Analytical Solution of Nonlinear Fractional Volterra Population Growth Model Using the Modified Residual Power Series Method
Abstract
1. Introduction
2. Preliminaries
3. Modified Residual Power Series Method (MRPSM) for Nonlinear Fractional Volterra Population Growth Model
4. Convergence Analysis
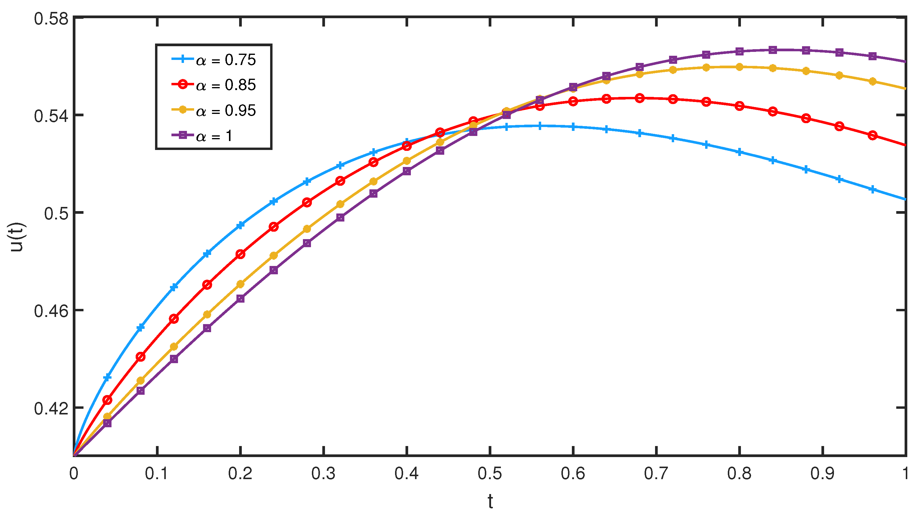
5. Numerical Example
6. Conclusions
Author Contributions
Funding
Acknowledgments
Conflicts of Interest
Abbreviations
| RPSM | residual power series method |
| ADM | Adomain decomposition method |
| RPS | residual power series |
| MRPSM | modified residual power series method |
| FPS | fractional power series |
| CPS | classical power series |
References
- Debnath, L. Recent application of fractional calculus to science and engineering. Int. J. Math. Math. Sci. 2003, 3413–3442. [Google Scholar] [CrossRef]
- Bohannan, G.W. Analog fractional order controller in temperature and motor control applications. J. Vib. Contr. 2008, 14, 1487–1498. [Google Scholar] [CrossRef]
- Panda, R.; Dash, M. Fractional generalized splines and signal processing. Signal Process 2006, 14, 2340–2350. [Google Scholar] [CrossRef]
- Baillie, R.T. Long memory processes and fractional integration in econometrics. J. Economet. 1996, 73, 5–59. [Google Scholar] [CrossRef]
- Bagley, R.L.; Torvik, P.J. A theoretical basis for the application of fractional calculus to viscoelasticity. J. Rheol. 1983, 27, 201–210. [Google Scholar] [CrossRef]
- Yang, X.J.; Gao, F.; Yang, J. General Fractional Derivatives with Applications in Viscoelasticity; Academic Press (Elsevier Science Publishers): Heidelberg, Geremany; London, UK; New York, NY, USA; Amsterdam, The Netherlands, 2020. [Google Scholar]
- Yang, X.J. Local Fractional Integral Transforms and Their Applications; Academic Press (Elsevier Science Publishers): Heidelberg, Geremany; London, UK; New York, NY, USA; Amsterdam, The Netherlands, 2016. [Google Scholar]
- Chow, T.S. Fractional dynamics of interfaces between soft nanoparticles and rough substrates. Phys. Lett. A 2005, 342, 148–155. [Google Scholar] [CrossRef]
- Mainardi, F. Fractional calculus: Some basic problems in continuum and statistical mechanics. Fractals Fract. Calc. Contin. Mech. 1997, 378, 291–348. [Google Scholar]
- Yang, X.J.; Gao, F.; Yang, J.; Zhou, H.W. Fundamental solutions of the general fractional-order diffusion equations. Math. Methods Appl. Sci. 2018, 18, 9312–9320. [Google Scholar] [CrossRef]
- Yang, X.J.; Gao, F.; Srivastava, H.M. Non-differentiable exact solutions for the nonlinear ODEs defined on fractal sets. Fractals 2017, 25, 1740002. [Google Scholar] [CrossRef]
- Ganji, R.M.; Jafari, H.A. New approach for solving nonlinear volterra integro-differential equations with Mittag-Leffler kernel. Proc. Inst. Math. Mech. 2020, 46, 144–158. [Google Scholar]
- Jafari, H.; Tajadodi, H.; Baleanu, D. Numerical solution of variable order integro-differential equations. Adv. Math. Model. Appl. 2019, 4, 64–69. [Google Scholar]
- Jafari, H.; Seifi, S. Homotopy analysis method for solving linear and nonlinear fractional diffusion-wave equation. Commun. Nonlinear Sci. 2009, 14, 2006–2012. [Google Scholar] [CrossRef]
- He, J.H. Homotopy perturbation technique. Comput. Methods Appl. Mech. Eng. 1999, 178, 257–262. [Google Scholar] [CrossRef]
- Jafari, H.; Momani, S. Solving fractional diffusion and wave equations by modified homotopy perturbation method. Phys. Lett. A 2007, 370, 388–396. [Google Scholar] [CrossRef]
- Tiwana, M.H.; Maqbool, K.; Mann, A.B. Homotopy perturbation Laplace transform solution of fractional non-linear reaction diffusion system of Lotka-Volterra type differential equation. Eng. Sci. Technol. Int. J. 2017, 20, 672–678. [Google Scholar] [CrossRef][Green Version]
- Kumar, D.; Singh, J.; Kumar, S. Numerical computation of fractional multidimensional diffusion equations by using a modified homotopy perturbation method. J. Assoc. Arab Univ. Basic Appl. Sci. 2015, 17, 20–26. [Google Scholar]
- Singh, B.K.; Srivastava, V.K. Approximate series solution of multi-dimensional, time fractional-order (heatlike) diffusion equations using FRDTM. R. Soc. Open Sci. 2018, 2, 140–511. [Google Scholar]
- Jafari, H.; Gejji, V. Solving linear and nonlinear fractional diffusion and wave equations by adomian decomposition. J. Appl. Math. Comput. 2006, 180, 488–497. [Google Scholar] [CrossRef]
- Ganji, D.D.; Tari, H.; Jooybari, M.B. Variational iteration method and homotopy perturbation method for nonlinear evolution equations. Comput. Math. Appl. 2007, 54, 1018–1027. [Google Scholar] [CrossRef]
- Wazwaz, A.M. The variational iteration method for rational solutions for K(2,2), Burgers, and cubic Boussinesq equations. J. Comput. Appl. Math. 2007, 207, 18–23. [Google Scholar] [CrossRef]
- Arqub, A.O. Series solution of fuzzy differential equations under strongly generalized differentiability. J. Adv. Res. Appl. Math. 2013, 5, 31–52. [Google Scholar] [CrossRef]
- Alquran, M. Analytical solutions of fractional foam drainage equation by residual power series method. Math. Sci. 2014, 8, 153–160. [Google Scholar] [CrossRef]
- Alshammari, S.; Alsamadi, M.; Alshammari, M.; Hashim, M.I.; Alias, M.A. Advanced analytical treatment of fractional logistic equations based on residual error functions. Int. J. Differ. Equ. 2019, 2019, 1–11. [Google Scholar] [CrossRef]
- Chen, B.; Qin, L.; Xu, F.; Zu, J. Applications of general residual power series method to differential equations with variable coefficients. Discrete Dyn. Nat. Soc. 2018, 2018, 1–9. [Google Scholar] [CrossRef]
- Kumar, A.; Kumar, S.; Singh, M. Residual power series method for fractional Sharma-Tasso-Olever equation. Commun. Numer. Anal. 2016, 1, 1–10. [Google Scholar] [CrossRef]
- Prakasha, D.G.; Veeresha, P.; Baskonus, H.M. Residual power series method for fractional Swift-Hohenberg equation. Fractal Fract. 2019, 3, 9. [Google Scholar] [CrossRef]
- Tariq, H.; Akram, G. Residual power series method for solving time-space-fractional Benney-Lin equation arising in falling film problems. J. Appl. Math. Comput. 2017, 55, 683–708. [Google Scholar] [CrossRef]
- Zhang, Y.; Kumar, A.; Kumar, S.; Baleanu, D.; Yang, X. Residual power series method for time-fractional Schrödinger equations. J. Nonlinear Sci. Appl. 2016, 9, 5821–5829. [Google Scholar] [CrossRef]
- Scudo, F.M. Vito Volterra and theoretical ecology. Theor. Popul. Biol. 1971, 2, 1–23. [Google Scholar] [CrossRef]
- TeBeest, K.G. Classroom note: Numerical and analytical solutions of Volterra’s population Model. Soc. Ind. Appl. Math. 1997, 39, 484–493. [Google Scholar]
- Adomian, G. A review of the decomposition method in applied mathematics. J. Math. Anal. Appl. 1988, 135, 501–544. [Google Scholar] [CrossRef]
- Eltayeb, H.; Abdalla, Y.T.; Bachar, I.; Khabir, M.H. Fractional telegraph equation and its solution by natural transform decomposition method. Symmetry 2019, 11, 334. [Google Scholar] [CrossRef]
- Eltayeb, H.; Bachar, I.; Kilicman, A. On conformable double Laplace transform and one dimensional fractional coupled Burger’s equation. Symmetry 2019, 11, 417. [Google Scholar] [CrossRef]
- Al-Khaled, K.; Hazaimeh, A. Comparison method for solving non-linear Sturm-Liouville eigenvalues problems. Symmetry 2020, 12, 1179. [Google Scholar] [CrossRef]
- Podlubny, I. Fractional Differential Equations; Academic Press: San Diego, CA, USA, 1999. [Google Scholar]
- El-Ajou, A.E.; Arqub, O.A.; Zhour, Z.A.; Momani, S. New results on fractional power series: Theories and applications. Entropy 2013, 15, 5305–5323. [Google Scholar] [CrossRef]
- Biazar, J.; Shafiof, S.M. A simple algorithm for calculating Adomian polynomials. Int. J. Contemp. Math. Sci. 2007, 2, 975–982. [Google Scholar] [CrossRef]
- Rudin, W. Principles of Mathematical Analysis, 3rd ed.; China Machine Press: Beijing, China, 2004. [Google Scholar]



| Approximate | Exact | Absolute Errors | ||
|---|---|---|---|---|
| 0.5 | 0.738 | 0.6057712361 | 0.6057713198 | |
| 0.6 | 0.800 | 0.5841115047 | 0.5841116917 | |
| 0.7 | 0.852 | 0.5666724313 | 0.5666725541 | |
| 0.8 | 0.896 | 0.5523073685 | 0.5523073697 |
| 0.5 | |||
| 0.6 | |||
| 0.7 | |||
| 0.8 |
| 0.75 | 0.6 | 0.5502368550 | 0.5502415323 | 0.5502426850 |
| 0.85 | 0.7 | 0.5469171943 | 0.5469180381 | 0.5469181062 |
| 0.95 | 0.8 | 0.5458638855 | 0.5458640377 | 0.5458640426 |
| h | ||||
|---|---|---|---|---|
| Approximate | Computation Time (s) | Approximate | Computation Time (s) | |
| 0.002 | 0.605771236096562 | 0.078953 | 0.566672431329788 | 0.075677 |
| 0.02 | 0.605769084446570 | 0.072933 | 0.566655106763389 | 0.070760 |
| 0.1 | 0.605246758144338 | 0.070844 | 0.566135276851748 | 0.067380 |
Publisher’s Note: MDPI stays neutral with regard to jurisdictional claims in published maps and institutional affiliations. |
© 2020 by the authors. Licensee MDPI, Basel, Switzerland. This article is an open access article distributed under the terms and conditions of the Creative Commons Attribution (CC BY) license (http://creativecommons.org/licenses/by/4.0/).
Share and Cite
Dunnimit, P.; Wiwatwanich, A.; Poltem, D. Analytical Solution of Nonlinear Fractional Volterra Population Growth Model Using the Modified Residual Power Series Method. Symmetry 2020, 12, 1779. https://doi.org/10.3390/sym12111779
Dunnimit P, Wiwatwanich A, Poltem D. Analytical Solution of Nonlinear Fractional Volterra Population Growth Model Using the Modified Residual Power Series Method. Symmetry. 2020; 12(11):1779. https://doi.org/10.3390/sym12111779
Chicago/Turabian StyleDunnimit, Patcharee, Araya Wiwatwanich, and Duangkamol Poltem. 2020. "Analytical Solution of Nonlinear Fractional Volterra Population Growth Model Using the Modified Residual Power Series Method" Symmetry 12, no. 11: 1779. https://doi.org/10.3390/sym12111779
APA StyleDunnimit, P., Wiwatwanich, A., & Poltem, D. (2020). Analytical Solution of Nonlinear Fractional Volterra Population Growth Model Using the Modified Residual Power Series Method. Symmetry, 12(11), 1779. https://doi.org/10.3390/sym12111779

