Bayesian Optimization for Contamination Source Identification in Water Distribution Networks
Abstract
:1. Background
2. Literature Review
3. Study Contributions
4. Methodology
4.1. Problem Formulation and CSI Framework
4.2. Bayesian Optimization
4.2.1. Probabilistic Surrogate Model
Gaussian Process Regression
Random Forest Regression
4.2.2. Acquisition Function
Probability of Improvement
Expected Improvement
Upper Confidence Bound
4.3. Case Study
5. Results and Discussion
5.1. Sensitivity Analysis and Hyperparameter Tuning
5.1.1. Choice of the GP Covariance Kernel Function
5.1.2. Number of Initial Evaluations
5.1.3. Choice of the Surrogate Model and Acquisition Function
5.2. Influence of Pattern, Location, and Number of Sources
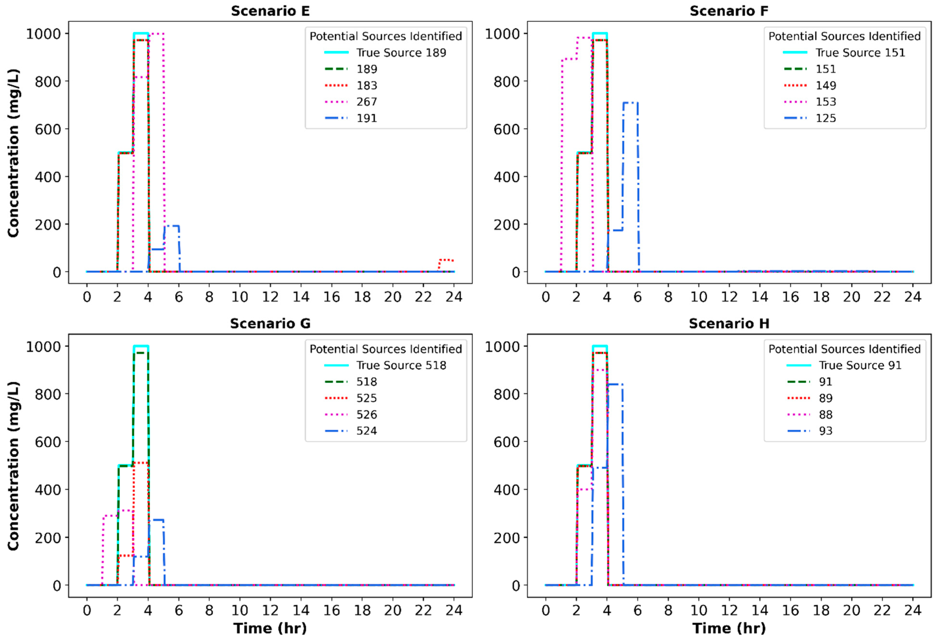
5.2.1. Continuous Injection
5.2.2. Non-Uniform Contaminant Injection
5.2.3. Multiple Injection Locations
5.3. Influence of Measurement Uncertainty and Contaminant Reaction
5.4. Limitations and Recommendations for Further Development
6. Conclusions
Author Contributions
Funding
Data Availability Statement
Acknowledgments
Conflicts of Interest
References
- Abokifa, A.A.; Sela, L. Identification of spatial patterns in water distribution pipe failure data using spatial autocorrelation analysis. J. Water Resour. Plan. Manag. 2019, 145, 04019057. [Google Scholar] [CrossRef]
- Bello, O.; Abu-Mahfouz, A.M.; Hamam, Y.; Page, P.R.; Adedeji, K.B.; Piller, O. Solving management problems in water distribution networks: A survey of approaches and mathematical models. Water 2019, 11, 562. [Google Scholar] [CrossRef]
- Menapace, A.; Zanfei, A.; Felicetti, M.; Avesani, D.; Righetti, M.; Gargano, R. Burst detection in water distribution systems: The issue of dataset collection. Appl. Sci. 2020, 10, 8219. [Google Scholar] [CrossRef]
- Taha, A.F.; Wang, S.; Guo, Y.; Summers, T.H.; Gatsis, N.; Giacomoni, M.H.; Abokifa, A.A. Revisiting the water quality sensor placement problem: Optimizing network observability and state estimation metrics. J. Water Resour. Plan. Manag. 2021, 147, 04021040. [Google Scholar] [CrossRef]
- Tryby, M.E.; Propato, M.; Ranjithan, S.R. Monitoring Design for Source Identification in Water Distribution Systems. J. Water Resour. Plan. Manag. 2010, 136, 637–646. [Google Scholar] [CrossRef]
- Aral, M.M.; Guan, J.; Maslia, M.L. Optimal Design of Sensor Placement in Water Distribution Networks. J. Water Resour. Plan. Manag. 2010, 136, 5–18. [Google Scholar] [CrossRef]
- Krause, A.; Leskovec, J.; Guestrin, C.; VanBriesen, J.; Faloutsos, C. Efficient Sensor Placement Optimization for Securing Large Water Distribution Networks. J. Water Resour. Plan. Manag. 2008, 134, 516–526. [Google Scholar] [CrossRef]
- Preis, A.; Ostfeld, A. Multiobjective Contaminant Sensor Network Design for Water Distribution Systems. J. Water Resour. Plan. Manag. 2008, 134, 366–377. [Google Scholar] [CrossRef]
- Xu, J.; Fischbeck, P.S.; Small, M.J.; VanBriesen, J.M.; Casman, E. Identifying Sets of Key Nodes for Placing Sensors in Dynamic Water Distribution Networks. J. Water Resour. Plan. Manag. 2008, 134, 378–385. [Google Scholar] [CrossRef]
- Propato, M.; Tryby, M.E.; Piller, O. Linear algebra analysis for contaminant source identification in water distribution systems. In Proceedings of the World Environmental and Water Resources Congress 2007: Restoring Our Natural Habitat, 2007 ASCE, Tampa, FL, USA, 15–19 May 2007; pp. 1–10. [Google Scholar]
- Yang, X.; Boccelli, D.L. Bayesian Approach for Real-Time Probabilistic Contamination Source Identification. J. Water Resour. Plan. Manag. 2014, 140, 04014019. [Google Scholar] [CrossRef]
- Laird, C.D.; Biegler, L.T.; van Bloemen Waanders, B.G.; Bartlett, R.A. Contamination Source Determination for Water Networks. J. Water Resour. Plan. Manag. 2005, 131, 125–134. [Google Scholar] [CrossRef]
- Guan, J.; Aral, M.M.; Maslia, M.L.; Grayman, W.M. Identification of Contaminant Sources in Water Distribution Systems Using Simulation–Optimization Method: Case Study. J. Water Resour. Plan. Manag. 2006, 132, 252–262. [Google Scholar] [CrossRef]
- Preis, A.; Ostfeld, A. Contamination Source Identification in Water Systems: AHybrid Model Trees–Linear Programming Scheme. J. Water Resour. Plan. Manag. 2006, 132, 263–273. [Google Scholar] [CrossRef]
- De Sanctis, A.E.; Shang, F.; Uber, J.G. Real-Time Identification of Possible Contamination Sources Using Network Backtracking Methods, J. Water Resour. Plan. Manag. 2010, 136, 444–453. [Google Scholar]
- Berglund, E.Z.; Pesantez, J.E.; Rasekh, A.; Shafiee, M.E.; Sela, L.; Haxton, T. Review of Modeling Methodologies for Managing Water Distribution Security, J. Water Resour. Plan. Manag. 2020, 146, 03120001. [Google Scholar]
- Liu, L.; Ranjithan, S.R.; Mahinthakumar, G. Contamination Source Identification in Water Distribution Systems Using an Adaptive Dynamic Optimization Procedure. J. Water Resour. Plan. Manag. 2011, 137, 183–192. [Google Scholar] [CrossRef]
- Hu, C.; Zhao, J.; Yan, X.; Zeng, D.; Guo, S. A MapReduce based Parallel Niche Genetic Algorithm for contaminant source identification in water distribution network. Ad Hoc Netw. 2015, 35, 116–126. [Google Scholar] [CrossRef]
- Grbčić, L.; Lučin, I.; Kranjčević, L.; Družeta, S. Water supply network pollution source identification by random forest algorithm. J. Hydroinform. 2020, 22, 1521–1535. [Google Scholar] [CrossRef]
- Seth, A.; Klise, K.A.; Siirola, J.D.; Haxton, T.; Laird, C.D. Testing Contamination Source Identification Methods for Water Distribution Networks. J. Water Resour. Plan. Manag. 2016, 142, 04016001. [Google Scholar] [CrossRef]
- Rossman, L.A. EPANET 2 Users Manual EPA/600/R-00/57; United States Environmental Protection Agency: Cincinnati, OH, USA, 2000.
- Archetti, F.; Candelieri, A. Bayesian Optimization and Data Science; Springer: Berlin/Heidelberg, Germany, 2019. [Google Scholar]
- Frazier, P.I. A Tutorial on Bayesian Optimization. arXiv 2018, arXiv:1807.02811. [Google Scholar]
- Shahriari, B.; Swersky, K.; Wang, Z.; Adams, R.P.; De Freitas, N. Taking the human out of the loop: A review of Bayesian optimization. Proc. IEEE. 2016, 104, 148–175. [Google Scholar] [CrossRef]
- Chen, Y.; Huang, A.; Wang, Z.; Antonoglou, I.; Schrittwieser, J.; Silver, D.; de Freitas, N. Bayesian Optimization in AlphaGo. arXiv 2018, arXiv:1812.06855. [Google Scholar]
- Nguyen, V.; Osborne, M.A. Knowing the what but not the where in Bayesian optimization. In Proceedings of the 37th International Conference on Machine Learning, PMLR, Virtual, 13–18 July 2020; Volume 119, pp. 7317–7326. [Google Scholar]
- Pelikan, M.; Goldberg, D.; Cantu-Paz, E. BOA: The Bayesian Optimization Algorithm (IlliGAL Report No. 99003); University of Illinois at Urbana-Champaign: Urbana, IL, USA, 1999. [Google Scholar]
- Snoek, J.; Larochelle, H.; Adams, R.P. Practical Bayesian optimization of machine learning algorithms. Adv. Neural Inf. Process. Syst. 2012, 4, 2951–2959. [Google Scholar]
- Frazier, P.I.; Wang, J. Bayesian Optimization for Materials Design; Springer Series in Materials Science; Springer: Berlin/Heidelberg, Germany, 2015; pp. 45–75. [Google Scholar]
- Nogueira, J.; Martinez-Cantin, R.; Bernardino, A.; Jamone, L. Unscented Bayesian optimization for safe robot grasping. In Proceedings of the 2016 IEEE/RSJ International Conference on Intelligent Robots and Systems (IROS), Daejeon, Republic of Korea, 9–14 October 2016; pp. 1967–1972. [Google Scholar]
- Pyzer-Knapp, E.O. Bayesian optimization for accelerated drug discovery. IBM J. Res. Dev. 2018, 62, 1–7. [Google Scholar] [CrossRef]
- Klise, K.; Hart, D.; Bynum, M.; Hogge, J. Water Network Tool for Resilience (WNTR) User Manual; U.S. Environmental Protection Agency: Washington, DC, USA, 2017.
- Jiménez, J.; Ginebra, J. pyGPGO: Bayesian Optimization for Python. J. Open Source Softw. 2017, 2, 431. [Google Scholar] [CrossRef]
- Coello Coello, C.A. (Ed.) Learning and Intelligent Optimization; Lecture Notes in Computer Science; Springer: Berlin/Heidelberg, Germany, 2011. [Google Scholar]
- Candelieri, A.; Perego, R.; Archetti, F. Bayesian optimization of pump operations in water distribution systems. J. Glob. Optim. 2018, 71, 213–235. [Google Scholar] [CrossRef]
- Melkumyan, A.; Nettleton, E. An observation angle dependent nonstationary covariance function for Gaussian process regression. In Neural Information Processing: 16th International Conference, ICONIP 2009, Bangkok, Thailand, 1–5 December 2009, Proceedings, Part I 16; Lecture Notes in Computer Science (Including Subseries Lecture Notes in Artificial Intelligence and Lecture Notes in Bioinformatics); Springer: Berlin/Heidelberg, Germany, 2009; pp. 331–339. [Google Scholar]
- Han, J.; Kamber, M.; Pei, J. Data Mining: Concepts and Techniques; Classification Basic Concepts 8; Elsevier Science: Amsterdam, The Netherlands, 2012. [Google Scholar]
- Hastie, T.; Tibshirani, R.; Friedman, J. The Elements of Statistical Learning; Springer Series in Statistics; Springer: New York, NY, USA, 2009. [Google Scholar]
- Jones, D.R. ATaxonomy of Global Optimization Methods Based on Response Surfaces. J. Glob. Optim. 2001, 21, 345–383. [Google Scholar] [CrossRef]
- Agrawal, T. Hyperparameter Optimization in Machine Learning: Make Your Machine Learning and Deep Learning Models More Efficient; Apress: Bangalore, India, 2021. [Google Scholar]
- Auer, P. Using Confidence Bounds for Exploitation-Exploration Trade-offs. J. Mach. Learn. Res. 2002, 3, 26. [Google Scholar]
- Kaufmann, E.; Cappé, O.; Garivier, A. On Bayesian upper confidence bounds for bandit problems. J. Mach. Learn. Res. 2012, 22, 592–600. [Google Scholar]
- Preis, A.; Ostfeld, A. Genetic algorithm for contaminant source characterization using imperfect sensors. Civ. Eng. Environ. Syst. 2008, 25, 29–39. [Google Scholar] [CrossRef]
- Moeini, M.; Sela, L.; Taha, A.F.; Abokifa, A.A. Bayesian Optimization of Booster Disinfection Scheduling in Water Distribution Networks. Water Res. 2023, 242, 120117. [Google Scholar] [CrossRef] [PubMed]
- Hart, D.; Rodriguez, J.S.; Burkhardt, J.; Borchers, B.; Laird, C.; Murray, R.; Klise, K.; Haxton, T. Quantifying Hydraulic Water Quality Uncertainty to Inform Sampling of Drinking Water Distribution Systems. J. Water Resour. Plan. Manag. 2019, 145, 04018084. [Google Scholar] [CrossRef] [PubMed]
- Abokifa, A.A.; Xing, L.; Sela, L. Investigating the impacts of water conservation on water quality in distribution networks using an advection-dispersion transport model. Water 2020, 12, 1033. [Google Scholar] [CrossRef]
- Abokifa, A.A.; Maheshwari, A.; Gudi, R.D.; Biswas, P. Influence of dead-end sections of drinking water distribution networks on optimization of booster chlorination systems. J. Water Resour. Plan. Manag. 2019, 145, 04019053. [Google Scholar] [CrossRef]
- Wang, S.; Taha, A.F.; Abokifa, A.A. How effective is model predictive control in real-time water quality regulation? State-space modeling and scalable control. Water Resour. Res. 2021, 57, e2020WR027771. [Google Scholar] [CrossRef]
- Maheshwari, A.; Abokifa, A.A.; Gudi, R.D.; Biswas, P. Coordinated decentralization-based optimization of disinfectant dosing in large-scale water distribution networks. J. Water Resour. Plan. Manag. 2018, 144, 04018066. [Google Scholar] [CrossRef]
- Maheshwari, A.; Abokifa, A.; Gudi, R.D.; Biswas, P. Optimization of disinfectant dosage for simultaneous control of lead and disinfection-byproducts in water distribution networks. J. Environ. Manag. 2020, 276, 111186. [Google Scholar] [CrossRef]













| Simulation Parameter | Net3 Value(s) | Richmond WDS Value(s) |
|---|---|---|
| Simulation duration (h) | 24 | 48 |
| Hydraulic time step (h) | 1 | 1 |
| Number of water sources | 2 | 1 |
| Number of pumps | 2 | 7 |
| Water quality time step (min) | 5 | 5 |
| Number of tanks | 3 | 6 |
| Reporting time step (min) | 5 | 5 |
| Number of nodes | 92 | 865 |
| Number of pipes | 117 | 949 |
| Injection Pattern | Scenario | Water Network | Injection Location |
|---|---|---|---|
| 1 | A | Net3 | 189 |
| B | Net3 | 151 | |
| C | Richmond | 518 | |
| D | Richmond | 91 | |
| 2 | E | Net3 | 189 |
| F | Net3 | 151 | |
| G | Richmond | 518 | |
| H | Richmond | 91 | |
| 3 | J | Net3 | 151,189 |
| K | Richmond | 91,518 |
| Surrogate Model | Acquisition Function | Concentration (mg/L) | Start Time (a.m.) | End Time (a.m.) | Best Objective Value | Total Runtime (min/node) |
|---|---|---|---|---|---|---|
| GP | EI | 750.5 | 1.87 | 4.39 | 27.361 | 7.78 |
| POI | 972.3 | 1.98 | 4.19 | 14.581 | 8.31 | |
| UCB | 973.1 | 1.89 | 4.10 | 13.671 | 15.68 | |
| RF | EI | 1000.7 | 2.00 | 4.00 | 0.195 | 3.33 |
| POI | 998.8 | 2.00 | 4.00 | 0.274 | 3.40 | |
| UCB | 1000.7 | 2.00 | 4.00 | 0.195 | 3.03 |
| Scenario A Results | Scenario B Results | Scenario C Results | Scenario D Results | ||||
|---|---|---|---|---|---|---|---|
| Predicted Injection Node ID | Achieved Objective Function | Predicted Injection Node ID | Achieved Objective Function | Predicted Injection Node ID | Achieved Objective Function | Predicted Injection Node ID | Achieved Objective Function |
| 189 | 0.195 | 151 | 1.3 | 518 | 0.716 | 91 | 0.786 |
| 183 | 5.48 | 149 | 4.62 | 525 | 8.63 | 89 | 3.37 |
| Scenario E Results | Scenario F Results | Scenario G Results | Scenario H Results | ||||||||
|---|---|---|---|---|---|---|---|---|---|---|---|
| PSN | SOFV | FOFV | PSN | SOFV | FOFV | PSN | SOFV | FOFV | PSN | SOFV | FOFV |
| 189 | 435.06 | 2.19 | 151 | 1007.31 | 2.07 | 518 | 120.76 | 2.10 | 91 | 395.13 | 2.08 |
| 183 | 441.51 | 7.92 | 149 | 1008.22 | 6.17 | 526 | 151.14 | 9.27 | 89 | 394.00 | 5.03 |
| Scenario Results | Candidate Combination Nodes | Concentration 1 and 2 (mg/L) | Start Time (h) | End Time (h) | Concentration 2 (mg/L) | Objective Function Value | |
|---|---|---|---|---|---|---|---|
| J | 151 | 189 | 1000 | 2 | 4 | 670 | 6.34 |
| 151 | 183 | 1000 | 2 | 4 | 700 | 6.93 | |
| 151 | 267 | 1000 | 2 | 4 | 760 | 8.61 | |
| 151 | 193 | 1000 | 2 | 4 | 840 | 10.28 | |
| 149 | 189 | 1000 | 2 | 4 | 860 | 11.99 | |
| K | 91 | 518 | 1000 | 2 | 4 | 610 | 5.44 |
| 91 | 522 | 1000 | 2 | 4 | 670 | 6.47 | |
| 91 | 525 | 1000 | 2 | 4 | 860 | 7.83 | |
| 89 | 518 | 1000 | 2 | 4 | 864 | 8.51 | |
| 91 | 85 | 1000 | 2 | 3 | 220 | 12.97 | |
Disclaimer/Publisher’s Note: The statements, opinions and data contained in all publications are solely those of the individual author(s) and contributor(s) and not of MDPI and/or the editor(s). MDPI and/or the editor(s) disclaim responsibility for any injury to people or property resulting from any ideas, methods, instructions or products referred to in the content. |
© 2023 by the authors. Licensee MDPI, Basel, Switzerland. This article is an open access article distributed under the terms and conditions of the Creative Commons Attribution (CC BY) license (https://creativecommons.org/licenses/by/4.0/).
Share and Cite
Alnajim, K.; Abokifa, A.A. Bayesian Optimization for Contamination Source Identification in Water Distribution Networks. Water 2024, 16, 168. https://doi.org/10.3390/w16010168
Alnajim K, Abokifa AA. Bayesian Optimization for Contamination Source Identification in Water Distribution Networks. Water. 2024; 16(1):168. https://doi.org/10.3390/w16010168
Chicago/Turabian StyleAlnajim, Khalid, and Ahmed A. Abokifa. 2024. "Bayesian Optimization for Contamination Source Identification in Water Distribution Networks" Water 16, no. 1: 168. https://doi.org/10.3390/w16010168
APA StyleAlnajim, K., & Abokifa, A. A. (2024). Bayesian Optimization for Contamination Source Identification in Water Distribution Networks. Water, 16(1), 168. https://doi.org/10.3390/w16010168

