Next Article in Journal
Assessing Soil Organic Carbon Pool for Potential Climate-Change Mitigation in Agricultural Soils—A Case Study Fayoum Depression, Egypt
Previous Article in Journal
Changing Land Use and Urban Dynamics around an Industrial Zone in Bangladesh: A Remote Sensing Analysis
 
 
Font Type:
Arial Georgia Verdana
Font Size:
Aa Aa Aa
Line Spacing:
Column Width:
Background:
Article

Spatio-Temporal Variations in Ecological Quality and Its Response to Topography and Road Network Based on GEE: Taking the Minjiang River Basin as a Case

College of Transportation and Civil Engineering, Fujian Agriculture and Forestry University, Fuzhou 350002, China
*
Author to whom correspondence should be addressed.
Land 2023, 12(9), 1754; https://doi.org/10.3390/land12091754
Submission received: 21 July 2023 / Revised: 3 September 2023 / Accepted: 7 September 2023 / Published: 8 September 2023

Abstract

:
Urbanization has rapidly increased, leading to a wide range of significant disruptions to the global ecosystem. Road construction has emerged as the primary catalyst for such ecological degradation. As a result, it is imperative to develop efficient technological approaches for quantifying and tracking alterations in the ecological environment. Additionally, it is crucial to delve deeper into the spatial correlation between the quality of the ecosystem and the urban road network. This is of crucial importance in promoting sustainable development within the region. In this study, the research area selected was the Minjiang River Basin (MRB). We made optimal use of the Google Earth Engine (GEE) cloud platform to create a long-term series of remote sensing ecological index (RSEI) data in order to assess the quality of the ecological environment in the area. Additionally, we integrated digital elevation data (DEM) and OpenStreetMap (OSM) road network data to investigate the response mechanisms of RSEI with regard to elevation, slope, and the road network. The findings were as follows: (1) There were two distinct phases observed in the average value of RSEI: a slow-rising phase (2000–2010) with a growth rate of 1.09% and a rapidly rising phase (2010–2020) with a growth rate of 5.36%; the overall 20-year variation range fell between 0.575 and 0.808. (2) During the period of 2000 to 2010, approximately 41.6% of the area exhibited enhanced ecological quality, whereas 17.9% experienced degradation. Subsequently, from 2010 to 2020, the proportion of the region with improved ecological quality rose to 54.0%, while the percentage of degraded areas declined to 3.8%. (3) With increasing elevation and slope, the average value of RSEI initially rose and then declined. Specifically, the regions with the highest ecological quality were found in the areas with elevations ranging from 1200 to 1500 m and slopes ranging from 40 to 50°. In contrast, areas with an elevation below 300 meters or a slope of less than 10° had the poorest ecological quality. (4) The RSEI values exhibited a rapid ascent within the 1200 m buffer along the road network, while beyond this threshold, the increase in RSEI values became more subdued. (5) The bivariate analysis found a negative correlation between road network kernel density estimation (KDE) and RSEI, which grew stronger with larger scales. Spatial distribution patterns primarily comprised High–Low and Low–High clusters, in addition to non-significant clusters. The southeastern region contained concentrated High–Low clusters which covered approximately 10% of the study area, while Low–High clusters accounted for around 20% and were predominantly found in the western region. Analyzing the annual changes from 2000 to 2020, the southeastern region experienced a decrease in the number of High–Low clusters and an increase in the number of High–High clusters, whereas the northwestern region showed a decline in the number of Low–High clusters and an increase in the number of non-significant clusters. This study addresses a research gap by investigating the spatial correlation between road distribution and RSEI, which is vital for comprehending the interplay between human activities and ecosystem services within the basin system.

1. Introduction

The global ecosystem is presently being confronted with unparalleled anthropogenic disruption and the resultant environmental transformations, rendering it a matter of profound concern among researchers [1]. The distance, scope, and duration of the ecological disturbances brought on by human activity vary [2]. To meet the research community’s demand for methods of investigating spatio-temporal changes in ecological quality, the imperative lies in the development of models to evaluate ecological quality.
Previous studies have employed two commonly used methods, namely, the ecological environment condition index (EI) [3] and the pressure–state–response (PSR) model [4], to evaluate the quality of the ecological environment. Both methods require a significant amount of data to construct indices or models. Due to the challenges associated with data acquisition, especially when narrowing down the study area to the county or district level, the difficulty of constructing indicators significantly increases. Furthermore, both approaches have limitations when it comes to visualization, as they might not offer a straightforward and intuitive depiction of the ecological quality within a specific area.
The advent of remote sensing has opened up new directions for researchers, overcoming the limitations in access to indicators and offering the advantages of rapid, real-time, and extensive monitoring [5]. In parallel, we employ remote sensing to construct a wide range of indices that portray the quality of the ecological environment. Our methodology involves the utilization of various indicators, such as the normalized difference vegetation index (NDVI) [6,7], enhanced vegetation index (EVI) [8,9], and leaf area index (LAI) [10,11], to monitor and analyze changes in the environment. To assess the severity of drought in the region, we employ a set of standardized indices, namely the standardized precipitation index (SPI) [12], standardized precipitation evapotranspiration index (SPEI) [13], and the reconnaissance drought index (RDI) [14]. Land surface temperature (LST) is used to assess urban heat island impacts [15,16]. To assess the abundance of regional water resources, the water network density index is used [17]. There is no doubt that the ecological environment is undergoing complex changes which are the result of the interaction of many different variables. It is difficult to comprehensively and fairly evaluate the state of the ecological environment with a single indicator. In 2013, Professor Xu proposed the remote sensing ecological index (RSEI) [18], which is entirely based on remote sensing data. The index utilizes principal component analysis and combines four key indicators (greenness, wetness, dryness, and warmth) which represent the most perceptible aspects of the environment to humans. Furthermore, RSEI as a comprehensive index not only provides a direct reflection of the ecological environment quality in terms of both temporal and spatial aspects but also offers visual and comparative capabilities across different scales [19]. Overcoming the limitations of both the EI and PSR approaches, RSEI offers significant advancements [20]. The RSEI model has been extensively applied in studies assessing the changes in regional ecological environmental quality [20,21,22,23,24], demonstrating its high reliability and credibility.
Despite the availability of a reliable comprehensive index (RSEI) for assessing ecological quality, there are significant technical challenges when it comes to computing large-scale and long-temporal RSEI. These challenges arise from the substantial volume of data involved and the cumbersome data preprocessing procedures required by traditional software (ENVI). The introduction of the Google Earth Engine (GEE) platform has opened up important research opportunities. The GEE, which acts as a computer platform for remote sensing in environmental quality assessment and monitoring, enables users to quickly complete activities such as cloud removal, image mosaicking, and index computation by allowing them to directly deploy customized code on the platform [25]. The GEE platform is better suited than traditional software to building a large-scale and long-term RSEI.
Road development, as an initial disturbance, can lead to rapid expansion, resulting in the fragmentation and degradation of vegetation. This poses a severe threat to the ecological environment [26]. However, the relationship between road networks and the ecological environment remains unclear. Specifically, there is limited research exploring the spatial correlation between road distribution and RSEI. Additionally, topographic factors such as altitude and slope play crucial roles in the formation and distribution of forests. Slope affects various surface factors, including pressure, illumination, moisture, and temperature [27], while altitude influences the vertical distribution of soil [28]. Moreover, different ecological environments in various study areas [27,29,30] may exhibit varying responses to these topographic factors.
Fujian Province, as China’s inaugural national-level demonstration zone for ecological civilization, has achieved noteworthy accomplishments in ecological development. The province boasts a forest coverage rate of 66.8%, maintaining its position as the top-ranked province in the country for over 40 consecutive years. The Minjiang River, which is the largest river in Fujian Province, plays a crucial role as an ecological barrier in the southern hilly and mountainous region of China. Its basin not only serves as a vital ecological shield but also represents one of the pioneering pilot areas in China for landscape restoration and ecological conservation encompassing mountains, rivers, forests, farmlands, and lakes [31,32]. Furthermore, the Minjiang River Basin (MRB) comprises globally significant sites such as the Minjiang Estuary Wetland and the Mingxi section of the Shaxi Basin in Sanming City. These sites serve as critical migratory routes for various species of migratory birds on a global scale [32]. Therefore, the conservation of biodiversity and improvement of ecological environment quality in the MRB hold great significance for maintaining the socioeconomic and ecological security and stability of Fujian Province and the Taiwan Strait region, as well as contributing to the global preservation of biodiversity.
In summary, this study aims to achieve the following objectives: (1) rapidly construct the RSEI for the MRB using the GEE platform; (2) monitor the ecological quality of the MRB from 2000 to 2020; (3) explore the relationship between RSEI and factors such as altitude, slope, and the road network through correlation analysis to identify the changing trends in basin ecological quality in relation to these factors.

2. Materials and Methods

2.1. Study Area

The Minjiang River is the biggest river in the area, and it is located in Fujian Province. It covers a vast region of more than 60,000 km2, extending between 116° E and 120° E longitude and 25° N and 29° N latitude. The main stem of the river is around 577 km long, and the basin as a whole is 2959 km long. It is important to note that the basin is located in the southern, hilly part of Fujian Province and makes up more than half of its total land area. The following was the final research scope after taking into account the integrity of the study region, earlier analyses [33], and the basin’s natural boundary: the lower reaches of the river including Dehua in Quanzhou, Fuqing, and Yongtai in Fuzhou, among other counties and cities; the upper reaches of the river including Jianning and Qingliu in San-ming, among other counties and cities; the middle reaches including Guangze and Wuyishan in Nanping, Pingnan, and Gutian in Ningde (Figure 1). The topography of the MRB is higher in the northwestern part of the region and lower in the southeastern part. The region is characterized by a subtropical monsoon climate, receiving an average annual rainfall of approximately 1700 mm. Heavy rain, floods, and typhoons are the primary meteorological hazards in this area [32]; the soil types in the MRB include sandy loam, clay loam, and silty loam, among others.

2.2. Data Sources and Processing

2.2.1. Remote Sensing Data

For the collection and processing of Landsat TM/OLI/TIRS images in this study, we utilized the GEE platform, which provides convenient access to the data provided by the U.S. Geological Survey (USGS). The dataset has a spatial resolution of 30 m and can be easily acquired and processed within the GEE platform, eliminating the need for manual downloading [34]. In order to reduce the influence of clouds on the results, the official Landsat cloud-masking method was applied in the GEE platform. In order to minimize the influence of seasonal fluctuations, we deliberately selected the remote sensing images of the target year and the summer (June to September) of the years before and after. The median compositing method was utilized to synthesize the images and remove any cloud cover, ensuring that the resulting dataset adhered to the desired temporal and spatial parameters. Initially, the average value of RSEI was calculated for each year from 2000 to 2020. In addition, imagery data from 2000, 2005, 2010, 2015, and 2020 were selected as the base dataset at 5-year intervals to represent spatial and temporal changes in ecological quality within the MRB. Subsequently, a spatio-temporal distribution map of RSEI spanning from 2000 to 2020 was generated for the MRB. In order to accurately represent ground-level moisture conditions and reduce the influence of large water bodies on the principal component distribution, we employed the modified normalized difference water index (MNDWI). This index effectively masked out water body information, ensuring the reliability of the analysis [18].

2.2.2. Terrain Data

Topographic variables were extracted from a digital elevation model (DEM) dataset obtained from the Geospatial Cloud Platform (https://www.gscloud.cn, accessed on 6 April 2022) with a spatial resolution of 30 m. ArcGIS was utilized to retrieve the necessary information from the DEM. To account for the influence of various factors, including the actual terrain and natural laws within the study area, the elevation in the research area was categorized into seven distinct levels, each with a 300 m interval. These levels were as follows: −12~300, 300~600, 600~900, 900~1200, 1200~1500, 1500~1800, 1800~2191 m [35]. Based on 10° intervals, the slope within the study area was categorized into seven distinct classes. These slope categories were as follows: 0~10°, 10~20°, 20~30°, 30~40°, 40~50°, 50~60°, 60~75°. These slope categories were used for further analysis in the study. The two topographic factors of elevation and slope in the MRB are shown in Figure 2.

2.2.3. Road Network Data

The road network data used in this study were obtained from OpenStreetMap (https://www.openstreetmap.org/, accessed on 6 April 2022). Previous studies have often categorized roads according to their functional class, including highways, Class I, Class II, Class III, and Class IV roads, to examine changes in the ecological index of the road network [36,37]. Using the road network data within the basin, this study categorized roads into different levels based on the administrative hierarchy, including trunk roads, secondary roads, primary roads, and tertiary roads (Figure 3). With the support of ArcGIS software, firstly, four types of roads—trunk roads, secondary roads, primary roads, and tertiary roads—were selected as line study objects, and 20 buffers were constructed at 150 m intervals for analysis. Second, utilizing the entire road network as the research subject, the relationship between the kernel density estimation (KDE) of the road network and RSEI was examined.

2.3. Calculation of RSEI

In this study, the RSEI (43) was utilized to track the variations in ecological conditions within the MRB between 2000 and 2020. The RSEI is composed of four indicators—greenness, wetness, dryness, and heat—which are employed to evaluate the ecological condition. The index calculation adheres to the formula presented below:
RSEI = f ( Greenness , Wetness , Dryness , Heat )
The normalized difference vegetation index (NDVI), representing the level of greenness, is analogous. Dryness is indicated by the normalized differential build-up and bare soil index (NDBSI), which comprises the soil index (SI) and the building index (IBI), while wetness corresponds to the land surface moisture (WET). The land surface temperature (LST) is commonly associated with heat. The formulae for these indices are provided in Table 1.
To prevent the influence of varying units and data ranges among the four indicators on the RSEI results, a normalization process was conducted. In order to do this, the values of the NDVI, WET, NDBSI, and LST indicators had to be scaled so that they all lay between 0 and 1. The first RSEI (referred to as RSEI 0 ) was then calculated utilizing the four normalized indicators using principal component analysis (PCA). The first principal component (PC1), which generally accounts for more than 65% of the overall variance in the dataset, was used to construct the RSEI. By using this method, the findings are not biased by arbitrary weighting used throughout the computation process. The formula for RSEI 0 is expressed as follows:
RSEI 0 = PC 1 [ f ( NDVI , WET , NDBSI , LST ) ]
As one may expect, a higher RSEI 0 number represents a better ecological state. To make sure that greater RSEI values correlated to a better ecological state as planned, in situations where RSEI 0 had low values despite favorable ecological circumstances, a subtraction of RSEI 0 from one was carried out. Thus, the final RSEI value was calculated. The reverse processing formula for calculating RSEI₀ is as follows:
RSEI = 1 − PC1[f(NDVI,WET,NDBSI,LST)]
The next step involved normalizing the RSEI values to a range of 0 to 1, where 0 represents an extremely poor status, and 1 represents an excellent status. To classify the normalized RSEI, we adopted a methodology used in previous studies [38,39]. The normalized RSEI values were divided into five categories with equal intervals of 0.2. These categories were as follows: excellent (0.8–1.0), good (0.6–0.8), moderate (0.4–0.6), fair (0.2–0.4), and poor (0–0.2).
Table 1. NDVI, WET, NDBSI, and LST calculation formulae and explanations.
Table 1. NDVI, WET, NDBSI, and LST calculation formulae and explanations.
IndicatorCalculationExplanation
NDVI NDVI = R nir R red / R nir + R red The variables R nir and R red represent the reflectance data in the near-infrared and red bands, respectively [6].
WET WET TM =   0.0315 R blue + 0.2021 R green + 0.3102 R red + 0.1594 R nir 0.6706 R nir 1 0.6109 R nir 2 WET OLI =   0.1511 R blue + 0.1973 R green + 0.3283 R red + 0.3407 R nir 0.7117 R nir 1 0.4599 R nir 2 The reflectance data for the blue, green, red, near-infrared (NIR), shortwave infrared 1, and shortwave infrared 2 bands are denoted as R blue , R green , R red , R nir , R nir 1 , and R nir 2 , respectively [40,41].
NDBSI NDBSI = SI + IBI / 2 SI = R mir 1 + R red R nir + R blue / R mir 1 + R red + R nir + R blue IBI = 2 R mir 1 / R mir 1 + R nir R nir / R nir + R red + R green / R green + R mir 1 2 R mir 1 / R mir 1 + R nir + R nir / R nir + R red + R green / R green + R mir 1 The reflectance values for the red, blue, green, near-infrared, and shortwave infrared 1 bands are represented by R red ,   R blue ,   R green ,   R nir ,     and   R mir 1 , respectively [42,43].
LST L λ = ε B T s + 1 ε L / + L
B T s = L λ L τ 1 ε L / τ ε
T s = K 2 / ln K 1 / B T s + 1
The radiance at the sensor, denoted as L λ , is influenced by various factors including land surface emissivity, atmospheric radiances, and atmospheric transmissivity. The blackbody radiance, B ( T s ), is calculated using Planck’s law based on the land surface temperature ( T s = LST). The downwelling and upwelling atmospheric radiances are represented by L and L , respectively. The total atmospheric transmissivity between the land’s surface and the sensor is denoted as “tau”. For the TM sensor, the parameters K 1 and K 2 are set as 607.76 W m−2 µm−1 sr−1 and 1260.56 K, respectively. For the thermal infrared sensor (TIRS) band 10, the values are K 1 = 774.89 Wm−2 µm−1sr−1 sr−1 and K 2 = 1321.08 K. The atmospheric parameters, including L , L , and τ , were obtained from NASA’s website at http://atmcorr.gsfc.nasa.gov/, accessed on 6 April 2022 [44,45].

2.4. Kernel Density Estimation of the Road Network

To mitigate the potential impact of varying bandwidth settings on the results of the KDE for the road network, the incremental spatial autocorrelation tool was utilized prior to performing the KDE calculation. This approach helped to ensure more robust and reliable KDE results. The incremental spatial autocorrelation tool calculates local spatial autocorrelation (global Moran’s I) for a range of increasing distances while measuring the degree of spatial clustering at each distance; the degree of clustering is determined by a Z-score. Typically, the distance value corresponding to the maximum Z-score indicates the strongest degree of clustering at that distance [46], and the method can provide a reference for determining the optimal distance threshold for a variety of spatial analyses. In this study, we employed the incremental spatial autocorrelation tool to identify the most suitable bandwidth for KDE. The MRB was divided into grids of 300 × 300 m, and the length of the roads within each 300 m grid was calculated as the numerical field for assessing incremental spatial autocorrelation with the number of distance segments set to 30 and other settings defaulted so as to derive the first peak value and the maximum peak value of the valid spatial autocorrelation Z-score of the MRB road network corresponding to the distance, which is the optimal bandwidth for KDE.
The KDE was centered on each sample point of the relevant study element in the study area, and the density contribution of each sample point within the moving window was calculated separately by running the kernel density function. Assuming that x 1 …… x n is independent and relatively dispersed sample points are obtained according to the function f , then f x represents the value of point x in the formula f [47]. The formula is:
f n x = 1 nh i = 1 n k x x i h
In the formula, the variable k x represents multivariate standard kernel functions, while h represents the bandwidth. The term x x i denotes the distance between point x and point x i , and n represents the total number of sampled points.
Among them, the kernel function used was the Gaussian kernel function that comes with ArcGIS software for estimation. The selection of the parameter h had a significant impact on the calculation results. A larger value of h resulted in a smoother density curve, which represents a more generalized and abstract representation. On the other hand, a smaller value of h led to a more detailed density curve, allowing for a closer examination of the distribution characteristics of density.

2.5. Spatial Autocorrelation Analysis

Spatial autocorrelation can be divided into two types: global spatial autocorrelation and local spatial autocorrelation. In order to explore the spatial relationship and scale effect between KDE and RSEI, we created grids of different sizes, 300 × 300 m, 600 × 600 m, 900 × 900 m, 1200 × 1200 m, and 1500 × 1500 m. The GeoDa platform was then used to analyze the spatial correlation and time series evolution of the RSEI and KDE using spatial autocorrelation theory and to compare their scale effects. Bivariate Moran’s I was used to determine the spatial correlation between the sample cell’s own KDE and the RSEI of the neighboring cell grid by building a spatial lag model to calculate whether there was an aggregation effect between the two [48]. The global Moran’s I index is a statistical measure utilized to evaluate the spatial autocorrelation between KDE and RSEI. It spans from −1 to 1, with values closer to 1 indicating a strong positive correlation between KDE and RSEI. Conversely, values closer to −1 indicate a strong negative correlation, while a value of 0 suggests no correlation between the two variables. By utilizing bivariate global spatial autocorrelation, we visualized the clustered regions. This study generated LISA cluster maps for KDE and RSEI (2000, 2005, 2010, 2015, 2020). In the figures, a High–High cluster indicates regions characterized by high values of both RSEI and KDE. Conversely, a Low–Low cluster represents regions with low values of both RSEI and KDE. A High–Low cluster denotes regions with high RSEI but low KDE values, while a Low–High cluster represents regions with low RSEI but high KDE values.

3. Results

3.1. Ecological Quality Status

From Table 2, it is evident that PC1 accounted for a significant portion of the variation in all four indicators, exceeding 65%. Specifically, the contribution rates of PC1 for the years 2000, 2005, 2010, 2015, and 2020 were 65.7%, 67.7%, 67.6%, 78.5%, and 81.8%, respectively, indicating that PC1 captured a substantial portion of the indicator characteristics (Table 2). Moreover, the eigenvalues of NDVI and WET in PC1 exhibited positive values, while the eigenvalues of NDBSI and LST showed negative values. This is consistent with the actual observations and implies that greenness and humidity favorably influence the ecological quality whereas dryness and warmth have a detrimental impact.
The spatial distribution of RSEI within the basin was largely constant and steady between 2000 and 2020. The bulk of the region had high ecological quality, while the areas of low ecological quality were mostly found on both sides of the basin. Notably, the ecological quality significantly declined along the southern coast and in Fuzhou, the provincial capital, located in the center of the province. These areas have witnessed extensive urbanization, reduced forest coverage, and intensified human activities, contributing to the lower ecological quality observed in these regions (Figure 4).
From 2000 to 2020, there was a consistent upward trend in the average RSEI value, rising from 0.575 in 2000 to 0.807 in 2020. The area with good ecological quality inside the MRB consistently increased, growing from 33.0% in 2000 to 69.2% in 2020 according to the analysis of regional trends in the five categories of RSEI (Figure 5). Additionally, the proportion of areas categorized as poor or fair in terms of ecological quality demonstrated a consistent decline, decreasing from 14.6% to 3.0% for poor and from 18.5% to 3.0% for fair between 2000 and 2020. According to these findings, the MRB’s ecological quality significantly improved between 2000 and 2020, indicating a generally healthy status.
The average RSEI values for 36 districts and counties were computed from 2000 to 2020 in order to analyze the substantial changes in ecological quality across the administrative regions of the MRB (Figure 6). The results showed a significant improvement in each county’s or district’s ecological quality ratings inside the MRB throughout this time; the ecological quality levels of all districts and counties showed an improvement of at least one grade.
The top and middle reaches of the basin, which are in the northwest of the research area, continuously maintained a good degree of ecological quality. However, the southeastern part, particularly in the areas near the mouth of the MRB, including Taijiang District, Gulou District, Cangshan District, Ma Wei District, Lianjiang County, and Changle District, exhibited lower ecological quality. However, with the progress of regional environmental protection, the ecological quality gradually improved.
Districts and counties with a moderate level of ecological quality were mainly concentrated in Jianou City, Gutian County, Minhou County, and Lianjiang County. These areas were situated between regions with good and poor ecological quality.
Furthermore, the study revealed that ecological quality generally changed along a “southeast–northwest” axis; from the southeast to the northwest, there is a transition from regions with intense human activities, urbanization, and rapid industrialization to regions with less human activity and mountainous terrain. In this gradient, the ecological quality of the basin gradually improved.
When compared to the number of districts and counties with moderate ecological quality, which fell from 16 to 2, the number of districts and counties with poor and fair ecological quality increased from 6 to 3. On the other hand, the number of counties and districts with good and excellent ecological quality rose from 14 to 31. These changes provide further evidence of an overall improvement in ecological quality within the MRB.

3.2. Changes in Ecological Quality

In this study, the trend of RSEI from 2000 to 2020 was analyzed using segmented regression analysis (Figure 7). The findings indicated a moderate and steady increase in ecological quality between 2000 and 2010, with a growth rate of only 1.09% and an average growth trend of 0.003/a. However, between 2010 and 2020, a more brisk increase in ecological quality was seen, with a growth rate of 5.36% and an average growth trend of 0.015/a. In order to evaluate the changes in ecological quality in MRB, two research periods were chosen: 2010–2020 and 2000–2010.
Through a comparative analysis of the spatial distributions of RSEI changes over three different time periods (2000–2010, 2010–2020, and 2000–2020), the variations in RSEI levels across the five categories were examined (Figure 8a). The RSEI values ranged from −4 to 4, representing significant decreases (−4), relatively stable conditions (0), and significant increases (4). The observed patterns of RSEI fluctuations across various levels in the three time periods pointed to an increase in the basin’s ecological quality as a whole. While improvements were seen in other areas, the areas with worse ecological quality were mostly located in the western section of the basin.
The changes in RSEI were classified into five categories based on the RSEI change levels (−4 to 4): significant increase (RSEI change levels of 3 and 4), slight increase (RSEI change levels of 1 and 2), relatively stable (RSEI change level of 0), slight decrease (RSEI change levels of −1 and −2), and significant decrease (RSEI change levels of −3 and −4). In particular, during the period from 2000 to 2010, the highest proportion of areas was represented by the relatively stable type (40.4%) and the slight increase type (36.3%). Following them was the category of slight decrease (15.4%), while the significant increase type (5.3%) and the significant decrease type (2.5%) had comparatively lower proportions. From 2000 to 2010 and from 2010 to 2020, the proportion of the relatively stable type was the largest (2010–2020: 42.4%, 2000–2020: 35.7%). Following that was the slight increase type (2010–2020: 47.8%, 2000–2020: 40.9%) and the significant increase type (2010–2020: 6.2%, 2000–2020: 18.9%). The proportions of the slight decrease type were relatively smaller (2010–2020: 3.3%, 2000–2020:3.8%), and the significant decrease type had the smallest proportions (2010–2020:0.5%, 2000–2020: 0.7%).
The size or intensity of these changes was not significant, despite the fact that the spatial scope of changes in RSEI (including significant increase, slight increase, slight decrease, and significant decrease) was significant. The predominant changes occurred in the categories of slight increase and slight decrease. Specifically, within the three periods, the regions exhibited a slight increase type, primarily RSEI change level 1 (approximately 60% of the RSEI increase type area, Figure 8a). Similarly, the regions displayed a slight decrease type, mainly RSEI change level -1 (approximately 75% of the RSEI decrease type area, Figure 8a).
More specifically, over the three periods, areas with RSEI change level 1 mainly experienced a shift in RSEI levels from moderate (3) to good (4) and from good (4) to excellent (5). The regions that exhibited a level 2 change in RSEI from 2000 to 2010 primarily shifted from poor (1) to moderate (3) and from poor (2) to good (4); however, for the periods 2010–2020 and 2000–2020, the shift mainly occurred from poor (2) to good (4) and from moderate (3) to excellent (5). In terms of areas with a level 3 change in RSEI from 2000 to 2010, the shift was primarily from poor (1) to good (4), and, for 2010–2020 and 2000–2020, the shift mainly occurred from poor (2) to excellent (5). Lastly, areas with an RSEI change level of −1 over the three periods mainly experienced a shift in RSEI levels from good (4) to moderate (3) and from excellent (5) to good (4). From 2000 to 2010, the areas with a level of change in RSEI of −2 mainly resulted in a shift from good (4) to poor (2) and from excellent (5) to moderate (3). For the periods 2010–2020 and 2000–2020, the predominant shift occurred from moderate (3) to poor (1) and from excellent (5) to moderate (3). Regions with a level of change in RSEI of −3 mainly resulted in a shift from excellent (5) to poor (2) from 2000 to 2010 and 2000 to 2020, while, for the period 2010–2020, the shift mainly occurred from good (4) to poor (1). The regions with RSEI change levels of 4 and −4 were only associated with the reciprocal transfer between poor (1) and excellent (5) RSEI levels. The analysis showed that there were no major jumps in the ecological status of the basin and that major changes occurred at adjacent levels (Figure 8b).

3.3. Ecological Quality Response to Topographic Factors

3.3.1. Elevation

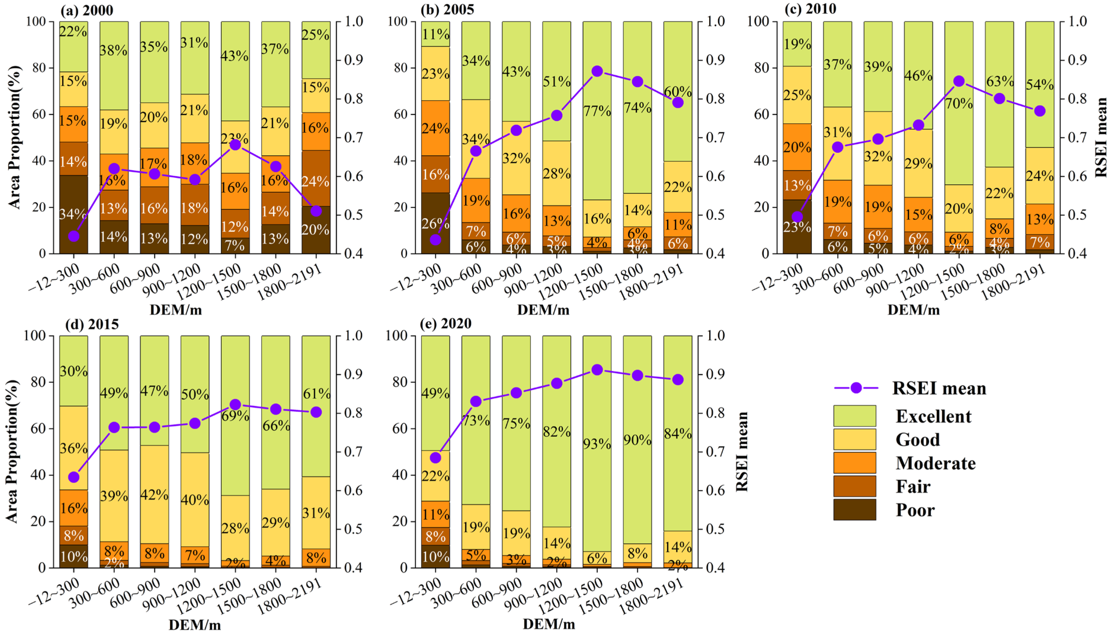
The average RSEI values in the MRB showed a pattern between 2000 and 2020 of an initial increase followed by a decrease with rising elevation. The concentration of human activity in low-lying or flat places is responsible for this. Specifically, the elevation range of −12~300 m exhibited lower average RSEI values and a relatively higher proportion of areas characterized by poor ecological quality. However, as the elevation increases, human activities decrease, and the climatic conditions become more favorable. This led to the maximum average RSEI value occurring between 1200 and 1500 m. As the elevation continues to rise, the water and thermal conditions become less suitable for vegetation growth. The average RSEI value therefore gradually dropped. Additionally, when elevation was increased, the percentage of locations with outstanding RSEI ratings showed an initial increase followed by a fall, but the percentage of regions with a poor RSEI rating decreased. The elevation of 1200~1500 m had the highest proportion of areas with excellent RSEI ratings, while the altitudes of −12~300 m had the largest proportion of areas with poor RSEI ratings (Figure 9).
From the point of view of detecting changes in ecological quality at different elevations, trends were observed (Figure 10). During the periods of 2000–2010 and 2000–2020, the area experiencing a decline in ecological quality was smaller than the area exhibiting an increase at various elevations. Furthermore, there was a noticeable trend where the decline in ecological quality diminished as elevations increased, while the area exhibiting improvement expanded. The most prominent decrease in ecological quality was observed within the elevation range of −12~300 m, whereas the largest area of ecological quality improvement was observed between elevations of 1800 and 2191 m. From 2010 to 2020, the extent of ecological quality decline was smaller compared to the area of improvement across various elevations. The highest magnitude of both decline and improvement in ecological quality was observed within the elevation range of −12~300 m.

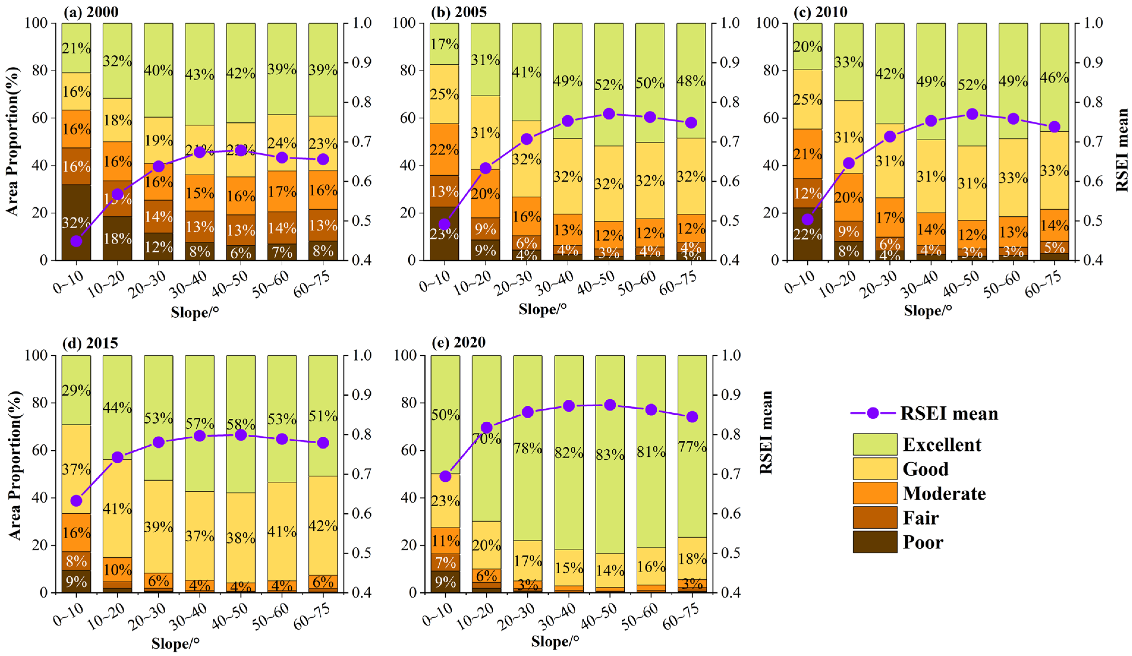
3.3.2. Slope

With increasing slope, the average RSEI value in the MRB exhibited an initial increase followed by a decrease from 2000 to 2020 (Figure 11). Based on the regulations stated in the Soil and Water Conservation Law of the People’s Republic of China, land development is limited in regions where the slope exceeds 25°. As cultivated land is returned to its natural condition, areas that were previously established as agricultural should be progressively converted back to forest or grassland. However, the average RSEI value was the lowest when the slope was between 0 and 10°. This can be primarily attributed to the suitability of low slopes for human activities, such as economic and population centers, as well as the allocation of larger areas for construction purposes and road networks. Additionally, areas with slopes greater than 60° exhibited lower average RSEI values compared to those with slopes in the 50–60° range. This is due to the limited availability of soil and water in high-slope areas, which, to some extent, restricts vegetation growth. Notably, the average RSEI value reached its maximum in the 40–50° slope range, indicating favorable conditions for vegetation growth within this range.
From the point of view of detecting changes in ecological quality at different slopes, trends were observed (Figure 12). The pattern of ecological quality change exhibited similarities across the three phases, 2000–2010, 2010–2020, and 2000–2020, with a greater increase in area than decline across various slopes. Specifically, during the period of 2000–2010, the area with slopes ranging from 0 to 10° experienced the highest degree of ecological quality decline, while the area with slopes between 10 and 20° witnessed the greatest improvement in ecological quality. In both the 2010–2020 and 2000–2020 periods, the peaks of ecological quality decline and improvement occurred in areas with slopes of 0 to 10°.

3.4. Ecological Quality Response to the Road Network

3.4.1. Buffer Analysis

The investigation of the buffer for the four types of roadways showed that the mean RSEI value increased gradually from 0 to 3000 m (Figure 13). The thresholds for trunk and secondary roads were observed between 1200 and 1500 m; for primary roads it ranged from 1500 to 1800 m, and, for tertiary roads, it ranged from 900 to 1200 m. Beyond these thresholds, the average RSEI values tended to level off or become relatively stable. The increase in distance from the road results in a decrease in human activity levels, leading to higher mean RSEI values. Regarding the temporal aspect, the pattern of RSEI change was consistent for all four types of roads, with the ranking of RSEI levels as follows: 2020 > 2015 > 2010 > 2005 > 2000. Generally, the levels of RSEI for different road types could be ranked as follows: tertiary roads > secondary roads > trunk roads > primary roads (Figure 13).
From the point of view of detecting changes in ecological quality for different road types, trends were observed (Figure 14). Between 2000 and 2010, the ecological quality changes (increase or decline) within the 0–3000 m buffer for trunk roads, secondary roads, primary roads, and tertiary roads did not exhibit significant variations. Instead, they followed a linear developmental trend. Moreover, the area experiencing an increase in ecological quality exceeded the area with a decline. The degree of increase, ranked in descending order, was as follows: tertiary roads > secondary roads > trunk roads > primary roads. On the other hand, the decline in ecological quality remained relatively consistent across all four road types. During the 2010–2020 and 2000–2020 eras, the region with enhanced ecological quality was much bigger than the area with a deterioration. As the buffer size increased, the extent of improvement gradually decreased, while the area with decline remained relatively stable. The ranking of the degree of increase, in descending order, was observed to be as follows: tertiary roads > secondary roads > trunk roads > primary roads. The degree of decline remained relatively consistent across all four types of roads.

3.4.2. Spatial Autocorrelation Analysis

Using the GeoDa spatial analysis tool, we examined the correlation between KDE and RSEI. In our analysis, KDE was designated as the primary variable, while the RSEI from 2000 to 2020 was considered the secondary variable. Firstly, we calculated the global Moran’s I index for KDE and RSEI at five different grid sizes (300 × 300 m, 600 × 600 m, 900 × 900 m, 1200 × 1200 m, and 1500 × 1500 m). Additionally, LISA cluster maps were generated to identify spatial clustering patterns between KDE and RSEI at different scales. Based on our research findings, a clear negative spatial correlation was observed between KDE and RSEI. Specifically, as KDE decreased, there was a corresponding increase in RSEI. Moreover, this negative correlation suggests that KDE also indirectly impacted the ecological quality of surrounding areas through a series of potential intermediate factors. When considering multiple years, we noticed an initial rise followed by a decline in the negative correlation between KDE and RSEI throughout the study duration. Additionally, we discovered that the magnitude of this negative correlation grew as the research scales expanded. The outcomes presented in Table 3 provide further evidence to support these associations.
Global bivariate spatial autocorrelation analysis offers an understanding of the overall spatial correlation among variables, yet falls short in capturing local spatial associations and spatial distribution patterns. To reveal the local spatial associations and temporal changes between KDE and RSEI, we employed the GeoDa spatial analysis tool to generate bivariate LISA cluster maps (Figure 15). These cluster maps helped identify five types of spatial clusters formed by KDE and RSEI. High–High clusters represented areas with high values of both KDE and RSEI. Low–Low clusters indicated regions with low values of both variables. High–Low clusters represented areas with high KDE values and low RSEI values. Low–High clusters denoted regions with low KDE values and high RSEI values. Within the study area, except for in non-significant regions, the most prevalent cluster types were Low–High and High–Low, indicating a predominantly negative spatial correlation between KDE and RSEI.
The southeastern part of the research area contained the majority of the High–Low clusters, constituting approximately 10% of the total clusters observed. Due to its close proximity to the ocean, this area’s economic success, advanced transportation systems, and high population all put substantial strain on the environment. The Low–High clusters, on the other hand, made up another significant distribution pattern in the research area and were mostly concentrated in the mountainous northwest, where they made up around 20% of the whole.
When examining the interannual changes between 2000 and 2020, it was observed that the southeastern part of the basin experienced a decrease in the number of High–Low clusters and an increase in the number of High–High clusters. Conversely, the northwestern part showed a decrease in the number of Low–High clusters and an increase in the number of non-significant clusters. Regarding the shifting study scales, there was a minor rise in the number of non-significant clusters and a slight drop in the number of Low–Low and High–High clusters as the grid size rose from 300 m. There were no discernible changes in the number of Low–High and High–Low clusters. It is important to note that the number of High–High clusters in the southeast of the research region clearly decreased as the study size increased.

4. Discussion

4.1. Calculation of RSEI

In this study, the utilization of PCA did not rely on external software but, instead, employed the GEE platform for direct encoding, significantly enhancing the research efficiency. The weights attributed to PC1 for the years 2000, 2005, and 2010 were relatively modest, yet the outcomes remained unaltered. The PCA employed in this context demonstrated its capacity to accurately depict ecological indicators. Table 2 shows the NDVI and WET loadings in the main component PC1, both of which had positive values, indicating that they had a favorable impact on the ecological aspect. The loadings of LST and NDBSI, on the other hand, had negative values, suggesting a potentially detrimental influence on the environment. These findings are consistent with earlier research in this area [49,50]. However, it should be noted that the loading of NDVI in PC2 was negative, while the loading of LST was positive, which contradicts the actual ecological conditions. Similarly, in PC3, the negative loading of WET, representing humidity, was evidently inconsistent with the real situation. Therefore, only PC1 could be reasonably interpreted for RSEI without affecting the results [51].

4.2. Spatio-Temporal Evolution of Ecological Quality

Shifting the focus of ecological environment management to the county and district levels can effectively address practical issues and enhance governance efficiency [19,52]. This study computed the average RSEI values for 36 districts and counties in the basin from 2000 to 2020.
Overall, the ecological quality in the upper and middle reaches was higher than that in the downstream areas (Figure 5 and Figure 6). Underdeveloped regions such as Nanping and Sanming are located in the upper and middle parts of the basin. These regions have a significant proportion of mountainous terrain, making them important ecological functional zones. Consequently, the ecological quality in these areas is relatively higher. On the other hand, the downstream region, where the river flows into the sea, features relatively flat topography. This area serves as a significant port on the western coast of the strait and includes economically developed cities such as Fuzhou and Changle. Consequently, the ecological quality in this particular region exhibits relatively lower conditions. However, it is important to note that the distribution of ecological quality is not solely influenced by a straightforward linear relationship with location. For instance, in 2020, Yongtai County in the downstream area exhibited an excellent level of ecological quality. This achievement can be attributed to the presence of the Tengshan Nature Reserve in that particular region [33].
From 2000 to 2020, the average RSEI values in the MRB ranged from approximately 0.575 to 0.808, corresponding to a good ecological level (Table 1). These values are comparable to those observed in islands, well-managed farmland, and large river floodplains or watersheds [17,53,54]. The findings of this analysis are consistent with other studies by Wang et al. [33] and Gao et al. [55], which similarly showed an improvement in the MRB’s overall ecological quality. In terms of spatial distribution, the findings of this study align with the conclusions drawn by Li et al. [56] regarding the ecological quality of the MRB. These studies indicated that regions with lower ecological quality are predominantly concentrated in the southeastern coastal regions and along river banks, forming a distinct strip-like pattern (Figure 4). A general trend of “gradual improvement followed by rapid improvement” was seen in the ecological quality of the study region between the years 2000 and 2010 and between the years 2010 and 2020 according to the analysis of Figure 7 and Figure 8. One of the factors contributing to this trend is the basin being located in a subtropical region with favorable natural conditions for vegetation growth. Another contributing factor is the increased emphasis on ecological civilization since 2011, with the government giving it a higher priority. As the first national demonstration site for ecological civilization, Fujian Province has put a number of measures in place to guarantee ongoing ecological growth. These include the implementation of the “Four Greens Project”, aimed at reducing soil erosion, and various initiatives to safeguard ecological construction. These efforts have significantly contributed to the substantial improvement in ecological quality. However, the shift in ecological quality has not been dramatic, mainly concentrated in the excellent to moderate grades, without a large number of significant changes in characteristics.
Simultaneously, the analysis of ecological quality change also revealed that, although there was a wide range of spatial variation in RSEI changes (ranging from significant increase to slight increase, slight decrease, and significant decrease), the magnitudes of these changes were not significantly pronounced. The majority of changes fell under the categories of slight increase and slight decrease (Figure 7). This observation signifies the limited fluctuations in ecological quality within the MRB due to natural processes, emphasizing the system’s ecological resilience. These changes can be attributed to factors such as climate change, complex land use patterns, and human disturbances within the Minjiang River Basin. In the next phase of research, it is advisable to incorporate these factors to further investigate their influence on ecological quality.

4.3. Driving Forces of Ecological Quality

This study aimed to assess the dynamic changes in ecological quality by examining three key factors: elevation, slope, and the road network. The results demonstrated a trend in which, as elevation and slope rose, the fraction of places with good ecological quality and the average RSEI value initially grew and then decreased. These findings are consistent with the research conducted by Zhang et al. [56] and Bai et al. [57], which demonstrated that higher elevations and steeper slopes are conducive to higher RSEI values. The analysis of RSEI change detection revealed significant variations in ecological quality at lower elevations (300~600 m) and lower slopes (10~20°), where both improvements and declines in ecological quality were observed. The magnitude of improvement was generally greater than that of decline. On the other hand, optimal ecological conditions were observed within the elevation range of 1200~1500 m and slope range of 40~50°. Considering the actual situation of the MRB, the terrain gradually descends from the northwest to the southeast (Figure 1). In the southeastern low-lying areas, particularly near the estuary of the MRB, the combination of flat terrain and convenient transportation facilitates has increased human activities, making these regions more vulnerable to changes in ecological conditions. Conversely, areas characterized by higher elevations and steeper slopes are less conducive to human settlement and transportation, leading to generally better ecological environmental quality [58]. However, as the terrain gradually rises, the water and thermal conditions for vegetation growth become more limited, leading to a corresponding decrease in ecological quality. Chen et al.’s research [59], incorporating net primary productivity (NPP), also revealed that regions with rapid NPP growth in the upper reaches of the MRB are primarily located in less environmentally degraded high-altitude mountainous areas and underdeveloped remote regions.
Roads, as linear man-made structures, have a multitude of ecological repercussions within ecosystems. This study aligns with the findings of Chen et al. [60] regarding the ecological effects of road networks in Fuzhou City. By establishing distinct buffers at varying distances for trunk roads, secondary roads, and primary roads, it was discovered that different road hierarchies exhibit a threshold impact on ecological indices, beyond which the influence of roads becomes relatively attenuated. The road network within the MRB has extensive coverage and plays a pivotal role in facilitating transportation and driving economic advancement. Therefore, restoring ecological quality in the vicinity of roads should be given paramount emphasis during ecological development. Furthermore, appropriate planning and management should be employed to enhance the ecological quality of trunk roads and primary roads within the study area, giving them due attention.
Assessing the structural configuration of road networks often relies on road density as a widely used indicator. However, the effect of road density on ecological quality may vary depending on the region. For instance, Xiao et al. [61] found a clear inverse association between precipitation and ecological quality in Inner Mongolia with regard to road density. Conversely, in a separate study conducted by Dong et al. [62], a clear positive relationship was observed between the ecological quality of Ordos City and road density. This study revealed a significant negative correlation between road density and ecological quality. Moreover, roads also exert a significant influence on biodiversity. A study by Laforge et al. [63] looked at the connection between road density, forest fragmentation, and bat community adaptation. Their findings contribute to more comprehensive landscape planning, particularly in the context of road expansion and forest fragmentation, and offer insights into enhancing the adaptability of bat populations. Furthermore, scholars [64] have developed models that incorporate road network density along with other indicators to assess ecological environmental conditions.
In this study, KDE was employed to calculate road density, preceded by incremental spatial autocorrelation to determine the optimal bandwidth for estimating road network density in the MRB. This approach enhanced the scientific rigor of the results. Within the study area, two primary spatial clustering patterns were observed: Low–High clusters and High–Low clusters. These patterns indicated a significant negative spatial correlation between KDE and RSEI, which increased as the study scale expanded. Clusters characterized by High–Low patterns were primarily concentrated in the southeastern part of the research region. This region is characterized by economic prosperity, well-developed road networks, and high population density, exerting significant pressure on ecological quality. Another prominent distribution pattern was Low–High clusters being primarily observed in underdeveloped and mountainous regions in the northwest. Interannual fluctuations were evident in the southeastern portion of the study area during the period spanning from 2000 to 2020. The occurrence of High–Low clusters decreased, while that of High–High clusters increased. This observation indirectly indicated a gradual correlation between the distribution of road networks and ecological quality in the southeastern coastal region. It suggests a mutually beneficial scenario where human livelihood and the preservation of natural ecosystems coexist harmoniously. This finding highlights the importance of considering the interplay between human activities and ecological factors in achieving sustainable development in the region. Conversely, in the northwestern mountainous region, there was a reduction in the number of Low–High clusters and an increase in the number of the non-significant type, indicating that the construction of highway networks in this area may have had some adverse effects on the ecological environment.
While exploring key drivers of ecological quality in the rapidly developing MRB, this study acknowledges the significance of incorporating additional factors for a comprehensive understanding. Future research will encompass the impact of urbanization, as indicated by nighttime light data, along with population density, GDP, slope orientation, and precipitation, to provide a more comprehensive analysis. Further research into the connection between ecological quality and land use modifications is also essential. By thoroughly examining the various impacts of land use changes on the ecological environment, decision-makers can effectively balance economic development and environmental conservation.

5. Conclusions

This study investigated the spatio-temporal changes in ecological quality inside the MRB during the previous two decades using the GEE platform and high-resolution Landsat remote sensing data. The assessment and monitoring of ecological quality were conducted using the RSEI. Furthermore, the study explored the correlation between the MRB’s ecological quality and its topography and road network. The following are the study’s primary conclusions:
(1)
The basin’s overall ecological condition greatly improved between 2000 and 2020. The RSEI increased from 0.575 to 0.808. Most transitions took place within the moderate, good, and excellent categories of RSEI level. Changes in RSEI were predominantly observed in the categories of slight increase and slight decrease;
(2)
The ecological quality of the MRB is significantly influenced by topographical factors. Regions with elevations ranging from 1200 to 1500 m and slope angles between 40 and 50° exhibited better ecological quality. Conversely, areas with elevations below 300 m and slope angles below 10° showed poorer ecological quality;
(3)
The road network within the study area, including trunk roads, secondary roads, primary roads, and tertiary roads, demonstrated consistent changes in response to RSEI. As the buffer distance increased from 0 to 3000 m, the average RSEI value gradually decreased. The bivariate analysis of KDE and RSEI revealed a clear spatial negative correlation between these variables. This negative correlation strengthened as the research scale increased. The study area exhibited two main cluster patterns: Low–High clusters and High–Low clusters. Low–High clusters were predominately located in the research area’s northwest, whereas High–Low clusters were primarily concentrated in its southeast. Analysis of the annual changes from 2000 to 2020 revealed a decline in the number of High–Low clusters and an increase in the number of High–High clusters in the southeastern region. Conversely, the northwestern part showed a decrease in the number of Low–High clusters and an increase in the number of the non-significant cluster type.

Author Contributions

Conceptualization, X.H.; methodology, X.H.; software, J.L. and X.Z.; formal analysis, Z.W. and X.Z.; data curation, J.L. and X.Z.; writing—original draft preparation, X.Z.; writing—review and editing, J.L. and X.H.; visualization, L.Z. and S.L.; supervision, X.H. All authors have read and agreed to the published version of the manuscript.

Funding

We would like to express our gratitude to the National Natural Science Foundation of China (grant no. 31971639) and the Natural Science Foundation of Fujian Province (grant no. 2023J01477) for their support of this research.

Data Availability Statement

The data are contained within the article, and all data sources are mentioned.

Acknowledgments

The authors would like to thank the Faculty of the College of Transportation and Civil Engineering, Fujian Agriculture and Forestry University.

Conflicts of Interest

The authors declare no conflict of interest.

References

  1. Mcdonnell, M.J.; Macgregor-Fors, I. The ecological future of cities. Science 2016, 352, 936–938. [Google Scholar] [CrossRef] [PubMed]
  2. Levin, S.A. The Problem of Pattern and Scale in Ecology: The Robert H. MacArthur Award Lecture. Ecology 1992, 73, 1943–1967. [Google Scholar] [CrossRef]
  3. Yu, H.; Zhao, J. The Impact of Environmental Conditions on Urban Eco-Sustainable Total Factor Productivity: A Case Study of 21 Cities in Guangdong Province, China. Int. J. Environ. Res. Public Health Multidiscip. Digit. Publ. Inst. 2020, 17, 1329. [Google Scholar] [CrossRef]
  4. Zhao, Y.W.; Zhou, L.Q.; Dong, B.Q.; Dai, C. Health assessment for urban rivers based on the pressure, state and response framework—A case study of the Shiwuli River. Ecol. Indic. 2019, 99, 324–331. [Google Scholar] [CrossRef]
  5. Tong, X.; Luo, X.; Liu, S.; Xie, H.; Chao, W.; Liu, S.; Liu, S.; Makhinov, A.N.; Makhinova, A.F.; Jiang, Y. An approach for flood monitoring by the combined use of Landsat 8 optical imagery and COSMO-SkyMed radar imagery. ISPRS J. Photogramm. Remote Sens. 2018, 136, 144–153. [Google Scholar] [CrossRef]
  6. Rouse, J.W.; Haas, R.H.; Deering, D.W.; Schell, J.A.; Harlan, J.C. Monitoring the Vernal Advancement and Retrogradation (Green Wave Effect) of Natural Vegetation. Patent No. E75-10354, 1 November 1974. [Google Scholar]
  7. Weil, Z.; Xinfeng, F. Analysis and Evaluation of principal climatic factors of NDVI in the Yarlung Zangbo River Basin. J. Phys. Conf. Ser. IOP Publ. 2015, 622, 012048. [Google Scholar] [CrossRef]
  8. Wang, X.D.; Zhong, X.H.; Liu, S.Z.; Liu, J.G.; Wang, Z.Y.; Li, M.H. Regional assessment of environmental vulnerability in the Tibetan Plateau: Development and application of a new method. J. Arid. Environ. 2008, 72, 1929–1939. [Google Scholar] [CrossRef]
  9. Zuo, B.J.; Sun, Y.J. Forest vegetation dynamics and responses to climate change in a southern subtropical monsoon region in Jangle County. J. Geo-Inf. Sci. 2019, 21, 958–996. [Google Scholar] [CrossRef]
  10. Zheng, G.; Moskal, L.M. Retrieving Leaf Area Index (LAI) Using Remote Sensing: Theories, Methods and Sensors. Sens. Mol. Divers. Preserv. Int. 2009, 9, 2719–2745. [Google Scholar] [CrossRef]
  11. Weiss, M.; Baret, F.; Smith, G.J.; Jonckheere, I.; Coppin, P. Review of methods for in situ leaf area index (LAI) determination: Part II. Estimation of LAI, errors and sampling. Agric. For. Meteorol. 2004, 121, 37–53. [Google Scholar] [CrossRef]
  12. Seiler, R.A.; Hayes, M.; Bressan, L. Using the standardized precipitation index for flood risk monitoring. Int. J. Climatol. 2002, 22, 1365–1376. [Google Scholar] [CrossRef]
  13. Banimahd, S.A.; Khalili, D. Factors Influencing Markov Chains Predictability Characteristics, Utilizing SPI, RDI, EDI and SPEI Drought Indices in Different Climatic Zones. Water Resour. Manag. 2013, 27, 3911–3928. [Google Scholar] [CrossRef]
  14. Moghimi, M.M.; Zarei, A.R.; Mahmoudi, M.R. Seasonal drought forecasting in arid regions, using different time series models and RDI index. J. Water Clim. Chang. 2020, 11, 633–654. [Google Scholar] [CrossRef]
  15. Li, J.; Song, C.; Cao, L.; Zhu, F.; Meng, X.; Wu, J. Impacts of landscape structure on surface urban heat islands: A case study of Shanghai, China. Remote Sens. Environ. 2011, 115, 3249–3263. [Google Scholar] [CrossRef]
  16. Wang, W.; Liu, K.; Tang, R.; Wang, S. Remote sensing image-based analysis of the urban heat island effect in Shenzhen, China. Phys. Chem. Earth Parts A/B/C 2019, 110, 168–175. [Google Scholar] [CrossRef]
  17. Wen, X.; Ming, Y.; Gao, Y.; Hu, X. Dynamic Monitoring and Analysis of Ecological Quality of Pingtan Comprehensive Experimental Zone, a New Type of Sea Island City, Based on RSEI. Sustainability 2019, 12, 21. [Google Scholar] [CrossRef]
  18. Xu, H.Q. A remote sensing urban ecological index and its application. Acta Ecol. Sin. 2013, 33, 7853–7862. [Google Scholar] [CrossRef]
  19. An, M.; Xie, P.; He, W.; Wang, B.; Huang, J.; Khanal, R. Spatiotemporal change of ecologic environment quality and human interaction factors in three gorges ecologic economic corridor, based on RSEI. Ecol. Indic. 2022, 141, 109090. [Google Scholar] [CrossRef]
  20. Yuan, B.; Fu, L.; Zou, Y.; Zhang, S.; Chen, X.; Li, F.; Deng, Z.; Xie, Y. Spatiotemporal change detection of ecological quality and the associated affecting factors in Dongting Lake Basin, based on RSEI. J. Clean. Prod. 2021, 302, 126995. [Google Scholar] [CrossRef]
  21. Hu, X.; Xu, H. A new remote sensing index for assessing the spatial heterogeneity in urban ecological quality: A case from Fuzhou City, China. Ecol. Indic. 2018, 89, 11–21. [Google Scholar] [CrossRef]
  22. Yang, Z.K.; Tian, J.; Li, W.Y.; Su, W.R.; Guo, R.Y.; Liu, W.J. Spatio-temporal pattern and evolution trend of ecological environment quality in the Yellow River Basin. Acta Ecol. Sin. 2021, 41, 7627–7636. [Google Scholar] [CrossRef]
  23. Zhang, K.; Feng, R.; Zhang, Z.; Deng, C.; Zhang, H.; Liu, K. Exploring the Driving Factors of Remote Sensing Ecological Index Changes from the Perspective of Geospatial Differentiation: A Case Study of the Weihe River Basin, China. Int. J. Environ. Res. Public Health 2022, 19, 10930. [Google Scholar] [CrossRef]
  24. Boori, M.S.; Choudhary, K.; Paringer, R.; Kupriyanov, A. Spatiotemporal ecological vulnerability analysis with statistical correlation based on satellite remote sensing in Samara, Russia. J. Environ. Manag. 2021, 285, 112138. [Google Scholar] [CrossRef]
  25. Liu, P.; Ren, C.Y.; Wang, Z.M.; Zhang, B.; Chen, L. Assessment of the eco-environmental quality in the Nanweng River Nature Reserve, Northeast China by remote sensing. Ying Yong Sheng Tai Xue Bao=J. Appl. Ecol. 2018, 29, 3347–3356. [Google Scholar] [CrossRef]
  26. Lin, Y.; Hu, X.; Zheng, X.; Hou, X.; Zhang, Z.; Zhou, X.; Qiu, R.; Lin, J. Spatial variations in the relationships between road network and landscape ecological risks in the highest forest coverage region of China. Ecol. Indic. 2019, 96, 392–403. [Google Scholar] [CrossRef]
  27. Zhang, J.-T.; Li, M.; Nie, E. Pattern of functional diversity along an altitudinal gradient in the Baihua Mountain Reserve of Beijing, China. Braz. J. Bot. 2014, 37, 37–45. [Google Scholar] [CrossRef]
  28. Pabst, H.; Kühnel, A.; Kuzyakov, Y. Effect of land-use and elevation on microbial biomass and water extractable carbon in soils of Mt. Kilimanjaro ecosystems. Appl. Soil Ecol. 2013, 67, 10–19. [Google Scholar] [CrossRef]
  29. Wei, J.Y.; Xu, J.Y.; Fan, F.F. Changes of Vegetation Coverage and Their Response to Topographical Factors in Wolong Nature Reserve. Resour. Environ. Yangtze Basin 2019, 28, 440–449. [Google Scholar]
  30. Emran, A.; Roy, S.; Bagmar Md, S.H.; Mitra, C. Assessing topographic controls on vegetation characteristics in Chittagong Hill Tracts (CHT) from remotely sensed data. Remote Sens. Appl. Soc. Environ. 2018, 11, 198–208. [Google Scholar] [CrossRef]
  31. Wang, X.; Xie, X.; Wang, Z.; Lin, H.; Liu, Y.; Xie, H.; Liu, X. Construction and Optimization of an Ecological Security Pattern Based on the MCR Model: A Case Study of the Minjiang River Basin in Eastern China. Int. J. Environ. Res. Public Health 2022, 19, 8370. [Google Scholar] [CrossRef]
  32. Ying, L.X.; Wang, J.; Zhou, Y. Ecological-environmental problems and solutions in the Minjiang River basin, Fujian Province, China. Acta Ecol. Sin. 2019, 39, 8857–8866. [Google Scholar] [CrossRef]
  33. Wang, J.; Yan, Y.L.; Wang, J.M.; Ying, L.X.; Tang, Q. Temporal-spatial variation characteristics and prediction of habitat quality in Min River Basin. Acta Ecol. Sin. 2021, 41, 5837–5848. [Google Scholar] [CrossRef]
  34. Gorelick, N.; Hancher, M.; Dixon, M.; Ilyushchenko, S.; Thau, D.; Moore, R. Google Earth Engine: Planetary-scale geospatial analysis for everyone. Remote Sens. Environ. 2017, 202, 18–27. [Google Scholar] [CrossRef]
  35. Cai, H.; He, Z.W.; An, Y.L.; Deng, H. Correlation Intensity of Vegetation Coverage and Topographic Factors in Chishui Watershed Based on RS and, GIS. Earth Environ. 2014, 42, 518–524. [Google Scholar] [CrossRef]
  36. Bi, K.Y.; Niu, Z.; Huang, N.; Kou, P. Effects of road network on landscape ecological risk: A case study of “China and Indochina Peninsula economic corridor”. J. Univ. Chin. Acad. Sci. 2019, 36, 347353. [Google Scholar] [CrossRef]
  37. Liu, S.L.; Wen, M.X.; Cun, B.S.; Dong, S.K. Effects of road networks on regional ecosystems in Southwest mountain area: A case study in Jinhong of Longitudinal Range-Gorge Region. Acta Ecol. Sin. 2006, 9, 3018–3024. [Google Scholar] [CrossRef]
  38. Hu, X.; Xu, H. A new remote sensing index based on the pressure-state-response framework to assess regional ecological change. Environ. Sci. Pollut. Res. 2019, 26, 5381–5393. [Google Scholar] [CrossRef] [PubMed]
  39. Xiong, Y.; Xu, W.; Huang, S.; Wu, C.; Dai, F.; Wang, L.; Lu, N.; Kou, W. Ecological environment quality assessment of Xishuangbanna rubber plantations expansion (1995–2018) based on multi-temporal Landsat imagery and RSEI. Geocarto Int. Taylor Fr. 2022, 37, 3441–3468. [Google Scholar] [CrossRef]
  40. Yue, H.; Liu, Y.; Li, Y.; Lu, Y. Eco-Environmental Quality Assessment in China’s 35 Major Cities Based on Remote Sensing Ecological Index. IEEE Access 2019, 7, 51295–51311. [Google Scholar] [CrossRef]
  41. Crist, E.P. A TM Tasseled Cap equivalent transformation for reflectance factor data. Remote Sens. Environ. 1985, 17, 301–306. [Google Scholar] [CrossRef]
  42. Baig, M.H.A.; Zhang, L.; Shuai, T.; Tong, Q. Derivation of a tasselled cap transformation based on Landsat 8 at-satellite reflectance. Remote Sens. Lett. Taylor Fr. 2014, 5, 423–431. [Google Scholar] [CrossRef]
  43. Xu, H.Q. A New Index-based Built-up Index (IBI) and Its Eco -environmental Significance. Remote Sens. Technol. Appl. 2007, 3, 301–308. [Google Scholar] [CrossRef]
  44. Chander, G.; Markham, B.L.; Helder, D.L. Summary of current radiometric calibration coefficients for Landsat MSS, TM, ETM+, and EO-1 ALI sensors. Remote Sens. Environ. 2009, 113, 893–903. [Google Scholar] [CrossRef]
  45. Sobrino, J.A.; Jiménez-Muñoz, J.C.; Paolini, L. Land surface temperature retrieval from LANDSAT TM 5. Remote Sens. Environ. 2004, 90, 434–440. [Google Scholar] [CrossRef]
  46. Yang, Y.X.; Wang, X.; Meng, D.; Sun, T.; Zhang, Z.F.; Shi, Y.R. Test Method of Cultivated Land Grading Index Based on Spatial Autocorrelation. Trans. Chin. Soc. Agric. Mach. 2016, 47, 328–335. [Google Scholar] [CrossRef]
  47. Liu, S.D.; Xu, L.P.; Zhang, J. Spatiotemporal change of land ecological security in Xinjiang. Acta Ecol. Sin. 2019, 39, 3871–3884. [Google Scholar] [CrossRef]
  48. Chang, Y.Y.; Gao, Y.; Xie, Z.; Zhang, T.Z.; Yu, X.Z. Spatiotemporal evolution and spatial correlation of habitat quality and landscape pattern over Beijing-Tianjin-Hebei region. China Environ. Sci. 2021, 41, 848–859. [Google Scholar] [CrossRef]
  49. Sun, C.; Li, X.; Zhang, W.; Li, X. Evolution of Ecological Security in the Tableland Region of the Chinese Loess Plateau Using a Remote-Sensing-Based Index. Sustainability 2020, 12, 3489. [Google Scholar] [CrossRef]
  50. Shan, W.; Jin, X.; Ren, J.; Wang, Y.; Xu, Z.; Fan, Y.; Gu, Z.; Hong, C.; Lin, J.; Zhou, Y. Ecological environment quality assessment based on remote sensing data for land consolidation. J. Clean. Prod. 2019, 239, 118126. [Google Scholar] [CrossRef]
  51. Geng, J.; Yu, K.; Xie, Z.; Zhao, G.; Ai, J.; Yang, L.; Yang, H.; Liu, J. Analysis of Spatiotemporal Variation and Drivers of Ecological Quality in Fuzhou Based on RSEI. Remote Sens. 2022, 14, 4900. [Google Scholar] [CrossRef]
  52. Liu, H.; Chen, Y.D.; Liu, T.; Lin, L. The River Chief System and River Pollution Control in China: A Case Study of Foshan. Water Multidiscip. Digit. Publ. Inst. 2019, 11, 1606. [Google Scholar] [CrossRef]
  53. Xu, H.; Wang, M.; Shi, T.; Guan, H.; Fang, C.; Lin, Z. Prediction of ecological effects of potential population and impervious surface increases using a remote sensing based ecological index (RSEI). Ecol. Indic. 2018, 93, 730–740. [Google Scholar] [CrossRef]
  54. Gao, Q.Q.; Chen, C.; Liu, H.N.; Luo, Q.; Li, X.; Lin, Y.M.; Wu, C.Z. Spatiotemporal Variations and Topographic Differentiation of Fractional Vegetation Cover in Minjiang River. For. Resour. Manag. 2022, 2, 91–99. [Google Scholar] [CrossRef]
  55. Li, Y.; Li, Z.; Wang, J.; Zeng, H. Analyses of driving factors on the spatial variations in regional eco-environmental quality using two types of species distribution models: A case study of Minjiang River Basin, China. Ecol. Indic. 2022, 139, 108980. [Google Scholar] [CrossRef]
  56. Zhang, Y.; She, J.; Long, X.; Zhang, M. Spatio-temporal evolution and driving factors of eco-environmental quality based on RSEI in Chang-Zhu-Tan metropolitan circle, central China. Ecol. Indic. 2022, 144, 109436. [Google Scholar] [CrossRef]
  57. Bai, Y.; Jiang, B.; Alatalo, J.M.; Zhuang, C.; Wang, X.; Cui, L.; Xu, W. Impacts of land management on ecosystem service delivery in the Baiyangdian river basin. Environ. Earth Sci. 2016, 75, 258. [Google Scholar] [CrossRef]
  58. Gao, Y.G.; Li, Y.H.; Xu, H.Q. Assessing Ecological Quality Based on Remote Sensing Images in Wugong Mountain. Earth Space Sci. 2022, 9, e2021EA001918. [Google Scholar] [CrossRef]
  59. Chen, K.; Yang, S.T.; Hou, P.; Wu, L.N.; Guan, Y.B.; Liu, X.L. Long Series Analysis on NPP Variation in the Upper Minjiang River Basin and the Upper Ganjiang River Basin. Res. Soil Water Conserv. 2016, 23, 155–159+164+365. [Google Scholar]
  60. Chen, X.H.; Zeng, X.Y.; Zhao, C.C.; Qiu, R.Z.; Zhang, L.Y.; Hou, X.Y.; Hu, X.S. The ecological effect of road network based on remote sensing ecological index: A case study of Fuzhou City, Fujian Province. Acta Ecol. Sin. 2021, 41, 4732–4745. [Google Scholar] [CrossRef]
  61. Yang, X.; Ouyang, Z.; Wang, L.; Rao, E.; Jiang, L.; Zhang, L. Spatial patterns of ecosystem quality in Inner Mongolia and its driving forces analysis. Acta Ecol. Sin. 2016, 36, 6019–6030. [Google Scholar] [CrossRef]
  62. Dong, T.; Xiao, Y.; Zhang, L.; Xiao, Y.; Zhang, H.; OuYang, Z.Y. Analysis of driving factors that influence the pattern and quality of the ecosystem in Ordos. Acta Ecol. Sin. 2019, 39, 660–671. [Google Scholar] [CrossRef]
  63. Laforge, A.; Barbaro, L.; Bas, Y.; Calatayud, F.; Ladet, S.; Sirami, C.; Archaux, F. Road density and forest fragmentation shape bat communities in temperate mosaic landscapes. Landsc. Urban Plan. 2022, 221, 104353. [Google Scholar] [CrossRef]
  64. Tian, Y.; Wen, Z.; Zhang, X.; Cheng, M.; Xu, M. Exploring a multisource-data framework for assessing ecological environment conditions in the Yellow River Basin, China. Sci. Total Environ. 2022, 848, 157730. [Google Scholar] [CrossRef] [PubMed]
Figure 1. The location of the study area. Note: The china map was drawn according to the standard map with the drawing No. GS(2020)4623, which was download from the standard map service website of Ministry of Natural Resources of the People’s Republic of China (http://bzdt.ch.mnr.gov.cn/) (accessed on 6 April 2022). No modifications were made on the base map, the same below.
Figure 1. The location of the study area. Note: The china map was drawn according to the standard map with the drawing No. GS(2020)4623, which was download from the standard map service website of Ministry of Natural Resources of the People’s Republic of China (http://bzdt.ch.mnr.gov.cn/) (accessed on 6 April 2022). No modifications were made on the base map, the same below.
Land 12 01754 g001
Figure 2. Distribution of two terrain factors in the study area.
Figure 2. Distribution of two terrain factors in the study area.
Land 12 01754 g002
Figure 3. Spatial distribution of the road network in the study area.
Figure 3. Spatial distribution of the road network in the study area.
Land 12 01754 g003
Figure 4. Spatial distribution of RSEI from 2000 to 2020.
Figure 4. Spatial distribution of RSEI from 2000 to 2020.
Land 12 01754 g004
Figure 5. The area proportion changes in each RSEI level from 2000 to 2020.
Figure 5. The area proportion changes in each RSEI level from 2000 to 2020.
Land 12 01754 g005
Figure 6. Spatial distribution of RSEI in administrative regions from 2000 to 2020.
Figure 6. Spatial distribution of RSEI in administrative regions from 2000 to 2020.
Land 12 01754 g006
Figure 7. Interannual variation of the mean RSEI from 2000 to 2020.
Figure 7. Interannual variation of the mean RSEI from 2000 to 2020.
Land 12 01754 g007
Figure 8. The change in ecological quality depicted in two diagrams: (a) a distribution diagram showing the proportion of different types of change, with each pane displaying the corresponding information in the top right corner; (b) a Sankey diagram.
Figure 8. The change in ecological quality depicted in two diagrams: (a) a distribution diagram showing the proportion of different types of change, with each pane displaying the corresponding information in the top right corner; (b) a Sankey diagram.
Land 12 01754 g008
Figure 9. Change diagrams of RSEI with elevation from 2000 to 2020.
Figure 9. Change diagrams of RSEI with elevation from 2000 to 2020.
Land 12 01754 g009
Figure 10. Change detection diagrams of RSEI with elevation from 2000 to 2020.
Figure 10. Change detection diagrams of RSEI with elevation from 2000 to 2020.
Land 12 01754 g010
Figure 11. Change diagrams of RSEI with slope from 2000 to 2020.
Figure 11. Change diagrams of RSEI with slope from 2000 to 2020.
Land 12 01754 g011
Figure 12. Change detection diagrams of RSEI with slope from 2000 to 2020.
Figure 12. Change detection diagrams of RSEI with slope from 2000 to 2020.
Land 12 01754 g012
Figure 13. Changes in ecological quality in different road buffers from 2000 to 2020.
Figure 13. Changes in ecological quality in different road buffers from 2000 to 2020.
Land 12 01754 g013
Figure 14. Change detection diagrams of RSEI in road networks from 2000 to 2020.
Figure 14. Change detection diagrams of RSEI in road networks from 2000 to 2020.
Land 12 01754 g014
Figure 15. (a) LISA maps between KDE and RSEI at different scales. (b) The proportions of clustering types at different scales.
Figure 15. (a) LISA maps between KDE and RSEI at different scales. (b) The proportions of clustering types at different scales.
Land 12 01754 g015
Table 2. Principal component analysis of RSEI (loading and contribution to PC1).
Table 2. Principal component analysis of RSEI (loading and contribution to PC1).
YearRSEI MeanNDVIWETNDBSILSTContribution (%)
20000.5750.3830.471−0.787−0.10665.7%
20010.6170.4630.584−0.603−0.28366.9%
20020.6440.4610.518−0.590−0.41465.7%
20030.6450.4670.527−0.591−0.39367.8%
20040.6440.4750.518−0.581−0.41168.6%
20050.6380.4740.504−0.580−0.43067.7%
20060.6390.4650.524−0.592−0.39868.0%
20070.6390.4700.521−0.588−0.40467.5%
20080.6260.4210.572−0.587−0.38965.0%
20090.6390.4570.526−0.605−0.38465.4%
20100.6480.4590.531−0.601−0.38267.6%
20110.6380.4860.518−0.589−0.38668.9%
20120.6400.4620.540−0.567−0.41671.5%
20130.7090.5120.526−0.596−0.32675.6%
20140.7470.4940.536−0.581−0.36279.0%
20150.7360.4900.546−0.581−0.35278.5%
20160.7340.4960.543−0.581−0.34878.0%
20170.7490.4830.532−0.618−0.31879.5%
20180.7540.4280.529−0.624−0.31481.1%
20190.7480.5030.539−0.590−0.32881.1%
20200.8080.4980.506−0.616−0.34081.8%
Table 3. Bivariate global Moran’s index of KDE and RSEI at different scales.
Table 3. Bivariate global Moran’s index of KDE and RSEI at different scales.
Moran’s I
RSEI in 2000RSEI in 2005RSEI in 2010RSEI in 2015RSEI in 2020
300 × 300 mKDE−0.280−0.381−0.344−0.421−0.395
600 × 600 m−0.307−0.407−0.372−0.450−0.419
900 × 900 m−0.337−0.435−0.403−0.480−0.450
1200 × 1200 m−0.352−0.447−0.417−0.491−0.460
1500 × 1500 m−0.363−0.457−0.427−0.498−0.466
Disclaimer/Publisher’s Note: The statements, opinions and data contained in all publications are solely those of the individual author(s) and contributor(s) and not of MDPI and/or the editor(s). MDPI and/or the editor(s) disclaim responsibility for any injury to people or property resulting from any ideas, methods, instructions or products referred to in the content.

Share and Cite

MDPI and ACS Style

Zuo, X.; Li, J.; Zhang, L.; Wu, Z.; Lin, S.; Hu, X. Spatio-Temporal Variations in Ecological Quality and Its Response to Topography and Road Network Based on GEE: Taking the Minjiang River Basin as a Case. Land 2023, 12, 1754. https://doi.org/10.3390/land12091754

AMA Style

Zuo X, Li J, Zhang L, Wu Z, Lin S, Hu X. Spatio-Temporal Variations in Ecological Quality and Its Response to Topography and Road Network Based on GEE: Taking the Minjiang River Basin as a Case. Land. 2023; 12(9):1754. https://doi.org/10.3390/land12091754

Chicago/Turabian Style

Zuo, Xueman, Jiazheng Li, Ludan Zhang, Zhilong Wu, Sen Lin, and Xisheng Hu. 2023. "Spatio-Temporal Variations in Ecological Quality and Its Response to Topography and Road Network Based on GEE: Taking the Minjiang River Basin as a Case" Land 12, no. 9: 1754. https://doi.org/10.3390/land12091754

APA Style

Zuo, X., Li, J., Zhang, L., Wu, Z., Lin, S., & Hu, X. (2023). Spatio-Temporal Variations in Ecological Quality and Its Response to Topography and Road Network Based on GEE: Taking the Minjiang River Basin as a Case. Land, 12(9), 1754. https://doi.org/10.3390/land12091754

Note that from the first issue of 2016, this journal uses article numbers instead of page numbers. See further details here.

Article Metrics

Back to TopTop