Identifying Challenges to 3D Hydrodynamic Modeling for a Small, Stratified Tropical Lake in the Philippines
Abstract
1. Introduction
2. Materials and Methods
2.1. Site Background
2.2. Field Measurement
2.3. Computation of Stratification Index
2.4. Weather Data Collection and Preliminary Analysis
2.5. Numerical Simulation
2.5.1. Model Description
2.5.2. Heat Flux Boundaries
2.6. Initial and Boundary Conditions
2.7. Model Sensitivity and Calibration
3. Results
3.1. Weather Correlation
3.2. Meteorological Trends
3.3. Thermal Structure of the Lake
4. Discussion
4.1. Preliminary Model Runs
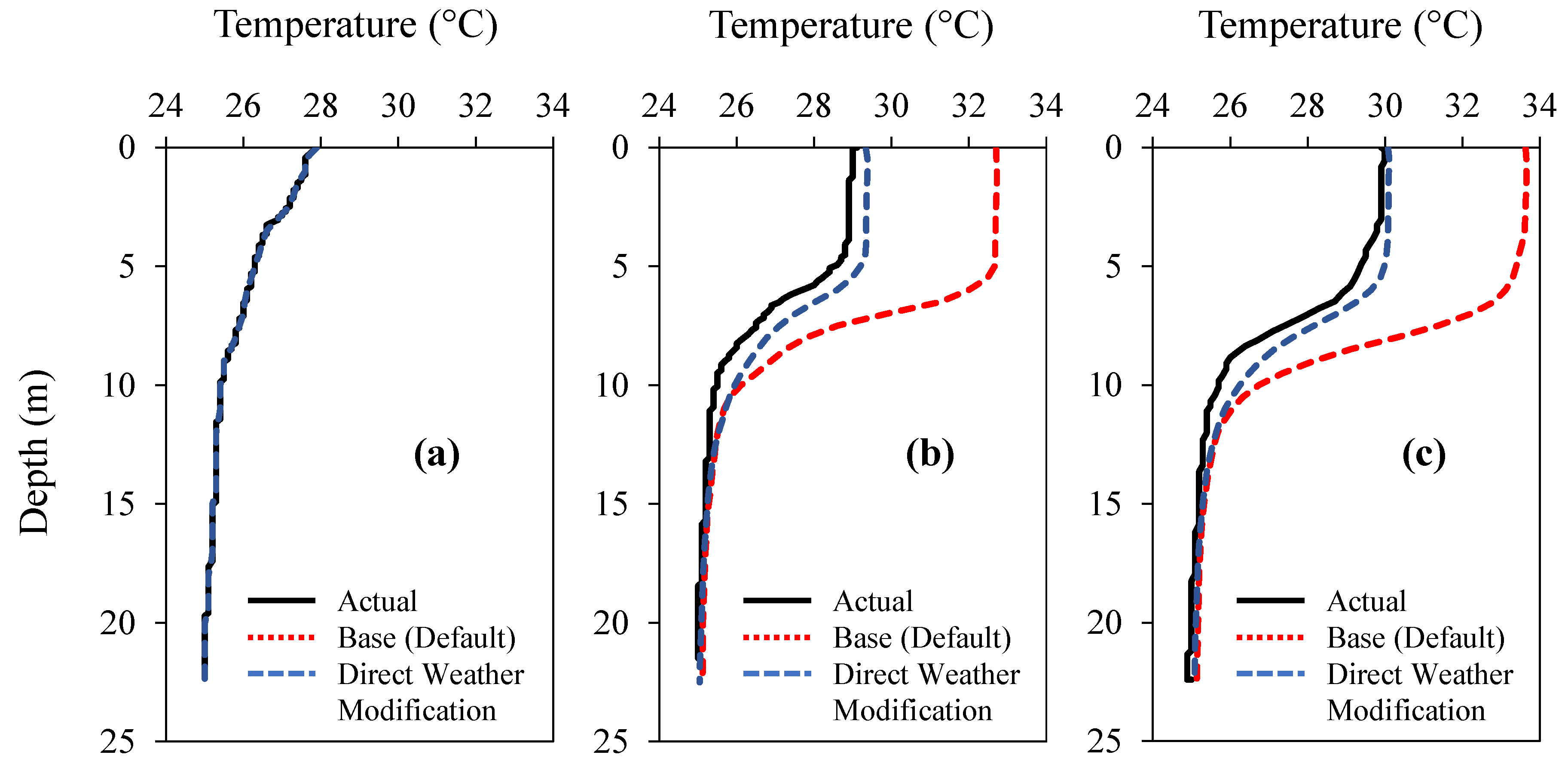
4.1.1. Base Model Profiles Using Default Setting
4.1.2. Model Profiles after Input Weather Modification
4.2. Application of Heat Flux Scaling Factors
4.2.1. Sensitivity Analysis and Trend
4.2.2. Final Model Profiles
4.3. Challenges to 3D Modeling of a Tropical Lake
5. Conclusions
Author Contributions
Funding
Data Availability Statement
Acknowledgments
Conflicts of Interest
References
- Zamani, B.; Koch, M. Comparison between two hydrodynamic models in simulating physical processes of a reservoir with complex morphology. Water 2020, 12, 814. [Google Scholar] [CrossRef]
- Catalan, J.; Rondón, J. Perspectives for an integrated understanding of tropical and temperate high-mountain lakes. J. Limnol. 2016, 75, 216–234. [Google Scholar] [CrossRef]
- Caramatti, I.; Peeters, F.; Hamilton, D.; Hofmann, H. Modelling inter-annual and spatial variability of ice cover in a temperate lake with complex morphology. Hydrol. Process. 2020, 34, 691–704. [Google Scholar] [CrossRef]
- Duka, M.A.; Shintani, T.; Yokoyama, K. Thermal stratification responses of a monomictic reservoir under different seasons and operation schemes. Sci. Total Environ. 2020, 767, 144423. [Google Scholar] [CrossRef]
- Bueche, T.; Hamilton, D.P.; Vetter, M. Using the general lake model (GLM) to simulate water temperatures and ice cover of a medium-sized lake: A case study of lake Ammersee, Germany. Environ. Earth Sci. 2017, 76, 461. [Google Scholar] [CrossRef]
- Herrera, E.; Nadaoka, K.; Blanco, A.; Hernandez, E. Hydrodynamic investigation of a shallow tropical lake environment (Laguna Lake, Philippines) and associated implications for eutrophic vulnerability. Asean Eng. J. 2015, 4, 48. [Google Scholar]
- Hodges, B.R.; Imberger, J.; Laval, B.E. Modeling the hydrodynamics of stratified lakes. Hydroinformatics 2000. Available online: https://www.researchgate.net/publication/255596842_Modeling_the_Hydrodynamics_of_Stratified_Lakes (accessed on 5 November 2023).
- Ishikawa, M.; Gonzalez, W.; Golyjeswski, O.; Sales, G.; Rigotti, J.A.; Bleninger, T.; Mannich, M.; Lorke, A. Effects of dimensionality on the performance of hydrodynamic models for stratified lakes and reservoirs. Geosci. Model Dev. 2022, 15, 2197–2220. [Google Scholar] [CrossRef]
- Heddam, S.; Ptak, P.; Zhu, S. Modelling of daily lake surface water temperature from air temperature: Extremely randomized trees (ERT) versus Air2Water, MARS, M5Tree, RF and MLPNN. J. Hydrol. 2020, 588, 125130. [Google Scholar] [CrossRef]
- Ji, Z.G. Hydrodynamics and Water Quality: Modeling Rivers, Lakes, and Estuaries; John Wiley & Sons: Hoboken, NJ, USA, 2017. [Google Scholar]
- Zhao, L.; Cheng, S.; Sun, Y.; Zou, R.; Ma, W.; Zhou, Q.; Liu, Y. Thermal mixing of Lake Erhai (Southwest China) induced by bottom heat transfer: Evidence based on observations and CE-QUAL-W2 model simulations. J. Hydrol. 2021, 603, 126973. [Google Scholar] [CrossRef]
- Rahaghi, A.I.; Lemmin, U.; Cimatoribus, A.; Bouffard, D.; Riffler, M.; Wunderle, S.; Barry, D. Improving surface heat flux estimation for a large lake through model optimization and two-point calibration: The case of Lake Geneva. Limnol. Oceanogr. Methods 2018, 16, 576–593. [Google Scholar] [CrossRef]
- Abed-Zaid, D.S.; Al-Zubaidi HA, M. Surface heat budget estimation for Laurance Lake, US. IOP Conf. Ser.Earth Environ. Sci. 2021, 877, 012005. [Google Scholar] [CrossRef]
- Tomita, H.; Kutsuwada, K.; Kubota, M.; Hihara, T. Advances in the estimation of global surface net heat flux based on satelilite observation: J-OFURO3 v1.1. Fron. Mar. Sci. 2021, 8, 612361. [Google Scholar] [CrossRef]
- Duka, M.A.; Iguchi, K.; Yokoyama, K.; Koizumi, A. Effect of selective withdrawal and vertical curtain on turbid water flow after a flood event in the Ogouchi Reservoir—Field Observation and 3D Numerical Simulation. In Proceedings of Japan Water Works Association; Japan Water Works Association: Tokyo, Japan, 2020. [Google Scholar]
- Soulignac, F.; Vinçon-Leite, B.; Lemaire, B.J.; Scarati Martins, J.R.; Bonhomme, C.; Dubois, P.; Mezemate, Y.; Tchiguirinskaia, I.; Schertzer, D.; Tassin, B. Performance assessment of a 3D hydrodynamic model using high temporal resolution measurements in a shallow urban lake. Environ. Model. Assess. 2017, 22, 309–322. [Google Scholar] [CrossRef]
- Hipsey, M.R.; Bruce, L.C.; Hamilton, D.P. General Lake Model: Model Overview and User Information; AED Report #26; The University of Western Australia: Perth, Australia, 2014; p. 42. ISBN 878-1-7-74052-303-5. [Google Scholar]
- DHI Mike 21 & Mike 3 Flow Model FM—Hydrodynamic and Transport Module: Scientific Documentation. 2017. Available online: https://manuals.mikepoweredbydhi.help/2017/Coast_and_Sea/MIKE_321_FM_Scientific_Doc.pdf (accessed on 5 November 2023).
- Octavio KA, H.; Jirka, G.H.; Harleman DR, F. Vertical heat transport mechanisms in lakes and reservoirs. Mass. Inst. Technol. Technol. Rep. 1977, 22. Available online: http://hdl.handle.net/1721.1/52844 (accessed on 5 November 2023).
- Sweers, H.E. A nomogram to estimate the heat exchange coefficient at the air-water interface as a function of windspeed and temperature; a critical survey of some literature. J. Hydrol. 1976, 30, 375–401. [Google Scholar] [CrossRef]
- Murakami, M.; Oonisishi, Y.; Kunishi, H. A numerical simulation of the distribution of water temperature and salinity in the Setol Inland Sea. J. Oceanogr. Soc. Jpn. 1985, 41, 221–224. Available online: https://api.semanticscholar.org/CorpusID:129568759 (accessed on 5 November 2023). [CrossRef]
- Gill, A.E. Atmosphere-Ocean Dynamics; International Geophysics Series; Academic Press: Cambridge, MA, USA, 1982; p. 30. Available online: https://books.google.com/books?hl=en&lr=&id=1WLNX_lfRp8C&oi=fnd&pg=PR11&dq=Gill.+A.+E.+(1982).+Atmosphere-ocean+dynamics.+International+Geophysics+Series,+Academic+Press,+30.+&ots=Tr7337UWdP&sig=AINTdr3i7WF6tWbHe7tz0h9wpSI (accessed on 7 November 2023).
- Lane, A. The Heat Balance of the North SEA; Technical Report #8; Proudman Oceanographic Laboratory: Liverpool, UK, 1989. [Google Scholar]
- Shintani, T. An unstructured-cartesian hydrodynamic simulator with local mesh refinement technique. J. JSCE 2017, 73, 967–972. [Google Scholar] [CrossRef] [PubMed]
- Gayllo, V.; Paller, V.; Magcale-Macandog, D.; Ryan, E.; De Chavez, C.; Grace, M.; Paraso, V.; Claret, M.; Tsuchiya, L.; Campang, J.; et al. The Seven Lakes of San Pablo: Assessment and Monitoring Strategies Toward Sustainable Lake Ecosystems. Philipp. Sci. Lett. 2021, 14. Available online: https://scienggj.org/2021/PSL%202021-vol14-no01-p158-179-Paller%20et%20al.pdf (accessed on 7 November 2023).
- Brillo, B.B.C. Urban lake governance and development in the Philippines: The case of Sampaloc lake, San Pablo City. Taiwan Water Conserv. J. 2016, 64, 66–81. Available online: https://ssrn.com/abstract=2848705 (accessed on 5 November 2023).
- de la Cruz, C.P.P.; Bandal, M.Z.; Avila, A.R.B., Jr.; Paller, V.G.V. Distribution pattern of Acanthogyrus sp. (acanthocephala: Quadrigyridae) in Nile tilapia (Oreochromis niloticus L.) from Sampaloc lake, Philippines. J. Nat. Stud. 2013, 12, 1–10. [Google Scholar]
- LLDA Seven (7) Crater Lakes. 2014. Available online: https://llda.gov.ph/seven-7-crater-lakes/ (accessed on 15 November 2023).
- Duka, M.A.; Shintani, T.; Yokoyama, K. Mediating the effects of climate on the temperature and thermal structure of a monomictic reservoir through use of hydraulic facilities. Water 2021, 13, 1128. [Google Scholar] [CrossRef]
- Woolway, R.I.; Verburg, P.; Lenters, J.D.; Merchant, C.J.; Hamilton, D.P.; Brookes, J.; de Eyto, E.; Kelly, S.; Healey, N.C.; Hook, S.; et al. Geographic and temporal variations in turbulent heat loss from lakes: A global analysis across 45 lakes. Limnol. Oceanogr. 2018, 63, 2436–2449. [Google Scholar] [CrossRef]
- Abbasi, A.; Annor, F.; Van de Giesen, N. Investigation of temperature dynamics in small and shallow reservoirs, case study: Lake Binaba, upper east region of Ghana. Water 2016, 8, 84. [Google Scholar] [CrossRef]
- Guo, M.; Zhuang, Q.; Yao, H.; Małgorzata Gołub, L.; Leung, R.; Pierson, D.; Tan, Z. Validation and Sensitivity Analysis of a 1-D Lake Model Across Global Lakes. J. Geophys. Res. Atmos. 2021, 126, e2020JD033417. [Google Scholar] [CrossRef]
- Pu, T. Stratification Stability of Tropical Lakes and Their Responses to Climatic Changes: Lake Towuti (Indonesia). 2023. Available online: https://www.proquest.com/docview/2784390988?pq-origsite=gscholar&fromopenview=true (accessed on 14 December 2023).
- Duka, M.A.; Yokoyama, K.; Shintani, T.; Iguchi, K. Effect of selective withdrawal and vertical curtain on reservoir sedimentation: A 3-D numerical modeling approach. In River, Coastal and Estuarine Morphodynamics, Auckland, New Zealand. 2019. Available online: https://www.researchgate.net/publication/342826574_Effect_of_Selective_Withdrawal_and_Vertical_Curtain_on_Reservoir_Sedimentation_a_3-D_Numerical_Modeling_Approach?channel=doi&linkId=5f07d22c92851c52d62686a0&showFulltext=true (accessed on 5 November 2023).
- Duka, M.A.; Yokoyama, K.; Shintani, T.; Iguchi, K.; Iwasaki, H.; Ueno, T.; Chiba, T. Influence of water control facilities on thermal stratification of Ogouchi Reservoir for 58 years. J. Jpn. Soc. Civ. Eng. Ser. B1 Hydraul. Eng. 2019, 75, 685–690. [Google Scholar] [CrossRef] [PubMed]
- Duka, M.A.; Yokoyama, K.; Shintani, T.; Sakai, H.; Koizumi, A. Application of the modified Gaussian distribution method to reproduce the water temperatures of the Ogouchi Reservoir. J. JSCE Ser. B1 Hydraul. Eng. 2021, 77, I961–I966. [Google Scholar] [CrossRef]
- Somsook, K.; Olap, N.A.; Duka, M.A.; Veerapaga, N.; Shintani, T.; Yokoyama, K. Analysis of interaction between morphology and flow structure in a meandering macro-tidal estuary using 3-D hydrodynamic modeling. Estuar. Coast. Shelf Sci. 2022, 264, 107687. [Google Scholar] [CrossRef]
- Leonard, B.P. The ULTIMATE conservative difference scheme applied to unsteady one-dimensional advection. Comput. Methods Appl. Mech. Eng. 1991, 88, 17–74. [Google Scholar] [CrossRef]
- Kondo, J. Air-sea bulk transfer coefficients in diabatic conditions. Bound. Layer Meteorol. 1975, 9, 91–112. [Google Scholar] [CrossRef]
- Bautista PM, O. Modeling River Water Temperature from Air Temperature for Selected Rivers. University of the Philippines Los Banos, Los Baños, Philippines, 2022, unpublished undergraduate thesis. [Google Scholar]
- Hamby, D.M. A review of techniques for parameter sensitivity analysis of environmental models. Env. Monit Assess 1994, 32, 135–154. [Google Scholar] [CrossRef]
- Soares, L.M.; Calijuri, M.D.; Silva, T.F.; Novo, E.; Cairo, C.T.; Barbosa, C.C. A parameterization strategy for hydrodynamic modelling of a cascade of poorly monitored reservoirs in Brazil. Environ. Model. Softw. 2020, 134, 104803. [Google Scholar] [CrossRef]
- Calamita, E.; Vanzo, D.; Wehrli, B.; Schmid, M. Lake Modeling Reveals Management Opportunities for Improving Water Quality Downstream of Transboundary Tropical Dams. Water Resour. Res. 2021, 57, e2020WR027465. [Google Scholar] [CrossRef]
- Dinku, T.; Funk, C.; Peterson, P.; Maidment, R.; Tadesse, T.; Gadain, H.; Ceccato, P. Validation of the CHIRPS satellite rainfall estimates over eastern Africa. Q. J. R. Meteorol. Soc. 2018, 144, 292–312. [Google Scholar] [CrossRef]
- Bland, M. Correlation and regression. In Statistics at Square One; BMJ Publishing Group Ltd.: London, UK, 2016; Available online: https://www.bmj.com/about-bmj/resources-readers/publications/statistics-square-one/11-correlation-and-regression (accessed on 3 January 2024).
- He, Y.; Pak Wai, C.h.a.n.; Li, Q. Wind characteristics over different terrains. J. Wind Eng. Ind. Aerodyn. 2013, 120, 51–69. [Google Scholar] [CrossRef]
- Zagouras, A.; Kazantzidis, A.; Nikitidou, E.; Argiriou, A.A. Determination of measuring sites for solar irradiance, based on cluster analysis of satellite-derived cloud estimations. Sol. Energy 2013, 97, 1–11. [Google Scholar] [CrossRef]
- Miri, M.; Masoudi, R.; Raziei, T. Performance Evaluation of Three Satellites-Based Precipitation Data Sets Over Iran. J. Indian Soc. Remote Sens. 2019, 47, 2073–2084. [Google Scholar] [CrossRef]
- Shinohara, R.; Tanaka, Y.; Kanno, A.; Matsushige, K. Relative impacts of increases of solar radiation and air temperature on the temperature of surface water in a shallow, eutrophic lake. Hydrol. Res. 2021, 52, 916–926. [Google Scholar] [CrossRef]
- Rogora, M.; Buzzi, F.; Dresti, C.; Leoni, B.; Lepori, F.; Mosello, R.; Patelli, M.; Salmaso, N. Climatic effects on vertical mixing and deep-water oxygen content in the subalpine lakes in Italy. Hydrobiologia 2018, 824, 33–50. [Google Scholar] [CrossRef]
- Yang, K.; Yu, Z.; Luo, Y. Analysis on driving factors of lake surface water temperature for major lakes in Yunnan-Guizhou Plateau. Water Res. 2020, 184, 116018. [Google Scholar] [CrossRef]
- Zhou, J.; Yoshida, T.; Kitazawa, D. Numerical analysis of the relationship between mixing regime, nutrient status, and climatic variables in Lake Biwa. Sci. Rep. 2022, 12, 19691. [Google Scholar] [CrossRef] [PubMed]
- Donis, D.; Mantzouki, E.; McGinnis, D.F.; Vachon, D.; Gallego, I.; Grossart, H.P.; de Senerpont Domis, L.N.; Teurlincx, S.; Seelen, L.; Lürling, M.; et al. Stratification strength and light climate explain variation in chlorophyll a at the continental scale in a European multilake survey in a heatwave summer. Limnol. Oceanogr. 2021, 66, 4314–4333. [Google Scholar] [CrossRef]
- Zhang, W.; Xu, Q.; Wang, X.; Hu, X.; Wang, C.; Pang, Y.; Hu, Y.; Zhao, Y.; Zhao, X. Spatiotemporal distribution of eutrophication in Lake Tai as affected by wind. Water 2017, 9, 200. [Google Scholar] [CrossRef]
- Aguilar, J.I.; Mendoza-Pascual, M.U.; Padilla KS, A.R.; Papa RD, S.; Okuda, N. Mixing regimes in a cluster of seven maar lakes in tropical monsoon Asia. Inland Waters 2023, 13, 47–61. [Google Scholar] [CrossRef]
- Pal, S.; Das, D.; Chakraborty, K. Colour optimization of the secchi disk and assessment of the water quality in consideration of light extinction co-efficient of some selected water bodies at Cooch Behar, West Bengal. Int. J. Multidiscip. Res. Dev. 2015, 2, 513–518. [Google Scholar]
- Wetzel, R.; Likens, G. Limonological Analyses; Springer: New York, NY, USA, 2013; p. 3. [Google Scholar] [CrossRef]








| Parameter | Description | Calibration Range |
|---|---|---|
| scaling factor for solar radiation | 0.7–1.3 | |
| scaling factor for longwave radiation | 0.7–1.3 | |
| scaling factor for air temperature | 0.7–1.3 | |
| scaling factor for wind | 0.7–1.3 |
| Parameter (Factor) | Parameter Value (X) | Model Performance (Y) | Sensitivity Index (SI) | ||||||
|---|---|---|---|---|---|---|---|---|---|
| Initial | Lower | Upper | Initial | Lower | Upper | Lower | Upper | Average | |
| 1.00 | 0.70 | 0.90 | 6.75 | 5.20 | 6.00 | 0.57 | 1.12 | 0.85 | |
| 1.00 | 0.70 | 0.90 | 6.75 | 3.78 | 5.89 | 1.47 | 1.28 | 1.37 | |
| 1.00 | 0.70 | 0.90 | 6.75 | 4.65 | 6.06 | 1.04 | 1.03 | 1.04 | |
| 1.00 | 0.70 | 0.90 | 6.75 | 8.20 | 7.04 | 0.43 | 0.43 | 0.43 | |
Disclaimer/Publisher’s Note: The statements, opinions and data contained in all publications are solely those of the individual author(s) and contributor(s) and not of MDPI and/or the editor(s). MDPI and/or the editor(s) disclaim responsibility for any injury to people or property resulting from any ideas, methods, instructions or products referred to in the content. |
© 2024 by the authors. Licensee MDPI, Basel, Switzerland. This article is an open access article distributed under the terms and conditions of the Creative Commons Attribution (CC BY) license (https://creativecommons.org/licenses/by/4.0/).
Share and Cite
Duka, M.A.; Monterey, M.L.E.; Casim, N.C.I.; Andres, J.H.R.; Yokoyama, K. Identifying Challenges to 3D Hydrodynamic Modeling for a Small, Stratified Tropical Lake in the Philippines. Water 2024, 16, 561. https://doi.org/10.3390/w16040561
Duka MA, Monterey MLE, Casim NCI, Andres JHR, Yokoyama K. Identifying Challenges to 3D Hydrodynamic Modeling for a Small, Stratified Tropical Lake in the Philippines. Water. 2024; 16(4):561. https://doi.org/10.3390/w16040561
Chicago/Turabian StyleDuka, Maurice Alfonso, Malone Luke E. Monterey, Niño Carlo I. Casim, Jake Henson R. Andres, and Katsuhide Yokoyama. 2024. "Identifying Challenges to 3D Hydrodynamic Modeling for a Small, Stratified Tropical Lake in the Philippines" Water 16, no. 4: 561. https://doi.org/10.3390/w16040561
APA StyleDuka, M. A., Monterey, M. L. E., Casim, N. C. I., Andres, J. H. R., & Yokoyama, K. (2024). Identifying Challenges to 3D Hydrodynamic Modeling for a Small, Stratified Tropical Lake in the Philippines. Water, 16(4), 561. https://doi.org/10.3390/w16040561

