Dynamic Monitoring of Oxygen Supply Capacity of Urban Green Space Based on Satellite-Based Chlorophyll Fluorescence
Abstract
:1. Introduction
2. Materials and Methods
2.1. Study Area
2.2. Data Source and Processing
2.2.1. Remote Sensing-Based SIF Data
2.2.2. GAIA Data
2.3. Statistical Analysis
2.3.1. Multi-Year Averages
2.3.2. Spatial Trend Analysis
2.3.3. Urban Construction Land Expansion Degree
3. Results
3.1. Spatial Patterns
3.2. Seasonal Dynamics
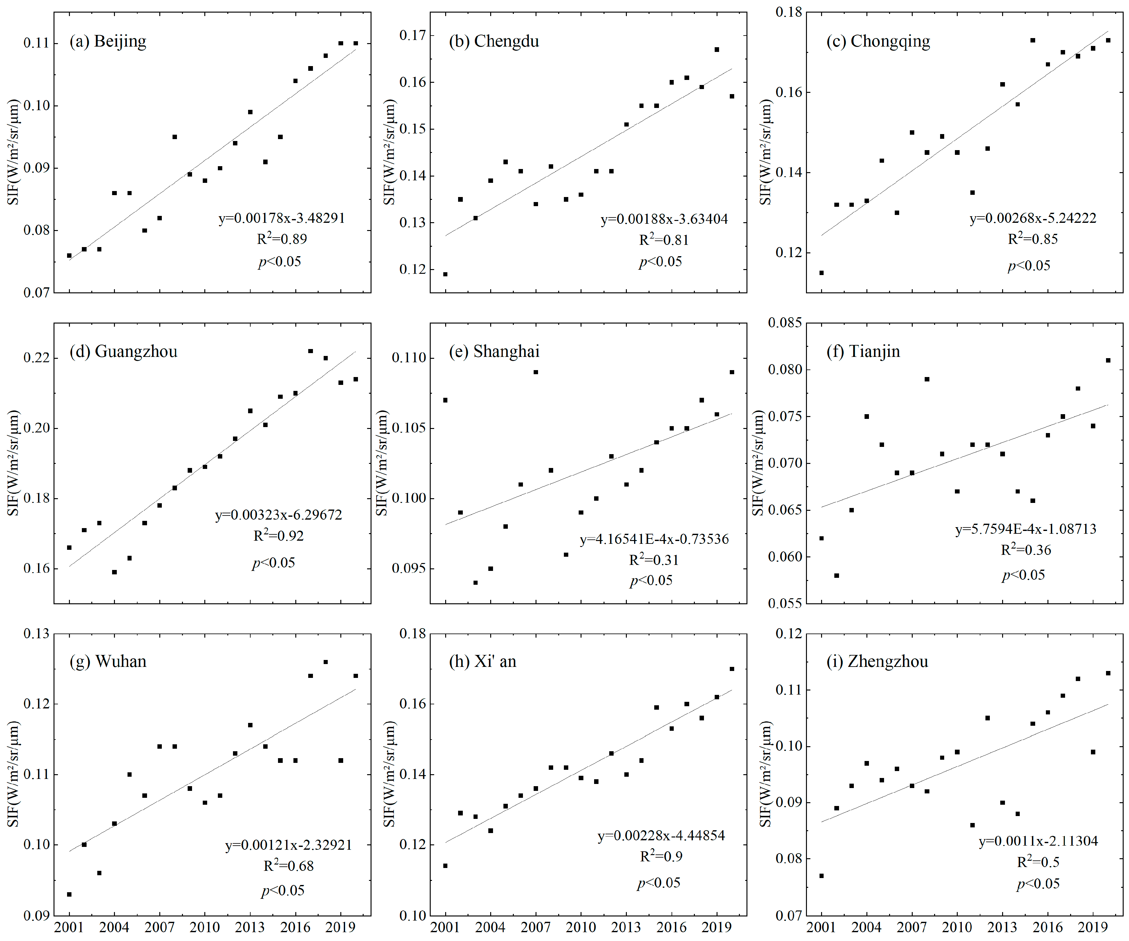
3.3. Long-Term Trend Change
3.4. Impact of Urban Construction Land Expansion
4. Discussion and Conclusions
Author Contributions
Funding
Data Availability Statement
Conflicts of Interest
References
- Wang, H.; Liu, J.F.; Ma, L.J.; Xie, Z.Y. Evolution law and ecological response of hydrological elements in the middle and upper reaches of Shule River under changing environment. Water Power 2019, 45, 1–5. [Google Scholar]
- Wang, R.; Liu, Z.G.; Yang, P.Q. Remote sensing principle and research progress of plant chlorophyll fluorescence induced by sunlight. Adv. Earth Sci. 2012, 27, 1221–1228. [Google Scholar]
- Xiao, J.; Chevallier, F.; Gomez, C.; Guanter, L.; Hicke, J.A.; Huete, A.R.; Ichii, K.; Ni, W.; Pang, Y.; Rahman, A.F.; et al. Remote sensing of the terrestrial carbon cycle: A review of advances over 50 years. Remote Sens. Environ. 2019, 233, 111383. [Google Scholar] [CrossRef]
- Zhang, Z.Y.; Wang, S.H.; Qiu, B.; Song, L.; Zhang, Y.G. Remote sensing retrieval of chlorophyll fluorescence induced by sunlight and application progress of carbon cycle. J. Remote Sens. 2019, 23, 37–52. [Google Scholar]
- Mohammed, G.H.; Colombo, R.; Middleton, E.M.; Rascher, U.; van der Tol, C.; Nedbal, L.; Goulas, Y.; Pérez-Priego, O.; Damm, A.; Meroni, M.; et al. Remote sensing of solar-induced chlorophyll fluorescence (SIF) in vegetation: 50 years of progress. Remote Sens. Environ. 2019, 231, 111177. [Google Scholar] [CrossRef]
- Tang, X.; Xiao, J.; Ma, M.; Yang, H.; Li, X.; Ding, Z.; Yu, P.; Zhang, Y.; Wu, C.; Huang, J.; et al. Satellite evidence for China’s leading role in restoring vegetation productivity over global karst ecosystems. For. Ecol. Manag. 2022, 507, 120000. [Google Scholar] [CrossRef]
- Krause, G.H.; Weis, E. Chlorophyll Fluorescence and Photosynthesis: The Basics. Annu. Rev. Plant Physiol. Plant Mol. Biol. 1991, 42, 313–349. [Google Scholar] [CrossRef]
- Zhan, C.H.; Zhang, Z.Y.; Zhang, Y.G. Research Progress on Radiative Transfer Model of Chlorophyll Fluorescence Induced by Sunlight. J. Remote Sens. 2020, 24, 945–957. [Google Scholar]
- Gitelson, A.A.; Buschmann, C.; Lichtenthaler, H.K. Leaf chlorophyll fluorescence corrected for re-absorption by means of absorption and reflectance measurements. J. Plant Physiol. 1998, 152, 283–296. [Google Scholar] [CrossRef]
- Van Wittenberghe, S.; Alonso, L.; Verrelst, J.; Hermans, I.; Delegido, J.; Veroustraete, F.; Valcke, R.; Moreno, J.; Samson, R. Upward and downward solar-induced chlorophyll fluorescence yield indices of four tree species as indicators of traffic pollution in Valencia. Environ. Pollut. 2013, 173, 29–37. [Google Scholar] [CrossRef]
- Lichtenthaler, H.K.; Buschmann, C.; Rinderle, U.; Schmuck, G. Application of chlorophyll fluorescence in ecophysiology. Radiat. Environ. Biophys. 1986, 25, 297–308. [Google Scholar] [CrossRef]
- Genty, B.; Briantais, J.-M.; Baker, N.R. The relationship between the quantum yield of photosynthetic electron transport and quenching of chlorophyll fluorescence. Biochim. Biophys. Acta BBA-Gen. Subj. 1989, 990, 89–92. [Google Scholar] [CrossRef]
- Mennis, J. Socioeconomic-Vegetation Relationships in Urban, Residential Land. Photogramm. Eng. Remote Sens. 2006, 72, 911–921. [Google Scholar] [CrossRef]
- Yao, R.; Wang, L.; Huang, X.; Gong, W.; Xia, X. Greening in Rural Areas Increases the Surface Urban Heat Island Intensity. Geophys. Res. Lett. 2019, 46, 2204–2212. [Google Scholar] [CrossRef]
- Jain, S.; Sannigrahi, S.; Sen, S.; Bhatt, S.; Chakraborti, S.; Rahmat, S. Urban heat island intensity and its mitigation strategies in the fast-growing urban area. J. Urban Manag. 2020, 9, 54–66. [Google Scholar] [CrossRef]
- Treuhaft, R.N.; Law, B.E.; Asner, G.P. Forest Attributes from Radar Interferometric Structure and Its Fusion with Optical Remote Sensing. Bioscience 2004, 54, 561. [Google Scholar] [CrossRef]
- Chen, Y.; Gu, H.; Wang, M.; Gu, Q.; Ding, Z.; Ma, M.; Liu, R.; Tang, X. Contrasting Performance of the Remotely-Derived GPP Products over Different Climate Zones across China. Remote Sens. 2019, 11, 1855. [Google Scholar] [CrossRef]
- Cui, T.; Sun, R.; Qiao, C.; Zhang, Q.; Yu, T.; Liu, G.; Liu, Z. Estimating Diurnal Courses of Gross Primary Production for Maize: A Comparison of Sun-Induced Chlorophyll Fluorescence, Light-Use Efficiency and Process-Based Models. Remote Sens. 2017, 9, 1267. [Google Scholar] [CrossRef]
- Sun, Y.; Frankenberg, C.; Wood, J.D.; Schimel, D.S.; Jung, M.; Guanter, L.; Drewry, D.T.; Verma, M.; Porcar-Castell, A.; Griffis, T.J.; et al. OCO-2 advances photosynthesis observation from space via solar-induced chlorophyll fluorescence. Science 2017, 358, eaam5747. [Google Scholar] [CrossRef]
- Wang, Y.N.; Wei, J.; Tang, X.G.; Hang, X.J.; Ma, M.G. Research progress in estimating total primary productivity of vegetation by chlorophyll fluorescence. Remote Sens. Technol. Appl. 2020, 35, 975–989. [Google Scholar]
- Liu, M.X.; Yang, C.X.; Fan, Z.X. Review and Prospect of the Relationship between Urban Space Microclimate and Crowd Behavior. Landsc. Archit. 2022, 29, 121–127. [Google Scholar]
- Zhao, H.; Liu, X.J. Promote the high-quality development of national central cities with the concept of sustainable cities. Reg. Econ. Rev. 2020, 5, 76–84. [Google Scholar]
- Li, X.; Xiao, J. A Global, 0.05-Degree Product of Solar-Induced Chlorophyll Fluorescence Derived from OCO-2, MODIS, and Reanalysis Data. Remote Sens. 2019, 11, 517. [Google Scholar] [CrossRef]
- Gong, P.; Li, X.; Wang, J.; Bai, Y.; Chen, B.; Hu, T.; Liu, X.; Xu, B.; Yang, J.; Zhang, W.; et al. Annual maps of global artificial impervious area (GAIA) between 1985 and 2018. Remote Sens. Environ. 2020, 236, 111510. [Google Scholar] [CrossRef]
- Angel, S.; Parent, J.; Civco, D.L.; Blei, A.; Potere, D. The dimensions of global urban expansion: Estimates and projections for all countries, 2000–2050. Prog. Plan. 2011, 75, 53–107. [Google Scholar] [CrossRef]
- Bounoua, L.; Nigro, J.; Zhang, P.; Thome, K.; Lachir, A. Mapping urbanization in the United States from 2001 to 2011. Appl. Geogr. 2018, 90, 123–133. [Google Scholar] [CrossRef]
- Solecki, W.; Seto, K.C.; Marcotullio, P.J. It’s Time for an Urbanization Science. Environ. Sci. Policy Sustain. Dev. 2013, 55, 12–17. [Google Scholar] [CrossRef]
- Zhu, Z.; Zhou, Y.; Seto, K.C.; Stokes, E.C.; Deng, C.; Pickett, S.T.; Taubenböck, H. Understanding an urbanizing planet: Strategic directions for remote sensing. Remote Sens. Environ. 2019, 228, 164–182. [Google Scholar] [CrossRef]
- Hamed, K.H. Trend detection in hydrologic data: The Mann–Kendall trend test under the scaling hypothesis. J. Hydrol. 2008, 349, 350–363. [Google Scholar] [CrossRef]
- Mwendwa, P.; Giliba, R.A. Benefits and challenges of urban green spaces. Chin. J. Popul. Resour. Environ. 2012, 10, 73–79. [Google Scholar] [CrossRef]
- Liu, F.; Zhang, Z.; Shi, L.; Zhao, X.; Xu, J.; Yi, L.; Liu, B.; Wen, Q.; Hu, S.; Wang, X.; et al. Urban expansion in China and its spatial-temporal differences over the past four decades. J. Geogr. Sci. 2016, 26, 1477–1496. [Google Scholar] [CrossRef]
- Li, W.; Saphores, J.-D.M.; Gillespie, T.W. A comparison of the economic benefits of urban green spaces estimated with NDVI and with high-resolution land cover data. Landsc. Urban Plan. 2015, 133, 105–117. [Google Scholar] [CrossRef]
- Dutta, D.; Rahman, A.; Paul, S.K.; Kundu, A. Spatial and temporal trends of urban green spaces: An assessment using hyper-temporal NDVI datasets. Geocarto Int. 2021, 10, 1–21. [Google Scholar] [CrossRef]
- Madsen, S.; Wunch, D.; Arain, M.A.; Frankenberg, C.; Koehler, P.; Rogers, C.; Staebler, R.; Vogel, F.; Wu, D. Investigation of urban vegetative fluxes of carbon dioxide over the Greater Toronto and Hamilton area. AGU Fall Meet. 2021, B25H-1580. [Google Scholar]
- Allen, M.A.; Roberts, D.A.; McFadden, J.P. Reduced urban green cover and daytime cooling capacity during the 2012–2016 California drought. Urban Clim. 2021, 36, 100768. [Google Scholar] [CrossRef]
- Kabisch, N.; Kraemer, R.; Brenck, M.E.; Haase, D.; Lausch, A.; Luttkus, M.L.; Mueller, T.; Remmler, P.; von Döhren, P.; Voigtländer, J.; et al. A methodological framework for the assessment of regulating and recreational ecosystem services in urban parks under heat and drought conditions. Ecosyst. People 2021, 17, 464–475. [Google Scholar] [CrossRef]









| GDP (108 Yuan) | Resident Population at Year-End (104 People) | Urban Population (104 People) | |
|---|---|---|---|
| Beijing | 36,102.6 | 2189 | 1916.6 |
| Chengdu | 17,716.7 | 1519.7 | 1015.61 |
| Chongqing | 25,002.79 | 3208.93 | 2229.08 |
| Guangzhou | 25,019.11 | 1874.03 | 1615.23 |
| Shanghai | 38,700.58 | 2488.36 | 2222 |
| Tianjin | 14,083.73 | 1386.6 | 1174.7 |
| Wuhan | 15,616.06 | 1244.77 | 929.84 |
| Xi’an | 10,020.39 | 1296 | 1026.43 |
| Zhengzhou | 12,003 | 1260.06 | 988 |
| Beijing | Chengdu | Chongqing | Guangzhou | Shanghai | Tianjin | Wuhan | Xi’an | Zhengzhou | |
|---|---|---|---|---|---|---|---|---|---|
| Spring | 0.021 | 0.139 | 0.132 | 0.171 | 0.093 | 0.022 | 0.087 | 0.138 | 0.107 |
| Summer | 0.276 | 0.336 | 0.309 | 0.29 | 0.213 | 0.214 | 0.272 | 0.33 | 0.24 |
| Autumn | 0.047 | 0.105 | 0.145 | 0.204 | 0.110 | 0.048 | 0.081 | 0.073 | 0.052 |
| Winter | 0 | 0.023 | 0.022 | 0.088 | 0.011 | 0 | 0.008 | 0.004 | 0.004 |
| City | Trend | Percent | City | Trend | Percent |
|---|---|---|---|---|---|
| Significantly increased | 91.87% | Significantly increased | 50.00% | ||
| Beijing | Basically unchanged | 7.84% | Tianjin | Basically unchanged | 46.58% |
| Significantly reduced | 0.29% | Significantly reduced | 3.42% | ||
| Significantly increased | 64.43% | Significantly increased | 69.23% | ||
| Chengdu | Basically unchanged | 29.05% | Wuhan | Basically unchanged | 25.75% |
| Significantly reduced | 6.52% | Significantly reduced | 5.02% | ||
| Significantly increased | 89.76% | Significantly increased | 76.38% | ||
| Chongqing | Basically unchanged | 6.34% | Xi’an | Basically unchanged | 19.10% |
| Significantly reduced | 3.90% | Significantly reduced | 4.52% | ||
| Significantly increased | 90.40% | Significantly increased | 64.33% | ||
| Guangzhou | Basically unchanged | 8.80% | Zhengzhou | Basically unchanged | 23.00% |
| Significantly reduced | 0.80% | Significantly reduced | 12.67% | ||
| Significantly increased | 41.39% | ||||
| Shanghai | Basically unchanged | 40.98% | |||
| Significantly reduced | 17.62% |
| Title | Area Increased in 2001–2010 (km2) | Area Growth Rate 2001–2010 | Area Increased in 2010–2018 (km2) | Area Growth Rate 2010–2018 |
|---|---|---|---|---|
| Beijing | 1386.7362 | 66.04% | 1185.0615 | 33.99% |
| Chengdu | 504.81 | 77.94% | 648.6462 | 56.28% |
| Chongqing | 303.7914 | 141.79% | 416.4111 | 80.38% |
| Guangzhou | 567.7965 | 63.93% | 508.8798 | 34.95% |
| Shanghai | 1114.4574 | 79.24% | 1232.0739 | 48.88% |
| Tianjin | 917.3358 | 57.50% | 1180.1898 | 46.97% |
| Wuhan | 378.5499 | 71.77% | 749.133 | 82.69% |
| Xi’an | 281.3895 | 36.92% | 467.3016 | 44.78% |
| Zhengzhou | 377.0955 | 36.19% | 910.9035 | 64.18% |
Disclaimer/Publisher’s Note: The statements, opinions and data contained in all publications are solely those of the individual author(s) and contributor(s) and not of MDPI and/or the editor(s). MDPI and/or the editor(s) disclaim responsibility for any injury to people or property resulting from any ideas, methods, instructions or products referred to in the content. |
© 2023 by the authors. Licensee MDPI, Basel, Switzerland. This article is an open access article distributed under the terms and conditions of the Creative Commons Attribution (CC BY) license (https://creativecommons.org/licenses/by/4.0/).
Share and Cite
Yao, L.; Ping, Z.; Sun, Y.; Zhou, W.; Zheng, H.; Ding, Q.; Liao, X. Dynamic Monitoring of Oxygen Supply Capacity of Urban Green Space Based on Satellite-Based Chlorophyll Fluorescence. Land 2023, 12, 426. https://doi.org/10.3390/land12020426
Yao L, Ping Z, Sun Y, Zhou W, Zheng H, Ding Q, Liao X. Dynamic Monitoring of Oxygen Supply Capacity of Urban Green Space Based on Satellite-Based Chlorophyll Fluorescence. Land. 2023; 12(2):426. https://doi.org/10.3390/land12020426
Chicago/Turabian StyleYao, Li, Zifei Ping, Yufang Sun, Wei Zhou, Hui Zheng, Qiangqiang Ding, and Xiang Liao. 2023. "Dynamic Monitoring of Oxygen Supply Capacity of Urban Green Space Based on Satellite-Based Chlorophyll Fluorescence" Land 12, no. 2: 426. https://doi.org/10.3390/land12020426
APA StyleYao, L., Ping, Z., Sun, Y., Zhou, W., Zheng, H., Ding, Q., & Liao, X. (2023). Dynamic Monitoring of Oxygen Supply Capacity of Urban Green Space Based on Satellite-Based Chlorophyll Fluorescence. Land, 12(2), 426. https://doi.org/10.3390/land12020426

