Optimizing Spatial Distribution of Retail Shops against Neighborhood Tree Canopy Shade Using Big Data Extracted from Streetscape
Abstract
1. Introduction
2. Materials and Methods
2.1. Study Area and Sampling Plots
2.2. Data Processing for Road Network across Administrative Districts
2.3. POI Crawling for Retail Shops
2.4. GVI Estimate for Urban Forest Canopy
2.5. Data Analysis and Statistics
3. Results
3.1. Correlation between GVI and Retail POI
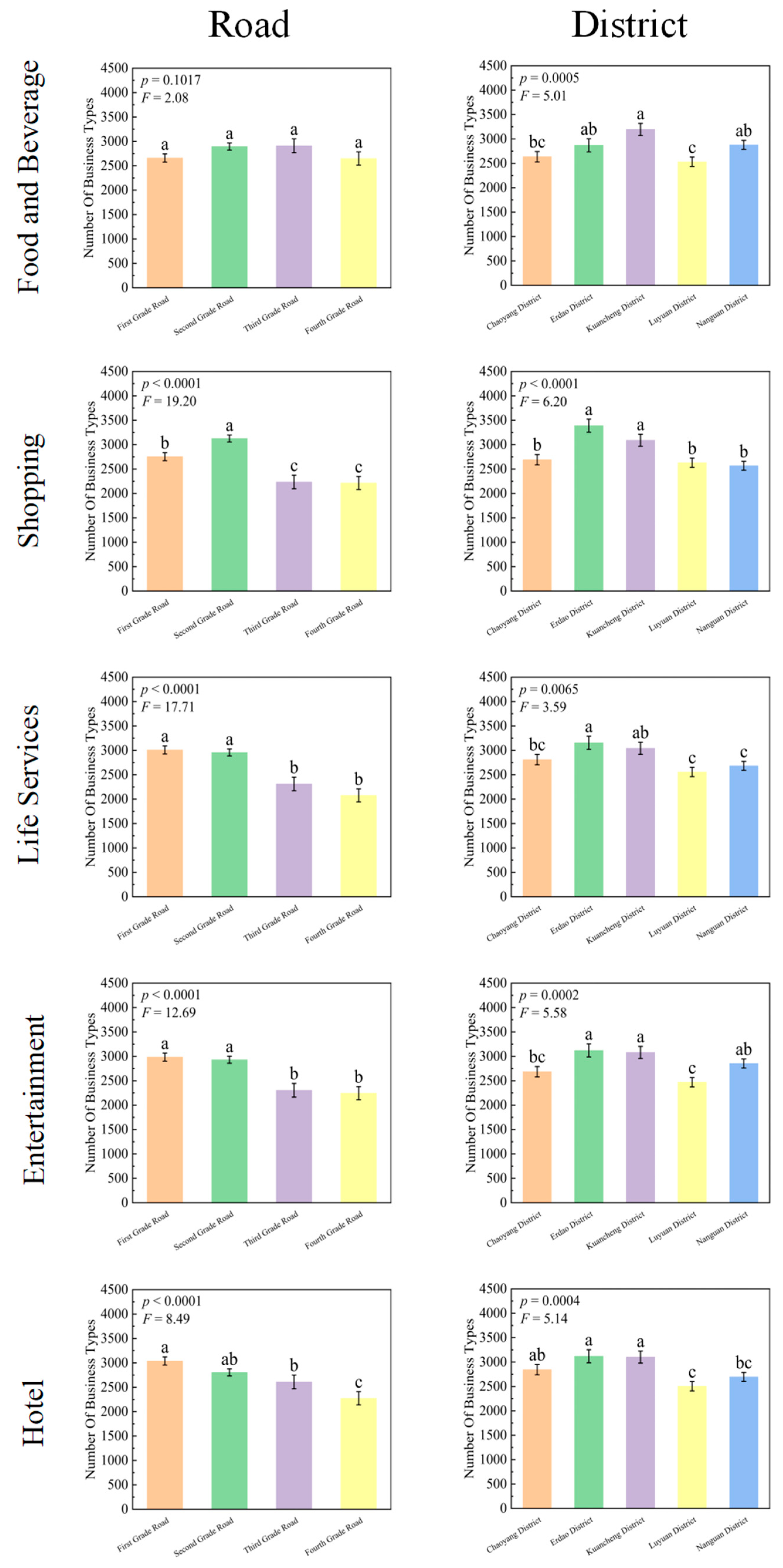
3.2. Road Length and Administrative Variation in Retail POI
3.3. Spatial Optimization Scheme for Number of Retail Shops against GVI
4. Discussion
4.1. Relationship between Retail POI and GVI
4.2. Variations in Retail POI between Different Levels of Roads across Districts
4.3. Optimization of Regional Retail Placement against GVI
4.4. Limitations and Perspectives
5. Conclusions
Author Contributions
Funding
Data Availability Statement
Acknowledgments
Conflicts of Interest
References
- Yang, L.; Li, X.Y.; Zhong, N. Omnichannel retail operations with mixed fulfillment strategies. Int. J. Prod. Econ. 2022, 254, 17. [Google Scholar] [CrossRef]
- Grewal, D.; Roggeveen, A.L.; Nordfält, J. The Future of Retailing. J. Retail. 2017, 93, 1–6. [Google Scholar] [CrossRef]
- Sazvar, Z.; Sepehri, M. An integrated replenishment-recruitment policy in a sustainable retailing system for deteriorating products. Socio-Econ. Plan. Sci. 2020, 69, 15. [Google Scholar] [CrossRef]
- Kang, C.D. Spatial access to pedestrians and retail sales in Seoul, Korea. Habitat Int. 2016, 57, 110–120. [Google Scholar] [CrossRef]
- Lian, H.T.; Li, G.M. Correlation Analysis of Retail Space and Shopping Behavior in a Commercial Street Based on Space Syntax: A Case of Shijiazhuang, China. Buildings 2023, 13, 32. [Google Scholar] [CrossRef]
- Formánek, T.; Sokol, O. Location effects: Geo-spatial and socio-demographic determinants of sales dynamics in brick-and-mortar retail stores. J. Retail. Consum. Serv. 2022, 66, 16. [Google Scholar] [CrossRef]
- Wei, H.; Hauer, R.J.; Sun, Y.; Meng, L.; Guo, P. Emotional perceptions of people exposed to green and blue spaces in forest parks of cities at rapid urbanization regions of East China. Urban For. Urban Green. 2022, 78, 127772. [Google Scholar] [CrossRef]
- Wang, H.; Feng, Y.L.; Ai, L.J. Progress of carbon sequestration in urban green space based on bibliometric analysis. Front. Environ. Sci. 2023, 11, 11. [Google Scholar] [CrossRef]
- Liu, O.Y.; Russo, A. Assessing the contribution of urban green spaces in green infrastructure strategy planning for urban ecosystem conditions and services. Sust. Cities Soc. 2021, 68, 19. [Google Scholar] [CrossRef]
- Shiraishi, K. The inequity of distribution of urban forest and ecosystem services in Cali, Colombia. Urban For. Urban Green. 2022, 67, 9. [Google Scholar] [CrossRef]
- He, Q.; Wang, Y.; Qiu, Q.; Su, Y.; Wang, Y.; Wei, H.X.; Li, J.Y. Joint effects of air PM2.5 and socioeconomic dimensions on posted emotions of urban green space visitors in cities experiencing population urbanization: A pilot study on 50 cities of East China. Sci. Total Environ. 2023, 861, 14. [Google Scholar] [CrossRef]
- Joye, Y.; Willems, K.; Brengman, M.; Wolf, K. The effects of urban retail greenery on consumer experience: Reviewing the evidence from a restorative perspective. Urban For. Urban Green. 2010, 9, 57–64. [Google Scholar] [CrossRef]
- Hamylton, S.M.; Morris, R.H.; Carvalho, R.C.; Roder, N.; Barlow, P.; Mills, K.; Wang, L. Evaluating techniques for mapping island vegetation from unmanned aerial vehicle (UAV) images: Pixel classification, visual interpretation and machine learning approaches. Int. J. Appl. Earth Obs. Geoinf. 2020, 89, 14. [Google Scholar] [CrossRef]
- Lefcheck, J.S.; Byrnes, J.E.K.; Isbell, F.; Gamfeldt, L.; Griffin, J.N.; Eisenhauer, N.; Hensel, M.J.S.; Hector, A.; Cardinale, B.J.; Duffy, J.E. Biodiversity enhances ecosystem multifunctionality across trophic levels and habitats. Nat. Commun. 2015, 6, 7. [Google Scholar] [CrossRef]
- Mohajerani, A.; Bakaric, J.; Jeffrey-Bailey, T. The urban heat island effect, its causes, and mitigation, with reference to the thermal properties of asphalt concrete. J. Environ. Manag. 2017, 197, 522–538. [Google Scholar] [CrossRef]
- Zhang, Q.; Zheng, Y.X.; Tong, D.; Shao, M.; Wang, S.X.; Zhang, Y.H.; Xu, X.D.; Wang, J.N.; He, H.; Liu, W.Q.; et al. Drivers of improved PM2.5 air quality in China from 2013 to 2017. Proc. Natl. Acad. Sci. USA 2019, 116, 24463–24469. [Google Scholar] [CrossRef]
- Pyles, M.V.; Magnago, L.F.S.; Borges, E.R.; van den Berg, E.; Carvalho, F.A. Land use history drives differences in functional composition and losses in functional diversity and stability of Neotropical urban forests. Urban For. Urban Green. 2020, 49, 8. [Google Scholar] [CrossRef]
- Georgi, L.; Kunz, M.; Fichtner, A.; Bienert, A.; Maas, H.G.; von Oheimb, G. Effects of tree diversity on canopy space occupation vary with tree size and canopy space definition in a mature broad-leaved forest. Agric. For. Meteorol. 2022, 323, 14. [Google Scholar] [CrossRef]
- Xu, S.S.; Xu, K.; Zou, G.W.; Yan, J.; Peng, Z.; Zhang, W.W.; Zhang, Y.F.; Han, Y.J.; Wang, J.F.; Chang, J.F. Density management strategy for overstory and understory of urban woodland based on ecological size-density allometry. Urban For. Urban Green. 2021, 66, 8. [Google Scholar] [CrossRef]
- Xu, R.; Dai, J.; Luo, W.; Yin, X.; Li, Y.; Tai, X.; Han, L.; Chen, Y.; Lin, L.; Li, G.; et al. A photothermal model of leaf area index for greenhouse crops. Agric. For. Meteorol. 2010, 150, 541–552. [Google Scholar] [CrossRef]
- Kneeshaw, D.D.; Prevost, M. Natural canopy gap disturbances and their role in maintaining mixed-species forests of central Quebec, Canada. Can. J. For. Res. 2007, 37, 1534–1544. [Google Scholar] [CrossRef]
- Anderson, E.C.; Locke, D.H.; Pickett, S.T.A.; LaDeau, S.L. Just street trees? Street trees increase local biodiversity and biomass in higher income, denser neighborhoods. Ecosphere 2023, 14, 15. [Google Scholar] [CrossRef]
- Zheng, J.; Dong, S.C.; Hu, Y.J.; Li, Y. Comparative analysis of the CO2 emissions of expressway and arterial road traffic: A case in Beijing. PLoS ONE 2020, 15, 15. [Google Scholar] [CrossRef]
- Gadish, I.; Saaroni, H.; Pearlmutter, D. A predictive analysis of thermal stress in a densifying urban business district under summer daytime conditions in a Mediterranean City. Urban Clim. 2023, 48, 16. [Google Scholar] [CrossRef]
- Chiang, Y.C.; Liu, H.H.; Li, D.Y.; Ho, L.C. Quantification through deep learning of sky view factor and greenery on urban streets during hot and cool seasons. Landsc. Urban Plan. 2023, 232, 11. [Google Scholar] [CrossRef]
- Zhang, F.; Zhou, B.L.; Liu, L.; Liu, Y.; Fung, H.H.; Lin, H.; Ratti, C. Measuring human perceptions of a large-scale urban region using machine learning. Landsc. Urban Plan. 2018, 180, 148–160. [Google Scholar] [CrossRef]
- Li, X.J.; Zhang, C.R.; Li, W.D.; Ricard, R.; Meng, Q.Y.; Zhang, W.X. Assessing street-level urban greenery using Google Street View and a modified green view index. Urban For. Urban Green. 2015, 14, 675–685. [Google Scholar] [CrossRef]
- Zhu, H.Z.; Nan, X.E.; Yang, F.; Bao, Z.Y. Utilizing the green view index to improve the urban street greenery index system: A statistical study using road patterns and vegetation structures as entry points. Landsc. Urban Plan. 2023, 237, 16. [Google Scholar] [CrossRef]
- Wu, J.Y.; Wang, B.H.; Ta, N.; Zhou, K.; Chai, Y.W. Does street greenery always promote active travel? Evidence from Beijing. Urban For. Urban Green. 2020, 56, 14. [Google Scholar] [CrossRef]
- Zhang, L.Q.; Tan, P.Y.; Richards, D. Relative importance of quantitative and qualitative aspects of urban green spaces in promoting health. Landsc. Urban Plan. 2021, 213, 13. [Google Scholar] [CrossRef]
- Yang, J.C.; Rong, H.; Kang, Y.H.; Zhang, F.; Chegut, A. The financial impact of street-level greenery on New York commercial buildings. Landsc. Urban Plan. 2021, 214, 12. [Google Scholar] [CrossRef]
- Huang, D.K.; Tian, M.; Yuan, L. Sustainable design of running friendly streets: Environmental exposures predict runnability by Volunteered Geographic Information and multilevel model approaches. Sustain. Cities Soc. 2023, 89, 9. [Google Scholar] [CrossRef]
- Ki, D.; Lee, S. Analyzing the effects of Green View Index of neighborhood streets on walking time using Google Street View and deep learning. Landsc. Urban Plan. 2021, 205, 11. [Google Scholar] [CrossRef]
- Yu, H.Y.; Zhou, Y.; Wang, R.Y.; Qian, Z.M.; Knibbs, L.D.; Jalaludin, B.; Schootman, M.; McMillin, S.E.; Howard, S.W.; Lin, L.Z.; et al. Associations between trees and grass presence with childhood asthma prevalence using deep learning image segmentation and a novel green view index. Environ. Pollut. 2021, 286, 8. [Google Scholar] [CrossRef]
- Sun, P.J.; Song, Y.; Lu, W. Effect of Urban Green Space in the Hilly Environment on Physical Activity and Health Outcomes: Mediation Analysis on Multiple Greenery Measures. Land 2022, 11, 19. [Google Scholar] [CrossRef]
- Wu, H.T.; Gai, Z.Q.; Guo, Y.X.; Li, Y.W.; Hao, Y.; Lu, Z.N. Does environmental pollution inhibit urbanization in China? A new perspective through residents’ medical and health costs. Environ. Res. 2020, 182, 9. [Google Scholar] [CrossRef]
- Liu, K.; Yin, L.; Lu, F.; Mou, N.X. Visualizing and exploring POI configurations of urban regions on POI-type semantic space. Cities 2020, 99, 10. [Google Scholar] [CrossRef]
- Wu, H.; Lin, A.Q.; Xing, X.D.; Song, D.X.; Li, Y. Identifying core driving factors of urban land use change from global land cover products and POI data using the random forest method. Int. J. Appl. Earth Obs. Geoinf. 2021, 103, 13. [Google Scholar] [CrossRef]
- Huang, C.; Xiao, C.L.; Rong, L.S. Integrating Point-of-Interest Density and Spatial Heterogeneity to Identify Urban Functional Areas. Remote Sens. 2022, 14, 17. [Google Scholar] [CrossRef]
- Lu, J.L.; Zheng, X.; Nervino, E.; Li, Y.Z.; Xu, Z.H.; Xu, Y.B. Retail store location screening: A machine learning-based approach. J. Retail. Consum. Serv. 2024, 77, 15. [Google Scholar] [CrossRef]
- Zhang, W.J.; Zhao, Y.J.; Cao, X.Y.; Lu, D.M.; Chai, Y.W. Nonlinear effect of accessibility on car ownership in Beijing: Pedestrian-scale neighborhood planning. Transport. Res. Part D-Transport. Environ. 2020, 86, 13. [Google Scholar] [CrossRef]
- Li, S.Y.; Lyu, D.J.; Liu, X.P.; Tan, Z.Z.; Gao, F.; Huang, G.P.; Wu, Z.F. The varying patterns of rail transit ridership and their relationships with fine-scale built environment factors: Big data analytics from Guangzhou. Cities 2020, 99, 12. [Google Scholar] [CrossRef]
- Li, F.Z.; Li, F.Y.; Li, S.J.; Long, Y. Deciphering the recreational use of urban parks: Experiments using multi-source big data for all Chinese cities. Sci. Total Environ. 2020, 701, 14. [Google Scholar] [CrossRef]
- Shi, K.F.; Chang, Z.J.; Chen, Z.Q.; Wu, J.P.; Yu, B.L. Identifying and evaluating poverty using multisource remote sensing and point of interest (POI) data: A case study of Chongqing, China. J. Clean. Prod. 2020, 255, 12. [Google Scholar] [CrossRef]
- Ji, Y.J.; Ma, X.W.; He, M.J.; Jin, Y.C.; Yuan, Y.F. Comparison of usage regularity and its determinants between docked and dockless bike-sharing systems: A case study in Nanjing, China. J. Clean. Prod. 2020, 255, 11. [Google Scholar] [CrossRef]
- Yu, H.S.; Yang, J.; Li, T.; Jin, Y.; Sun, D.Q. Morphological and functional polycentric structure assessment of megacity: An integrated approach with spatial distribution and interaction. Sustain. Cities Soc. 2022, 80, 9. [Google Scholar] [CrossRef]
- Zhang, X.Q.; Qi, Y.; Li, H.Y.; Sun, S.F.; Yin, Q.W. Assessing effect of best management practices in unmonitored watersheds using the coupled SWAT-BiLSTM approach. Sci. Rep. 2023, 13, 15. [Google Scholar] [CrossRef]
- Wang, S.C.; Yu, J.C.; Ma, J.F. Identifying the heterogeneous effects of road characteristics on Motorcycle-Involved crash severities. Travel Behav. Soc. 2023, 33, 13. [Google Scholar] [CrossRef]
- Chen, B.; Ye, Z.N.; Chen, Z.S.; Xie, X. Bridge vehicle load model on different grades of roads in China based on Weigh-in-Motion (WIM) data. Measurement 2018, 122, 670–678. [Google Scholar] [CrossRef]
- Buyukkinaci, B.; Onaygil, S.; Guler, O.; Yurtseven, M.B. Determining minimum visibility levels in different road lighting scenarios. Light. Res. Technol. 2018, 50, 1045–1056. [Google Scholar] [CrossRef]
- Alaswadko, N.; Hassan, R. The performance evaluation of heavy and light duty pavements in Victoria/Australia. Int. J. Pavement Eng. 2022, 23, 998–1007. [Google Scholar] [CrossRef]
- Wang, Y.Z.; Sun, Y.H.; Cao, X.Y.; Wang, Y.H.; Zhang, W.K.; Cheng, X.L. A review of regional and Global scale Land Use/Land Cover (LULC) mapping products generated from satellite remote sensing. ISPRS J. Photogramm. Remote Sens. 2023, 206, 311–334. [Google Scholar] [CrossRef]
- Pfeil, U.; Arjan, R.; Zaphiris, P. Age differences in online social networking—A study of user profiles and the social capital divide among teenagers and older users in MySpace. Comput. Hum. Behav. 2009, 25, 643–654. [Google Scholar] [CrossRef]
- Chen, L.C.; Papandreou, G.; Kokkinos, I.; Murphy, K.; Yuille, A.L. DeepLab: Semantic Image Segmentation with Deep Convolutional Nets, Atrous Convolution, and Fully Connected CRFs. IEEE Trans. Pattern Anal. Mach. Intell. 2018, 40, 834–848. [Google Scholar] [CrossRef]
- Wu, Z.F.; Ren, Y. The influence of greenspace characteristics and building configuration on depression in the elderly. Build. Environ. 2021, 188, 10. [Google Scholar] [CrossRef]
- Wan, P.; Zhang, J.; Liu, Y.W.; Jiang, X.X. Location Optimization of Offline Physical Stores Based on MNL Model under BOPS Omnichannel. J. Theor. Appl. Electron. Commer. Res. 2022, 17, 1633–1654. [Google Scholar] [CrossRef]
- Sevtsuk, A. Location and Agglomeration: The Distribution of Retail and Food Businesses in Dense Urban Environments. J. Plan. Educ. Res. 2014, 34, 374–393. [Google Scholar] [CrossRef]
- Wolf, K.L. Business district streetscapes, trees, and consumer response. J. For. 2005, 103, 396–400. [Google Scholar] [CrossRef]
- Plant, L.; Sipe, N. Adapting and applying evidence gathering techniques for planning and investment in street trees: A case study from Brisbane, Australia. Urban For. Urban Green. 2016, 19, 79–87. [Google Scholar] [CrossRef]
- Atkin, D.; Faber, B.; Gonzalez-Navarro, M. Retail Globalization and Household Welfare: Evidence from Mexico. J. Polit. Econ. 2018, 126, 1–73. [Google Scholar] [CrossRef]
- Reigadinha, T.; Godinho, P.; Dias, J. Portuguese food retailers—Exploring three classic theories of retail location. J. Retail. Consum. Serv. 2017, 34, 102–116. [Google Scholar] [CrossRef]
- Wang, E.R. Understanding the ‘retail revolution’ in urban China: A survey of retail formats in Beijing. Serv. Ind. J. 2011, 31, 169–194. [Google Scholar] [CrossRef]
- Kang, C.D. Effect of neighborhood income and consumption on retail viability: Evidence from Seoul, Korea. Habitat Int. 2019, 94, 10. [Google Scholar] [CrossRef]
- Adebayo, A.A.; Greenhalgh, P.; Muldoon-Smith, K.; Oyedokun, T. Towards Attaining Sustainable Retail Property Locations: The Relationships between Supply, Demand, and Accessibility of Retail Spaces. Sustainability 2022, 14, 15. [Google Scholar] [CrossRef]
- Jang, M.; Kang, C.D. Retail accessibility and proximity effects on housing prices in Seoul, Korea: A retail type and housing submarket approach. Habitat Int. 2015, 49, 516–528. [Google Scholar] [CrossRef]
- Daunfeldt, S.O.; Rudholm, N.; Rämme, U. Congestion charges and retail revenues: Results from the Stockholm road pricing trial. Transp. Res. Part A Policy Pract. 2009, 43, 306–309. [Google Scholar] [CrossRef]
- Aliedan, M.M.; Sobaih, A.E.; Elshaer, I.A. Influence of Cities-Based Entertainment on Tourist Satisfaction: Mediating Roles of Destination Image and Experience Quality. Sustainability 2021, 13, 14. [Google Scholar] [CrossRef]
- Peng, X.X.; Liu, M.X.; Hu, Q.S.; He, X.R. A multiscale perspective on place attachment and pro-environmental behavior in hotel spaces. J. Hosp. Tour. Manag. 2023, 55, 435–447. [Google Scholar] [CrossRef]










| Road Classes | Coefficients | Districts of Changchun | ||||
|---|---|---|---|---|---|---|
| Chaoyang | Erdao | Kuancheng | Lvyuan | Nanguan | ||
| Food and Beverage | ||||||
| Class I | p | 0.005 | 0.079 | 0.115 | 0.004 | 0.004 |
| R | −0.282 | −0.288 | −0.235 | −0.300 | −0.267 | |
| R2 | 0.080 | 0.083 | 0.055 | 0.090 | 0.071 | |
| Class II | p | 0.000 | 0.006 | 0.098 | 0.003 | 0.000 |
| R | −0.350 | −0.266 | −0.156 | −0.226 | −0.489 | |
| R2 | 0.123 | 0.071 | 0.024 | 0.051 | 0.239 | |
| Class III | p | 0.686 | 0.430 | 0.140 | 0.113 | 0.386 |
| R | −0.087 | −0.252 | −0.361 | −0.285 | −0.139 | |
| R2 | 0.008 | 0.064 | 0.130 | 0.081 | 0.019 | |
| Class IV | p | 0.031 | 0.883 | 0.555 | 0.116 | 0.336 |
| R | −0.395 | −0.053 | −0.200 | −0.267 | −0.136 | |
| R2 | 0.156 | 0.003 | 0.040 | 0.071 | 0.018 | |
| Shopping | ||||||
| Class I | p | 0.033 | 0.014 | 0.265 | 0.057 | 0.009 |
| R | −0.214 | −0.394 | −0.169 | −0.200 | −0.242 | |
| R2 | 0.045 | 0.155 | 0.028 | 0.040 | 0.058 | |
| Class II | p | 0.000 | 0.003 | 0.184 | 0.000 | 0.000 |
| R | −0.356 | −0.283 | −0.126 | −0.305 | −0.451 | |
| R2 | 0.126 | 0.080 | 0.016 | 0.093 | 0.203 | |
| Class III | p | 0.970 | 0.632 | 0.103 | 0.015 | 0.236 |
| R | 0.008 | −0.154 | −0.397 | −0.425 | −0.189 | |
| R2 | 0.000 | 0.023 | 0.157 | 0.181 | 0.035 | |
| Class IV | p | 0.562 | 0.781 | 0.120 | 0.929 | 0.221 |
| R | −0.110 | −0.101 | −0.497 | −0.015 | −0.173 | |
| R2 | 0.012 | 0.010 | 0.247 | 0.000 | 0.030 | |
| Life Services | ||||||
| Class I | p | 0.001 | 0.011 | 0.107 | 0.006 | 0.000 |
| R | −0.339 | −0.409 | −0.240 | −0.286 | −0.388 | |
| R2 | 0.114 | 0.167 | 0.058 | 0.082 | 0.151 | |
| Class II | p | 0.000 | 0.022 | 0.034 | 0.002 | 0.000 |
| R | −0.381 | −0.222 | −0.199 | −0.236 | −0.515 | |
| R2 | 0.145 | 0.049 | 0.040 | 0.055 | 0.265 | |
| Class III | p | 0.629 | 0.401 | 0.081 | 0.002 | 0.201 |
| R | −0.104 | −0.267 | −0.422 | −0.524 | −0.204 | |
| R2 | 0.011 | 0.071 | 0.178 | 0.275 | 0.042 | |
| Class IV | p | 0.148 | 0.583 | 0.339 | 0.588 | 0.968 |
| R | −0.271 | 0.198 | −0.319 | −0.093 | −0.006 | |
| R2 | 0.073 | 0.039 | 0.102 | 0.000 | 0.000 | |
| Entertainment | ||||||
| Class I | p | 0.033 | 0.013 | 0.926 | 0.432 | 0.033 |
| R | −0.215 | −0.399 | −0.014 | −0.083 | −0.197 | |
| R2 | 0.046 | 0.159 | 0.000 | 0.000 | 0.039 | |
| Class II | p | 0.001 | 0.006 | 0.061 | 0.042 | 0.000 |
| R | −0.300 | −0.266 | −0.177 | −0.157 | −0.421 | |
| R2 | 0.090 | 0.071 | 0.031 | 0.025 | 0.177 | |
| Class III | p | 0.299 | 0.394 | 0.500 | 0.105 | 0.397 |
| R | 0.221 | −0.271 | −0.170 | −0.292 | −0.136 | |
| R2 | 0.049 | 0.073 | 0.029 | 0.085 | 0.018 | |
| Class IV | p | 0.317 | 0.887 | 0.305 | 0.170 | 0.787 |
| R | −0.189 | 0.052 | −0.319 | −0.234 | −0.038 | |
| R2 | 0.036 | 0.000 | 0.102 | 0.055 | 0.000 | |
| Hotel | ||||||
| Class I | p | 0.031 | 0.204 | 0.298 | 0.029 | 0.004 |
| R | −0.217 | −0.211 | −0.157 | −0.228 | −0.267 | |
| R2 | 0.047 | 0.045 | 0.025 | 0.052 | 0.071 | |
| Class II | p | 0.006 | 0.153 | 0.091 | 0.004 | 0.000 |
| R | −0.252 | −0.14 | −0.160 | −0.224 | −0.421 | |
| R2 | 0.064 | 0.020 | 0.026 | 0.050 | 0.177 | |
| Class III | p | 0.053 | 0.388 | 0.155 | 0.010 | 0.231 |
| R | 0.400 | −0.274 | −0.349 | −0.449 | −0.191 | |
| R2 | 0.160 | 0.075 | 0.122 | 0.162 | 0.036 | |
| Class IV | p | 0.701 | 0.025 | 0.840 | 0.256 | 0.911 |
| R | −0.073 | 0.697 | −0.069 | −0.196 | −0.016 | |
| R2 | 0.000 | 0.196 | 0.000 | 0.038 | 0.000 | |
Disclaimer/Publisher’s Note: The statements, opinions and data contained in all publications are solely those of the individual author(s) and contributor(s) and not of MDPI and/or the editor(s). MDPI and/or the editor(s) disclaim responsibility for any injury to people or property resulting from any ideas, methods, instructions or products referred to in the content. |
© 2024 by the authors. Licensee MDPI, Basel, Switzerland. This article is an open access article distributed under the terms and conditions of the Creative Commons Attribution (CC BY) license (https://creativecommons.org/licenses/by/4.0/).
Share and Cite
Liu, Y.; Cao, Z.; Wei, H.; Guo, P. Optimizing Spatial Distribution of Retail Shops against Neighborhood Tree Canopy Shade Using Big Data Extracted from Streetscape. Land 2024, 13, 1249. https://doi.org/10.3390/land13081249
Liu Y, Cao Z, Wei H, Guo P. Optimizing Spatial Distribution of Retail Shops against Neighborhood Tree Canopy Shade Using Big Data Extracted from Streetscape. Land. 2024; 13(8):1249. https://doi.org/10.3390/land13081249
Chicago/Turabian StyleLiu, Yifeng, Zhanhua Cao, Hongxu Wei, and Peng Guo. 2024. "Optimizing Spatial Distribution of Retail Shops against Neighborhood Tree Canopy Shade Using Big Data Extracted from Streetscape" Land 13, no. 8: 1249. https://doi.org/10.3390/land13081249
APA StyleLiu, Y., Cao, Z., Wei, H., & Guo, P. (2024). Optimizing Spatial Distribution of Retail Shops against Neighborhood Tree Canopy Shade Using Big Data Extracted from Streetscape. Land, 13(8), 1249. https://doi.org/10.3390/land13081249

