Polarization of Lyman-α Line Due to the Anisotropy of Electron Collisions in a Plasma
Abstract
1. Introduction
2. Theoretical Model for the Line Emission Polarization
2.1. Polarization Formation of the Lyman- Line
2.2. Polarization Due to Anisotropic Electron Collisions
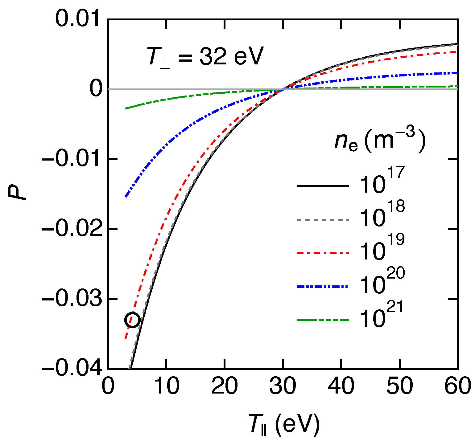
3. Results and Discussion
Author Contributions
Funding
Acknowledgments
Conflicts of Interest
References
- Qu, Z.S.; Fitzgerald, M.; Hole, M.J. Analysing the impact of anisotropy pressure on tokamak equilibria. Plasma Phys. Contr. Fusion 2014, 56, 075007. [Google Scholar] [CrossRef]
- Hole, M.J.; Qu, Z.; Pinches, S.; Schneider, M.; Arbina, I.L.; Mantsinen, M.J.; Sauter, O. The impact of anisotropy on ITER scenarios. Nucl. Fusion 2020, 60, 112010. [Google Scholar] [CrossRef]
- Makino, T. Local and Fast Density Pump-out by ECRH in the LHD. Plasma Fusion Res. 2013, 8, 2402115. [Google Scholar] [CrossRef][Green Version]
- Rozhansky, V. Drifts, Currents, and Radial Electric Field in the Edge Plasma with Impact on Pedestal, Divertor Asymmetry and RMP Consequences. Contrib. Plasma Phys. 2014, 54, 508–516. [Google Scholar] [CrossRef]
- Fujimoto, T. Population-Alignment Collisional-Radiative Model. In Plasma Polarization Spectroscopy; Fujimoto, T., Iwamae, A., Eds.; Springer: Berlin, Germany, 2008; pp. 51–68. [Google Scholar]
- Fujimoto, T.; Sahara, H.; Kawachi, T.; Kallstenius, T.; Goto, M.; Kawase, H.; Terumichi, Y. Polarization of impurity emission lines from a tokamak plasma. Phys. Rev. E 1996, 54, R2240–R2243. [Google Scholar] [CrossRef]
- Herzog, O.; Weinheimer, J.; Rosmej, F.B.; Kunze, H.J.; Bertschinger, G.; Bitter, M.; Urnov, A. The Bragg-polarimeter at TEXTOR 94. In Proceedings of the Japan-US Workshop on Plasma Polarization Spectroscopy and The International Seminar on Plasma Polarization Spectroscopy, NIFS-PROC-37, Kyoto, Japan, 26–28 January 1998; pp. 33–38. [Google Scholar]
- Kano, R.; Bueno, J.T.; Winebarger, A.; Auchère, F.; Narukage, N.; Ishikawa, R.; Carlsson, M. Discovery of Scattering Polarization in the Hydrogen Lyα Line of the Solar Disk Radiation. ApJL 2017, 839, L10. [Google Scholar] [CrossRef]
- Ramaiya, N.; Goto, M.; Seguineaud, G.; Oishi, T.; Morita, S. Measurement of polarization in Lyman-α line caused by anisotropic electron collisions in LHD plasma. J. Quant. Spectrosc. Radiat. Transf. 2020, 260, 107430. [Google Scholar] [CrossRef]
- Iwamae, A.; Sato, T.; Horimoto, Y.; Inoue, K.; Fujimoto, T.; Uchida, M.; Maekawa, T. Anisotropic electron velocity distribution in an ECR helium plasma as determined from polarization of emission lines. Plasma Phys. Contr. Fusion 2005, 47, L41. [Google Scholar] [CrossRef]
- Blum, K. Density Matrix Theory and Applications, 2nd ed.; Plenum: New York, NY, USA, 1996. [Google Scholar]
- Bray, I.; Stelbovics, A.T. Calculation of Electron Scattering on Hydrogenic Targets. Adv. Atom. Mol. Opt. Phys. 1995, 35, 209–254. [Google Scholar]
- James, G.; Slevin, J.A.; Dziczek, D.; McConkey, J.W.; Bray, I. Polarization of Lyman-α radiation from atomic hydrogen excited by electron impact from near threshold to 1800 eV. Phys. Rev. A Atom. Mol. Opt. Phys. 1998, 57, 1787–1797. [Google Scholar] [CrossRef]
- Hirabayashi, A.; Nambu, Y.; Hasuo, M.; Fujimoto, T. Disalignment of excited neon atoms due to electron and ion collisions. Phys. Rev. A Atom. Mol. Opt. Phys. 1988, 37, 83–88. [Google Scholar] [CrossRef] [PubMed]
- Stehlé, C.; Hutcheon, R. Extensive tabulations of Stark broadened hydrogen line profiles. Astron. Astrophys. Suppl. Ser. 1999, 140, 93–97. [Google Scholar] [CrossRef]
- Iwamae, A.; Hayakawa, M.; Atake, M.; Fujimoto, T.; Goto, M.; Morita, S. Polarization resolved Hα spectra from the large helical device: Emission location, temperature, and inward flux of neutral hydrogen. Phys. Plasmas 2005, 12, 042501. [Google Scholar] [CrossRef]
- Iwamae, A.; Sakaue, A.; Neshi, N.; Yanagibayashi, J.; Hasuo, M.; Goto, M.; Morita, S. Hydrogen emission location, temperature and inward velocity in the peripheral helical plasma as observed with plasma polarization spectroscopy. J. Phys. B Atom. Mol. Opt. Phys. 2010, 43, 144019. [Google Scholar] [CrossRef]
- Goto, M.; Sawada, K. Determination of electron temperature and density at plasma edge in the Large Helical Device with opacity-incorporated helium collisional-radiative model. J. Quant. Spectrosc. Radiat. Transf. 2014, 137, 23–28. [Google Scholar] [CrossRef]
- Sawada, K.; Fujimoto, T. Temporal relaxation of excited-level populations of atoms and ions in a plasma: Validity range of the quasi-steady-state solution of coupled rate equations. Phys. Rev. E 1994, 49, 5565–5573. [Google Scholar] [CrossRef] [PubMed]
- Fujimoto, T. Plasma Spectroscopy; Oxford University Press: Oxford, UK, 2004. [Google Scholar]
- Hutcheon, R.J.; McWhirter, R.W.P. The intensities of the resonance lines of highly ionized hydrogen-like ions. J. Phys. B Atom. Mol. Optic. Phys. 1973, 6, 2668–2683. [Google Scholar] [CrossRef]
- Zygelman, B.; Dalgarno, A. Impact excitation of the n = 2 fine-structure levels in hydrogenlike ions by protons and electrons. Phys. Rev. A 1987, 35, 4085–4100. [Google Scholar] [CrossRef]






Publisher’s Note: MDPI stays neutral with regard to jurisdictional claims in published maps and institutional affiliations. |
© 2021 by the authors. Licensee MDPI, Basel, Switzerland. This article is an open access article distributed under the terms and conditions of the Creative Commons Attribution (CC BY) license (http://creativecommons.org/licenses/by/4.0/).
Share and Cite
Goto, M.; Ramaiya, N. Polarization of Lyman-α Line Due to the Anisotropy of Electron Collisions in a Plasma. Symmetry 2021, 13, 297. https://doi.org/10.3390/sym13020297
Goto M, Ramaiya N. Polarization of Lyman-α Line Due to the Anisotropy of Electron Collisions in a Plasma. Symmetry. 2021; 13(2):297. https://doi.org/10.3390/sym13020297
Chicago/Turabian StyleGoto, Motoshi, and Nilam Ramaiya. 2021. "Polarization of Lyman-α Line Due to the Anisotropy of Electron Collisions in a Plasma" Symmetry 13, no. 2: 297. https://doi.org/10.3390/sym13020297
APA StyleGoto, M., & Ramaiya, N. (2021). Polarization of Lyman-α Line Due to the Anisotropy of Electron Collisions in a Plasma. Symmetry, 13(2), 297. https://doi.org/10.3390/sym13020297

