Abstract
Vietnam has a coastline of over 3260 km and an exclusive economic zone extending 200 nautical miles, providing favorable conditions for the development of wave energy. Exploring and harnessing this endless energy source to maximize the use of the available resources is essential for sustainable economic development. According to research conducted by the Institute of Marine and Island Research, the total global exploitable wave energy capacity is 212 TWh per year, accounting for nearly 1% of the global total and 90% of Vietnam’s annual electricity consumption needs. However, selecting the optimal location to construct wave energy production plants requires the consideration of various criteria, including efficiency potential, economic and social, technological, transport and environment factors. In this research, the authors propose a hybrid MCDM model including a fuzzy analytic hierarchy process (FAHP) and Interactive Multi-Criteria Decision-Making method (TODIM) under a fuzzy environment for wave power plant location selection in Vietnam. A real-world application of the approach is given to showcase the effectiveness of the proposed method, where three potential locations are assessed based on 14 criteria. The research results propose priority locations for project implementation, while providing a scientific basis for policymakers and investors in the decision-making process. This study contributes to promoting the development of renewable energy and efficiently utilizing Vietnam’s marine resources.
Keywords:
wave power plant; fuzzy theory; FAHP; TODIM; MCDM; sustainable development; renewable energy 1. Introduction
Fossil fuels have historically been a critical source of energy, with oil, natural gas, and coal accounting for the majority of global energy consumption. Among these, coal has been the dominant energy source. However, the rapid consumption of fossil fuels is leading to their gradual depletion. Moreover, the extraction and combustion of these resources have significant environmental impacts. These challenges are driving nations to restructure their energy sectors toward cleaner and more sustainable alternatives. In this context, the advancement of renewable energy has emerged as both a solution and an inevitable trend.
According to a preliminary assessment of the Vietnam Institute of Seas and Islands, existing wave power turbine technology can annually produce 230 TWh/year, equivalent to the amount of electricity in use in Vietnam currently. According to the method of assessing coastal wave energy and comparing it with coastal countries, Vietnam has very promising wave energy potential [1]. According to the International Renewable Energy Agency (IRENA) report, wave energy sources can generate 45,000–130,000 TWh of electricity per year [2].
With favorable natural conditions, Vietnam has a lot of potential to develop wave energy. The principle of wave energy production is based on converting the mechanical energy of waves into electrical energy through specialized devices such as floating buoys and oscillating water columns. These devices capture the kinetic and potential energy of waves and transfer their mechanical motion to turbines to generate electricity. The energy is then transmitted via underwater cables to onshore power stations and integrated into the national grid. This technology not only harnesses an abundant renewable energy source but also contributes to reducing greenhouse gas emissions, promoting sustainable development.
Selecting a suitable location for harnessing wave energy is a complex and challenging task that requires decision-makers to evaluate numerous factors, including economic, social, technical, environmental, and logistical considerations. Multi-criteria decision-making (MCDM), a well-established field of operational research, provides a powerful framework for addressing such complexities by enabling the evaluation of multiple, often conflicting, criteria simultaneously. This approach has gained significant traction in energy planning due to its ability to integrate diverse factors and support balanced, informed decision-making [3,4,5,6,7].
In terms of a literature review, the results highlight a growing number of research studies in recent years that apply MCDM approaches across various scientific and engineering disciplines. One prominent area of application is the evaluation and selection of renewable energy locations, where MCDM models are extensively employed to address both qualitative and quantitative factors in decision-making. While some studies have investigated the use of MCDM methods for selecting wave power plant locations, research incorporating a fuzzy environment remains limited. To address this gap, this study proposes a fuzzy MCDM model that integrates the fuzzy analytic hierarchy process (FAHP) for determining criteria weights and the Interactive and Multi-Criteria Decision-Making in Portuguese Model (TODIM) for the evaluation process.
The objective of this study is to develop a comprehensive and systematic framework for identifying optimal locations for wave energy production plants in Vietnam, addressing the intricacies of the decision-making process. The proposed hybrid MCDM model integrates the fuzzy analytic hierarchy process (FAHP) to calculate the weights of evaluation criteria and the Interactive Multi-Criteria Decision-Making (TODIM) method to rank potential locations under a fuzzy decision-making environment. By combining these methods, the framework provides a robust approach to evaluating multiple criteria and generating actionable insights for policymakers and investors, supporting the sustainable development of renewable energy infrastructure in Vietnam.
This paper is structured into five main sections: the introduction, which highlights Vietnam’s wave energy potential, the importance of the sustainable utilization of marine resources, and the primary goal of this article; the materials and methods, which presents the application of the MCDM model in various scientific fields; the Methodology, which proposes a hybrid MCDM model combining FAHP and TODIM under a fuzzy environment; the case study, which showcases a real-world application evaluating three potential locations based on 14 criteria to determine priority sites; and the conclusion, which summarizes the findings, emphasizes the contribution to renewable energy development, and provides guidance for policymakers and investors.
2. Literature Review and Methodology
2.1. Application of Fuzzy Decision Support Systems in Renewable Energy Plant Location Selection
This literature review summarizes findings from relevant studies, focusing on the techniques, applications, and consequences of Fuzzy Decision Support Systems in renewable energy plant location selection.
Renewable energy has become an essential component of the worldwide effort to combat climate change and achieve sustainable development [8,9]. The selection of appropriate locations for renewable energy facilities is a complex decision-making process that takes into account a variety of aspects, including environmental, economic, and social considerations [10,11]. Fuzzy Decision Support Systems (FDSSs) have emerged as an effective tool for dealing with the inherent uncertainty and ambiguity associated with this situation [12,13].
Fuzzy logic offers a solid foundation for representing uncertainty and vagueness in decision-making processes. In the context of renewable energy, an FDSS enables the integration of qualitative and quantitative criteria, allowing for a more nuanced assessment of suitable sites. Ioannou et al. [14] created a Spatial Decision Support System (SDSS) that uses fuzzy membership functions to generate suitability maps for biomass energy production areas. This method highlights the importance of incorporating fuzzy logic into decision-making frameworks in order to improve the accuracy of site assessments.
MCDM approaches are widely used in conjunction with FDSSs to evaluate multiple competing criteria for renewable energy site selection. Çoban [15] used the analytical hierarchy process (AHP) and Hesitant Fuzzy Linguistic evaluation to pick solar energy projects, highlighting the flexibility of fuzzy techniques in tackling various renewable energy systems. Similarly, Guerrero-Liquet et al. [16] used AHP to manage risk in renewable energy facilities, emphasizing the importance of complete decision-making frameworks that consider both technical and financial concerns.
Several studies have developed methodological frameworks for using fuzzy logic and MCDM in renewable energy site selection. Wątróbski et al. [17] offered a structured strategy for designing a Decision Support System (DSS) for renewable energy sources. They emphasized the need for modeling decision spaces and employing MCDM methodologies. This methodology is consistent with the findings of Budak et al. [18], who created a systematic technique for evaluating renewable energy choices using AHP, demonstrating the value of structured approaches in guiding decision-making processes.
The use of FDSSs is widespread throughout renewable energy technologies, including wind, solar, and hybrid systems. Subagyo [19] evaluated the suitability of locations for hybrid wind–solar power facilities, emphasizing the importance of multi-criteria decision-making (MCDM) in site selection. Şengül et al. [20] used the fuzzy TOPSIS method to rank renewable energy supply systems in Turkey, demonstrating the flexibility of fuzzy methodologies in many geographical and technological situations. Similarly, C. Wang [21] employed Prospect Theory to address behavioral biases and risk preferences in wave–wind energy site selection in New Zealand. The model considers technological, economic, and environmental considerations, providing a sophisticated method for evaluating sustainable energy sites. The findings underscore the significance of including risk-adjusted assessments for more realistic decision-making. The criteria used for evaluating renewable energy plant locations in this study are as follows in Table 1.
Table 1.
List of potential locations.
The integration of GISs and FDSSs improves spatial analytic capabilities, allowing for a more thorough assessment of suitable sites. Wakeyama and Ehara [22] used a GIS to assess renewable energy possibilities in Japan, demonstrating how geographical data can help guide decision-making. This integration is repeated in the work of Besser et al. [23], who created a tailored DSS for renewable energy applications using a GIS, emphasizing the synergy between spatial analysis and fuzzy decision-making.
Incorporating stakeholder perspectives is critical for the successful implementation of renewable energy projects. Ottenburger et al. [24] investigated the dynamics of citizen participation in energy transitions and proposed a novel MCDM-based methodology to resolve stakeholder preference differences. This participatory approach is consistent with the findings of Wilkens and Schmuck [25], who stressed the importance of local knowledge when selecting renewable energy systems, hence increasing the legitimacy and acceptance of decision-making processes.
The assessment of environmental and economic implications is an important component of renewable energy site selection. Zsembinszki et al. [26] studied the selection of phase transition materials for energy storage systems, emphasizing the issue of environmental sustainability in decision-making. Similarly, Tietze et al. [27] created a multi-objective optimization model for residential energy systems, taking into account both costs and environmental implications. These studies highlight the importance of including sustainability metrics in FDSS frameworks to provide comprehensive reviews.
Despite the benefits of FDSSs, obstacles exist in their implementation. The integration of several factors and stakeholder preferences might complicate decision-making procedures. Horschig and Thrän [28] examined modeling approaches for renewable energy policy evaluation and identified limitations in the existing methodologies. These problems need continual study to strengthen FDSS systems and improve their applicability in real-world settings.
Future research should focus on increasing FDSSs’ flexibility and robustness in the context of renewable energy site selection. Li et al. [29] emphasized the potential of deep reinforcement learning in modern renewable power system control, implying that such advancements could further improve FDSS capabilities. Fuzzy Decision Support Systems are important in the selection of renewable energy plant locations because they allow for the integration of several criteria and stakeholder views. The studied literature indicates the efficacy of fuzzy logic and MCDM approaches in tackling the complexity of site selection. As the demand for renewable energy continues to grow, the development and refinement of FDSSs will be essential in guiding sustainable energy planning and management.
Despite these advancements, there is a noticeable research gap in applying MCDM methods under a fuzzy environment specifically to wave energy site selection in developing countries like Vietnam. Most existing studies focus on solar or wind energy, with limited attention to the unique characteristics and challenges associated with wave energy. Furthermore, while methods like fuzzy AHP and TOPSIS are commonly used, the integration of less frequently applied methods, such as TODIM, for evaluating wave energy plant locations remains limited.
The aim of this research is to develop a comprehensive and applicable MCDM model to support the wave energy power plant location selection in Vietnam under a fuzzy decision-making environment. To avoid omitting expert opinion, fuzzy logic is applied in conjunction with classical MCDM methods. This research chooses to utilize FAHP and TODIM to create a decision-supporting tool for wave energy power plant location selection in Vietnam, where FAHP is applied to calculate the weights of the evaluation criteria and TODIM is used to determine the performance ranking of the alternatives.
2.2. Methodology
The process of evaluating and selecting the optimal location for a renewable energy project involves addressing a multi-criteria decision-making problem that includes both qualitative and quantitative factors. In this study, the authors developed an innovative fuzzy MCDM model to determine the most suitable location for investing in a wave power plant in Vietnam. The model integrates the fuzzy AHP and TODIM approaches is shown in Figure 1. The decision-making process is structured into three main steps:
Step 1: Identify criteria for evaluating and selecting a suitable location through expert input and a literature review.
Step 2: Determine the weight of each criterion using the FAHP.
Step 3: The TODIM model is an MCDM tool used to rank potential locations.
Figure 1.
Research process.
Figure 1.
Research process.

2.2.1. Fuzzy Sets
A Triangular Fuzzy Number (TFN) is represented as (t, f, k), where for t, f, and k (t ≤ f ≤ k). TFNs are illustrated in Figure 2 and can be categorized as follows [30]:
Figure 2.
Triangular Fuzzy Number.
The following illustrates an example of a fuzzy number.
Two positive TFNs, and are used in the basic computations presented below:
2.2.2. Fuzzy AHP Model
The FAHP is a fuzzy extension of the AHP model, designed to overcome the limitations of AHP in handling uncertainty in decision-making situations. Let represent the set of objects, and represent the set of goals. Each object undergoes an extent analysis for its respective goals using Chang’s extent analysis method [31]. Consequently, the extent analysis values for each object can be determined, expressed as follows:
where are the TFNs.
The th object’s fuzzy synthetic extent value is defined as
The possibility that is defined as
We have if the pair exists with and .
Due to the fact that and are convex fuzzy numbers,
And
The ordinate of the highest intersection point D between and is denoted by .
The ordinate of point D is determined using , and , by (9):
Calculate the values of and in order to compare and .
represents the probability that a convex fuzzy number is greater
than k other convex fuzzy numbers.
and ) = min
Based on the assumption that
for , the weight vector is determined as follows:
where represents the number of elements, and n denotes the total number of elements.
The normalized weight vectors are expressed as follows:
The number is a non-fuzzy number.
The consistency of Saaty’s matrix is assessed:
2.2.3. The Processes of the TODIM Model
The main steps of the TODIM method are as follows [32]:
Step 1: Construct a decision-making matrix.
Step 2: Ensure that the total weight of all criteria equals 1.
Step 3: To maintain comparability, the scales of quantitative criteria are standardized. Similarly, these estimations are normalized to produce comparable results. For maximizing criteria, the set of Equations (17)–(19) is applied, whereas Equation (16) is used for minimizing criteria. The standardization of values is performed using Equation (17).
Step 4: The individual criterion weights are recalculated based on the most significant criterion (cj), which has the highest weight (qc).
Step 5: The “single-criterion dominance” for each criterion is computed as follows for any given pair of alternative, and , :
i, k =, j =
The “relative dominance” is calculated by summing the “single-criterion dominance” values for each pair of alternatives, and , i, k = :
The “global overview” G () of each alternative ( = ), where m represents the total number of alternatives, is determined by summing the “relative overview” across all alternatives.
In the final stage, the following equation is applied to normalize the “global
dominances”, yielding the “relative overall value” V() for each alternative.
The “relative overall values” ranging from 0 to 1 produced from Equation (24) are utilized to rank order alternatives.
3. Results and Discussion
The renewable energy sector plays an important role in Vietnam’s continued development, and access to reliable, cost-effective energy sources will be an important factor for sustainable economic growth. Vietnam is a country located in the tropical climate zone. This is a favorable condition for the development of wave energy. In recent years, many works and projects on wave energy have been continuously built and formed. It is this strong development that shows the great potential of using wave energy in Vietnam.
In any wave power investment projects, the evaluation and selection process of a suitable location to maximize the benefit is the most key phase, which can be addressed as a multi-criteria decision-making (MCDM) problem. In this work, the authors of this paper provide a multi-criteria decision-making (MCDM) model that includes the FAHP and TODIM models for determining the best location for building a wave power plant in Vietnam. Potential locations are shown in Figure 3 below:
Figure 3.
Potential locations.
Fourteen criteria are chosen based on the flowchart of research methods mentioned in Section 2 after conversation with a panel of 15 experts (including a renewable energy engineer, oceanographer, marine geologist, environmental scientist, and energy economist), who have more than 10 years of experience in the field of renewable energy development. These criteria are shown in Table 2.
Table 2.
Information on criteria.
In the first stage of this work, after the relevant criteria are identified, the panel of industry experts will evaluate the relative importance of these criteria, and the fuzzy AHP model is applied to calculate the weight of all the criteria; the weight of the 14 criteria is as shown in Table 3.
Table 3.
The importance of the criteria.
In the last stage, the TODIM model is utilized to rank the optimal locations. The normalized matrix and the sum of single-criterion dominances [δ(ai, ak)] calculated using the TODIM model are presented in Table 4 and Table 5.
Table 4.
Normalized matrix.
Table 5.
Sum of single-criterion dominances [δ(ai, ak)].
The findings in Table 6 indicate that Location 3 has a coefficient of 1.0, the highest value in this scenario, making it the optimal alternative for the decision-maker, followed by Location 1. Location 2 is the least optimal alternative in this case study.
Table 6.
Final aggregation and ranking.
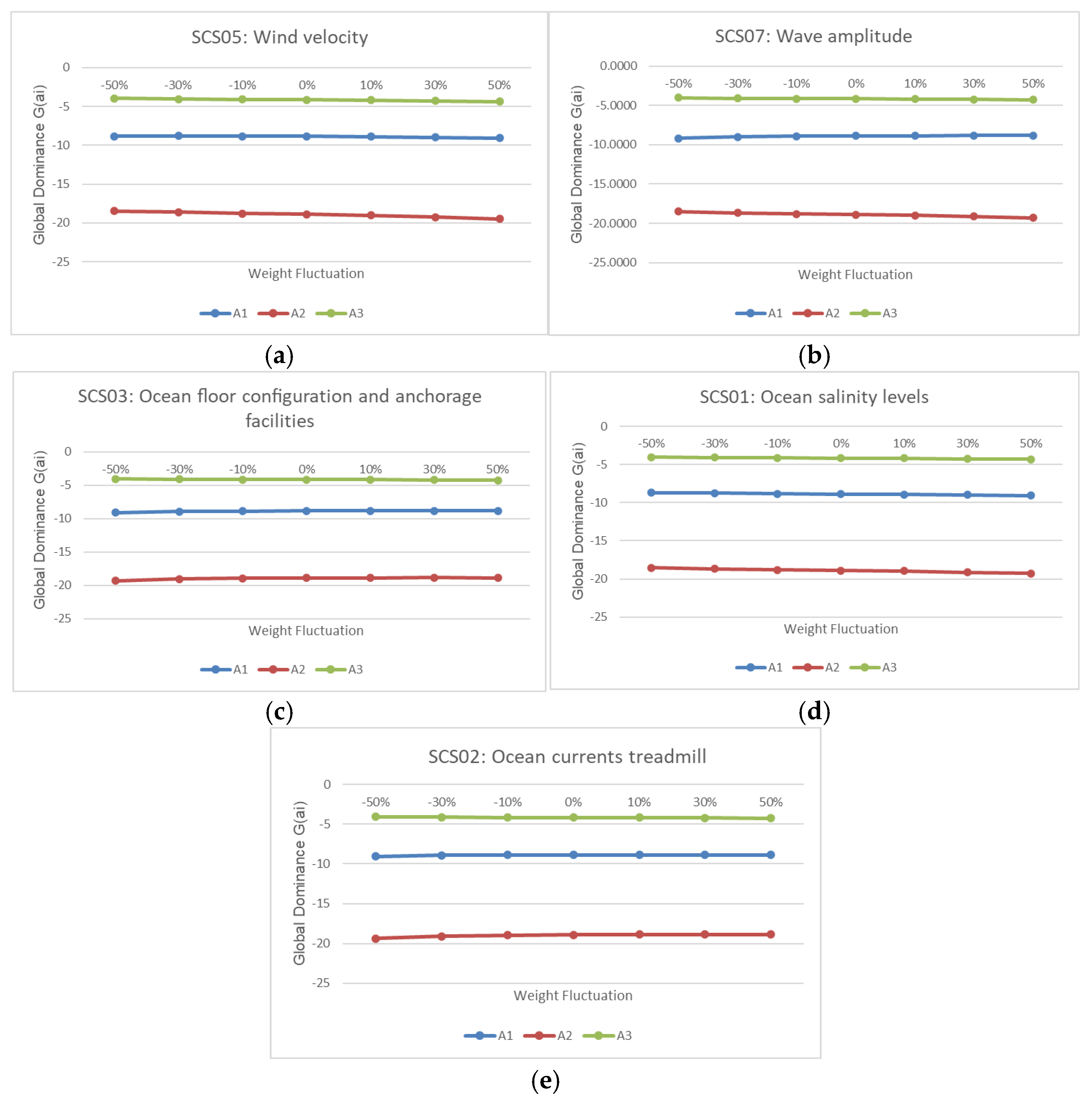
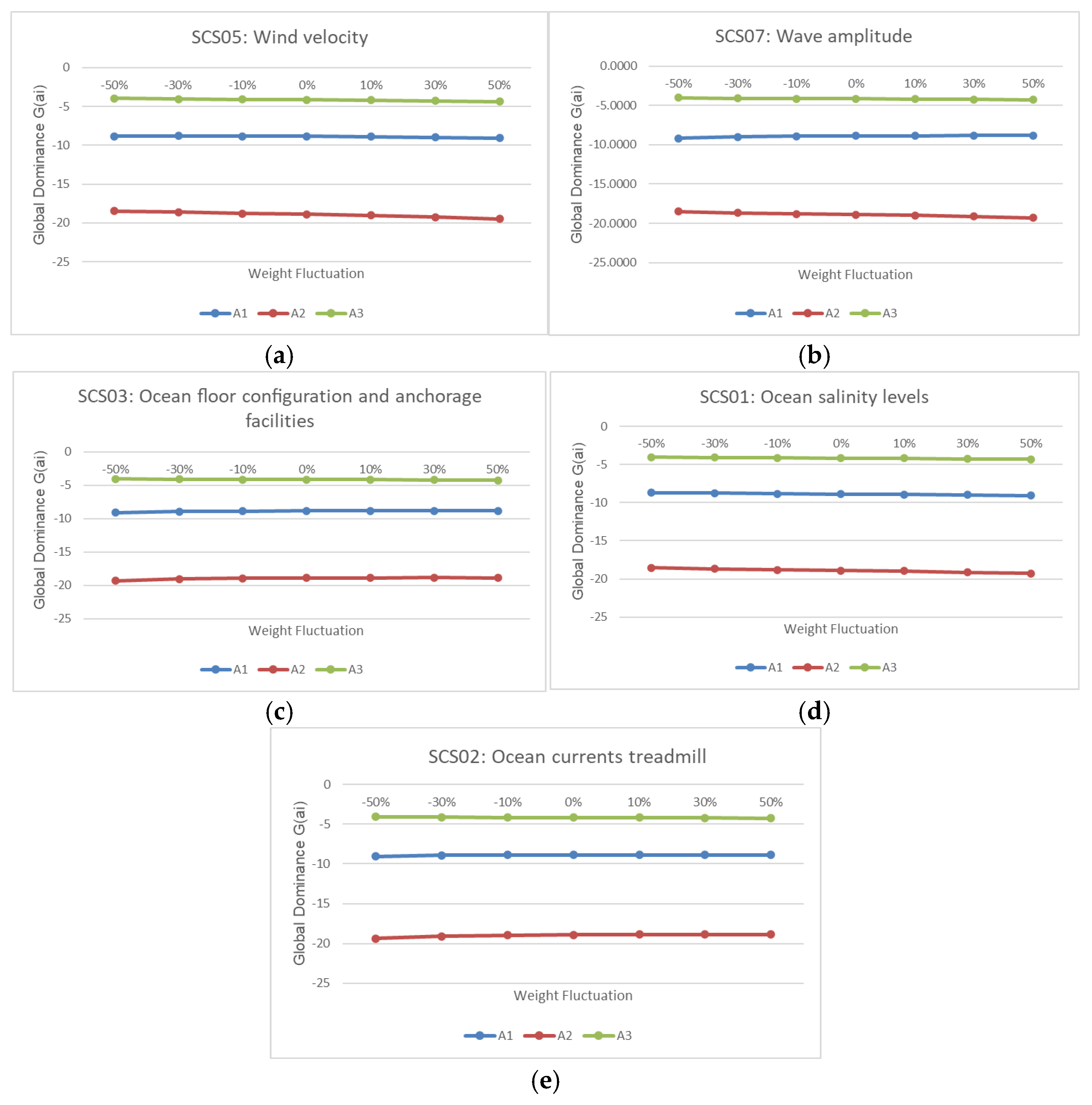
4. Sensitivity Analysis
The robustness and stability of the proposed method is demonstrated via a sensitivity analysis, where the performance of the alternatives is examined when the criteria’s weights fluctuate. In this case, the top five sub-criteria weights are selected to fluctuate from [63]; these are SCS05 (wind velocity), SCS07 (wave amplitude), SCS03 (ocean floor configuration and anchorage facilities), SCS01 (ocean salinity level), and SCS02 (ocean currents treadmill).
Figure 4 shows the result of the sensitivity analysis. In total, 30 scenarios were examined, and, in all cases, the ranking remains the same as the based case. This suggests that the result of the proposed method is robust and reliable.
Figure 4.
Sensitivity analysis results. (a) SCS05 fluctuation; (b) SCS07 fluctuation; (c) SCS03 fluctuation; (d) SCS01 fluctuation; (e) SCS02 fluctuation.
The selection of only three locations in the case study aligns with the specific characteristics of wave energy site selection; the chosen locations represent the most promising candidates based on expert evaluations and the available data. However, the proposed FAHP-TODIM model is not limited to three locations. It is fully scalable and can be applied to a larger set of potential sites, allowing decision-makers to rank and prioritize multiple locations based on the same comprehensive criteria. The model’s ability to handle fuzzy uncertainty and behavioral decision-making factors ensures that it remains effective even when expanded to a broader dataset.
While different MCDM methods may yield varying ranking outcomes, the case study validates the robustness and consistency of FAHP-TODIM through sensitivity analysis. Future applications can extend this model to compare more locations and further refine the decision-making process for wave energy development.
This research advances the field by demonstrating the feasibility of apply TODIM, a less frequently used method, which incorporates behavioral decision-making principles to account for stakeholder risk preferences—an approach particularly suited for the complexities of renewable energy projects. This research also highlights the unique challenges and opportunities associated with wave energy, a relatively underexplored renewable energy source compared to solar and wind. Additionally, by focusing on Vietnam, this study addresses a notable gap in the literature, as most wave energy research has been conducted in developed nations with well-established methodologies for site evaluation. Unlike these studies, which benefit from extensive datasets and advanced technological capabilities, this research provides insights into the challenges and opportunities of wave energy site selection in emerging economies, where data availability, investment constraints, and policy frameworks present additional layers of complexity. These findings contribute to advancing knowledge on the strategic selection of wave energy sites, offering a practical decision-making framework that can be adapted to other regions with similar constraints.
5. Conclusions
This study proposes a novel hybrid decision-making framework combining a fuzzy analytical hierarchy process (FAHP) and TODIM to address the complexities of wave energy plant location selection under uncertain conditions. By integrating multiple criteria—economic, environmental, technical, and social—the model provides a robust and scientifically grounded tool for informed decision-making in sustainable energy planning. The methodology demonstrates its practical applicability through a real-world case study in Vietnam, identifying optimal locations based on 14 well-defined criteria.
The findings highlight the potential of wave energy as a renewable resource and underscore the importance of systematic evaluation methods to maximize its benefits. The proposed model’s sensitivity analysis further reinforces the reliability and robustness of the results, ensuring adaptability to varying conditions and priorities.
This research contributes to the growing body of literature on renewable energy planning by introducing a structured approach that can be adapted for similar applications globally. The framework offers significant value for policymakers and investors seeking to align energy projects with sustainability goals while addressing complex decision-making challenges. The methodology primarily prioritizes criteria that directly influence wave energy generation and efficiency (e.g., significant wave height, wave amplitude, wind velocity). While factors related to logistics and infrastructure, such as water depth and distance from shore, were not the primary focus of this evaluation, future work should integrate these aspects to ensure a more comprehensive assessment. Incorporating emerging criteria or technologies could further refine the decision-support framework, contributing to more efficient and impactful renewable energy development. Additionally, comparisons with other advanced multi-criteria decision-making techniques and the integration of geospatial analysis tools such as GISs may enhance the model’s utility.
Author Contributions
Conceptualization, N.V.T., N.C. and C.J.; Data curation, N.V.T., N.C. and C.J.; Formal analysis, A.P., N.C. and C.J.; Funding acquisition, N.C. and C.J.; Investigation, N.V.T. and C.J.; Methodology, G.K., N.V.T., A.P., N.C. and C.J.; Project administration, G.K., N.V.T. and N.C.; Resources, C.J.; Software, N.V.T. and N.C.; Supervision, N.V.T. and N.C.; Validation, G.K., A.P. and N.C.; Visualization, A.P.; Writing—original draft, N.V.T. and N.C.; Writing—review and editing, G.K., A.P. and N.C. All authors have read and agreed to the published version of the manuscript.
Funding
This research has received funding support from NSRF via the Program Management Unit for Human Resources and Institutional Development, Research, and Innovation [grant numbers B13F660122 and B11F670109] and the Kasetsart University Research and Development Institute [grant number FF(KU)53.67]. This research is fully supported by the Center of Excellence in Logistics and Supply Chain Systems Engineering and Technology (LogEn Tech), Sirindhorn International Institute of Technology, Thammasat University. This rearch also received support from Van Lang University, Vietnam.
Data Availability Statement
No new data were created or analyzed in this study. Data sharing is not applicable to this article.
Conflicts of Interest
The authors declare no conflicts of interest.
References
- Ky, V. Promising Wave Energy in Vietnam. Vietnam National Energy Efficiency Program. 2010. Available online: http://vneec.gov.vn/tin-tuc/activities/t7972/promising-wave-energy-in-vietnam.html (accessed on 8 November 2024).
- Du, V. Tài Nguyên Năng Lượng Tái Tạo Biển Việt Nam Và Giải Pháp Phát Triển. Năng Lượng Việt Nam. 2020. Available online: https://nangluongvietnam.vn/tai-nguyen-nang-luong-tai-tao-bien-viet-nam-va-giai-phap-phat-trien-25772.html (accessed on 8 November 2024).
- Kumar, A.; Sah, B.; Singh, A.R.; Deng, Y.; He, X.; Kumar, P.; Bansal, R.C. A review of multi criteria decision making (MCDM) towards sustainable renewable energy development. Renew. Sustain. Energy Rev. 2017, 69, 596–609. [Google Scholar] [CrossRef]
- Siksnelyte-Butkiene, I.; Zavadskas, E.K.; Streimikiene, D. Multi-Criteria Decision-Making (MCDM) for the Assessment of Renewable Energy Technologies in a Household: A Review. Energies 2020, 13, 1164. [Google Scholar] [CrossRef]
- Ghasempour, R.; Nazari, M.A.; Ebrahimi, M.; Ahmadi, M.H.; Hadiyanto, H. Multi-Criteria Decision Making (MCDM) Approach for Selecting Solar Plants Site and Technology: A Review. Int. J. Renew. Energy Dev. 2019, 8, 15–25. [Google Scholar] [CrossRef]
- Abu-Taha, R. Multi-criteria applications in renewable energy analysis: A literature review. In Proceedings of the PICMET’11: Technology Management in the Energy Smart World (PICMET), Portland, OR, USA, 31 July–4 August 2011; pp. 1–8. [Google Scholar]
- Benmoussa, N.; Elyamami, A.; Mansouri, K.; Qbadou, M.; Illoussamen, E. A Multi-Criteria Decision Making Approach for Enhancing University Accreditation Process. Eng. Technol. Appl. Sci. Res. 2019, 9, 3726–3733. [Google Scholar] [CrossRef]
- Deepa, N.; Duraj Raj Vincent, P.M.; Senthil Kumar, N.; Srinivasan, K.; Chang, C.-Y.; Bashir, A.K. An Efficient Ensemble VTOPES Multi-Criteria Decision-Making Model for Sustainable Sugarcane Farms. Sustainability 2019, 11, 4288. [Google Scholar] [CrossRef]
- Rehman, A.U.; Abidi, M.H.; Umer, U.; Usmani, Y.S. Multi-Criteria Decision-Making Approach for Selecting Wind Energy Power Plant Locations. Sustainability 2019, 11, 6112. [Google Scholar] [CrossRef]
- Chachuli, F.S.M.; Ludin, N.A.; Mat, S.; Sopian, K. Renewable energy performance evaluation studies using the data envelopment analysis (DEA): A systematic review. J. Renew. Sustain. Energy 2020, 12, 062701. [Google Scholar] [CrossRef]
- Elkadeem, M.R.; Elaziz, M.A.; Ullah, Z.; Wang, S.; Sharshir, S.W. Optimal Planning of Renewable Energy-Integrated Distribution System Considering Uncertainties. IEEE Access 2019, 7, 164887–164907. [Google Scholar] [CrossRef]
- Narendra, B.H.; Widiatmaka, W.; Kusmana, C.; Karlinasari, L.; Machfud, M. Multi-dimensional rapid appraisal technique for evaluating the sustainability of energy plantation forests in East Lombok District, Indonesia. Biodivers. J. Biol. Divers. 2019, 20, 1027–1033. [Google Scholar] [CrossRef]
- Erdin, C.; Akbaş, H.E. A Comparative Analysis of Fuzzy TOPSIS and Geographic Information Systems (GIS) for the Location Selection of Shopping Malls: A Case Study from Turkey. Sustainability 2019, 11, 3837. [Google Scholar] [CrossRef]
- Ioannou, K.; Tsantopoulos, G.; Arabatzis, G.; Andreopoulou, Z.; Zafeiriou, E. A Spatial Decision Support System Framework for the Evaluation of Biomass Energy Production Locations: Case Study in the Regional Unit of Drama, Greece. Sustainability 2018, 10, 531. [Google Scholar] [CrossRef]
- Çoban, V. Solar energy plant project selection with AHP decision-making method based on hesitant fuzzy linguistic evaluation. Complex Intell. Syst. 2020, 6, 507–529. [Google Scholar] [CrossRef]
- Guerrero-Liquet, G.C.; Sánchez-Lozano, J.M.; García-Cascales, M.S.; Lamata, M.T.; Verdegay, J.L. Decision-Making for Risk Management in Sustainable Renewable Energy Facilities: A Case Study in the Dominican Republic. Sustainability 2016, 8, 455. [Google Scholar] [CrossRef]
- Wątróbski, J.; Ziemba, P.; Wolski, W. MCDA-based Decision Support System for Sustainable Management—RES Case Study. In Proceedings of the 2016 Federated Conference on Computer Science and Information Systems, Gdansk, Poland, 11–14 September 2016; pp. 1235–1239. [Google Scholar]
- Budak, G.; Chen, X.; Celik, S.; Ozturk, B. A systematic approach for assessment of renewable energy using analytic hierarchy process. Energy Sustain. Soc. 2019, 9, 37. [Google Scholar] [CrossRef]
- Subagyo; Yanuar, J.P.M.; Bambang, P.N.; Saleh, A.; Akhmad, F.W. The Suitable Location for a Hybrid Renewable Energy Wind-Solar Power Plant: A Review by Bibliometric. IOP Conf. Series: Earth Environ. Sci. 2023, 1266, 012090. [Google Scholar] [CrossRef]
- Şengül, Ü.; Eren, M.; Shiraz, S.E.; Gezder, V.; Şengül, A.B. Fuzzy TOPSIS method for ranking renewable energy supply systems in Turkey. Renew. Energy 2015, 75, 617–625. [Google Scholar] [CrossRef]
- Wang, C.; Nguyen, H.; Nhieu, N.; Hsu, H. A prospect theory extension of data envelopment analysis model for wave-wind energy site selection in New Zealand. Manag. Decis. Econ. 2023, 45, 539–553. [Google Scholar] [CrossRef]
- Wakeyama, T.; Ehara, S. Renewable Energy Potential Evaluation and Analysis for Use by using GIS—A Case Study of Northern-Tohoku Area and Tokyo Metropolis, Japan. Int. J. Environ. Sci. Dev. 2010, 1, 446–453. [Google Scholar] [CrossRef]
- Besser, A.; Kazak, J.K.; Świąder, M.; Szewrański, S. A Customized Decision Support System for Renewable Energy Application by Housing Association. Sustainability 2019, 11, 4377. [Google Scholar] [CrossRef]
- Ottenburger, S.S.; Möhrle, S.; Müller, T.O.; Raskob, W. A Novel MCDA-Based Methodology Dealing with Dynamics and Ambiguities Resulting from Citizen Participation in the Context of the Energy Transition. Algorithms 2022, 15, 47. [Google Scholar] [CrossRef]
- Wilkens, I.; Schmuck, P. Transdisciplinary Evaluation of Energy Scenarios for a German Village Using Multi-Criteria Decision Analysis. Sustainability 2012, 4, 604–629. [Google Scholar] [CrossRef]
- Zsembinszki, G.; Fernández, A.G.; Cabeza, L.F. Selection of the Appropriate Phase Change Material for Two Innovative Compact Energy Storage Systems in Residential Buildings. Appl. Sci. 2020, 10, 2116. [Google Scholar] [CrossRef]
- Tietze, I.; Lazar, L.; Hottenroth, H.; Lewerenz, S. LAEND: A Model for Multi-Objective Investment Optimisation of Residential Quarters Considering Costs and Environmental Impacts. Energies 2020, 13, 614. [Google Scholar] [CrossRef]
- Horschig, T.; Thrän, D. Are decisions well supported for the energy transition? A review on modeling approaches for renewable energy policy evaluation. Energy, Sustain. Soc. 2017, 7, 5. [Google Scholar] [CrossRef]
- Li, Q.; Lin, T.; Yu, Q.; Du, H.; Li, J.; Fu, X. Review of Deep Reinforcement Learning and Its Application in Modern Renewable Power System Control. Energies 2023, 16, 4143. [Google Scholar] [CrossRef]
- Zhang, S.-F.; Liu, S.-Y.; Zhai, R.-H. An extended GRA method for MCDM with interval-valued triangular fuzzy assessments and unknown weights. Comput. Ind. Eng. 2011, 61, 1336–1341. [Google Scholar] [CrossRef]
- Chang, D.-Y. Applications of the extent analysis method on fuzzy AHP. Eur. J. Oper. Res. 1996, 95, 649–655. [Google Scholar] [CrossRef]
- Ruzgys, A.; Volvačiovas, R.; Ignatavičius, Č.; Turskis, Z. Integrated Evaluation of External Wall Insulation in Residential Buildings Using Swara-Todim MCDM Method. J. Civ. Eng. Manag. 2014, 20, 103–110. [Google Scholar] [CrossRef]
- Thịnh, N.N.; Nguyên, Đ.V.; Lê Thị Phụng, N.T.B. Nghiên cứu xác định năng lượng sóng biển khu vực Nam Trung Bộ. Tạp Chí Khí Tượng Thuỷ Văn 2021, 722, 59–67. [Google Scholar]
- Trung, P. Dòng Năng Lượng Sóng Hướng Bờ Và Dọc Bờ Biển Nam Trung Bộ. Tạp Chí Khoa Học Và Công Nghệ Thủy Lợi 2019, 52, 1–8. [Google Scholar]
- Marinescu, M.; Olivares, A.; Staffetti, E.; Sun, J. Polynomial Chaos Expansion-Based Enhanced Gaussian Process Regression for Wind Velocity Field Estimation from Aircraft-Derived Data. Mathematics 2023, 11, 1018. [Google Scholar] [CrossRef]
- Amir, H.F.A.; Chee, F.P. Full Scale Measurement of Wind Intensity Using in situ Method. J. Clean Energy Technol. 2014, 2, 295–298. [Google Scholar] [CrossRef]
- Ghosh, S.; Chakraborty, T.; Saha, S.; Majumder, M.; Pal, M. Development of the location suitability index for wave energy production by ANN and MCDM techniques. Renew. Sustain. Energy Rev. 2016, 59, 1017–1028. [Google Scholar] [CrossRef]
- Wang, C.-N.; Nhieu, N.-L.; Nguyen, H.-P.; Wang, J.-W. Simulation-Based Optimization Integrated Multiple Criteria Decision-Making Framework for Wave Energy Site Selection: A Case Study of Australia. IEEE Access 2021, 9, 167458–167476. [Google Scholar] [CrossRef]
- Vasileiou, M.; Loukogeorgaki, E.; Vagiona, D.G. GIS-based multi-criteria decision analysis for site selection of hybrid offshore wind and wave energy systems in Greece. Renew. Sustain. Energy Rev. 2017, 73, 745–757. [Google Scholar] [CrossRef]
- Jiang, B.; Xu, Z.; Yang, S.; Chen, Y.; Ren, Q. Profile Autonomous Underwater Vehicle System for Offshore Surveys. Sensors 2023, 23, 3722. [Google Scholar] [CrossRef]
- Poort, J.; Lucazeau, F.; Le Gal, V.; Cin, M.D.; Leroux, E.; Bouzid, A.; Rabineau, M.; Palomino, D.; Battani, A.; Akhmanov, G.G.; et al. Heat flow in the Western Mediterranean: Thermal anomalies on the margins, the seafloor and the transfer zones. Mar. Geol. 2020, 419, 106064. [Google Scholar] [CrossRef]
- Hosseinzadeh, S.; Etemad-Shahidi, A.; Stewart, R.A. Site Selection of Combined Offshore Wind and Wave Energy Farms: A Systematic Review. Energies 2023, 16, 2074. [Google Scholar] [CrossRef]
- Nambiar, A.; Draycott, S.; Payne, G.S.; Sellar, B.; Kiprakis, A. Influence of tidal turbine control on performance and loads. Appl. Ocean Res. 2021, 114, 102806. [Google Scholar] [CrossRef]
- Ghosh, S. Wave energy potential site selection based on MCDM and neural network analysis. In Application of Geographical Information Systems and Soft Computation Techniques in Water and Water Based Renewable Energy Problems; Springer: Singapore, 2018; pp. 107–120. [Google Scholar]
- Chakraborty, T. A MCDM-NBO approach for selection of installation location for wave energy power plants. In Application of Geographical Information Systems and Soft Computation Techniques in Water and Water Based Renewable Energy Problems; Springer: Singapore, 2018; pp. 121–140. [Google Scholar]
- Shao, M.; Zhang, S.; Sun, J.; Han, Z.; Shao, Z.; Yi, C. GIS-MCDM-Based Approach to Site Selection of Wave Power Plants for Islands in China. Energies 2022, 15, 4118. [Google Scholar] [CrossRef]
- Chen, Z.-Y.; Chu, Y.-H.; Su, C.-L. Intercomparisons of Tropospheric Wind Velocities Measured by Multi-Frequency Wind Profilers and Rawinsonde. Atmosphere 2021, 12, 1284. [Google Scholar] [CrossRef]
- Zhong, J.; Liu, J.; Liang, G. Mean Wind Velocity Distribution at Near-ground Level Obtained Through Field Measurements. In Proceedings of the 16th ROOMVENT Conference (ROOMVENT 2022), E3S Web of Conferences, Xi’an, China, 16–19 September 2022; Volume 356, p. 04003. [Google Scholar]
- Medvedev, A.V.; Ratovsky, K.G.; Tolstikov, M.V.; Vasilyev, R.V.; Artamonov, M.F. Method for Determining Neutral Wind Velocity Vectors Using Measurements of Internal Gravity Wave Group and Phase Velocities. Atmosphere 2019, 10, 546. [Google Scholar] [CrossRef]
- Kale, S.A.; Godse, R.V.; Haribhau, G.P. Performance Evaluation of Small Wind Turbine Diffusers with Different Diameters. Int. J. Innov. Technol. Explor. Eng. 2019, 8, 1077–1080. [Google Scholar] [CrossRef]
- Castro-Santos, L.; Filgueira-Vizoso, A. The decarbonisation of Galicia using renewable marine energy. Renew. Energy Power Qual. J. 2023, 19, 115–120. [Google Scholar] [CrossRef]
- Zirek, E.; Sunar, F. Change Detection of Seafloor Topography by Modeling Multitemporal Multibeam Echosounder Measurements. ISPRS-Int. Arch. Photogramm. Remote Sens. Spat. Inf. Sci. 2014, XL-7, 221–227. [Google Scholar] [CrossRef]
- Jeong, M.-H.; Jeon, S.-B.; Lee, T.-Y.; Youm, M.K.; Lee, D.-H. Vessel Trajectory Reconstruction Based on Functional Data Analysis Using Automatic Identification System Data. Appl. Sci. 2020, 10, 881. [Google Scholar] [CrossRef]
- Tu, E.; Zhang, G.; Rachmawati, L.; Rajabally, E.; Huang, G.-B. Exploiting AIS Data for Intelligent Maritime Navigation: A Comprehensive Survey from Data to Methodology. IEEE Trans. Intell. Transp. Syst. 2018, 19, 1559–1582. [Google Scholar] [CrossRef]
- Wu, L.; Xu, Y.; Wang, Q.; Wang, F.; Xu, Z. Mapping Global Shipping Density from AIS Data. J. Navig. 2016, 70, 67–81. [Google Scholar] [CrossRef]
- Medvedev, A.; Ratovsky, K.; Tolstikov, M.; Alsatkin, S.; Shcherbakov, A. A statistical study of internal gravity wave characteristics using the combined Irkutsk Incoherent Scatter Radar and Digisonde data. J. Atmos. Solar-Terr. Phys. 2015, 132, 13–21. [Google Scholar] [CrossRef]
- Greig, N.C.; Hines, E.M.; Cope, S.; Liu, X. Using Satellite AIS to Analyze Vessel Speeds Off the Coast of Washington State, U.S., as a Risk Analysis for Cetacean-Vessel Collisions. Front. Mar. Sci. 2020, 7, 109. [Google Scholar] [CrossRef]
- Goerlandt, F.; Montewka, J. Maritime transportation risk analysis: Review and analysis in light of some foundational issues. Reliab. Eng. Syst. Saf. 2015, 138, 115–134. [Google Scholar] [CrossRef]
- Tercan, E.; Tapkın, S.; Latinopoulos, D.; Dereli, M.A.; Tsiropoulos, A.; Ak, M.F. A GIS-based multi-criteria model for offshore wind energy power plants site selection in both sides of the Aegean Sea. Environ. Monit. Assess. 2020, 192, 652. [Google Scholar] [CrossRef] [PubMed]
- Oh, H.-T.; Chung, Y.; Jeon, G.; Shim, J. Review of the marine environmental impact assessment reports regarding offshore wind farm. Fish. Aquat. Sci. 2021, 24, 341–350. [Google Scholar] [CrossRef]
- Spyridonidou, S.; Vagiona, D.G. Systematic Review of Site-Selection Processes in Onshore and Offshore Wind Energy Research. Energies 2020, 13, 5906. [Google Scholar] [CrossRef]
- Juhola, S.; Laurila, A.; Groundstroem, F.; Klein, J. Climate risks to the renewable energy sector: Assessment and adaptation within energy companies. Bus. Strat. Environ. 2023, 33, 1906–1919. [Google Scholar] [CrossRef]
- Wu, Y.; Wang, J.; Hu, Y.; Ke, Y.; Li, L. An extended TODIM-PROMETHEE method for waste-to-energy plant site selection based on sustainability perspective. Energy 2018, 156, 1–16. [Google Scholar] [CrossRef]
Disclaimer/Publisher’s Note: The statements, opinions and data contained in all publications are solely those of the individual author(s) and contributor(s) and not of MDPI and/or the editor(s). MDPI and/or the editor(s) disclaim responsibility for any injury to people or property resulting from any ideas, methods, instructions or products referred to in the content. |
© 2025 by the authors. Licensee MDPI, Basel, Switzerland. This article is an open access article distributed under the terms and conditions of the Creative Commons Attribution (CC BY) license (https://creativecommons.org/licenses/by/4.0/).


