Abstract
This research examines perceptions of ecosystem services (ES) and social well-being in the Wuyishan National Park, China. This study analyses the importance of and linkages between them based on the impact of new designation of protected areas on this social-ecological system. Realisation of rural well-being is critical to park-people relations in populated protected areas, and effective resolution is needed to achieve positive conservation outcomes. We conducted 372 structured interviews with community members with different livelihood strategies. Key findings from the research include: (1) the importance of provisioning (e.g., tea, rice, timber) and cultural ES (e.g., local culture, eco-tourism) is related to both current livelihood necessity and future development pursuit. (2) The perceived material well-being is higher than spiritual well-being, and high social well-being is closely related to high-income groups and those that think highly of cultural services, i.e., those engaged in non-agricultural activities (e.g., tourism) and tea cultivation. (3) Cultural values are better preserved in tea and rice cultivation and tourism, but in general, they are not incorporated to improve social well-being. The results suggest that Protected area (PA) management of local communities must seek cultural valorisation for differentiated livelihood strategies for rural people’s sustainable livelihood and stability of the social-ecological system.
1. Introduction
Ensuring the well-being of rural people in and around protected areas (PAs) is an important prerequisite for local community support to PA management and participation in the sustainable use of natural resources and biodiversity conservation [1]. In human–nature interactions, a variety of ecosystem services are produced and flow to local communities, benefiting them in financial or non-financial forms and promoting their overall well-being. However, protected areas, conservation set-asides can also involve the loss of access to natural resources, conflict over their preservation and utilisation, and unequal impacts to different resource users [2,3,4,5,6]. In this context, the well-being of the local rural people is becoming a critical facet for conservation practitioners and managers to understand with a social-ecological systems perspective when designing or evaluating impacts of conservation interventions [7,8,9,10].
Since the Millennium Ecosystem Assessment [11], the relationship between ecosystem services and human well-being (ES-HWB) has been widely studied around the world in an effort to foster effective governance in biodiversity conservation and sustainable development. At the cross-country level, research confirms a significant general relationship between the provision of ecosystem services and human well-being [12,13,14]. At a local to regional scale, various studies have revealed the nonlinear, dynamic, and diverse relationship between a variety of ecosystem services and human well-being both spatially and temporally [15,16,17,18]. However, protection and enhancement of ecosystem services is a relatively new goal for PAs in China compared to well-established biodiversity conservation priorities [19,20]. In the global conservation context, assessing human perceptions of natural capital, ecosystem services, or nature-generated benefits, have proven instrumental for designing and adapting conservation strategies for PAs, in that local communities’ perception of their landscapes and management practices can directly affect the process of legitimacy for conservation governance or social acceptance, thus the stability of the social-ecological system [21,22,23]. Int is increasingly accepted that understanding and considering local livelihood practices and benefits, often embedded in local and traditional knowledge and interactions with ecosystems, might improve the efficacy of community participation in conservation and ultimately the resilience of the social-ecological system in PAs [5,10,24,25]. Yet, little is known about the multiple ways in which local people relate to, perceive, and value ecosystem services and related human well-being.
Past research on the relationship between ecosystem services and human well-being (ES-HWB) in China has largely focused on the comprehensive efficacy of conservation policies encompassing integrated ecology and poverty alleviation projects, ecological restoration projects, and eco-compensation programs in underdeveloped and ecologically fragile regions [26]. This is because enhancing ecosystem services and improving human well-being is a win–win target for these national and regional policies and projects [27]. For example, some policy studies of ecological poverty alleviation and ecological engineering have assessed temporal and spatial changes of ecosystem functions and services (directly and indirectly), using economic parameters to represent the objective well-being of farmers [28,29]. Other studies have identified spatial and temporal patterns of interaction between ecosystem services value and economic income well-being, revealing sustainable and unsustainable regional development modes [17,30].
Replying to criticisms of the ES approach as materially-oriented, overemphasising services that can be monetised and assuming rational behaviours (i.e., assumptions that individuals maximise their own gains without considering collective well-being), some studies have evaluated policy efficacy through analysing stakeholders’ perception of ecosystem services and human well-being. For example, research analysed stakeholders’ perception of the importance of ecosystem services and degree of improvement after policy implementation, assessed rural people’s perception and ecosystem services dynamics and satisfaction of well-being of many aspects, revealing that human well-being can be affected by provisioning, regulating and cultural services, and the supply-demand match state [31,32,33,34]. Overally, research on the efficacy of eco-compensation mainly focuses on the changes of ecosystem functions and services before and after the implementation of the policy regarding ecological outcomes, and addressing rural livelihood dynamics as human well-being [35,36,37,38]; however, the contribution of ecosystem services enhancement to human well-being is seldom analysed with an integrated efficacy approach that fully reflects ES-HWB relationships.
While the need for integrating benefit-sharing and community participation into protected area management has been recognised [39,40], empirical evidence explaining the rural perception of ecosystem services, well-being, and their interaction remains scarce in China [18,33,34]. A small portion of research has focused on PAs or an ecosystem under certain management rules from the perspective of stakeholder perception, revealing rural people’s motivation and decision-making mechanism to obtaining certain ecosystem services for well-being, thus to help policy design with effective conservation incentives. For example, studies were carried out in community sacred forest, agroecosystem and wetland to assess rural people’s perception of ecosystem services and their satisfaction of current supply, identifying key factors and extending to analyse their conservation willingness [41,42,43].
In summary, current research on ecosystem services and human well-being mainly has a posterior perspective, focusing on policy efficacy assessment. Besides, well-being assessments are often conducted with economic indicators for objective well-being, but little is known about comprehensive well-being, especially subjective well-being which is reflective of social-cultural effects. Furthermore, livelihood strategies are more taken as an indicator of well-being, instead of a social-economic factor to represent the notion of social complexity in the idea of “community” [44], where diverse social and experiences of different groups may need context-specific approaches to the management of PAs. The end result is that accurate policy evaluations are a challenge, robust policy recommendations hard to make. There is a lack of baseline research to support and inspire new policy design.
A careful understanding of the linkages between ES and human well-being may offer insights that can improve the design of PA conservation interventions, and the governance processes needed to achieve positive outcomes of nature conservation, livelihood development, and well-being improvement [20,45]. During China’s optimisation of protected area systems and national park establishment, securing ecosystem services for local well-being as well is becoming a common understanding which urges empirical research into PA’s social-ecological systems [19,20].
This study aimed to address this gap by delineating triple elements of PA’s social-ecological system, i.e., livelihood strategies, ecosystem services, and human well-being, among the rural residents living within and around the national park pilot of Mt. Wuyi (Wuyishan), China. Our work was guided by the following four objectives:
- 1.
- To examine perceptions of: (i) ecosystem services importance; (ii) traditional culture inheritance; (iii) material and spiritual well-being;
- 2.
- To assess a series of demographic, industrial, and cultural factors that describe the respondents and are expected to explain human well-being perceptions, and;
- 3.
- To determine how livelihood strategies, ecosystem services, and human well-being intertwine;
- 4.
- To provide insights about the implication of the results for rural livelihood sustainability under the management of PAs.
We statistically tested assumptions that are derived from the first three objectives, and then discussed how the dynamic interplay among livelihood, ES, and human well-being can be harnessed to enhance governance for conservation and rural livelihood development.
2. Material and Methods
2.1. Study Area
This research was conducted in the Wuyishan National Park pilot located in the northwest of Fujian Province in Southeast China (Figure 1). It has a total area of 1001.41 km2 aimed mainly at conserving the subtropical forest ecosystem. At present, there are about 3000 people living inside of the park and about 20,000 people adjacent to the park boundary, belonging to 29 villages. The major income of 80% of these rural households is from tea production in the lower slope of forest and spotted rocky hills, followed by bamboo industry, migrant labour income, and other ways of life. Tea planting has a history of thousands of years to have started in the Song Dynasty and flourished in Ming and Qing Dynasties. In the recent 40 years of human-nature interaction, implementation of conservation policies represented by the designation of the national nature reserve (1979), national scenic spots (1983), and world heritage site (1998) has, on the one hand, fully recognised the biological relevance and ecosystem service value, and deeply impacted rural people’s land management and attitude of nature conservation, thus affected their perception of ecosystems, on the other hand [5].
Figure 1.
The map of the city of Wuyishan and the location of the National Park Pilot.
Therefore, this case is typical for this social-ecological approach with its consistent and diverse conservation interventions to reflect a context-based and case-specific condition, and the methods and results can inform a wider set of conditions where small scale rural communities are engaged in conservation interventions, both under policy reform as China, and other conditions.
2.2. Data Collection
We hypothesised that in Wuyishan, where great natural and cultural value exists, local rural residents highly depend on these values to form livelihood strategies (building on [5,46]), and certain traditional knowledge, technologies, and belief have been recognised and inherited (building on [5]). We expected that households with different livelihood strategies would perceive ecosystem services and well-being differently and relevant to livelihood activities. Finally, we expected that three groups of factors, including household demographic characteristics, industrial characteristics, and cultural inheritance, would affect different residents’ perceptions of well-being.
A structured questionnaire was used in the study by trained volunteers to conduct interviews with selected households. Sample selection is based on the population of administrative villages, livelihood strategies, and family income level. Households engaged in different livelihoods as a major income were selected according to both population data and the introduction of the administrative village leader, who had very good knowledge of family income distribution in the villages. Snowball sampling was also used as a supplement to lead recommendations to ensure full coverage of households of different livelihoods and income levels. In total, 372 households were interviewed. The questionnaire had four parts. The first part is basic information, those including demographic information of the interviewee such as gender, age, head of household or not and educational level; household information such as length of residence, annual household income, family population, size of the labour force, number of migrant workers, ratios of income from production, wages and welfare; livelihood features such as major livelihood activity of income, and two measures of the production chain: the source of related techniques and product destination.
The second part is a list of 15 ecosystem services (ESs) of the Wuyishan national park pilot for interviewees to select and rank. These ecosystem services were selected from previous studies [5], preliminary fieldwork, and expert interviews. They were divided into provisioning, regulating, and cultural services based on the Millennium Ecosystem Assessment [11], and illustration is provided to help to understand each of the ecosystem services. Interviewees were asked to choose five of the most important ESs and score them from 5 to 1 according to their importance. Those not chosen were given 0. For each ES, their weight score is calculated according to , where Si is a single score from 0 to 5 and fi is the frequency of that score given by all the interviewees.
The third part is a cultural inheritance evaluation form including two specific descriptions. The first is the degree of understanding and mastering of traditional knowledge and technology and the second is the degree of understanding and practicing customs. A five-point Likert scale was used for the interviewee to describe the degree of cultural inheritance as 1: very little, 2: a little, 3: average, 4: much, 5: very much. A score of 1 to 5 was also given to the degree from the lowest to the highest.
The last part is a social well-being evaluation form. Usually, human well-being is regarded as the antonym of poverty, and it covers a spectrum from basic material needs to elements that are required to meet high-quality living standards, as well as elements that matter to personal development, such as freedom, choice, health, good social relations, security, etc. [11,47]. Thus, well-being is a comprehensive evaluation of people’s living in certain living context and moral values [11]. A strong positive relationship exists between the sense of happiness and richness before income reaches a certain level [48], therefore, income-related indices are often used in well-being evaluation in less-developed regions as an objective indicator to represent the local priority for basic physiological and security needs. As many policies aim to reach multiple objectives in promoting human well-being, many studies focus on human perception of social, economic, cultural, and environmental outcomes to form subjective indicators to represent comprehensive happiness. The concept of social well-being, or the three-dimensional well-being is also widely accepted in social science and development scholarship [49]. Material well-being is grounded in tangible terms (e.g., physical resources, financial resources, assets, shelter), relational well-being includes social relations, access to public goods, personal relationships, and attitudes in life, and subjective well-being encloses intangible terms of individual perceptions (e.g., of material, social, and human position), cultural values (e.g., ideologies, beliefs), aspirations, and happiness. Considering the importance of income as an objective indicator and the essential material well-being for subsistence, and comprehensiveness of subjective indicators, as well as research feasibility, this research borrowed the concept of social well-being, and reduced multiple elements of human well-being in the MEA to two major aspects, material well-being representing livelihood security, encompassing physical aspects such as basic material for life, health and security similar to the definition in social well-being, and spiritual well-being concerning mental fulfillment, encompassing social and cultural aspects such as good social relations and their value base, and freedom and choice, thus a combination of relational and subjective well-being. These meanings were explained to interviewees to evaluate two descriptions of “I am satisfied with my material living standard” and “I feel fulfilled in my daily life” by a five-point Likert scale of 1: strongly disagree, 2: disagree, 3: neutral, 4: agree, 5: strongly agree. A score of 1 to 5 was also given to the answer from “strongly disagree” to “strongly agree”.
2.3. Data Analysis
The data were organised and analysed in SPSS (Statistical Product and Service Solutions, Version 22). Descriptive statistics were used to analyse the basic information and all the evaluation data. Nonparametric correlation analysis was used to detect the trade-offs and synergies of perceived important ecosystem services and the relation between ecosystem services and well-being perception.
One-Way ANOVA was used to analyse farmers’ understanding of traditions and their perception of well-being regarding their different livelihood activities. First, the homogeneity of data variance was detected. Data of material well-being had homogeneity of variance, and the least significant difference method (LSD) was used to analyse the significance of differences among livelihood groups. For the other three series of data without homogeneity of variance, Kruskal–Wallis test, a nonparametric method was used.
The data of well-being perception and its potential impact factors were mainly discrete data of ordered and unordered categorical variables, which were not suitable for ordinary linear regression. Therefore, the best scale regression (CATREG) was used. In this model, both dependent and independent variables can be categorical variables. The original variables were transformed using nonlinear mothed and the model iteratively sought the best fit for an optimised linear equation model. Demographic characteristics (X1-X8, X10-X12), industrial characteristics (X9, X13-X14), and cultural inheritance (X15-X16) were taken as three major groups of explanatory variables, and their impact directions were hypothesised and tested with CATREG (Table 1).
Table 1.
Variables and the prediction of impacts of explanatory variables.
3. Results
3.1. Demographic and Livelihood Features
Demographic and livelihood features of respondents are list in Table 2. The majority of interviewees were male and more than 70% of the respondents were household heads. People aged from 40 to 59 and having finished junior high school and below took part the most in the age and educational level groups. Nearly 75% of the respondents have lived in local communities for at least 40 years. More than half of the families were mainly engaged in tea planting, followed by rice planting, forestry, other agricultural and non-agricultural industries. The largest family size was five people, and 60% of families had at least half of their members as the main labour force. Less than 30% of families had migrant workers. 43% of families had an annual income between 100,000 and 500,000 yuan (ca. 15,000 and 75,000 dollars).
Table 2.
Demographic characteristics of respondents and their households.
There were some differences in demographic features among households with different livelihood strategies (Figure 2). The proportion of households living more than 40 years locally was higher in households engaged in agriculture and forestry than those engaged in non-agricultural activities. A big family with more than 10 members only existed in tea and rice cultivation families. Households engaged in forestry tended to have a lower ratio of workforce, while those engaged in other agricultural activities had a higher proportion of migrant workers.
Figure 2.
Distribution of some features of households engaged in different livelihood activities. Columns show the proportion of each category for the feature:length of residence (a), family population, (b) labour conditions: labour ratio (c), migrant worker ratio (d).
The annual income and features of the production chain reflected by technology sources and product destination also differed among families with different livelihoods (Figure 3). All the agro/forestry-related families except tea farmers tended to have a low-and middle-income of less than 50,000 yuan, while tea and non-agricultural activities seemed to raise more households to middle-and high-income families of more than 100,000 yuan a year. From the perspective of technology sources, family inheritance and neighbourhood communication were taken as the main sources, while households engaged in non-agricultural industries had a much higher proportion in "other" sources. As for the product destination, only rice cultivation families had a slightly higher proportion of self-consumption.
Figure 3.
Annual income and two industrial features of different livelihood activities. Columns show the proportion of each category for the feature: annual household income (a), technology source (b), and product destination (c).
3.2. Assessment of Ecosystem Services among Households with Different Livelihoods
In general, the perceived importance of ecosystem services by all the rural households presented trade-offs (Figure 4), i.e., one ES was important, while the other was not when there is a significant negative correlation between the weighted scores of ES importance as perceived. Trade-off existed between provisioning services (except for tea or apiculture) and most cultural services (except for scientific research or environmental education), provisioning services and some regulating services, and between regulating services and most cultural services (except for scientific research). Synergies, which means that interviewees like or dislike two or more ESs at the same time when a significant positive correlation emerges between two weighted scores of ES importance, existed within provisioning services between timber and apiculture/non-timber forest products (NTFP), between provisioning services (rice) and regulating services (soil regulation), and within regulating services between soil regulation and climate regulation.
Figure 4.
Significant trade-off and synergy of the perceived importance of ecosystem services.
In general, an accumulated score of perceived importance of ecosystem services by all the groups showed that freshwater, eco-tourism, local culture, air quality regulation, and tea ranked in the top five, while scientific research ranked the last as perceived by all the respondents from different ways of life (Figure 5). The coefficient of variation of single scores showed that rural people’s assessment of the importance of tea and freshwater was highly convergent (CV < 0.15), and that of eco-tourism, water regulation, air quality regulation, and climate regulation was also similar (CV < 0.36) among respondents, regardless of livelihood strategies.
Figure 5.
Importance of ecosystem services assessed by households of different livelihood strategies.
Livelihood strategies affected people’s assessment of ecosystem services. Respondents engaged in different livelihood activities prioritised different ESs. Except for freshwater, the absolute high importance was given to tea, rice, NTFP, and timber among all the provisioning services, respectively, for those engaged in tea cultivation, rice cultivation, and forestry. For those taking other agricultural activities, tea, rice, and timber are also important. For those engaged with non-agricultural activities, the absolute importance of provisioning services was relatively low, while local culture and eco-tourism of cultural services were perceived mostly important in the absolute score.
Regulating services showed relative importance within people taking on different livelihood activities. Air quality regulation was highly valued by people engaged in tourism operation, and water regulation was relatively important to all the agricultural-related groups. Soil regulation was the most important to rice production families.
Some cultural services also showed relative importance among different groups. Aesthetics was supposed very important to people engaged in tea cultivation and non-agricultural activities, while environmental education was relatively important in the eye of people engaged in forestry.
Finally, there were both similarities and differences in the perception among people engaged in different livelihood activities. Correlation analysis showed that the most significant similarity in perception exists between tea farmers and people taking non-agricultural activities (0.947, 0.767), paddy farmers and other farmers (0.754), tourism operators, and those managing other non-agricultural businesses (0.827). For the first pairs, the similarity mainly existed in their perception of the importance of regulating and cultural services. For the second pair, provisioning services. For the third pair, cultural services. While the difference in perception mainly existed between people engaged in forestry and other groups except those engaged in agriculture other than tea and rice cultivation.
3.3. Well-Being Perception of Households Engaged in Different Livelihoods
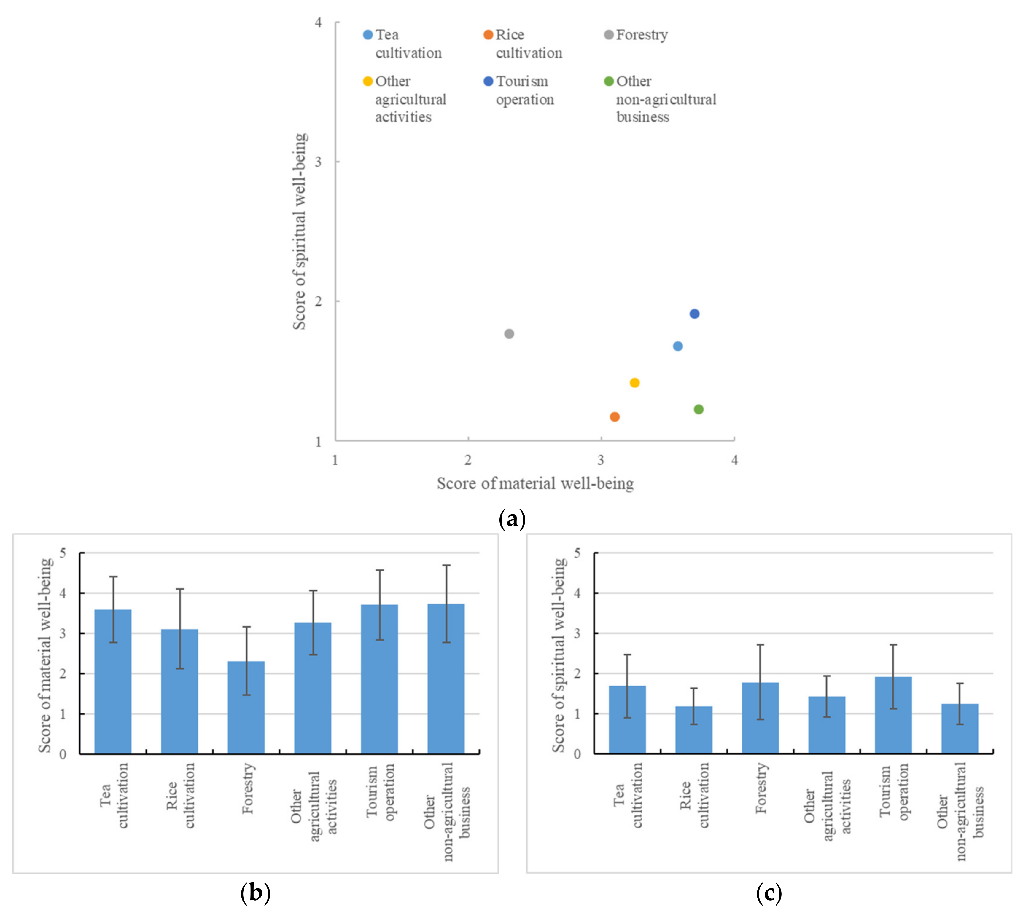
Rural people benefit from ecosystem services in terms of types, quantity, and quality, thus obtaining well-being, including basic material for a good life, health, good social relations, security, and freedom and choice. A simplified perception evaluation of material and spiritual well-being showed that people with different livelihood strategies perceived well-being differently (Figure 6). In general, satisfaction with material well-being was higher than that of spiritual well-being. Specifically, satisfaction with material and spiritual well-being changed proportionally among people engaged in all kinds of agricultural activities (Figure 6a). Non-agriculture-related people had a much higher satisfaction of material well-being. People engaged in forestry perceived a relatively higher satisfaction of spiritual well-being; however, their satisfaction of material well-being is below an average score of 3 (Figure 6b). The highest satisfaction of material well-being existed in people engaged in all the non-agricultural activities. This difference was significant among people (F = 8.906, p < 0.001), mainly between forestry and all the other livelihoods, and between rice cultivation and groups of all the non-agricultural activities and tea cultivation.
Figure 6.
Perception of well-being among households of different livelihood strategies. The relationship between material well-being and spiritual well-being (a); scores of material well-being (b); scores of spiritual well-being (c).
Satisfaction with spiritual well-being scored no more than the average of 3 among all the people (Figure 6c). Relatively speaking, it was the lowest for rice cultivation people and highest for tourism operation people. The between-group difference was also significant, representing mainly by the difference between rice cultivation and the two groups of tea cultivation and tourism operation, and between non-agricultural activities and two groups of tea cultivation and tourism operation.
Spearman’s correlation analysis showed that the assessment of the importance of ecosystem services was related to the perception of social well-being. The higher the perceived importance of rice and timber in the provisioning services, the lower the satisfaction of material well-being (p < 0.01). The higher the perceived importance of local culture and scientific research, the higher the satisfaction of material well-being (p < 0.05). Those taking apiculture in provisioning services as important tended to have high satisfaction of spiritual well-being, while a negative correlation existed between soil regulation and spiritual well-being. Taking the two aspects of well-being as a whole, perception of the importance of rice and tea significantly affected social well-being in a negative and positive way, respectively. Regulating services did not affect social well-being. The perceived high importance of eco-tourism in culture services also significantly resulted in better social well-being.
Considering different livelihoods, people engaged in all the non-agricultural activities thought highly of local culture and also were much satisfied with material well-being. Those managing tea plantations and forestry highly valued eco-tourism and had relatively high satisfaction of spiritual well-being.
3.4. Cultural Inheritance Affected by Households Engaged in Different Livelihoods
Cultural inheritance evaluation from the degree of understanding and mastering of traditional knowledge and technology and the degree of understanding and practicing customs showed that most of the respondents thought that their understanding and mastering of traditional culture was rather weak (Figure 7). Those engaged in tourism operations and rice cultivation had a relatively high mastery of traditional knowledge and technology, and those carrying out other non-agricultural activities mastered the least. Traditional customs were relatively better understood and practiced by people engaged in tourism operation and tea cultivation, and the least understood or practiced by people taking all the other agricultural and forestry activities. The degree of mastering of the two factors was consistent in tea farmers and tourism operation families. The degree of mastering of knowledge and technology was higher than that of customs for people taking all the other agricultural and forestry activities, and the opposite was true for people taking non-agricultural activities.
Figure 7.
Recognition of traditional culture among households of different livelihood strategies. The relationship between the two factors of cultural inheritance (a); understanding and mastering traditional knowledge and technology (b); understanding and practicing customs (c).
Although the degree of cultural inheritance was generally low, the difference among livelihood activities was significant (p < 0.001). The difference in mastering traditional knowledge and technology was mainly between the respondents engaged in rice cultivation and other non-agricultural operation (Figure 7b). The difference in the understanding and practice of customs mainly existed between people engaged in tourism operations and other livelihoods (Figure 7c).
3.5. Well-Being Perception Affected by Demographic, Livelihood, and Cultural Inheritance
Household demographic characteristics, industrial characteristics, and cultural inheritance were all taken as impacting factors on the perception of well-being. After all the variables were analysed using the optimal scaling regression, insignificant variables and those incurring collinearity were eliminated or adjusted, resulted in two interpretation models. In both models, culture inheritance was not considered significant in affecting rural people’s perception of well-being (Table 3 and Table 4).
Table 3.
Model parameters to predict impacts on material well-being.
Table 4.
Model parameters to predict impacts on spiritual well-being.
For both the material and spiritual well-being perception, demographic factors including the annual household income and the proportion of welfare income had a significant impact. Industrial characteristics, including technology source, the product destination, and livelihood strategies, all had significant influence. Based on the standardised coefficient and importance value, livelihood strategy was the most important variable in both models. The proportion of welfare income was secondly important to impact the perception of material well-being and so was annual household income to impact the perception of spiritual well-being.
4. Discussion
While ES and rural economic development are widely studied in terms of conservation policy efficacy [30], there is a need for studies on the interplay among livelihood activities, ES, and human well-being in protected areas under construction to inform decision-makers and conservation practitioners. This study highlights well-being facets based on perceptions that emerged during in-person interviews with community members. The results suggest that the perception of ecosystem services and well-being of rural people are strongly affected by the differences between livelihood strategies and the social-ecological context realities, and illustrate the complex role of cultural elements in experiencing and assessing these differences. This is significant because cultural values are commonly recognised as important in ES researches but they are often disconnected from well-being measures of both material and spiritual varieties in previous analyses.
The results of the assessment of the importance of diverse ecosystem services in the Wuyishan area reveals two key points. First, rural people’s recognition of ecosystem services is closely related to their livelihood activities (Figure 8). They attach much value to natural capital, natural processes, and cultural capital on which their livelihoods depend, especially provisioning and cultural services. This is similar to previous research that local residents pay more attention to primary ecosystem services that can be directly enjoyed [4,50,51]. It is expected that direct provisioning services were important for subsistence, but the results also showed that some regulating services, which are critical elements supporting agricultural systems, were also identified, indicating that local people perceive their surroundings as a whole. This strong dependence of community livelihood on the types and conditions of local resources reflects a current livelihood situation. By contrast, the second point is that rural people’s assessment gives a hint to their expectation of future livelihood in this specific social-ecological context. In Wuyishan area, local residents thought highly of some cultural services which have potentially added values but at the moment not directly related to the current livelihood (Figure 8). Cultural services which were prioritised regardless of livelihood strategies, such as eco-tourism by forestry related people, can be explained from two aspects. On the one hand, Wuyishan area is always supposed to be a region with rich traditional cultural resources that are well preserved as a cultural heritage site. Many community members have a place-based sense of locality that informs their identity, which is a vital component in the perception of cultural services [4,5,52]. This cultural inheritance is partly reflected in the decades of residence time, the low proportion of migrant workers, and the confirmation of technology with local origins. The importance of these features is also verified in some cultural landscapes [42,53,54]. On the other hand, agricultural and forestry practitioners who depend on material output seek higher added-value industrial activities under PA management. This trend of ecological and cultural valorisation in protected area is becoming common [55,56,57] and is also hinted by the results that middle-and high-income families that tend to engage in tourism operating. Moreover, tea farmers and tourism operators prioritised eco-tourism and tea, respectively, indicating their expectation of livelihood diversification based on the combination of provisioning and culture services, which can be conservation-compatible. This type of association is supposed to be a typical ES bundle that leads to integrated social well-being [44].
Figure 8.
Illustration of the linkages among cultural inheritance, livelihood strategies, ecosystem services, and social well-being. The spectrum from green to red represents the decreasing value of certain variables. The colourful oval represents livelihood activity with certain average incomes illustrated by the colour from the spectrum. The relative importance of the 10 ESs ordered by their scores are illustrated with arrow lines with respect to livelihood activities.
Rural people’s perception of well-being showed an imbalance, in that their satisfaction of material well-being was much stronger than that of spiritual well-being, which is similar to the research in another mountainous area of China [33]. However, contrary to the proposed hypothesis, that the rich traditional cultural value of Wuyishan is emphasised in the literature and discussed in the general context, was not really or fully inherited by rural people. Both traditional knowledge/technology and customs were not well understood or practiced. Only in rice and tea cultivation and tourism management were some traditions passed on. The loss of cultural heritage may affect the perception of spiritual well-being [33], but it also shows that cultural changes are taking place rapidly and continuously, and the protection of cultural heritage and cultural self-confidence in protected areas is becoming a problem faced by rural communities. It is found that people engaged in tourism operations had higher spiritual satisfaction and they said that this way of life brings them to the front of a wide range of people and opens their eyes to the outside world. They get much pleasure through communication and information exchange. At present, although cultural valorisation is partly realised, such as in the production of tea with geographical certification, for other traditional agricultural and forestry products, the liquidity of the attached ecological and cultural value is still low. The results reveal that community members with a stronger sense of material well-being were engaged in non-agricultural operations or tea cultivation, all with higher income benefited from cultural valorisation.
Contrary to the hypothesis, culture inheritance was not a significant factor affecting well-being perception; however, the current models have weak explanatory power indicating that the measurement of both the cultural inheritance and well-being may be simplified. Research shows that cultural inheritance helps maintain landscape, functions, and products of a traditional agricultural system [58,59]. The perception of cultural services also confirms the influence of the social-ecological context on the recognition of intangible values. Thus, it is necessary to further explore the culture’s role in affecting human well-being in protected areas. The research showed that the material well-being and spiritual well-being of the residents in Wuyishan area are closely related to livelihood strategies and industrial characteristics. This reveals that on the one hand, there may be a weakening of satisfaction of spiritual well-being due to lack of cultural consciousness; on the other hand, there is not only strengthening of satisfaction of material well-being through economic benefit, but also high spiritual well-being brought by the stability of livelihood ensured by income, technology, market conditions, etc. (Table 4). The overall stability of a social-ecological system is affected by resource users’ behaviours under policy changes [60,61]. It is obvious that livelihood strategies affect rural people’s assessment of ecosystem services and well-being, and these judgements of the human–nature relations will influence the behavior choice of community residents, thus finally leading to a new protected area–community people relationships. To be effective in the long-term, governance of national parks must understand the bundle of tangible and intangible values, and find a solution to boost them for material and spiritual well-being. In our case, those with forestry and other agricultural activities should be given additional attention to help get access to cultural resources and secure crucial livelihood resources. Other community members included, a value-adding process starting from conservation of cultural values may help in the long-term nature conservation as well as cultural inheritance.
Insights from this research lead to three points that could help build a healthy park-people relation through the maintenance of sustainable and fair livelihood development. (1) Survey and restoration of traditional culture are necessary. A better understanding of traditional culture, higher income and, a higher degree of perceived well-being by people engaged in tourism operation and tea cultivation indicate that traditional culture can bring higher economic added value under certain conditions. Identifying cultural values conforms to the current recognition and expectation of rural livelihood by local people. This is especially helpful for traditional agricultural and forestry practitioners to achieve the multi-functionality of land use to increase income, and to protect and inherit local culture at the same time. (2) Traditional agricultural systems should be protected, activated, and utilised. Rice cultivation families had relatively high mastering of traditional knowledge and skills, low income, a high proportion of migrant workers, and the lowest satisfaction of well-being, making them the most unstable group in the social-ecological system. Therefore, rice paddies as a conservation-compatible livelihood activity is yet to achieve lucrative and sustainable income to support nature conservation. (3) Community perception and preference should be respected and coordinated to protected area management. Despite the variety of ecosystem services taken as important, general trade-offs occur between provisioning and other services. This dichotomy of material benefit and other benefits hinders rural people from fully understanding the realisation of human well-being from both the natural and cultural capital. Therefore, from the perspective of community capacity building, rural people must search for the possibility of transforming ecological and cultural values into economic values.
5. Conclusions
This study provides qualitative and quantitative evidence that local people living near PAs have vastly different perceptions regarding the provision of ESs and well-being. In this typical social-ecological system, ecosystems provide a variety of ecosystem services for rural people for a very long time to form different livelihood strategies. At the same time, traditional culture is supposed to pass on to secure the sustainability of livelihoods.
The qualitative analysis shows that local people perceive several different ecosystem services as important benefits from Wuyishan national park, and the similarity and difference in perceptions across the sample related to their dependence on natural capital for current livelihood and also to their expectations of higher value-added products in future livelihood development. Our results call for increased attention to cultural services and their intangible values because they are widely recognised by natural resource-dependent people and suggest ways in which incentives could be designed for the improved valorisation of cultural values.
Our study demonstrates that people’s satisfaction with material well-being is higher than that of spiritual well-being where livelihood activities depend on ESs. People who value provisioning services tend to have lower satisfaction of well-being; those who value cultural services feel the opposite. Our study further indicates that rural people’s inheritance of traditional knowledge, technology, and customs is not enough to directly impact on well-being perception. By contrast, prominent factors such as livelihood activities, household income conditions, and characteristics of the production chain have a significant effect. This result raises the further research necessity of understanding whether and how traditional culture matters to rural livelihood in terms of maintaining profitable, productive systems under PA management. Interestingly, tea as a provisioning service tends to bring high satisfaction of both material and spiritual well-being. So does eco-tourism. These results suggest interesting future research avenues on the possibility and methods of realising improvements in both material values and value of cultural services as embedded through agricultural products and tourism services.
Finally, we suggest that ecosystem services and rural people’s well-being are important indicators for both formulating protected area management policies and evaluating its management effects. Satisfying diverse local needs of ecosystem services and securing human well-being are prerequisites for different local groups to accept and participate in nature conservation and also one of the goals of national park management. From the perspective of the social-ecological system, the benefit perception and sharing mechanism of the local community affects the robustness and resilience of the system through affecting their resource management behaviours, thus determines the sustainable utilisation of natural resources and the effective protection of ecological values.
Author Contributions
Conceptualisation and methodology, S.H. and L.G.; investigation, data collection and writing, S.H. and Q.M.; review and editing, S.H., L.G. and Q.M.; funding acquisition, L.G. and S.H. All authors have read and agreed to the published version of the manuscript.
Funding
This research was funded by National Natural Science Foundation of China (42001194) and Luc Hoffmann Institute Fellowship.
Institutional Review Board Statement
Not applicable.
Informed Consent Statement
Informed consent was obtained from all subjects involved in the study.
Data Availability Statement
The data presented in this study are available on request from the corresponding author. The data are not publicly available due to privacy or ethical restrictions.
Acknowledgments
The authors were grateful to the research interns from several domestic universities and local NGOs for their involvement in the household survey and preliminary analysis. The authors would like to thank all the anonymous interviewees who contributed their time and knowledge to this study.
Conflicts of Interest
The authors declare no conflict of interest.
References
- Andrade, G.S.; Rhodes, J.R. Protected areas and local communities: An inevitable partnership toward successful conservation strategies? Ecol. Soc. 2012, 17, 14. [Google Scholar] [CrossRef]
- Willemen, L.; Drakou, E.G.; Dunbar, M.B.; Mayaux, P.; Egoh, B.N. Safeguarding ecosystem services and livelihoods: Understanding the impact of conservation strategies on benefit flows to society. Ecosyst. Serv. 2013, 4, 95–103. [Google Scholar] [CrossRef]
- Agarwala, M.; Atkinson, G.; Fry, B.P.; Homewood, K.; Mourato, S.; Rowcliffe, J.M.; Wallace, G.; Milner-Gulland, E.J. Assessing the relationship between human well-being and ecosystem services: A review of frameworks. Conserv. Soc. 2014, 12, 437–449. [Google Scholar] [CrossRef]
- Amin, A.; Zaehringer, J.G.; Schwilch, G.; Koné, I. People, protected areas and ecosystem services: A qualitative and quantitative analysis of local people’s perception and preferences in Côte d’I voire. Nat. Resour. Forum 2016, 39, 97–109. [Google Scholar] [CrossRef]
- He, S.; Gallagher, L.; Su, Y.; Wang, L.; Cheng, H. Identification and assessment of ecosystem services for protected area planning: A case in rural communities of Wuyishan national park pilot. Ecosyst. Serv. 2018, 31, 169–180. [Google Scholar] [CrossRef]
- Huq, N.; Pedroso, R.; Bruns, A.; Ribbe, L.; Huq, S. Changing dynamics of livelihood dependence on ecosystem services at temporal and spatial scales: An assessment in the southern wetland areas of Bangladesh. Ecol. Indic. 2020, 110, 105855. [Google Scholar] [CrossRef]
- Daw, T.M.; Brown, K.; Rosendo, S.; Pomeroy, R. Applying the ecosystem services concept to poverty alleviation: The need to disaggregate human well-being. Environ. Conserv. 2011, 38, 370–379. [Google Scholar] [CrossRef] [Green Version]
- Wu, J. Landscape sustainability science: Ecosystem services and human well-being in changing landscapes. Landsc. Ecol. 2013, 28, 999–1023. [Google Scholar] [CrossRef]
- Kari, S.; Korhonen-Kurki, K. Framing local outcomes of biodiversity conservation through ecosystem services: A case study from Ranomafana, Madagascar. Ecosyst. Serv. 2013, 3, e32–e39. [Google Scholar] [CrossRef]
- Cebrián-Piqueras, M.A.; Filyushkina, A.; Johnson, D.N.; Lo, V.B.; López-Rodríguez, M.D.; March, H.; Oteros-Rozas, E.; Peppler-Lisbach, C.; Quintas-Soriano, C.; Raymond, C.M.; et al. Scientific and local ecological knowledge, shaping perceptions towards protected areas and related ecosystem services. Landsc. Ecol. 2020, 35, 2549–2567. [Google Scholar] [CrossRef]
- MA (Millennium Ecosystem Assessment). Ecosystems and Human Wellbeing: The Assessment Series (Four Volumes and Summary); Island Press: Washington, DC, USA, 2005. [Google Scholar]
- Engelbrecht, H.J. Natural capital, subjective well-being, and the new welfare economics of sustainability: Some evidence from cross-country regressions. Ecol. Econ. 2009, 69, 380–388. [Google Scholar] [CrossRef]
- Yang, W.; Dietz, T.; Kramer, D.B.; Ouyang, Z.; Liu, J. An integrated approach to understanding the linkages between ecosystem services and human well-being. Ecosyst. Health Sustain. 2015, 1, 1–12. [Google Scholar] [CrossRef]
- Daw, T.M.; Hicks, C.C.; Brown, K.; Chaigneau, T.; Januchowski-Hartley, F.; Cheung, W.; Rosendo, S.; Crona, B.; Coulthard, S.; Sandbrook, C.; et al. Elasticity in ecosystem services: Exploring the variable relationship between ecosystems and human well-being. Ecol. Soc. 2016, 21, 11. [Google Scholar] [CrossRef]
- Berbés-Blázquez, M. A participatory assessment of ecosystem services and human wellbeing in rural Costa Rica using photo-voice. Environ. Manag. 2012, 49, 862–875. [Google Scholar] [CrossRef] [PubMed]
- Hossain, M.S.; Dearing, J.A.; Rahman, M.M.; Salehin, M. Recent changes in ecosystem services and human well-being in the Bangladesh coastal zone. Reg. Environ. Chang. 2016, 16, 429–443. [Google Scholar] [CrossRef] [Green Version]
- Zhang, J.; Deng, W.; Zhu, C.; Zhao, Y. Spatial Relationship and Its Dynamic Features of Ecosystem Services and Human Wellbeing in the Upper Reaches of Minjiang River. Mt. Res. 2017, 35, 388–398. (In Chinese) [Google Scholar]
- Wang, B.; Tang, H.; Zhang, Q.; Cui, F. Exploring Connections among Ecosystem Services Supply, Demand and Human Well-Being in a Mountain-Basin System, China. Int. J. Environ. Res. Public Health 2020, 17, 5309. [Google Scholar] [CrossRef]
- Xu, W.; Xiao, Y.; Zhang, J.; Yang, W.; Zhang, L.; Hull, V.; Wang, Z.; Zheng, H.; Liu, J.; Polasky, S.; et al. Strengthening protected areas for biodiversity and ecosystem services in China. Proc. Natl. Acad. Sci. USA 2017, 114, 1601–1606. [Google Scholar] [CrossRef] [Green Version]
- He, S.; Su, Y.; Wang, L.; Gallagher, L.; Cheng, H. Taking an ecosystem services approach for a new national park system in China. Resour. Conserv. Recycl. 2018, 137, 136–144. [Google Scholar] [CrossRef]
- Bennett N, J. Using perceptions as evidence to improve conservation and environmental management. Conserv. Biol. 2016, 30, 582–592. [Google Scholar] [CrossRef] [Green Version]
- Tengö, M.; Hill, R.; Malmer, P.; Raymon, C.M.; Spiernburg, M.; Danielsen, F.; Elmqvist, T.; Folke, C. Weaving knowledge systems in IPBES, CBD and beyond—Lessons learned for sustainability. Curr. Opin. Environ. Sustain. 2017, 26, 17–25. [Google Scholar] [CrossRef]
- Abukari, H.; Mwalyosi, R.B. Local communities’ perceptions about the impact of protected areas on livelihoods and community development. Glob. Ecol. Conserv. 2020, 22, e00909. [Google Scholar] [CrossRef]
- Gómez-Baggethun, E.; Reyes-García, V.; Olsson, P.; Montes, C. Traditional ecological knowledge and community resilience to environmental extremes: A case study in Doñana, SW Spain. Glob. Environ. Chang. 2012, 22, 640–650. [Google Scholar] [CrossRef]
- Jones, P.J.S.; Qiu, W.; De Santo, E.M. Governing marine protected areas: Social–ecological resilience through institutional diversity. Mar. Policy 2013, 41, 5–13. [Google Scholar] [CrossRef]
- Ouyang, Z.Y.; Zheng, H.; Xiao, Y.; Polasky, S.; Liu, J.; Xu, W.; Wang, Q.; Zhang, L.; Xiao, Y.; Rao, E.; et al. Improvements in ecosystem services from investments in natural capital. Science 2016, 352, 1455–1459. [Google Scholar] [CrossRef] [PubMed]
- Zheng, H.; Robinson, B.E.; Liang, Y.C.; Polasky, S.; Ma, D.C.; Wang, F.C.; Ruckelshaus, M.; Ouyang, Z.Y.; Daily, G.C. Benefits, costs, and livelihood implications of a regional payment for ecosystem service program. Proc. Natl. Acad. Sci. USA 2013, 110, 16681–16686. [Google Scholar] [CrossRef] [Green Version]
- Fang, Y.; Qin, D.; Ding, Y. Impact of grassland ecosystem manual intervention on economic welfare-a case of the source region of the Yellow River. Resour. Environ. Yangtze Basin 2010, 9, 1099–1105. (In Chinese) [Google Scholar]
- Wei, W.; Wang, B.; Niu, X. The ecosystem services characteristics and its impacts on farmers’ well-being for grain for green project in northern desertification areas. J. Inn. Mong. Agric. Univ. Nat. Sci. Ed. 2017, 38, 20–26. (In Chinese) [Google Scholar]
- Wang, X.; Dong, X.; Liu, H.; Wei, H.; Fan, W.; Lu, N.; Xu, Z.; Ren, J.; Xing, K. Linking land use change, ecosystem services and human well-being: A case study of the Manas River Basin of Xinjiang, China. Ecosyst. Serv. 2017, 27, 113–123. [Google Scholar] [CrossRef]
- Aini, A.; Halik, U.; Aishan, T.; Betz, F.; Abulizi, A.; Zhang, Q. Analysis of Stakeholders′ Cognition on Desert Riparian Forest Ecosystem Services in the Lower Reaches of Tarim River, China. Res. Soil Water Conserv. 2016, 23, 205–209. (In Chinese) [Google Scholar]
- Li, N.; Cao, G.; He, B.; Lou, G. On the Relationship Between the Change in Farmer Wellbeing and Ecosystem Services: A Case Study of Wuling-Qinba Contiguous Destitute Areas in Chongqing. J. Southwest Univ. Nat. Sci. Ed. 2017, 39, 136–142. (In Chinese) [Google Scholar]
- Wang, B.; Tang, H.; Xu, Y. Integrating ecosystem services and human well-being into management practices: Insights from a mountain-basin area, China. Ecosyst. Serv. 2017, 27, 58–69. [Google Scholar] [CrossRef]
- Wei, H.; Liu, H.; Xu, Z.; Ren, J.; Lu, N.; Fan, W.; Zhang, P.; Dong, X. Linking ecosystem services supply, social demand and human well-being in a typical mountain–oasis–desert area, Xinjiang, China. Ecosyst. Serv. 2018, 31, 44–57. [Google Scholar] [CrossRef]
- Su, F.; Shang, H. The impact of ecological compensation patters on livelihood strategy of farmers in Zhangye. J. Arid Land Resour. Environ. 2013, 27, 58–63. (In Chinese) [Google Scholar]
- Zhao, X.; Zhang, L.; Jiang, J.; Hou, C. The impact of ecological compensation on the farmers’ livelihood: A case study of Huanghe River Water Supply Areas of Gannan. Geogr. Res. 2013, 32, 531–542. (In Chinese) [Google Scholar]
- Lu, C.X.; Yu, F.Q.; Liu X, J.; Dhruba Bijaya, G.C. Responses of ecosystems to ecological compensation in a key ecological function Area of the Loess Plateau. J. Resour. Ecol. 2015, 6, 369–374. [Google Scholar]
- Cheng, S.H.; Ahlroth, S.; Onder, S.; Shyamsundar, P.; Garside, R.; Kristjanson, P.; McKinnon, M.C.; Miller, D.C. What is the evidence for the contribution of forests to poverty alleviation? A systematic map protocol. Environ. Evid. 2017, 6, 10. [Google Scholar] [CrossRef] [Green Version]
- Wang, Q.; Yamamoto, H. Local Residents’ Perception, Attitude and Participation Regarding Nature Reserves of China: Case Study of Beijing Area. J. For. Plan. 2009, 14, 67–77. [Google Scholar] [CrossRef]
- Liu, J.; Ouyang, Z.; Miao, H. Environmental attitudes of stakeholders and their perceptions regarding protected area-community conflicts: A case study in China. J. Environ. Manag. 2010, 91, 2254–2262. [Google Scholar] [CrossRef]
- He, J.; Shu, X.; Yu, X. Surveys and Analysis of Farmers’ Perception about Wetland Ecosystem Services in Poyang Lake. Resour. Sci. 2010, 32, 776–781. (In Chinese) [Google Scholar]
- Gao, H.; Ouyang, Z.; Zheng, H.; Bluemling, B. Perception and attitudes of local people concerning ecosystem services of culturally protected forests. Acta Ecol. Sin. 2013, 33, 756–763. (In Chinese) [Google Scholar]
- Yang, S.; Zhao, W.; Pereira, P.; Liu, Y. Socio-cultural valuation of rural and urban perception on ecosystem services and human well-being in Yanhe watershed of China. J. Environ. Manag. 2019, 251, 109615. [Google Scholar] [CrossRef]
- Chan, C.; Armitage, D.; Alexander, S.M.; Campbell, D. Examining linkages between ecosystem services and social wellbeing to improve governance for coastal conservation in Jamaica. Ecosyst. Serv. 2019, 39, 100997. [Google Scholar] [CrossRef]
- Garrido, P.; Elbakidze, M.; Angelstam, P.; Plieninger, T.; Pulido, F.; Moreno, G. Stakeholder perspectives of wood-pasture ecosystem services: A case study from Iberian dehesas. Land Use Policy 2017, 60, 324–333. [Google Scholar] [CrossRef]
- Chen, B.X.; Qiu, Z.M. Community attitudes toward ecotourism development and environmental conservation in nature reserve: A case of Fujian Wuyishan National Nature Reserve, China. J. Mt. Sci. 2017, 14, 1405–1418. [Google Scholar] [CrossRef]
- Mooney, H.A.; Ehrlich, P.R. Ecosystem services: A fragmentary history. In Nature’s Services: Societal Dependence on Natural Ecosystems; Daily, G.E., Ed.; Island Press: Washington, DC, USA, 1997; pp. 11–19. [Google Scholar]
- Easterlin, R.A. Explaining happiness. Proc. Natl. Acad. Sci. USA 2003, 100, 11176–11183. [Google Scholar] [CrossRef] [PubMed] [Green Version]
- Coulthard, S. What does the debate around social wellbeing have to offer sustainable fisheries? Curr. Opin. Environ. Sustain. 2012, 4, 358–363. [Google Scholar] [CrossRef]
- Robinson, B.E.; Zheng, H.; Peng, W. Disaggregating livelihood dependence on ecosystem services to inform land management. Ecosyst. Serv. 2019, 36, 100902. [Google Scholar] [CrossRef]
- Mikusiński, G.; Niedziałkowski, K. Perceived importance of ecosystem services in the Białowieża Forest for local communities–Does proximity matter? Land Use Policy 2020, 97, 104667. [Google Scholar] [CrossRef]
- White, S.C. Analysing wellbeing: A framework for development. Dev. Pract. 2010, 20, 158–172. [Google Scholar] [CrossRef]
- Jiao, Y.; Li, X.; Liang, L.; Takeuchi, K.; Okuro, T.; Zhang, D.; Sun, L. Indigenous ecological knowledge and natural resource management in the cultural landscape of China’s Hani Terraces. Ecol. Res. 2012, 27, 247–263. [Google Scholar] [CrossRef]
- Castonguay, A.C.; Burkhard, B.; Müller, F.; Horgan, F.G.; Settele, J. Resilience and adaptability of rice terrace socialecological systems: A case study of a local community’s perception in Banaue, Philippines. Ecol. Soc. 2016, 21, 15. [Google Scholar] [CrossRef]
- Gross, L.H.; Erickson, J.D.; Méndez, V.E. Supporting rural livelihoods and ecosystem services conservation in the Pico Duarte Coffee Region of the Dominican Republic. Agroecol. Sustain. Food Syst. 2014, 38, 1078–1107. [Google Scholar] [CrossRef]
- Kumar, H.; Pandey, B.W.; Anand, S. Analyzing the Impacts of forest Ecosystem Services on Livelihood Security and Sustainability: A Case Study of Jim Corbett National Park in Uttarakhand. Int. J. Geoherit. Parks 2019, 7, 45–55. [Google Scholar] [CrossRef]
- Hong, N.T.; Saizen, I. Forest ecosystem services and local communities: Towards a possible solution to reduce forest dependence in Bach Ma National Park, Vietnam. Hum. Ecol. 2019, 47, 465–476. [Google Scholar] [CrossRef] [Green Version]
- Colquhoun, S.; Dockery, A.M. The link between Indigenous culture and wellbeing: Qualitative evidence for Australian Aboriginal peoples. CLMR Discuss. Paper Ser. 2012, 18, 161–176. [Google Scholar]
- Zhang, Y.; Min, Q.; Zhang, C.; He, L.; Zhang, S.; Yang, L.; Tian, M.; Xiong, Y. Traditional culture as an important power for maintaining agricultural landscapes in cultural heritage sites: A case study of the Hani terraces. J. Cult. Herit. 2017, 25, 170–179. [Google Scholar] [CrossRef]
- Deng, H.; Chen, Z.; Cao, H.; Shen, Y.; Wang, Y.; Shan, P. Perceptions and attitudes of local residents on a nature reserve: A case study in Baimaxueshan National Nature Reserve. Int. J. Sustain. Dev. World Ecol. 2015, 22, 165–170. [Google Scholar] [CrossRef]
- Abukari, H.; Mwalyosi, R.B. Comparing conservation attitudes of Park-adjacent communities: The case of Mole National park in Ghana and Tarangire National Park in Tanzania. Trop. Conserv. Sci. 2018, 11, 1940082918802757. [Google Scholar] [CrossRef] [Green Version]
Publisher’s Note: MDPI stays neutral with regard to jurisdictional claims in published maps and institutional affiliations. |
© 2021 by the authors. Licensee MDPI, Basel, Switzerland. This article is an open access article distributed under the terms and conditions of the Creative Commons Attribution (CC BY) license (https://creativecommons.org/licenses/by/4.0/).







