Identification of Wetland Conservation Gaps in Rapidly Urbanizing Areas: A Case Study in Zhengzhou, China
Abstract
1. Introduction
2. Materials and Methods
2.1. Study Area
2.2. Data Source and Processing
2.2.1. Records of Wetland Plants and Waterfowl Occurrence in Zhengzhou
2.2.2. Environmental Variables
- Bioclimatic variables
- Topographical variables
- Land cover variables
- Habitat suitability variables
- Population density variables
2.3. Model Selection and Construction
2.4. Model Accuracy Evaluation
2.5. Importance Assessment of Environmental Variables
3. Results
3.1. Environment Variable Filtering Results
3.2. Model Performance Assessment
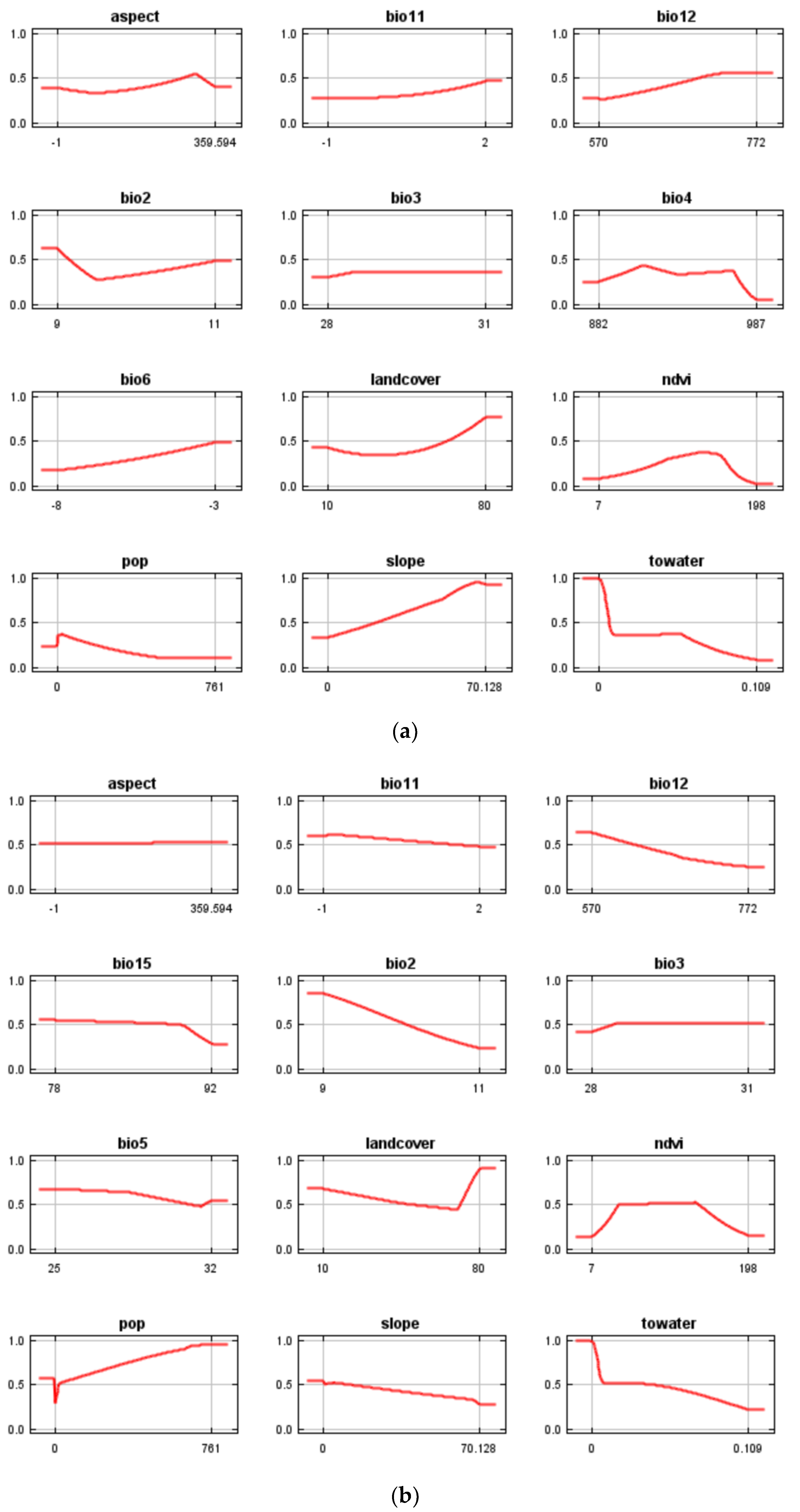
3.3. Elements Influencing the Potential Geographic Distribution of Species
3.4. Identification of Potential Geographic Habitats of Species
4. Discussion
4.1. Validity of the Model
4.2. Variables Contribution and Similarities and Differences with Other Studies
4.3. Implications of the Study Results for Conservation Planning
4.4. Limitations
5. Conclusions
Author Contributions
Funding
Data Availability Statement
Acknowledgments
Conflicts of Interest
Appendix A
| Code | Land Cover Categories | LCCS Code | Definition |
|---|---|---|---|
| 10 | Tree cover | A12A3//A11A1 fA24A3C1(C2)-R1(R2) | Any geographic area dominated by trees, with a cover of 10% or more, land existing under a tree canopy, areas planted for afforestation purposes and plantations, the category also includes areas covered by trees, seasonal or permanent freshwater irrigation, except for mangroves. |
| 20 | Shrubland | A12A4//A11A2 | Any geographic area dominated by natural shrubs with a cover of 10% or more. Shrubs were defined as woody perennials without a clear main stem, less than 5 m in height, with persistent and lignified stems. |
| 30 | Grassland | A12A2 | This category includes any geographic area dominated by natural herbaceous plants, including grasslands, pastures, etc., with a cover of 10% or more. |
| 40 | Cropland | A11A3(A4)(A5)//A23 | Land covered with annual tillage can be harvested at least once within 12 months of the seeding/planting date. Annual cropland produces herbaceous cover, sometimes in combination with some trees or woody vegetation. Note that perennial woody crops will be classified as the appropriate type of tree cover or shrub land cover. |
| 50 | Built-up | B15A1 | Land covered by buildings, roads and other man-made structures (e.g., railroads), buildings including residential and industrial buildings, urban green spaces (parks, sports facilities) are not included in this category, and waste dumps and extraction sites are considered wastelands. |
| 60 | Bare/sparse vegetation | B16A1(A2)//B15A2 | Land with bare soil, sand or rock that does not have more than 10% vegetation cover at any time of the year. |
| 80 | Permanent water bodies | B28A1(B1)//B27A1(B1) | This category includes any geographic area covered by a body of water for most of the year (more than 9 months), lakes, reservoirs and rivers, which can be fresh or brackish, and in some cases the water is frozen for part of the year (less than 9 months). |
| 90 | Herbaceous wetland | A24A2 | Land dominated by natural herbaceous vegetation (10% cover or more), permanently or periodically inundated by fresh, brackish or salt water. |
| Wetland Plant | Waterfowl | ||
|---|---|---|---|
| Variables | Percent Contribution | Variables | Percent Contribution |
| Distance to water | 46.3 | Distance to water | 34.8 |
| BIO4 | 14.7 | Land cover | 14 |
| DEM | 7.5 | BIO5 | 12 |
| NDVI | 4.2 | Population density | 10.5 |
| Population density | 3.6 | BIO10 | 3.4 |
| BIO12 | 2.5 | BIO12 | 2.7 |
| Aspect | 2.4 | BIO15 | 2.7 |
| Land cover | 2.4 | Distance to road | 2.6 |
| BIO16 | 2.1 | BIO18 | 2.2 |
| BIO2 | 2 | Aspect | 2.1 |
| BIO10 | 1.9 | NDVI | 1.7 |
| BIO1 | 1.6 | Slope | 1.3 |
| Slope | 1.5 | BIO1 | 1.3 |
| BIO11 | 1.1 | Dem | 1.1 |
| BIO5 | 0.9 | BIO2 | 1.1 |
| Distance to road | 0.8 | BIO14 | 0.9 |
| BIO14 | 0.7 | BIO17 | 0.8 |
| BIO13 | 0.7 | BIO11 | 0.7 |
| BIO3 | 0.7 | BIO4 | 0.7 |
| BIO9 | 0.6 | BIO7 | 0.6 |
| BIO6 | 0.5 | BIO3 | 0.5 |
| BIO7 | 0.5 | BIO19 | 0.4 |
| BIO8 | 0.4 | BIO16 | 0.4 |
| BIO15 | 0.3 | BIO6 | 0.4 |
| BIO17 | 0.2 | BIO8 | 0.4 |
| BIO18 | 0.1 | BIO9 | 0.3 |
| BIO19 | 0.1 | BIO13 | 0.3 |


References
- Ma, Z.; Li, B.; Zhao, B.; Jing, K.; Tang, S.; Chen, J. Are Artificial Wetlands Good Alternatives to Natural Wetlands for Waterbirds?—A Case Study on Chongming Island, China. Biodivers. Conserv. 2004, 13, 333–350. [Google Scholar] [CrossRef]
- Murray, C.G.; Kasel, S.; Loyn, R.H.; Hepworth, G.; Hamilton, A.J. Waterbird Use of Artificial Wetlands in an Australian Urban Landscape. Hydrobiologia 2013, 716, 131–146. [Google Scholar] [CrossRef]
- Rodríguez-Rodríguez, D.; Rodríguez-Rodríguez, D. New Issues on Protected Area Management; IntechOpen: London, UK, 2012; ISBN 978-953-51-0697-5. [Google Scholar]
- Guo, Z.; Cui, G.; Zhang, M.; Li, X. Analysis of the Contribution to Conservation and Effectiveness of the Wetland Reserve Network in China Based on Wildlife Diversity. Glob. Ecol. Conserv. 2019, 20, e00684. [Google Scholar] [CrossRef]
- Hostetler, M.; Knowles-Yanez, K. Land Use, Scale, and Bird Distributions in the Phoenix Metropolitan Area. Landsc. Urban Plan. 2003, 62, 55–68. [Google Scholar] [CrossRef]
- Ferrier, S. Mapping Spatial Pattern in Biodiversity for Regional Conservation Planning: Where to from Here? Syst. Biol. 2002, 51, 331–363. [Google Scholar] [CrossRef]
- Erickson, K.D.; Smith, A.B. Accounting for Imperfect Detection in Data from Museums and Herbaria When Modeling Species Distributions: Combining and Contrasting Data-Level versus Model-Level Bias Correction. Ecography 2021, 44, 1341–1352. [Google Scholar] [CrossRef]
- Rodrigues, A.S.L.; Gregory, R.D.; Gaston, K.J. Robustness of Reserve Selection Procedures under Temporal Species Turnover. Proc. R. Soc. London. Ser. B Biol. Sci. 2000, 267, 49–55. [Google Scholar] [CrossRef]
- Pressey, R.L. Conservation Planning and Biodiversity: Assembling the Best Data for the Job. Conserv. Biol. 2004, 18, 1677–1681. [Google Scholar] [CrossRef]
- Cayuela, L.; Golicher, D.J.; Newton, A.C.; Kolb, M.; de Alburquerque, F.S.; Arets, E.J.M.M.; Alkemade, J.R.M.; Pérez, A.M. Species Distribution Modeling in the Tropics: Problems, Potentialities, and the Role of Biological Data for Effective Species Conservation. Trop. Conserv. Sci. 2009, 2, 319–352. [Google Scholar] [CrossRef]
- Gogol-Prokurat, M. Predicting Habitat Suitability for Rare Plants at Local Spatial Scales Using a Species Distribution Model. Ecol. Appl. 2011, 21, 33–47. [Google Scholar] [CrossRef]
- Franklin, J.; Miller, J.A. Mapping Species Distributions: Spatial Inference and Prediction; Cambridge University Press: Cambridge, UK, 2010; ISBN 978-0-521-87635-3. [Google Scholar]
- Ottaviani, D.; Lasinio, G.J.; Boitani, L. Two Statistical Methods to Validate Habitat Suitability Models Using Presence-Only Data. Ecol. Model. 2004, 179, 417–443. [Google Scholar] [CrossRef]
- Booth, T.H.; Nix, H.A.; Busby, J.R.; Hutchinson, M.F. Bioclim: The First Species Distribution Modelling Package, Its Early Applications and Relevance to Most Current MaxEnt Studies. Divers. Distrib. 2014, 20, 1–9. [Google Scholar] [CrossRef]
- Hirzel, A.H.; Arlettaz, R. Modeling Habitat Suitability for Complex Species Distributions by Environmental-Distance Geometric Mean. Environ. Manag. 2003, 32, 614–623. [Google Scholar] [CrossRef]
- Busby, J.R. A Biogeoclimatic Analysis of Nothofagus Cunninghamii (Hook.) Oerst. in Southeastern Australia. Aust. J. Ecol. 1986, 11, 1–7. [Google Scholar] [CrossRef]
- Carpenter, G.; Gillison, A.N.; Winter, J. DOMAIN: A Flexible Modelling Procedure for Mapping Potential Distributions of Plants and Animals. Biodivers. Conserv. 1993, 2, 667–680. [Google Scholar] [CrossRef]
- Elith, J.; Leathwick, J.R. Spccies Distribution Models: Ecological Explanation AndPrediction Across Space and Time. Spccies Distrib. Model. Ecol. Explan. Across Space Time 2009, 40, 677–697. [Google Scholar] [CrossRef]
- Zhang, L. Application of MAXENT maximum entropy model in predicting the potential distribution range of species. Ecol. Bull. 2015, 50, 9–12. [Google Scholar]
- Wisz, M.S.; Hijmans, R.J.; Li, J.; Peterson, A.T.; Graham, C.H.; Guisan, A.; NCEAS Predicting Species Distributions Working Group. Effects of Sample Size on the Performance of Species Distribution Models. Divers. Distrib. 2008, 14, 763–773. [Google Scholar] [CrossRef]
- Hernandez, P.A.; Graham, C.H.; Master, L.L.; Albert, D.L. The Effect of Sample Size and Species Characteristics on Performance of Different Species Distribution Modeling Methods. Ecography 2006, 29, 773–785. [Google Scholar] [CrossRef]
- Ortega-Huerta, M.A.; Townsend Peterson, A. Modeling Ecological Niches and Predicting Geographic Distributions: A Test of Six Presence-Only Methods. Rev. Mex. Biodivers. 2008, 79, 205–216. [Google Scholar]
- Phillips, S.J.; Anderson, R.P.; Schapire, R.E. Maximum Entropy Modeling of Species Geographic Distributions. Ecol. Model. 2006, 190, 231–259. [Google Scholar] [CrossRef]
- Kong, X. Stability Assessment of Species Distribution Models and Application Software. Master’s Thesis, Anqing Normal University, Anqing, China, 2015. [Google Scholar]
- Keller, D.; Holderegger, R.; van Strien, M.J.; Bolliger, J. How to Make Landscape Genetics Beneficial for Conservation Management? Conserv. Genet. 2015, 16, 503–512. [Google Scholar] [CrossRef]
- Tulloch, A.I.T.; Sutcliffe, P.; Naujokaitis-Lewis, I.; Tingley, R.; Brotons, L.; Ferraz, K.M.P.M.B.; Possingham, H.; Guisan, A.; Rhodes, J.R. Conservation Planners Tend to Ignore Improved Accuracy of Modelled Species Distributions to Focus on Multiple Threats and Ecological Processes. Biol. Conserv. 2016, 199, 157–171. [Google Scholar] [CrossRef]
- Xue, C.Q.L.; Wang, Y.; Tsai, L. Building New Towns in China–A Case Study of Zhengdong New District. Cities 2013, 30, 223–232. [Google Scholar] [CrossRef]
- Wang, X.; Tomaney, J. Zhengzhou–Political Economy of an Emerging Chinese Megacity. Cities 2019, 84, 104–111. [Google Scholar] [CrossRef]
- Brown, J.L.; Bennett, J.R.; French, C.M. SDMtoolbox 2.0: The next Generation Python-Based GIS Toolkit for Landscape Genetic, Biogeographic and Species Distribution Model Analyses. PeerJ 2017, 5, e4095. [Google Scholar] [CrossRef]
- Hijmans, R.J. Cross-Validation of Species Distribution Models: Removing Spatial Sorting Bias and Calibration with a Null Model. Ecology 2012, 93, 679–688. [Google Scholar] [CrossRef]
- Fick, S.E.; Hijmans, R.J. WorldClim 2: New 1-Km Spatial Resolution Climate Surfaces for Global Land Areas. Int. J. Climatol. 2017, 37, 4302–4315. [Google Scholar] [CrossRef]
- Zanaga, D.; Van De Kerchove, R.; De Keersmaecker, W.; Souverijns, N.; Brockmann, C.; Quast, R.; Wevers, J.; Grosu, A.; Paccini, A.; Vergnaud, S.; et al. ESA WorldCover 10 m 2020 V100 2021. Available online: https://zenodo.org/record/5571936 (accessed on 26 August 2021).
- Gregorio, A.D.; Jansen, L.J.M.; Food and Agriculture Organization of the United Nations. Land Cover Classification System: Classification Concepts and User Manual: LCCS; Food & Agriculture Organization: Rome, Italy, 2005; ISBN 978-92-5-105327-0. [Google Scholar]
- Vermote, E.; Justice, C.; Claverie, M.; Franch, B. Preliminary Analysis of the Performance of the Landsat 8/OLI Land Surface Reflectance Product. Remote Sens. Environ. 2016, 185, 46–56. [Google Scholar] [CrossRef]
- Warren, D.L.; Matzke, N.J.; Cardillo, M.; Baumgartner, J.B.; Beaumont, L.J.; Turelli, M.; Glor, R.E.; Huron, N.A.; Simões, M.; Iglesias, T.L.; et al. ENMTools 1.0: An R Package for Comparative Ecological Biogeography. Ecography 2021, 44, 504–511. [Google Scholar] [CrossRef]
- Leroy, B.; Meynard, C.N.; Bellard, C.; Courchamp, F. Virtualspecies, an R Package to Generate Virtual Species Distributions. Ecography 2016, 39, 599–607. [Google Scholar] [CrossRef]
- Yang, X.-Q.; Kushwaha, S.P.S.; Saran, S.; Xu, J.; Roy, P.S. Maxent Modeling for Predicting the Potential Distribution of Medicinal Plant, Justicia Adhatoda L. in Lesser Himalayan Foothills. Ecol. Eng. 2013, 51, 83–87. [Google Scholar] [CrossRef]
- Kong, W.; Li, X. Optimization of maximum entropy models in species distribution prediction. J. Appl. Ecol. 2019, 30, 2116. [Google Scholar] [CrossRef]
- Zhang, H.; Zhao, H.; Xu, C. The potential geographical distribution of Alsophila spinulosain under climate change in China. Chin. J. Ecol. 2021, 40, 968–979. [Google Scholar] [CrossRef]
- Zhang, H.; Zhao, H.; Wang, H. Potential Geographical Distribution of Populus Euphratica in China under Future Climate Change Scenarios Based on Maxent Model. Acta Ecol. Sin. 2020, 40, 6552–6563. [Google Scholar] [CrossRef]
- Ning, Y.; Jin, R. Modeling the potential suitable habitat of Impatiens hainanensis, a limestone-endemic plant. J. Plant Ecol. 2018, 42, 946. [Google Scholar] [CrossRef]
- Swets, J.A. Measuring the Accuracy of Diagnostic Systems. Science 1988, 240, 1285–1293. [Google Scholar] [CrossRef]
- Yusup, S.; Sulayman, M.; Ilghar, W. Prediction of Potential Distribution of Didymodon (Bryophyta, Pottiaceae) in Xinjiang Based on the MaxEnt Model. Plant Sci. J. 2018, 36, 541–553. [Google Scholar] [CrossRef]
- Rodríguez-Rodríguez, D.; Martínez-Vega, J. Proposal of a System for the Integrated and Comparative Assessment of Protected Areas. Ecol. Indic. 2012, 23, 566–572. [Google Scholar] [CrossRef]
- Wang, H.; Huang, L.; Hu, J.; Yang, H.; Guo, W. Effect of Urbanization on the River Network Structure in Zhengzhou City, China. Int. J. Environ. Res. Public Health 2022, 19, 2464. [Google Scholar] [CrossRef]
- Poiani, K.A.; Johnson, W.C.; Kittel, T.G.F. Sensitivity of a Prairie Wetland to Increased Temperature and Seasonal Precipitation Changes1. JAWRA J. Am. Water Resour. Assoc. 1995, 31, 283–294. [Google Scholar] [CrossRef]
- Ogden, J.C.; Baldwin, J.D.; Bass, O.L.; Browder, J.A.; Cook, M.I.; Frederick, P.C.; Frezza, P.E.; Galvez, R.A.; Hodgson, A.B.; Meyer, K.D.; et al. Waterbirds as Indicators of Ecosystem Health in the Coastal Marine Habitats of Southern Florida: 1. Selection and Justification for a Suite of Indicator Species. Ecol. Indic. 2014, 44, 148–163. [Google Scholar] [CrossRef]
- Shorebirds in Western North America: Late 1800s to Late 1900s. Available online: https://pubs.er.usgs.gov/publication/70185084 (accessed on 10 March 2022).
- Waterbird Populations Estimates, 5th ed; Mundkur, T., Nagy, S., Eds.; Wetlands International: Wageningen, The Netherlands, 2012. [Google Scholar]
- Grimm, N.B.; Faeth, S.H.; Golubiewski, N.E.; Redman, C.L.; Wu, J.; Bai, X.; Briggs, J.M. Global Change and the Ecology of Cities. Science 2008, 319, 756–760. [Google Scholar] [CrossRef] [PubMed]
- Liu, C.; Minor, E.S.; Garfinkel, M.B.; Mu, B.; Tian, G. Anthropogenic and Climatic Factors Differentially Affect Waterbody Area and Connectivity in an Urbanizing Landscape: A Case Study in Zhengzhou, China. Land 2021, 10, 1070. [Google Scholar] [CrossRef]
- De Martis, G.; Mulas, B.; Malavasi, V.; Marignani, M. Can Artificial Ecosystems Enhance Local Biodiversity? The Case of a Constructed Wetland in a Mediterranean Urban Context. Environ. Manag. 2016, 57, 1088–1097. [Google Scholar] [CrossRef]
- Giosa, E.; Mammides, C.; Zotos, S. The Importance of Artificial Wetlands for Birds: A Case Study from Cyprus. PLoS ONE 2018, 13, e0197286. [Google Scholar] [CrossRef]
- Xie, C.; Huang, X.; Wang, L.; Fang, X.; Liao, W. Spatiotemporal Change Patterns of Urban Lakes in China’s Major Cities between 1990 and 2015. Int. J. Digit. Earth 2018, 11, 1085–1102. [Google Scholar] [CrossRef]
- General Office of the State Council on Strengthening the Protection and Management of Wetlands Notice. Available online: http://www.gov.cn/zwgk/2005-08/15/content_22930.htm (accessed on 28 August 2022).
- Gibbs, J.P. Importance of Small Wetlands for the Persistence of Local Populations of Wetland-Associated Animals. Wetlands 1993, 13, 25–31. [Google Scholar] [CrossRef]
- Shui-Hua, C.; Ping, D.; Yang, Z. Impacts of Urbanization on the Wetland Waterbird Communities in Hangzhou. Zool. Res. 2000, 21, 279–285. [Google Scholar]





| No. | Variable Name | Units |
|---|---|---|
| BIO1 | Annual Mean Temperature | (°C) |
| BIO2 | Mean Diurnal Range (Mean of monthly (max temp–min temp)) | (°C) |
| BIO3 | Isothermality (BIO2/BIO7) (×100) | |
| BIO4 | Temperature Seasonality (standard deviation ×100) | C of V |
| BIO5 | Max Temperature of Warmest Month | (°C) |
| BIO6 | Min Temperature of Coldest Month | (°C) |
| BIO7 | Temperature Annual Range (BIO5-BIO6) | (°C) |
| BIO8 | Mean Temperature of Wettest Quarter | (°C) |
| BIO9 | Mean Temperature of Driest Quarter | (°C) |
| BIO10 | Mean Temperature of Warmest Quarter | (°C) |
| BIO11 | Mean Temperature of Coldest Quarter | (°C) |
| BIO12 | Annual Precipitation | (mm) |
| BIO13 | Precipitation of Wettest Month | (mm) |
| BIO14 | Precipitation of Driest Month | (mm) |
| BIO15 | Precipitation Seasonality (Coefficient of Variation) | C of V |
| BIO16 | Precipitation of Wettest Quarter | (mm) |
| BIO17 | Precipitation of Driest Quarter | (mm) |
| BIO18 | Precipitation of Warmest Quarter | (mm) |
| BIO19 | Precipitation of Coldest Quarter | (mm) |
| Wetland Species | Bioclimatic Variables | Topography, Land Cover, Habitat Suitability, and Population Density Variables |
|---|---|---|
| Wetland plants | BIO4 | Distance to water |
| BIO12 | NDVI | |
| BIO2 | Population density | |
| BIO11 | Aspect | |
| BIO3 | Land cover | |
| BIO6 | Slope | |
| Waterfowl | BIO5 | Distance to water |
| BIO12 | Land cover | |
| BIO15 | Population density | |
| BIO2 | Aspect | |
| BIO11 | NDVI | |
| BIO3 | Slope |
| Wetland Species | Percent Contribution | Permutation Importance |
|---|---|---|
| Wetland plants | Distance to water, 56.3% | Distance to water, 44.1% |
| BIO15, 16% | BIO4, 13.5% | |
| NDVI, 5.6% | NDVI, 9.3% | |
| BIO12, 3.6% | Landcover, 8% | |
| Landcover, 3.6% | BIO2, 5.7% | |
| Population density, 3.6% | Slope, 5.5% | |
| Aspect, 3.3% | BIO11, 4.3% | |
| BIO11, 2.6% | BIO12, 4% | |
| Slope, 2.3% | Aspect, 2.4% | |
| BIO2, 2.2% | Population density, 1.4% | |
| BIO3, 0.5% | BIO3, 1% | |
| BIO6, 0.3% | BIO6, 0.7% | |
| Waterfowl | Distance to water, 64% | Distance to water, 49.5% |
| Population density, 12.3% | Population density, 12.3% | |
| BIO2, 7.4% | BIO2, 9.5% | |
| Landcover, 5.8% | Landcover, 7.6% | |
| NDVI, 4.9% | Slope, 6.6% | |
| Slope, 2.3% | NDVI, 6.2% | |
| BIO15, 0.8% | BIO11, 3.8% | |
| BIO5, 0.7% | BIO3, 3% | |
| BIO12, 0.5% | Aspect, 1.4% | |
| Aspect, 0.5% | BIO12, 0.1% | |
| BIO3, 0.4% | BIO15, 0% | |
| BIO11, 0.4% | BIO5, 0% |
Disclaimer/Publisher’s Note: The statements, opinions and data contained in all publications are solely those of the individual author(s) and contributor(s) and not of MDPI and/or the editor(s). MDPI and/or the editor(s) disclaim responsibility for any injury to people or property resulting from any ideas, methods, instructions or products referred to in the content. |
© 2023 by the authors. Licensee MDPI, Basel, Switzerland. This article is an open access article distributed under the terms and conditions of the Creative Commons Attribution (CC BY) license (https://creativecommons.org/licenses/by/4.0/).
Share and Cite
Liu, C.; Hu, Y.; Taukenova, A.; Tian, G.; Mu, B. Identification of Wetland Conservation Gaps in Rapidly Urbanizing Areas: A Case Study in Zhengzhou, China. Land 2023, 12, 221. https://doi.org/10.3390/land12010221
Liu C, Hu Y, Taukenova A, Tian G, Mu B. Identification of Wetland Conservation Gaps in Rapidly Urbanizing Areas: A Case Study in Zhengzhou, China. Land. 2023; 12(1):221. https://doi.org/10.3390/land12010221
Chicago/Turabian StyleLiu, Chang, Yongge Hu, Assemgul Taukenova, Guohang Tian, and Bo Mu. 2023. "Identification of Wetland Conservation Gaps in Rapidly Urbanizing Areas: A Case Study in Zhengzhou, China" Land 12, no. 1: 221. https://doi.org/10.3390/land12010221
APA StyleLiu, C., Hu, Y., Taukenova, A., Tian, G., & Mu, B. (2023). Identification of Wetland Conservation Gaps in Rapidly Urbanizing Areas: A Case Study in Zhengzhou, China. Land, 12(1), 221. https://doi.org/10.3390/land12010221

