Synergistic Effects of a Packed Bed Bipolar Electrolysis System Combined with Activated Carbon for Efficient Treatment of Dyeing Wastewater
Abstract
1. Introduction
2. Materials and Methods
2.1. Experimental Components
2.1.1. Activated Carbon
2.1.2. Test Sample
2.1.3. Electrolysis Apparatus
2.1.4. Electrode
2.2. Experimental Conditions and Methods
2.2.1. Experimental Conditions
2.2.2. Measurement Instruments and Methods
3. Results and Discussion
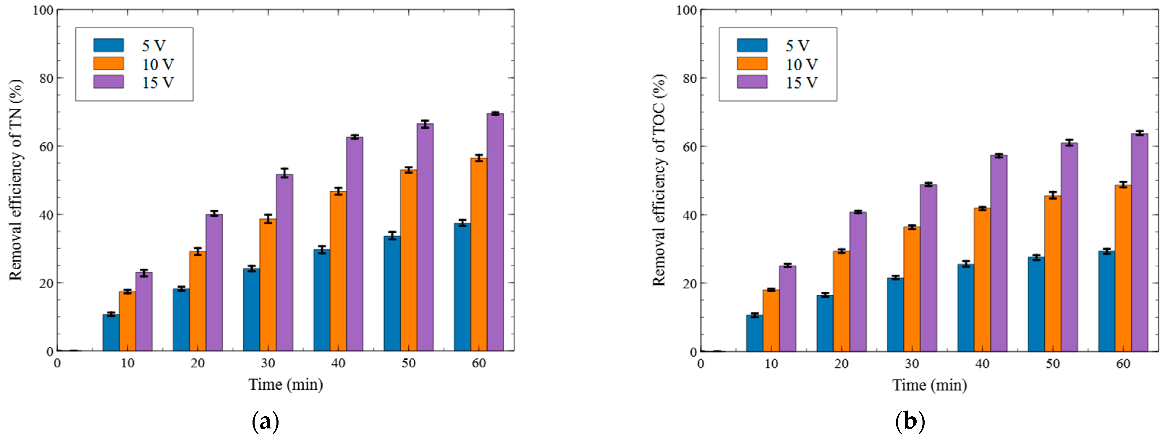
3.1. Effect of Applied Voltage
3.1.1. Effect of Applied Voltage on T-N Removal
3.1.2. Effect of Applied Voltage on TOC Removal
3.1.3. Effect of Applied Voltage on the Leached Aluminum Content
3.2. Effect of Applied Addition of Electrolyte
3.2.1. Effect of Electrolyte on T-N Removal
3.2.2. Effect of Addition of Electrolyte on TOC Removal
3.2.3. Effect of Electrolyte on Leached Aluminum Content
3.3. Effect of Activated Carbon Packed
3.3.1. Effect of Activated Carbon on T-N Removal
3.3.2. Effect of Activated Carbon on TOC Removal
3.4. Effect of AC Packed Under Added Electrolyte
3.4.1. Effect of Activated Carbon with Electrolyte on T-N Removal
3.4.2. Effect of Activated Carbon with Electrolyte on TOC Removal
3.4.3. Effect of Activated Carbon with Electrolyte on the Leached Aluminum Content
4. Conclusions
Author Contributions
Funding
Data Availability Statement
Conflicts of Interest
Abbreviations
| AC | Activated Carbon |
| Al | Aluminum |
| AOP | Advanced Oxidation Process |
| BOD | Biochemical Oxygen Demand |
| COD | Chemical Oxygen Demand |
| DAF | Dissolved Air Flotation |
| EC | Electrical Conductivity |
| Fe | Iron |
| GAC | Granular Activated Carbon |
| ICP-MS | Inductively Coupled Plasma Mass Spectrometry |
| NPOC | Non-Purgeable Organic Carbon |
| T-N | Total Nitrogen |
| TOC | Total Organic Carbon |
| SS | Suspended Solids |
| UV-Vis | Ultraviolet–Visible |
References
- Korea Ministry of Environment. Survey on Pollutant Emitting Facilities; KOSIS: Daejeon, Republic of Korea, 2024; Available online: https://kosis.kr/statHtml/statHtml.do?orgId=106&tblId=DT_106T_011815&conn_path=I2 (accessed on 2 September 2024).
- Anonymous. The Impact of Textile Production and Waste on the Environment. States News Service, 29 December 2020. [Google Scholar]
- Yaseen, D.A.; Scholz, M. Textile dye wastewater characteristics and constituents of synthetic effluents: A critical review. Int. J. Environ. Sci. Technol. 2019, 16, 1193–1226. [Google Scholar] [CrossRef]
- Ayed, L.; Mahdhi, A.; Cheref, A.; Bakhrouf, A. Decolorization and degradation of azo dye Methyl Red by an isolated Sphingomonas paucimobilis: Biotoxicity and metabolites characterization. Desalination 2011, 274, 272–277. [Google Scholar] [CrossRef]
- Al-Tohamy, R.; Ali, S.S.; Li, F.; Okasha, K.M.; Mahmoud, Y.A.; Elsamahy, T.; Jiao, H.; Fu, Y.; Sun, J. A critical review on the treatment of dye-containing wastewater: Ecotoxicological and health concerns of textile dyes and possible remediation approaches for environmental safety. Ecotoxicol. Environ. Saf. 2022, 231, 113160. [Google Scholar] [CrossRef]
- Katheresan, V.; Kansedo, J.; Lau, S.Y. Efficiency of various recent wastewater dye removal methods: A review. J. Environ. Chem. Eng. 2018, 6, 4676–4697. [Google Scholar] [CrossRef]
- Ellouze, E.; Tahri, N.; Amar, R.B. Enhancement of textile wastewater treatment process using Nanofiltration. Desalination 2012, 286, 16–23. [Google Scholar] [CrossRef]
- Obotey Ezugbe, E.; Rathilal, S. Membrane Technologies in Wastewater Treatment: A Review. Membranes 2020, 10, 89. [Google Scholar] [CrossRef]
- Zainab, A.N.; Tlaiaa, Y.S.; Ali, A.H. Design of dissolved air flotation (DAF) process for treating dyes-contaminated wastewater. Casp. J. Environ. Sci. 2022, 20, 315–322. [Google Scholar] [CrossRef]
- Üstün, G.E.; Solmaz, S.K.A.; Birgül, A. Regeneration of industrial district wastewater using a combination of Fenton process and ion exchange—A case study. Resour. Conserv. Recycl. 2007, 52, 425–440. [Google Scholar] [CrossRef]
- Azimi, B.; Abdollahzadeh-Sharghi, E.; Bonakdarpour, B. Anaerobic-aerobic processes for the treatment of textile dyeing wastewater containing three commercial reactive azo dyes: Effect of number of stages and bioreactor type. Chin. J. Chem. Eng. 2021, 39, 228–239. [Google Scholar] [CrossRef]
- Liu, Y.; Chen, J.; Duan, D.; Zhang, Z.; Liu, C.; Cai, W.; Zhao, Z. Environmental Impacts and Biological Technologies Toward Sustainable Treatment of Textile Dyeing Wastewater: A Review. Sustainability 2024, 16, 10867. [Google Scholar] [CrossRef]
- Sirés, I.; Brillas, E. Remediation of water pollution caused by pharmaceutical residues based on electrochemical separation and degradation technologies: A review. Environ. Int. 2012, 40, 212–229. [Google Scholar] [CrossRef] [PubMed]
- Dube, A.; Malode, S.J.; Alshehri, M.A.; Shetti, N.P. Electrochemical water treatment: Review of different approaches. J. Environ. Manag. 2025, 373, 123911. [Google Scholar] [CrossRef]
- El-Hefny, R.M.; Ali, M.N.; Ahmed, M.E. Application of iron and aluminum electrodes for wastewater treatment via electrocoagulation. Aust. J. Basic Appl. Sci. 2019, 13, 141–146. [Google Scholar] [CrossRef]
- Khorram, A.G.; Fallah, N. Treatment of textile dyeing factory wastewater by electrocoagulation with low sludge settling time: Optimization of operating parameters by RSM. J. Environ. Chem. Eng. 2018, 6, 635–642. [Google Scholar] [CrossRef]
- Cañizares, P.; Jiménez, C.; Martínez, F.; Sáez, C.; Rodrigo, M.A. Study of the Electrocoagulation Process Using Aluminum and Iron Electrodes. Ind. Eng. Chem. Res. 2007, 46, 6189–6195. [Google Scholar] [CrossRef]
- Arbabi, M.; Shafiei, S.; Mehraban, S.; Khodabakhshi, A.; Abdoli, A.; Arbabi, A. Electrocoagulation process using aluminum electrodes for treatment of baker’s yeast industry wastewater. Int. J. Environ. Health Eng. 2022, 11, 3. [Google Scholar] [CrossRef]
- St, S.; Abustan, I.; Dahlan, I.; Wah, C.K.; Umar, G. Treatment of Dye Wastewater Using Granular Activated Carbon and Zeolite Filter. Mod. Appl. Sci. 2012, 6, 37–51. [Google Scholar] [CrossRef]
- Chauhan, P.S.; Singh, K.; Choudhary, A.; Brighu, U.; Singh, S.K.; Bhattacharya, S. Author Correction: Combined advanced oxidation dye-wastewater treatment plant: Design and development with data-driven predictive performance modeling. npj Clean Water 2024, 7, 15. [Google Scholar] [CrossRef]
- Nam, G.G.N. A Study on the Reduction of Non-Biodegradable Total Organic Carbon in Public Wastewater Treatment Facility Using Electrolysis: Focusing on A Industrial Complex in Chungcheong Area. Master’s Thesis, Koreatech University, Cheonan, Republic of Korea, 2020. [Google Scholar]
- Ministry of Environment, Republic of Korea. Total Nitrogen—UV/Visible Spectrometry—Oxidation Method; Notification No. 2024-72; Ministry of Environment: Sejong, Republic of Korea, 2011. [Google Scholar]
- Shimadzu Corporation. TOC Measurement Techniques: NPOC Method (Non-Purgeable Organic Carbon); Shimadzu TOC Application Note: Kyoto, Japan, 2018. [Google Scholar]
- Kim, S.K.; Park, S.W.; Hong, D.I. A Study on Dye Wastewater Treatment Using the Electrolysis. J. Environ. Sci. 1999, 8, 539–545. [Google Scholar]
- Kim, U.S. Study on the Treatment of Wastewater Containing Polyvinyl Alcohol by Electrolysis. Master’s Thesis, Kyunghee University, Seoul, Republic of Korea, 1992. [Google Scholar]
- Lee, Y.J. Nitrate Removal by Electrolysis Method. Master’s Thesis, Chonnam National University, Gwangju, Republic of Korea, 2010. [Google Scholar]
- Zuo, S.; Zhang, Y.; Guo, R.; Chen, J. Efficient Removal of Ammonia Nitrogen by an Electrochemical Process for Spent Caustic Wastewater Treatment. Catalysts 2022, 12, 1357. [Google Scholar] [CrossRef]
- Liu, F.; Zhang, Z.; Xu, J. Electrochemical Mechanisms and Optimization System of Nitrate Removal from Groundwater by Polymetallic Nanoelectrodes. Int. J. Environ. Res. Public Health 2023, 20, 1923. [Google Scholar] [CrossRef]
- Al-Marri, J.S.; Abouedwan, A.B.; Ahmad, M.I.; Bensalah, N. Electrocoagulation using aluminum electrodes as a sustainable and economic method for the removal of kinetic hydrate inhibitor (polyvinyl pyrrolidone) from produced wastewaters. Front. Water 2023, 5, 1305347. [Google Scholar] [CrossRef]
- Tanatti, N.P.; Sengil, I.A.; Özdemir, A. Optimizing TOC and COD removal for the biodiesel wastewater by electrocoagulation. Appl. Water Sci. 2018, 8, 58. [Google Scholar] [CrossRef]
- Iovino, P.; Fenti, A.; Galoppo, S.; Najafinejad, M.S.; Chianese, S.; Musmarra, D. Electrochemical Removal of Nitrogen Compounds from a Simulated Saline Wastewater. Molecules 2023, 28, 1306. [Google Scholar] [CrossRef] [PubMed]
- Wang, Z.; Jiang, C.; Nnorom, M.; Avignone-Rossa, C.; Yang, K.; Guo, B. Multi-faceted effects and mechanisms of granular activated carbon to enhance anaerobic ammonium oxidation (anammox) for nitrogen removal from wastewater. Bioresour. Technol. 2025, 418, 132001. [Google Scholar] [CrossRef] [PubMed]
- Mohamed, F.; Shaban, M.; Zaki, S.K.; Abd-Elsamie, M.S.; Sayed, R.; Zayed, M.; Khalid, N.; Saad, S.; Omar, S.; Ahmed, A.M.; et al. Activated carbon derived from sugarcane and modified with natural zeolite for efficient adsorption of methylene blue dye: Experimentally and theoretically approaches. Sci. Rep. 2022, 12, 18031. [Google Scholar] [CrossRef]
- Karanfil, T.; Kilduff, J.E. Role of Granular Activated Carbon Surface Chemistry on the Adsorption of Organic Compounds. 1. Priority Pollutants. Environ. Sci. Technol. 1999, 33, 3217–3224. [Google Scholar] [CrossRef]










| Temperature (°C) | Electrical Conductivity (mS/cm) | Temperature (°C) | Electrical Conductivity (mS/cm) |
|---|---|---|---|
| 5 | 2.67 | 18 | 3.64 |
| 6 | 2.75 | 19 | 3.71 |
| 7 | 2.81 | 20 | 3.80 |
| 8 | 2.90 | 21 | 3.84 |
| 9 | 2.99 | 22 | 3.88 |
| 10 | 3.05 | 23 | 3.94 |
| 11 | 3.13 | 24 | 4.01 |
| 12 | 3.20 | 25 | 4.09 |
| 13 | 3.26 | 26 | 4.17 |
| 14 | 33.5 | 27 | 4.25 |
| 15 | 34.2 | 28 | 4.31 |
| 16 | 34.9 | 29 | 4.34 |
| 17 | 3.57 | 30 | 4.44 |
| Items | Conditions |
|---|---|
| pH | 12.35 |
| EC (mS/cm) | 3.82 |
| T-N (mg/L) | 75.12 |
| TOC (mg/L) | 514.7 |
| Constant and Variable | Items | Conditions |
|---|---|---|
| Constant conditions | Flow control | Batch type |
| Process time/ Sampling time (min) | 60/10 | |
| Quantity of dyeing wastewater (mL) | 1000 | |
| Material/Number of electrode (EA) | Aluminum/4 | |
| Distance between electrode (mm) | 10 | |
| Variable conditions | Voltage (V) | 5, 10, 15 |
| Concentration of electrolyte (mM) | Non-addition. NaCl 5, 10, Na2SO4 5, 10, | |
| Activated carbon packing amount (g/L) | Non-addition 100 |
| Item | Model | Manufacturer |
|---|---|---|
| UV spectrophotometer | UV-1800 | Shimadzu Co., (Kyoto, Japan) |
| Total Organic Carbon Analyzer | Multi N/C 3100 | Analytik Jena., (Jena, Germany) |
| Inductively Coupled Plasma Mass Spectrometer | Nexion 1100 | PerkinElmer., (Waltham, MA, USA) |
| pH Meter | pH 330i | WTW GmbH., (Weilheim, Germany) |
| Electrical conductivity meter | Cond 7110 | WTW inoLab., (Weilheim, Germany) |
| Hotplate and Magnetic Stirrer | MS-300 | MTOPS Technology Co., (Shenzhen, China) |
| Regulated DC power supply | TDP-6020B | TOYOTECH Co., (Shenzhen, China) |
| Automatic Voltage Regulator | SYAVR-2KVASPST | Samyang AVR (Seoul, Republic of Korea) |
| Activated Carbon Presence (Y/N) | Voltage (V) | Concentration of Electrolyte | Removal Efficiency of T-N in 60 min (%) | Removal Efficiency of TOC in 60 min (%) | Leached Aluminum Content in 60 min (mg/L) |
|---|---|---|---|---|---|
| N | 5 V | Non-addition | 37.37% | 29.31% | 388.39 mg/L |
| 10 V | Non-addition | 56.49% | 48.61% | 504.28 mg/L | |
| 15 V | Non-addition | 69.54% | 63.68% | 549.83 mg/L | |
| NaCl 5 mM | 73.01% | 65.72% | 571.70 mg/L | ||
| NaCl 10 mM | 83.00% | 70.13% | 623.06 mg/L | ||
| Na2SO4 5 mM | 72.57% | 64.62% | - | ||
| Na2SO4 10 mM | 76.48% | 66.09% | - | ||
| Y | 15 V | Non-addition | 86.04% | 77.98% | 329.21 mg/L |
| NaCl 5 mM | 87.35% | 80.14% | 531.81 mg/L | ||
| NaCl 10 mM | 89.52% | 82.47% | 588.71 mg/L | ||
| Control experiment | 30.24% | 29.86% | - | ||
Disclaimer/Publisher’s Note: The statements, opinions and data contained in all publications are solely those of the individual author(s) and contributor(s) and not of MDPI and/or the editor(s). MDPI and/or the editor(s) disclaim responsibility for any injury to people or property resulting from any ideas, methods, instructions or products referred to in the content. |
© 2025 by the authors. Licensee MDPI, Basel, Switzerland. This article is an open access article distributed under the terms and conditions of the Creative Commons Attribution (CC BY) license (https://creativecommons.org/licenses/by/4.0/).
Share and Cite
Lee, H.-k.; Kim, G.-e.; Jang, S.-h.; Song, Y.-c. Synergistic Effects of a Packed Bed Bipolar Electrolysis System Combined with Activated Carbon for Efficient Treatment of Dyeing Wastewater. Water 2025, 17, 1911. https://doi.org/10.3390/w17131911
Lee H-k, Kim G-e, Jang S-h, Song Y-c. Synergistic Effects of a Packed Bed Bipolar Electrolysis System Combined with Activated Carbon for Efficient Treatment of Dyeing Wastewater. Water. 2025; 17(13):1911. https://doi.org/10.3390/w17131911
Chicago/Turabian StyleLee, Hyung-kyu, Go-eun Kim, Seong-ho Jang, and Young-chae Song. 2025. "Synergistic Effects of a Packed Bed Bipolar Electrolysis System Combined with Activated Carbon for Efficient Treatment of Dyeing Wastewater" Water 17, no. 13: 1911. https://doi.org/10.3390/w17131911
APA StyleLee, H.-k., Kim, G.-e., Jang, S.-h., & Song, Y.-c. (2025). Synergistic Effects of a Packed Bed Bipolar Electrolysis System Combined with Activated Carbon for Efficient Treatment of Dyeing Wastewater. Water, 17(13), 1911. https://doi.org/10.3390/w17131911

