Soliton–Breather Interaction: The Modified Korteweg–de Vries Equation Framework
Abstract
1. Introduction
2. Breather and Soliton Solutions of the mKdV Equation
3. Breather’s Extrema
3.1. Interaction Process
3.2. Extrema of the Wave Fields
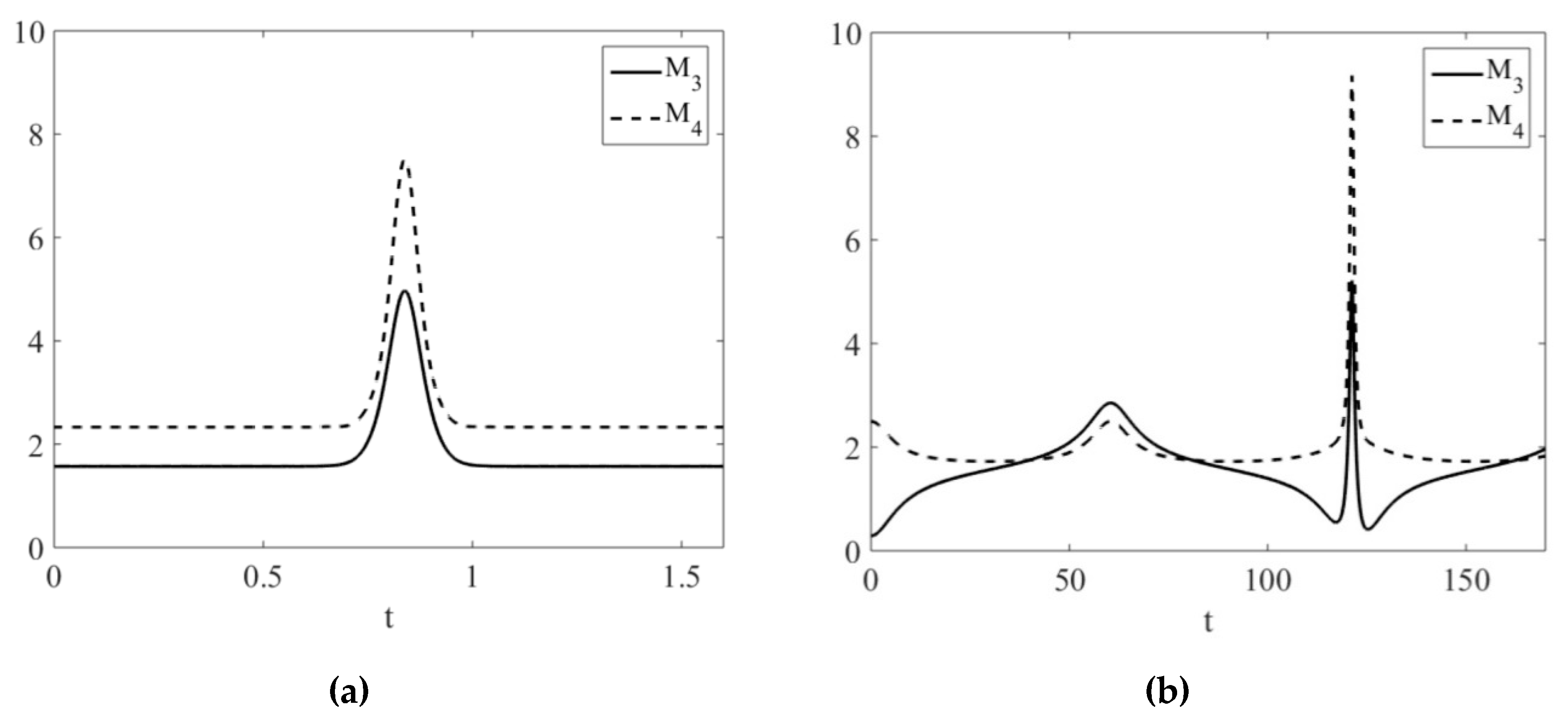
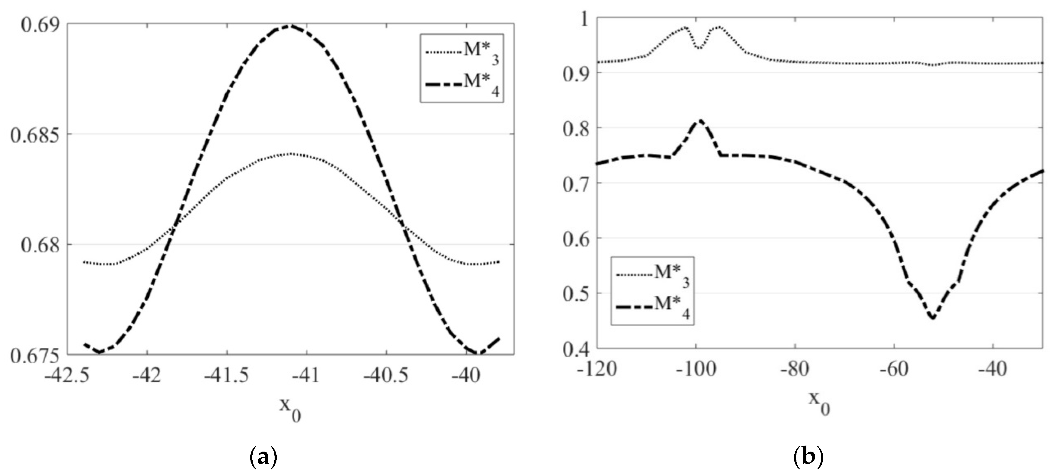
3.3. Moments of the Wave Fields
4. Conclusions
Author Contributions
Funding
Conflicts of Interest
References
- Drazin, P.G.; Johnson, R.S. Solitons: An Introduction; Cambridge University Press: Cambridge, UK, 1993; p. 226. [Google Scholar]
- Ablowitz, M.J. Nonlinear Dispersive Waves: Asymptotic Analysis and Solitons; Cambridge University Press: Cambridge, UK, 2011; p. 364. [Google Scholar]
- Agafontsev, D.S.; Zakharov, V.E. Integrable turbulence generated from modulational instability of cnoidal waves. Nonlinearity 2016, 29, 3551–3578. [Google Scholar] [CrossRef]
- Pelinovsky, E.N.; Shurgalina, E.G.; Sergeeva, A.V.; Talipova, T.G.; El, G.A.; Grimshaw, R.H.J. Two-soliton interaction as an elementary act of soliton turbulence in integrable systems. Phys. Lett. A 2013, 377, 272–275. [Google Scholar] [CrossRef]
- Pelinovsky, E.N.; Shurgalina, E.G. Two-soliton interaction in the frameworks of modified Korteweg–de Vries equation. Radiophys. Quantum Electron. 2015, 57, 737–744. [Google Scholar] [CrossRef]
- Anco, S.C.; Ngatat, N.T.; Willoughby, M. Interaction properties of complex modified kortewegde Vries (mKdV) solitons. Physics D 2011, 240, 1378–1394. [Google Scholar] [CrossRef]
- Shurgalina, E.G. The features of the paired soliton interactions within the framework of the Gardner equation. Radiophys. Quantum Electron. 2018, 60, 703–708. [Google Scholar] [CrossRef]
- Shurgalina, E.G. The mechanism of the formation of freak waves in the result of interaction of internal waves in stratified basin. Fluid Dyn. 2018, 53, 59–64. [Google Scholar] [CrossRef]
- Slyunyaev, A.V.; Pelinovskii, E.N. Dynamics of large-amplitude solitons. J. Exp. Theor. Phys. 1999, 89, 173–181. [Google Scholar] [CrossRef]
- Kachulin, D.; Dyachenko, A.; Gelash, A. Interactions of coherent structures on the surface of deep water. Fluids 2019, 4, 83. [Google Scholar] [CrossRef]
- Kachulin, D.; Gelash, A. On the phase dependence of the soliton collisions in the Dyachenko–Zakharov envelope equation. Nonlinear Process. Geophys. 2018, 25, 553–563. [Google Scholar] [CrossRef]
- Xu, G.; Gelash, A.; Chabchoub, A.; Zakharov, V.; Kibler, B. Breather Wave Molecules. Phys. Rev. Lett. 2019, 122, 084101. [Google Scholar] [CrossRef] [PubMed]
- Ali, R.; Chatterjee, P. Three-Soliton Interaction and Soliton Turbulence in Superthermal Dusty Plasmas. Zeitschrift für Naturforschung A 2019, 74, 757–766. [Google Scholar] [CrossRef]
- El, G.A. Critical density of a soliton gas. Chaos 2016, 26, 023105. [Google Scholar] [CrossRef] [PubMed]
- Gelash, A.; Agafontsev, D.; Zakharov, V.; El, G.; Randoux, S.; Suret, P. Bound State Soliton Gas Dynamics Underlying the Spontaneous Modulational Instability. Phys. Rev. Lett. 2019, 123, 234102. [Google Scholar] [CrossRef] [PubMed]
- Gelash, A.A.; Agafontsev, D.S. Strongly interacting soliton gas and formation of rogue waves. Phys. Rev. E 2018, 98, 1–11. [Google Scholar] [CrossRef]
- Kachulin, D.; Dyachenko, A.; Dremov, S. Multiple Soliton Interactions on the Surface of Deep Water. Fluids 2020, 5, 65. [Google Scholar] [CrossRef]
- Kachulin, D.; Dyachenko, A.; Zakharov, V. Soliton Turbulence in Approximate and Exact Models for Deep Water Waves. Fluids 2020, 5, 67. [Google Scholar] [CrossRef]
- Pelinovsky, E.; Shurgalina, E. KDV soliton gas: Interactions and turbulence. In Challenges in Complexity: Dynamics, Patterns, Cognition; Aronson, I., Pikovsky, A., Rulkov, N., Tsimring, L., Eds.; Series: Nonlinear Systems and Complexity; Springer: Berlin, Germany, 2017; Volume 20, pp. 295–306. [Google Scholar]
- Didenkulova, E.G.; Pelinovsky, E.N. The Role of a Thick Soliton in the Dynamics of the Soliton Gas Within the Framework of the Gardner Equation. Radiophys. Quantum Electron. 2019, 61, 623–632. [Google Scholar] [CrossRef]
- Shurgalina, E.G.; Pelinovsky, E.N. Nonlinear dynamics of a soliton gas: Modified Korteweg-de Vries equation framework. Phys. Lett. A 2016, 380, 2049–2053. [Google Scholar] [CrossRef]
- Dutykh, D.; Pelinovsky, E. Numerical simulation of a solitonic gas in KdV and KdV–BBM equations. Phys. Lett. A 2014, 378, 3102–3110. [Google Scholar] [CrossRef]
- El, G.; Tovbis, A. Spectral theory of soliton and breather gases for the focusing nonlinear Schrödinger equation. Phys. Rev. E 2020, 101, 052207. [Google Scholar] [CrossRef]
- El, G.A.; Kamchatnov, A.M. Kinetic equation for a dense soliton gas. Phys. Rev. Lett. 2005, 95, 1–4. [Google Scholar] [CrossRef] [PubMed]
- El, G.A.; Kamchatnov, A.M.; Pavlov, M.V.; Zykov, S.A. Kinetic equation for a soliton gas and its hydrodynamic reductions. J. Nonlinear Sci. 2011, 21, 151–191. [Google Scholar] [CrossRef]
- Pelinovsky, E.N.; Shurgalina, E.G. Formation of freak waves in a soliton gas described by the modified Korteweg–de Vries equation. Dokl. Phys. 2016, 61, 423–426. [Google Scholar] [CrossRef]
- Didenkulova (Shurgalina), E.G. Numerical modeling of soliton turbulence within the focusing Gardner equation: Rogue wave emergence. Physics D 2019, 399, 35–41. [Google Scholar] [CrossRef]
- Dudley, J.M.; Dias, F.; Erkintalo, M.; Genty, G. Instabilities, breathers and rogue waves in optics. Nat. Photonics 2014, 8, 755–764. [Google Scholar] [CrossRef]
- Akhmediev, N.; Soto-Crespo, J.M.; Devine, N. Breather turbulence versus soliton turbulence: Rogue waves, probability density functions, and spectral features. Phys. Rev. E 2016, 94, 022212. [Google Scholar] [CrossRef]
- Soto-Crespo, J.M.; Devine, N.; Akhmediev, N. Integrable Turbulence and Rogue Waves: Breathers or Solitons? Phys. Rev. Lett. 2016, 116, 103901. [Google Scholar] [CrossRef]
- Slunyaev, A.V.; Pelinovsky, E.N. Role of multiple soliton interactions in the generation of rogue waves: The modified korteweg-de vries framework. Phys. Rev. Lett. 2016, 117, 214501. [Google Scholar] [CrossRef]
- Slunyaev, A. On the optimal focusing of solitons and breathers in long-wave models. Stud. Appl. Math. 2019, 142, 385–413. [Google Scholar] [CrossRef]
- Lamb, G.L. Elements of Soliton Theory; Wiley: New York, NY, USA, 1980; p. 289. [Google Scholar]
- Lamb, K.G.; Polukhina, O.; Talipova, T.; Pelinovsky, E.; Xiao, W.; Kurkin, A. Breather generation in fully nonlinear models of a stratified fluid. Phys. Rev. E 2007, 75, 046306. [Google Scholar] [CrossRef]
- Talipova, T.; Kurkina, O.; Kurkin, A.; Didenkulova, E.; Pelinovsky, E. Internal Wave Breathers in the Slightly Stratified Fluid. Microgravity Sci. Technol. 2020, 32, 69–77. [Google Scholar] [CrossRef]
- Pelinovsky, D.; Grimshaw, R. Structural transformation of eigenvalues for a perturbed algebraic soliton potential. Phys. Lett. A 1997, 229, 165–172. [Google Scholar] [CrossRef]
- Slyunyaev, A.V. Dynamics of localized waves with large amplitude in a weakly dispersive medium with a quadratic and positive cubic nonlinearity. J. Exp. Theor. Phys. 2001, 92, 529–534. [Google Scholar] [CrossRef]
- Chow, K.W.; Grimshaw, R.H.J.; Ding, E. Interactions of breathers and solitons in the extended Korteweg–de Vries equation. Wave Motion 2005, 43, 158–166. [Google Scholar] [CrossRef]
- Zhang, D.-J.; Zhao, S.-L.; Sun, Y.-Y.; Zhou, J. Solutions to the modified Korteweg–de Vries equation. Rev. Math. Phys. 2014, 26, 1430006. [Google Scholar] [CrossRef]
- Alejo, M.A.; Munoz, C. Nonlinear stability of mKdV breathers. Commun. Math. Phys. 2013, 324, 233–262. [Google Scholar] [CrossRef]
- Didenkulova, E.; Pelinovsky, E. Breather’s Properties within the Framework of the Modified Korteweg–de Vries Equation. Symmetry 2020, 12, 638. [Google Scholar] [CrossRef]
- Fronberg, B. A Practical Guide to Pseudospectral Methods; Cambridge University Press: Cambridge, UK, 1998; p. 231. [Google Scholar]






© 2020 by the authors. Licensee MDPI, Basel, Switzerland. This article is an open access article distributed under the terms and conditions of the Creative Commons Attribution (CC BY) license (http://creativecommons.org/licenses/by/4.0/).
Share and Cite
Didenkulova, E.; Pelinovsky, E. Soliton–Breather Interaction: The Modified Korteweg–de Vries Equation Framework. Symmetry 2020, 12, 1445. https://doi.org/10.3390/sym12091445
Didenkulova E, Pelinovsky E. Soliton–Breather Interaction: The Modified Korteweg–de Vries Equation Framework. Symmetry. 2020; 12(9):1445. https://doi.org/10.3390/sym12091445
Chicago/Turabian StyleDidenkulova, Ekaterina, and Efim Pelinovsky. 2020. "Soliton–Breather Interaction: The Modified Korteweg–de Vries Equation Framework" Symmetry 12, no. 9: 1445. https://doi.org/10.3390/sym12091445
APA StyleDidenkulova, E., & Pelinovsky, E. (2020). Soliton–Breather Interaction: The Modified Korteweg–de Vries Equation Framework. Symmetry, 12(9), 1445. https://doi.org/10.3390/sym12091445

