Effect of the Likelihood Function on the Calibration of the Effective Manning Roughness Factor
Abstract
1. Introduction
2. Materials and Methods
2.1. Studied Site
2.2. Studied Available Data
2.3. GLUE Test
- Select the model parameter for calibration: the Manning roughness factor for the main channel.
- Choose a formal definition of likelihood. This function reflects how well the simulated results predict observations [27]. The functions used in this study are explained in the section titled “Likelihood Function”.
- Select the distribution of the parameter to be varied. In cases of limited knowledge, it is advisable to use a uniform distribution [1,27]. The roughness range for the cascade and plane bed is set at 0.03–0.5, whereas in the step pool, the range is expanded to 0.03–0.7, as the previous range was insufficient.
- Perform multiple simulations using the parameter sets within the chosen range. Each simulation is assigned a likelihood value. In this study, 20,000 runs were conducted for the three morphologies, with model outputs compared to water depth observations at three staff gauges (step pool and plane bed) and five staff gauges (cascade). An iterative process was implemented in the HEC-RAS controller using Visual Basic for Excel® based on the code provided by Goodell [28]. Simulations with high likelihood values were retained. In this context, the separation between behavioral and non-behavioral models was achieved using a cutoff threshold (see Section CUTOFF Threshold).
2.4. Likelihood Function
2.4.1. First Likelihood Function: RMSEa
2.4.2. Second Likelihood Function: MAEa
2.4.3. Third Likelihood Function: MAEUa
2.5. CUTOFF Threshold
2.6. HEC-RAS
3. Results
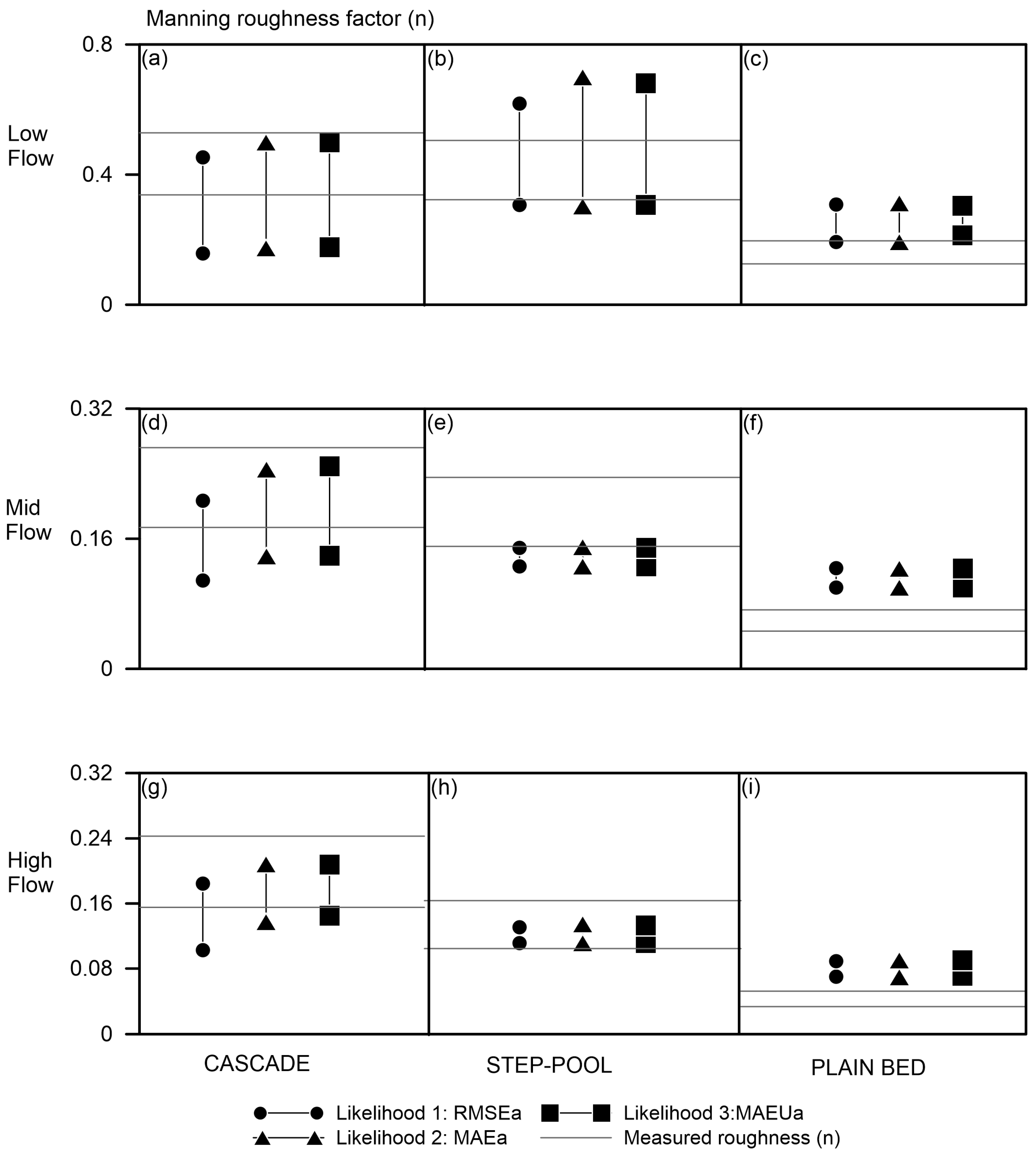
3.1. Effective Manning Rougheness Factor Range
3.2. EMRF Limits
3.3. EMRF and Measured Roughness Factor
4. Discussion
4.1. EMRF Range
4.2. EMRF Limits
4.3. EMRF and MR
4.4. Comparison with the Literature Review
5. Conclusions
Author Contributions
Funding
Data Availability Statement
Conflicts of Interest
References
- Pappenberger, F.; Beven, K.; Horritt, M.; Blazkova, S. Uncertainty in the Calibration of Effective Roughness Parameters in HEC-RAS Using Inundation and Downstream Level Observations. J. Hydrol. 2005, 302, 46–69. [Google Scholar] [CrossRef]
- Teng, J.; Jakeman, A.J.; Vaze, J.; Croke, B.F.W.; Dutta, D.; Kim, S. Flood Inundation Modelling: A Review of Methods, Recent Advances and Uncertainty Analysis. Environ. Model. Softw. 2017, 90, 201–216. [Google Scholar] [CrossRef]
- Bhola, P.K.; Leandro, J.; Disse, M. Reducing Uncertainty Bounds of Two-Dimensional Hydrodynamic Model Output by Constraining Model Roughness. Nat. Hazards Earth Syst. Sci. 2019, 19, 1445–1457. [Google Scholar] [CrossRef]
- Cook, A.; Merwade, V. Effect of Topographic Data, Geometric Configuration and Modeling Approach on Flood Inundation Mapping. J. Hydrol. 2009, 377, 131–142. [Google Scholar] [CrossRef]
- Papaioannou, G.; Vasiliades, L.; Loukas, A.; Aronica, G.T. Probabilistic Flood Inundation Mapping at Ungauged Streams Due to Roughness Coefficient Uncertainty in Hydraulic Modelling. Adv. Geosci. 2017, 44, 23–34. [Google Scholar] [CrossRef]
- Morvan, H.; Knight, D.; Wright, N.; Tang, X.; Crossley, A. The Concept of Roughness in Fluvial Hydraulics and Its Formulation in 1D, 2D and 3D Numerical Simulation Models. J. Hydraul. Res. 2008, 46, 191–208. [Google Scholar] [CrossRef]
- Jung, Y.; Merwade, V. Uncertainty Quantification in Flood Inundation Mapping Using Generalized Likelihood Uncertainty Estimate and Sensitivity Analysis. J. Hydrol. Eng. 2012, 17, 507–520. [Google Scholar] [CrossRef]
- Chowdhury, A.; Egodawatta, P. Automatic Model Calibration of Combined Hydrologic, Hydraulic and Stormwater Quality Models Using Approximate Bayesian Computation. Water Sci. Technol. 2022, 86, 321–332. [Google Scholar] [CrossRef]
- Yarahmadi, M.B.; Parsaie, A.; Shafai-Bejestan, M.; Heydari, M.; Badzanchin, M. Estimation of Manning Roughness Coefficient in Alluvial Rivers with Bed Forms Using Soft Computing Models. Water Resour. Manag. 2023, 37, 3563–3584. [Google Scholar] [CrossRef]
- Li, Z.; Yang, T.; Zhang, N.; Zhang, Y.; Wang, J.; Xu, C.-Y.; Shi, P.; Qin, Y. Understanding the Impacts Induced by Cut-off Thresholds and Likelihood Measures on Confidence Interval When Applying GLUE Approach. Stoch. Environ. Res. Risk Assess. 2022, 36, 1215–1241. [Google Scholar] [CrossRef]
- Aronica, G.; Hankin, B.; Beven, K. Uncertainty and Equifinality in Calibrating Distributed Roughness Coefficients in a Flood Propagation Model with Limited Data. Adv. Water Resour. 1998, 22, 349–365. [Google Scholar] [CrossRef]
- Aronica, G.; Bates, P.D.; Horritt, M.S. Assessing the Uncertainty in Distributed Model Predictions Using Observed Binary Pattern Information within GLUE. Hydrol. Process. 2002, 16, 2001–2016. [Google Scholar] [CrossRef]
- Blasone, R.S.; Vrugt, J.A.; Madsen, H.; Rosbjerg, D.; Robinson, B.A.; Zyvoloski, G.A. Generalized Likelihood Uncertainty Estimation (GLUE) Using Adaptive Markov Chain Monte Carlo Sampling. Adv. Water Resour. 2008, 31, 630–648. [Google Scholar] [CrossRef]
- Bozzi, S.; Passoni, G.; Bernardara, P.; Goutal, N.; Arnaud, A. Roughness and Discharge Uncertainty in 1D Water Level Calculations. Environ. Model. Assess. 2015, 20, 343–353. [Google Scholar] [CrossRef]
- Werner, M.G.F.; Hunter, N.M.; Bates, P.D. Identifiability of Distributed Floodplain Roughness Values in Flood Extent Estimation. J. Hydrol. 2005, 314, 139–157. [Google Scholar] [CrossRef]
- Reis, G. da C. dos; Pereira, T.S.R.; Faria, G.S.; Formiga, K.T.M. Analysis of the Uncertainty in Estimates of Manning’s Roughness Coefficient and Bed Slope Using GLUE and DREAM. Water 2020, 12, 3270. [Google Scholar] [CrossRef]
- Cu Thi, P.; Ball, J.E.; Dao, N.H. Uncertainty Estimation Using the Glue and Bayesian Approaches in Flood Estimation: A Case Study—Ba River, Vietnam. Water 2018, 10, 1641. [Google Scholar] [CrossRef]
- Mishra, A.A.; Mukhopadhaya, J.; Iaccarino, G.; Alonso, J. Uncertainty Estimation Module for Turbulence Model Predictions in SU2. AIAA J. 2019, 57, 1066–1077. [Google Scholar] [CrossRef]
- Cedillo, S.; Sánchez-Cordero, E.; Timbe, L.; Samaniego, E.; Alvarado, A. Resistance Analysis of Morphologies in Headwater Mountain Streams. Water 2021, 13, 2207. [Google Scholar] [CrossRef]
- Cedillo, S.; Sánchez-Cordero, E.; Timbe, L.; Samaniego, E.; Alvarado, A. Patterns of Difference between Physical and 1-D Calibrated Effective Roughness Parameters in Mountain Rivers. Water 2021, 13, 3202. [Google Scholar] [CrossRef]
- Lee, A.J.; Ferguson, R.I. Velocity and Flow Resistance in Step-Pool Streams. Geomorphology 2002, 46, 59–71. [Google Scholar] [CrossRef]
- Hudson, R.; Fraser, J. Introduction to Salt Dilution Gauging for Streamflow Measurement, Part IV: The Mass Balance (or Dry Injection) Method. Streamline Watershed Manag. Bull. 2005, 9, 6–12. [Google Scholar]
- Nitsche, M.; Rickenmann, D.; Kirchner, J.W.; Turowski, J.M.; Badoux, A. Macroroughness and Variations in Reach-Averaged Flow Resistance in Steep Mountain Streams. Water Resour. Res. 2012, 48, W12518. [Google Scholar] [CrossRef]
- David, G.C.L.; Wohl, E.; Yochum, S.E.; Bledsoe, B.P. Controls on Spatial Variations in Flow Resistance along Steep Mountain Streams. Water Resour. Res. 2010, 46, W03513. [Google Scholar] [CrossRef]
- Bunte, K.; Abt, S.R. Sampling Surface and Subsurface Particle-Size Distributions in Wadable Gravel- and Cobble-Bed Streams for Analyses in Sediment Transport, Hydraulics, and Streambed Monitoring; US Department of Agriculture, Forest Service, Rocky Mountain Research Station: Fort Collins, CO, USA, 2001; ISBN RMRS-GTR-74. [Google Scholar]
- Comiti, F.; Cadol, D.; Wohl, E. Flow Regimes, Bed Morphology, and Flow Resistance in Self-Formed Step-Pool Channels. Water Resour. Res. 2009, 45, W04424. [Google Scholar] [CrossRef]
- Beven, K.; Binley, A. The Future of Distributed Models: Model Calibration and Uncertainty Prediction. Hydrol. Process. 1992, 6, 279–298. [Google Scholar] [CrossRef]
- Goodell, C. Breaking the HEC-RAS Code: A User’s Guide to Automating HEC-RAS; h2ls: Portland, OR, USA, 2014. [Google Scholar]
- Chai, T.; Draxler, R.R. Root Mean Square Error (RMSE) or Mean Absolute Error (MAE)?—Arguments against Avoiding RMSE in the Literature. Geosci. Model Dev. 2014, 7, 1247–1250. [Google Scholar] [CrossRef]
- Curran, J.H.; Wohl, E.E. Large Woody Debris and Flow Resistance in Step-Pool Channels, Cascade Range, Washington. Geomorphology 2003, 51, 141–157. [Google Scholar] [CrossRef]
- Wohl, E. Mountain Rivers; American Geophysical Union: Washington, DC, USA, 2000; Volume 14, ISBN 0-87590-318-5. [Google Scholar]
- Montgomery, D.R.; Buffington, J.M. Channel-Reach Morphology in Mountain Drainage Basins. Geol. Soc. Am. Bull. 1997, 109, 596–611. [Google Scholar] [CrossRef]
- Horritt, M.S.; Bates, P.D. Evaluation of 1D and 2D Numerical Models for Predicting River Flood Inundation. J. Hydrol. 2002, 268, 87–99. [Google Scholar] [CrossRef]






| Reach | Length (m) | Slope (%) | D84 (m) |
|---|---|---|---|
| Cascade 3 | 18.08 | 8.5 | 316.5 × 10−3 |
| Step pool 1 | 12.22 | 6.1 | 251.2 × 10−3 |
| Plane bed 1 | 6.26 | 3.16 | 218.8 × 10−3 |
| Variable | Instrument | Methodology | Reference |
|---|---|---|---|
| Topography | Total station/Differential GPS | Point surveying of different cross-sections at the studied reaches | [20] |
| Water levels | Staff gauges | Measurement of water depth with a measuring tape in Staff gauges | [20] |
| Wetted width | Measuring tape | Measuring the water surface width excluding any protruding boulder width | [21] |
| Flow | HOBO U24-00 freshwater conductivity data loggers | Dilution gauging method | [22] |
| Velocity | Two HOBO U24-00 freshwater conductivity data loggers | U = L T-1, L is the distance between two instruments, T is the travel time estimated through the Harmonic method | [23] |
| Friction Slope | Staff gauges | Approximation through water surface slope using the measured staff gauges reads | [24] |
| Bed material size distribution | Sampling frame/Pebble-box | Pebble counting | [25] |
| Roughness parameter | Indirect determination | Darcy–Weisbach or Manning resistance equation | [26] |
| Likelihood\Flow Magnitude | Cascade | Step Pool | Plane Bed | ||||||
|---|---|---|---|---|---|---|---|---|---|
| Low | Moderate | High | Low | Moderate | High | Low | Moderate | High | |
| L1: RMSEa | 0.296 | 0.098 | 0.082 | 0.311 | 0.023 | 0.019 | 0.115 | 0.024 | 0.019 |
| L2: MAEa | 0.326 | 0.107 | 0.071 | 0.398 | 0.024 | 0.023 | 0.119 | 0.023 | 0.021 |
| L3: MAEUa | 0.323 | 0.110 | 0.063 | 0.373 | 0.023 | 0.021 | 0.090 | 0.023 | 0.019 |
Disclaimer/Publisher’s Note: The statements, opinions and data contained in all publications are solely those of the individual author(s) and contributor(s) and not of MDPI and/or the editor(s). MDPI and/or the editor(s) disclaim responsibility for any injury to people or property resulting from any ideas, methods, instructions or products referred to in the content. |
© 2024 by the authors. Licensee MDPI, Basel, Switzerland. This article is an open access article distributed under the terms and conditions of the Creative Commons Attribution (CC BY) license (https://creativecommons.org/licenses/by/4.0/).
Share and Cite
Cedillo, S.; Vázquez-Patiño, Á.; Sánchez-Cordero, A.; Duque-Sarango, P.; Sánchez-Cordero, E. Effect of the Likelihood Function on the Calibration of the Effective Manning Roughness Factor. Water 2024, 16, 2879. https://doi.org/10.3390/w16202879
Cedillo S, Vázquez-Patiño Á, Sánchez-Cordero A, Duque-Sarango P, Sánchez-Cordero E. Effect of the Likelihood Function on the Calibration of the Effective Manning Roughness Factor. Water. 2024; 16(20):2879. https://doi.org/10.3390/w16202879
Chicago/Turabian StyleCedillo, Sebastián, Ángel Vázquez-Patiño, Andrés Sánchez-Cordero, Paola Duque-Sarango, and Esteban Sánchez-Cordero. 2024. "Effect of the Likelihood Function on the Calibration of the Effective Manning Roughness Factor" Water 16, no. 20: 2879. https://doi.org/10.3390/w16202879
APA StyleCedillo, S., Vázquez-Patiño, Á., Sánchez-Cordero, A., Duque-Sarango, P., & Sánchez-Cordero, E. (2024). Effect of the Likelihood Function on the Calibration of the Effective Manning Roughness Factor. Water, 16(20), 2879. https://doi.org/10.3390/w16202879

