Wetland Restoration through Excavation: Sediment Removal Results in Dramatic Water Quality Improvement
Abstract
:1. Introduction
2. Materials and Methods
2.1. Study Area
2.2. Field and Laboratory Work
2.3. Data Analysis
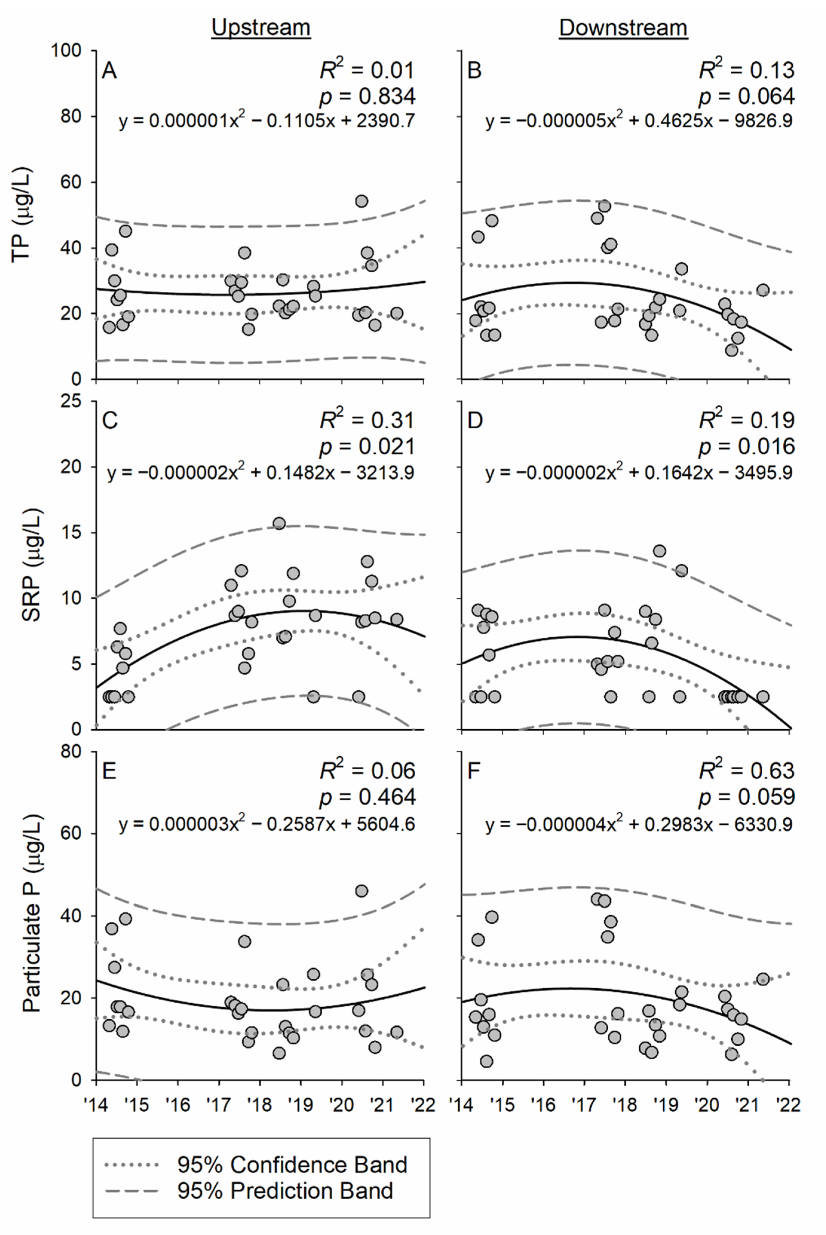
3. Results
3.1. West Pond Water Quality
3.2. East Pond Water Quality
3.3. Assessment of Bear Creek Water Quality
3.4. Assessment of Bear Lake Water Quality
4. Discussion
5. Conclusions
Author Contributions
Funding
Data Availability Statement
Acknowledgments
Conflicts of Interest
References
- Allan, J.D.; McIntyre, P.B.; Smith, S.D.P.; Halpern, B.S.; Boyer, G.L.; Buchsbaum, A.; Burton, G.A.; Campbell, L.M.; Chadderton, W.L.; Ciborowski, J.J.H.; et al. Joint analysis of stressors and ecosystem services to enhance restoration effectiveness. Proc. Natl. Acad. Sci. USA 2012, 110, 372–377. [Google Scholar] [CrossRef] [PubMed]
- Steinman, A.D.; Ogdahl, M.; Rediske, R.; Ruetz, C.R.; Biddanda, B.A.; Nemeth, L. Current Status and Trends in Muskegon Lake, Michigan. J. Great Lakes Res. 2008, 34, 169–188. [Google Scholar] [CrossRef]
- Xie, L.; Hagar, J.; Rediske, R.R.; O’Keefe, J.; Dyble, J.; Hong, Y.; Steinman, A.D. The influence of environmental conditions and hydrologic connectivity on cyanobacteria assemblages in two drowned river mouth lakes. J. Great Lakes Res. 2011, 37, 470–479. [Google Scholar] [CrossRef]
- Carter, G.S.; Nalepa, T.F.; Rediske, R.R. Status and Trends of Benthic Populations in a Coastal Drowned River Mouth Lake of Lake Michigan. J. Great Lakes Res. 2006, 32, 578–595. [Google Scholar] [CrossRef]
- Nelson, W.A.; Steinman, A.D. Changes in the benthic communities of Muskegon Lake, a Great Lakes Area of Concern. J. Great Lakes Res. 2013, 39, 7–18. [Google Scholar] [CrossRef]
- Bhagat, Y.; Ruetz, C.R. Temporal and Fine-Scale Spatial Variation in Fish Assemblage Structure in a Drowned River Mouth System of Lake Michigan. Trans. Am. Fish. Soc. 2011, 140, 1429–1440. [Google Scholar] [CrossRef]
- Mader, M.M. Effects of Shoreline and Watershed Development on Eastern Lake Michigan Drowned River Mouth Ecology. Ph.D. Thesis, Grand Valley State University, Allendale, MI, USA, 2021. [Google Scholar]
- Sierszen, M.E.; Morrice, J.A.; Trebitz, A.S.; Hoffman, J.C. A review of selected ecosystem services provided by coastal wetlands of the Laurentian Great Lakes. Aquat. Ecosyst. Health Manag. 2012, 15, 92–106. [Google Scholar] [CrossRef]
- Larson, J.H.; Trebitz, A.S.; Steinman, A.D.; Wiley, M.J.; Mazur, M.C.; Pebbles, V.; Braun, H.A.; Seelbach, P.W. Great Lakes rivermouth ecosystems: Scientific synthesis and management implications. J. Great Lakes Res. 2013, 39, 513–524. [Google Scholar] [CrossRef]
- Gibbs, J.P. Wetland Loss and Biodiversity Conservation. Conserv. Biol. 2000, 14, 314–317. [Google Scholar] [CrossRef]
- USDA (United States Department of Agriculture). Restoring America’s Wetlands: A Private Lands Conservation Success Story; Wetlands Reserve Program; Natural Resources Conservation Service: Washington, DC, USA, 2012. [Google Scholar]
- Uzarski, D.G.; Brady, V.J.; Cooper, M.J.; Wilcox, D.A.; Albert, D.A.; Axler, R.P.; Bostwick, P.; Brown, T.N.; Ciborowski, J.J.H.; Danz, N.P.; et al. Standardized measures of coastal wetland condition: Implementation at a Laurentian Great Lakes basin-wide scale. Wetlands 2017, 37, 15–32. [Google Scholar] [CrossRef] [Green Version]
- Zedler, J.B. Wetlands at your service: Reducing impacts of agriculture at the watershed scale. Front. Ecol. Environ. 2003, 1, 65–72. [Google Scholar] [CrossRef]
- Steinman, A.D.; Ogdahl, M.E. Does converting agricultural fields to wetlands retain or release phosphorus? J. N. Am. Benthol. Soc. 2011, 30, 820–830. [Google Scholar] [CrossRef]
- Reddy, K.R.; Kadlec, R.H.; Flaig, E.; Gale, P.M. Phosphorus retention in streams and wetlands: A review. Crit. Rev. Environ. Sci. Technol. 1999, 29, 83–146. [Google Scholar] [CrossRef]
- Trexler, J.C. Restoration of the Kissimmee River: A Conceptual Model of Past and Present Fish Communities and Its Consequences for Evaluating Restoration Success. Restor. Ecol. 1995, 3, 195–210. [Google Scholar] [CrossRef]
- Tockner, K.; Stanford, J.A. Riverine flood plains: Present state and future trends. Environ. Conserv. 2002, 29, 308–330. [Google Scholar] [CrossRef]
- Uzarski, D.G.; Burton, T.M.; Cooper, M.J.; Ingram, J.W.; Timmermans, S.T. Fish Habitat Use Within and Across Wetland Classes in Coastal Wetlands of the Five Great Lakes: Development of a Fish-based Index of Biotic Integrity. J. Great Lakes Res. 2005, 31, 171–187. [Google Scholar] [CrossRef]
- Newman, S.; Pietro, K. Phosphorus storage and release in response to flooding: Implications for Everglades stormwater treatment areas. Ecol. Eng. 2001, 18, 23–38. [Google Scholar] [CrossRef]
- Aldous, A.; McCormick, P.; Ferguson, C.; Graham, S.; Craft, C. Hydrologic Regime Controls Soil Phosphorus Fluxes in Restoration and Undisturbed Wetlands. Restor. Ecol. 2005, 13, 341–347. [Google Scholar] [CrossRef]
- Montgomery, J.A.; Eames, J.M.; Klimas, C. A 16-year investigation of legacy phosphorus discharge from Prairie Wolf Slough: A wetland restored on a former farmed field. Restor. Ecol. 2021, 29, e13340. [Google Scholar] [CrossRef]
- Carpenter, S.R. Phosphorus control is critical to mitigating eutrophication. Proc. Natl. Acad. Sci. USA 2008, 105, 11039–11040. [Google Scholar] [CrossRef] [Green Version]
- Jarvie, H.P.; Sharpley, A.N.; Spears, B.; Buda, A.R.; May, L.; Kleinman, P.J. Water quality remediation faces unprecedented challenges from “legacy phosphorus”. Environ. Sci. Technol. 2013, 47, 8997–8998. [Google Scholar] [CrossRef] [PubMed]
- Sharpley, A.; Jarvie, H.P.; Buda, A.; May, L.; Spears, B.; Kleinman, P. Phosphorus Legacy: Overcoming the Effects of Past Management Practices to Mitigate Future Water Quality Impairment. J. Environ. Qual. 2013, 42, 1308–1326. [Google Scholar] [CrossRef] [PubMed]
- Steinman, A.D.; Ogdahl, M.E. From wetland to farm and back again: Phosphorus dynamics of a proposed restoration project. Environ. Sci. Pollut. Res. 2016, 23, 22596–22605. [Google Scholar] [CrossRef]
- MDEQ (Michigan Department of Environmental Quality). Total Maximum Daily Load for Phosphorus for Bear Lake; Michigan Department of Environmental Quality, Water Bureau: Lansing, MI, USA, 2008. [Google Scholar]
- Steinman, A.D.; Ogdahl, M.E. TMDL reevaluation: Reconciling internal phosphorus load reductions in a eutrophic lake. Lake Reserv. Manag. 2015, 31, 115–126. [Google Scholar] [CrossRef]
- Cronberg, G. Changes in the phytoplankton of Lake Trummen induced by restoration. Hydrobiologia 1982, 86, 185–193. [Google Scholar] [CrossRef]
- Beas, B.J.; Smith, L.M.; LaGrange, T.G.; Stutheit, R. Effects of sediment removal on vegetation communities in Rainwater Basin playa wetlands. J. Environ. Manag. 2013, 128, 371–379. [Google Scholar] [CrossRef]
- Kiani, M.; Tammeorg, P.; Niemistö, J.; Simojoki, A.; Tammeorg, O. Internal phosphorus loading in a small shallow Lake: Response after sediment removal. Sci. Total Environ. 2020, 725, 138279. [Google Scholar] [CrossRef]
- Larson, D.M.; Riens, J.; Myerchin, S.; Papon, S.; Knutson, M.G.; Vacek, S.C.; Winikoff, S.G.; Phillips, M.L.; Giudice, J.H. Sediment excavation as a wetland restoration technique had early effects on the developing vegetation community. Wetl. Ecol. Manag. 2019, 28, 1–18. [Google Scholar] [CrossRef]
- Van Der Does, J.; Verstraelen, P.; Boers, P.; Van Roestel, J.; Roijackers, R.; Moser, G. Lake restoration with and without dredging of phosphorus-enriched upper sediment layers. Hydrobiologia 1992, 233, 197–210. [Google Scholar] [CrossRef]
- Lürling, M.; Faassen, E.J. Controlling toxic cyanobacteria: Effects of dredging and phosphorus-binding clay on cyanobacteria and microcystins. Water Res. 2012, 46, 1447–1459. [Google Scholar] [CrossRef]
- Yin, H.; Yang, C.; Yang, P.; Kaksonen, A.H.; Douglas, G.B. Contrasting effects and mode of dredging and in situ adsorbent amendment for the control of sediment internal phosphorus loading in eutrophic lakes. Water Res. 2020, 189, 116644. [Google Scholar] [CrossRef] [PubMed]
- Kleeberg, A.; Kohl, J.-G. Assessment of the long-term effectiveness of sediment dredging to reduce benthic phosphorus release in shallow Lake Müggelsee (Germany). Hydrobiologia 1999, 394, 153–161. [Google Scholar] [CrossRef]
- Smit, J.T.; Steinman, A.D. Wetland Sediment Phosphorus Flux in Response to Proposed Hydrologic Reconnection and Warming. Wetlands 2015, 35, 655–665. [Google Scholar] [CrossRef]
- Oldenborg, K.A.; Steinman, A.D. Impact of sediment dredging on sediment phosphorus flux in a restored riparian wetland. Sci. Total Environ. 2018, 650, 1969–1979. [Google Scholar] [CrossRef]
- Lürling, M.; Smolders, A.J.P.; Douglas, G.D. Methods for the management of internal phosphorus loading in lakes. In Internal Phosphorus Loading of Lakes: Causes, Case Studies, and Management; Steinman, A.D., Spears, B.M., Eds.; J. Ross Publishing: Plantation, FL, USA, 2020; pp. 77–107. [Google Scholar]
- Steinman, A.D.; Lamberti, G.A.; Leavitt, P.; Uzarski, D.G. Biomass and pigments of benthic algae. In Methods in Stream Ecology, 3rd ed.; Hauer, F.R., Lamberti, G.A., Eds.; Elsevier Press: Cambridge, MA, USA, 2017; pp. 223–241. [Google Scholar]
- USEPA (United States Environmental Protection Agency). Methods for Chemical Analysis of Inorganic Substances in Environmental Samples; EPA-600/4-79R-93-020/100; USEPA: Cincinnati, OH, USA, 1993. [Google Scholar]
- APHA (American Public Health Association). Standard Methods for the Examination of Water and Wastewater, 18th ed.; American Public Health Association: Washington, DC, USA, 1992. [Google Scholar]
- Kao, N.; Mohamed, M.; Sorichetti, R.; Niederkorn, A.; Van Cappellen, P.; Parsons, C. Phosphorus retention and transformation in a dammed reservoir of the Thames River, Ontario: Impacts on phosphorus load and speciation. J. Great Lakes Res. 2021, 48, 84–96. [Google Scholar] [CrossRef]
- Tockner, K.; Schiemer, F.; Baumgartner, C.; Kum, G.; Weigand, E.; Zweimüller, I.; Ward, J. The Danube restoration project: Species diversity patterns across connectivity gradients in the floodplain system. Regul. Rivers Res. Manag. 1999, 15, 245–258. [Google Scholar] [CrossRef]
- Björk, S.; Pokorný, J.; Hauser, V. Restoration of lakes through sediment removal, with case studies from lakes Trummen, Sweden and Vajgar, Czech Republic. In Restoration of Lakes, Streams, Floodplains, and Bogs in Europe: Principles and Case Studies; Eiseltova, M., Ed.; Springer Publishing: Berlin/Heidelberg, Germany, 2010; pp. 101–122. [Google Scholar]
- Gu, X.-Z.; Chen, K.-N.; Zhang, L.; Fan, C.-X. Preliminary evidence of nutrients release from sediment in response to oxygen across benthic oxidation layer by a long-term field trial. Environ. Pollut. 2016, 219, 656–662. [Google Scholar] [CrossRef]
- Chen, M.; Cui, J.; Lin, J.; Ding, S.; Gong, M.; Ren, M.; Tsang, D.C. Successful control of internal phosphorus loading after sediment dredging for 6 years: A field assessment using high-resolution sampling techniques. Sci. Total Environ. 2018, 616-617, 927–936. [Google Scholar] [CrossRef]
- Wang, Y.; Ding, S.; Wang, D.; Sun, Q.; Lin, J.; Shi, L.; Chen, M.; Zhang, C. Static layer: A key to immobilization of phosphorus in sediments amended with lanthanum modified bentonite (Phoslock®). Chem. Eng. J. 2017, 325, 49–58. [Google Scholar] [CrossRef]
- Weng, J.-X. Post-dredging effect assessment based on sediment chemical quality in urban rivers of Yangzhou. Environ. Monit. Assess. 2017, 189, 96. [Google Scholar] [CrossRef]
- Zhong, J.-C.; Yu, J.-H.; Zheng, X.-L.; Wen, S.-L.; Liu, D.-H.; Fan, C.-X. Effects of Dredging Season on Sediment Properties and Nutrient Fluxes across the Sediment–Water Interface in Meiliang Bay of Lake Taihu, China. Water 2018, 10, 1606. [Google Scholar] [CrossRef]
- Chen, C.; Kong, M.; Wang, Y.-Y.; Shen, Q.-S.; Zhong, J.-C.; Fan, C.-X. Dredging method effects on sediment resuspension and nutrient release across the sediment-water interface in Lake Taihu, China. Environ. Sci. Pollut. Res. 2019, 27, 25861–25869. [Google Scholar] [CrossRef] [PubMed]
- Liu, C.; Zhong, J.; Wang, J.; Zhang, L.; Fan, C. Fifteen-year study of environmental dredging effect on variation of nitrogen and phosphorus exchange across the sediment-water interface of an urban lake. Environ. Pollut. 2016, 219, 639–648. [Google Scholar] [CrossRef]
- Steinman, A.D.; Spears, B.M. What is internal phosphorus loading and why does it occur? In Internal Phosphorus Loading of Lakes: Causes, Case Studies, and Management; Steinman, A.D., Spears, B.M., Eds.; J. Ross Publishing: Plantation, FL, USA, 2020; pp. 3–13. [Google Scholar]
- Wen, S.; Zhong, J.; Li, X.; Liu, C.; Yin, H.; Li, D.; Ding, S.; Fan, C. Does external phosphorus loading diminish the effect of sediment dredging on internal phosphorus loading? An in-situ simulation study. J. Hazard. Mater. 2020, 394, 122548. [Google Scholar] [CrossRef]
- Bortolotti, L.E.; Vinebrooke, R.D.; Louis, V.L.S. Prairie wetland communities recover at different rates following hydrological restoration. Freshw. Biol. 2016, 61, 1874–1890. [Google Scholar] [CrossRef]
- Moreno-Mateos, D.; Power, M.E.; Comín, F.A.; Yockteng, R. Structural and Functional Loss in Restored Wetland Ecosystems. PLOS Biol. 2012, 10, e1001247. [Google Scholar] [CrossRef]
- Cooke, G.D.; Welch, E.B.; Peterson, S.; Nichols, S.A. Restoration and Management of Lakes and Reservoirs, 3rd ed.; CRC Press: Boca Raton, FL, USA, 2016. [Google Scholar]
- Kleindl, P.M.; Steinman, A.D. Contrasting trajectories in macrophyte community development after shoreline restoration: Water level obscures trends. Aquat. Bot. 2020, 169, 103327. [Google Scholar] [CrossRef]
- Fink, D.F.; Mitsch, W.J. Seasonal and storm event nutrient removal by a created wetland in an agricultural watershed. Ecol. Eng. 2004, 23, 313–325. [Google Scholar] [CrossRef]








| Variable | West 1 | West 5 | ||||||||
|---|---|---|---|---|---|---|---|---|---|---|
| 2014 Pre | 2021 Post | p | Test | g | 2014 Pre | 2021 Post | p | Test | g | |
| TP (µg/L) | 955 (316) | 18 (3) | <0.001 | t | −2.98 | 902 (254) | 19 (3) | <0.001 | t | −3.50 |
| SRP (µg/L) | 740 (314) | 3 (0) | <0.001 | t | −2.36 | 701 (273) | 3 (0) | <0.001 | t | −2.57 |
| PartP (µg/L) | 215 (58) | 15 (3) | <0.001 | t | −3.47 | 202 (79) | 16 (3) | <0.001 | t | −2.37 |
| Chl-a (µg/L) | 19.5 (15.5) | 8.2 (1.9) | 0.090 | t | −0.73 | 10.8 (13.1) | 6.8 (1.8) | 0.933 | r | −0.30 |
| Temp (°C) | 17.7 (5.3) | 18.0 (4.9) | 0.792 | t | 0.04 | 17.3 (5.4) | 18.0 (4.9) | 0.392 | t | 0.10 |
| DO (mg/L) | 8.6 (2.7) | 9.5 (1.2) | 0.247 | t | 0.31 | 7.5 (3.6) | 9.6 (1.3) | 0.089 | t | 0.55 |
| DO % sat | 90 (27) | 100 (11) | 0.255 | t | 0.35 | 77 (34) | 101 (12) | 0.067 | t | 0.67 |
| pH | 8.3 (0.8) | 7.8 (0.5) | 0.085 | t | −0.53 | 8.1 (0.8) | 7.9 (0.3) | 0.322 | t | −0.24 |
| SpCond (µS/cm) | 679 (81) | 359 (75) | <0.001 | t | −2.92 | 684 (78) | 359 (75) | <0.001 | t | −3.02 |
| ORP (mV) | 385 (27) | 345 (46) | <0.001 | t | −0.75 | 387 (25) | 344 (44) | 0.003 | t | −0.86 |
| TDS (g/L) | 0.442 (0.053) | 0.233 (0.049) | <0.001 | t | −2.91 | 0.445 (0.051) | 0.234 (0.049) | <0.001 | t | −3.00 |
| Turbidity (NTU) | 3 (3) | 2 (1) | 0.360 | t | −0.32 | 4 (3) | 2 (1) | 0.293 | t | −0.64 |
| Variable | East 6 | East 8 | ||||||||
|---|---|---|---|---|---|---|---|---|---|---|
| 2014 Pre | 2021 Post | p | Test | g | 2014 Pre | 2021 Post | p | Test | g | |
| TP (µg/L) | 137 (74) | 22 (4) | 0.006 | t | −1.56 | 131 (72) | 18 (4) | 0.005 | t | −1.58 |
| SRP (µg/L) | 4 (3) | 3 (0) | 0.250 | t | −0.34 | 3 (0) | 4 (2) | 0.500 | r | 0.50 |
| PartP (µg/L) | 132 (72) | 19 (4) | 0.006 | t | −1.58 | 128 (72) | 15 (4) | 0.005 | t | −1.58 |
| Chl-a (µg/L) | 67.5 (60.6) | 6.7 (3.3) | 0.038 | t | −1.01 | 47.4 (28.4) | 3.9 (1.9) | 0.006 | t | −1.54 |
| Temp (°C) | 17.7 (5.5) | 16.7 (4.4) | 0.813 | r | −0.14 | 18.4 (5.2) | 16.7 (4.4) | 0.048 | t | −0.25 |
| DO (mg/L) | 11.1 (1.5) | 9.8 (1.2) | 0.050 | t | −0.68 | 11.4 (1.4) | 9.2 (1.0) | 0.001 | t | −1.29 |
| DO % sat | 116 (13) | 102 (17) | 0.008 | t | −0.66 | 121 (14) | 94 (11) | <0.001 | t | −1.53 |
| pH | 8.7 (0.4) | 7.8 (0.5) | 0.004 | t | −1.41 | 8.8 (0.3) | 7.6 (0.3) | <0.001 | t | −2.85 |
| SpCond (µS/cm) | 561 (40) | 365 (71) | <0.001 | t | −2.42 | 560 (41) | 366 (71) | 0.016 | r | −2.38 |
| ORP (mV) | 357 (31) | 358 (56) | 0.976 | t | 0.02 | 343 (48) | 363 (49) | 0.123 | t | 0.29 |
| TDS (g/L) | 0.365 (0.026) | 0.237 (0.047) | 0.016 | r | −2.40 | 0.364 (0.027) | 0.238 (0.046) | <0.001 | t | −2.38 |
| Turbidity (NTU) | 27 (27) | 2 (1) | 0.055 | t | −0.93 | 25 (20) | 3 (1) | 0.026 | t | −1.11 |
| Variable | Upstream | Downstream | p | g |
|---|---|---|---|---|
| TP (µg/L) | 29 (14) | 18 (6) | 0.109 | −0.73 |
| SRP (µg/L) | 9 (3) | 3 (0) | 0.003 | −2.01 |
| PartP (µg/L) | 21 (13) | 16 (6) | 0.392 | −0.35 |
| Chl-a (µg/L) | 2.5 (1.6) | 7.2 (2.6) | 0.007 | 1.55 |
| Temp (°C) | 13.7 (3.1) | 18.1 (5.2) | 0.003 | 0.73 |
| DO (mg/L) | 8.6 (1.5) | 8.5 (1.2) | 0.711 | −0.05 |
| DO % sat | 83 (11) | 89 (12) | 0.252 | 0.37 |
| pH | 7.5 (0.2) | 7.7 (0.5) | 0.227 | 0.37 |
| SpCond (µS/cm) | 370 (52) | 363 (74) | 0.462 | −0.08 |
| ORP (mV) | 362 (49) | 351 (50) | 0.167 | −0.16 |
| TDS (g/L) | 0.241 (0.034) | 0.236 (0.048) | 0.472 | −0.09 |
| Turbidity (NTU) | 6 (4) | 2 (2) | 0.081 | −0.90 |
| Variable | Pre-Restoration | Post-Restoration |
|---|---|---|
| TP (µg/L) | 67.4 | 23.7 |
| SRP (µg/L) | 9.6 | 2.5 |
| Chl-a (µg/L) | 4.3 | 10.1 |
| Temp (°C) | 9.1 | 12.0 |
| DO (mg/L) | 8.9 | 10.9 |
| SpCond (µS/cm) | 310 | 409 |
| Turbidity (NTU) | 16.1 | 12.8 |
Publisher’s Note: MDPI stays neutral with regard to jurisdictional claims in published maps and institutional affiliations. |
© 2022 by the authors. Licensee MDPI, Basel, Switzerland. This article is an open access article distributed under the terms and conditions of the Creative Commons Attribution (CC BY) license (https://creativecommons.org/licenses/by/4.0/).
Share and Cite
Hassett, M.C.; Steinman, A.D. Wetland Restoration through Excavation: Sediment Removal Results in Dramatic Water Quality Improvement. Land 2022, 11, 1559. https://doi.org/10.3390/land11091559
Hassett MC, Steinman AD. Wetland Restoration through Excavation: Sediment Removal Results in Dramatic Water Quality Improvement. Land. 2022; 11(9):1559. https://doi.org/10.3390/land11091559
Chicago/Turabian StyleHassett, Michael C., and Alan D. Steinman. 2022. "Wetland Restoration through Excavation: Sediment Removal Results in Dramatic Water Quality Improvement" Land 11, no. 9: 1559. https://doi.org/10.3390/land11091559
APA StyleHassett, M. C., & Steinman, A. D. (2022). Wetland Restoration through Excavation: Sediment Removal Results in Dramatic Water Quality Improvement. Land, 11(9), 1559. https://doi.org/10.3390/land11091559

