Chai, Y.W.; Chang, L.; Chai, S.X. Effects of different mulching practices on soil water consumption and potato tuber yield in dryland farming. Chin. J. Ecol. 2020, 39, 2242–2250. [Google Scholar] [CrossRef]
  35. Abedinpour, M.; Sarangi, A.; Rajput, T.B.S.; Singh, M.; Pathak, H.; Ahmad, T. Performance evaluation of AquaCrop model for maize crop in a semi-arid environment. Agric. Water Manag. 2012, 110, 55–66. [Google Scholar] [CrossRef]
  36. Wu, C.H.; Pu, X.K.; Zhou, Y.J.; Mian, Y.P.; Miao, F.F.; Li, R. Effects of ridge-and-furrow rainwater harvesting with mulching on soil water-heat-fertility and potato yield in arid areas of southern Ningxia. Acta Agron. Sin. 2021, 47, 2208–2219. [Google Scholar] [CrossRef]
  37. Yang, J.X.; Zhang, H.Y.; Lin, Y.P.; Wu, L.K.; Wu, G.P. Discussion on the relationship between soil temperature fluctuation and potato tuber development. Shaanxi J. Agric. Sci. 2007, 53, 131–133. [Google Scholar] [CrossRef]
Figure 1. Monthly precipitation and mean daily air temperature throughout the potato growing season.
Figure 1. Monthly precipitation and mean daily air temperature throughout the potato growing season.
Water 15 03971 g001
Figure 2. Schematic diagram of potato field planting.
Figure 2. Schematic diagram of potato field planting.
Water 15 03971 g002
Figure 3. Soil temperature in different growth stages. SD: seedling stage; BP: budding stage; TB: tuber bulking stage; SA: starch accumulation stage. Different lowercase letters above the bars indicate significant differences among the treatments at p < 0.05.
Figure 3. Soil temperature in different growth stages. SD: seedling stage; BP: budding stage; TB: tuber bulking stage; SA: starch accumulation stage. Different lowercase letters above the bars indicate significant differences among the treatments at p < 0.05.
Water 15 03971 g003
Figure 4. Diurnal variation in soil temperature at different growth stages. SD: seedling stage; BP: budding stage; TB: tuber bulking stage; SA: starch accumulation stage. SMLu: planting zone; SMLd: mulching zone.
Figure 4. Diurnal variation in soil temperature at different growth stages. SD: seedling stage; BP: budding stage; TB: tuber bulking stage; SA: starch accumulation stage. SMLu: planting zone; SMLd: mulching zone.
Water 15 03971 g004
Figure 5. Soil water storage in different soil layers at various growth stages. SD: seedling stage; BP: budding stage; TB: tuber bulking stage; SA: starch accumulation stage. Different lowercase letters above the bars indicate significant differences among the treatments at p < 0.05.
Figure 5. Soil water storage in different soil layers at various growth stages. SD: seedling stage; BP: budding stage; TB: tuber bulking stage; SA: starch accumulation stage. Different lowercase letters above the bars indicate significant differences among the treatments at p < 0.05.
Water 15 03971 g005
Figure 6. Water consumption in different growth periods. SW-SD indicates from the sowing to the seedling stage; SD-BP indicates from the seedling stage to the budding stage; and BP-MA indicates the budding to the maturity stage. Different lowercase letters above the bars indicate significant differences among the treatments at p < 0.05.
Figure 6. Water consumption in different growth periods. SW-SD indicates from the sowing to the seedling stage; SD-BP indicates from the seedling stage to the budding stage; and BP-MA indicates the budding to the maturity stage. Different lowercase letters above the bars indicate significant differences among the treatments at p < 0.05.
Water 15 03971 g006
Figure 7. Tuber yield and water use efficiency of potato. *, significant at p < 0.05; ns, not significant.
Figure 7. Tuber yield and water use efficiency of potato. *, significant at p < 0.05; ns, not significant.
Water 15 03971 g007
Figure 8. Correlation analysis between tuber yield, WUE, soil water, and soil temperature. * and ** indicate significant correlation at the 0.05 and 0.01 probability levels, respectively. X1 is the tuber yield; X2 is the water use efficiency; X3–X6 refers to the average soil temperature in 0–25 cm layer at the seedling stage, budding stage, tuber bulking stage, and starch accumulation stage; X7–X10 refers to the water consumption from the sowing to the budding stage, the budding stage to the tuber bulking stage, the tuber bulking to the maturity stage, and the total water consumption; X11–X13 refers to soil water storage at 0–180 cm layer at the budding stage, tuber bulking stage, and starch accumulation stage.
Figure 8. Correlation analysis between tuber yield, WUE, soil water, and soil temperature. * and ** indicate significant correlation at the 0.05 and 0.01 probability levels, respectively. X1 is the tuber yield; X2 is the water use efficiency; X3–X6 refers to the average soil temperature in 0–25 cm layer at the seedling stage, budding stage, tuber bulking stage, and starch accumulation stage; X7–X10 refers to the water consumption from the sowing to the budding stage, the budding stage to the tuber bulking stage, the tuber bulking to the maturity stage, and the total water consumption; X11–X13 refers to soil water storage at 0–180 cm layer at the budding stage, tuber bulking stage, and starch accumulation stage.
Water 15 03971 g008
Disclaimer/Publisher’s Note: The statements, opinions and data contained in all publications are solely those of the individual author(s) and contributor(s) and not of MDPI and/or the editor(s). MDPI and/or the editor(s) disclaim responsibility for any injury to people or property resulting from any ideas, methods, instructions or products referred to in the content.

Share and Cite

MDPI and ACS Style

Zhao, D.; Ma, J.; Cui, X.; Hu, L.; Wang, Z.; Chang, L.; Huang, C. Effects of Partial Straw Mulching on Potato Production under Different Rainfall Years in Dry-Farming Region. Water 2023, 15, 3971. https://doi.org/10.3390/w15223971

AMA Style

Zhao D, Ma J, Cui X, Hu L, Wang Z, Chang L, Huang C. Effects of Partial Straw Mulching on Potato Production under Different Rainfall Years in Dry-Farming Region. Water. 2023; 15(22):3971. https://doi.org/10.3390/w15223971

Chicago/Turabian Style

Zhao, Deming, Juhua Ma, Xunzhen Cui, Liangliang Hu, Zeyi Wang, Lei Chang, and Caixia Huang. 2023. "Effects of Partial Straw Mulching on Potato Production under Different Rainfall Years in Dry-Farming Region" Water 15, no. 22: 3971. https://doi.org/10.3390/w15223971

APA Style

Zhao, D., Ma, J., Cui, X., Hu, L., Wang, Z., Chang, L., & Huang, C. (2023). Effects of Partial Straw Mulching on Potato Production under Different Rainfall Years in Dry-Farming Region. Water, 15(22), 3971. https://doi.org/10.3390/w15223971

Note that from the first issue of 2016, this journal uses article numbers instead of page numbers. See further details here.

Article Metrics

Back to TopTop