Symmetric and Anti-Symmetric Damping Modes of Trivelpiece–Gould Waves in Weakly and Completely Ionized Plasma Waveguides
Abstract
1. Introduction
2. Strum–Liouville Equations for Weakly and Completely Ionized Plasmas
3. Dispersion Relations for Weakly and Completely Ionized Plasmas
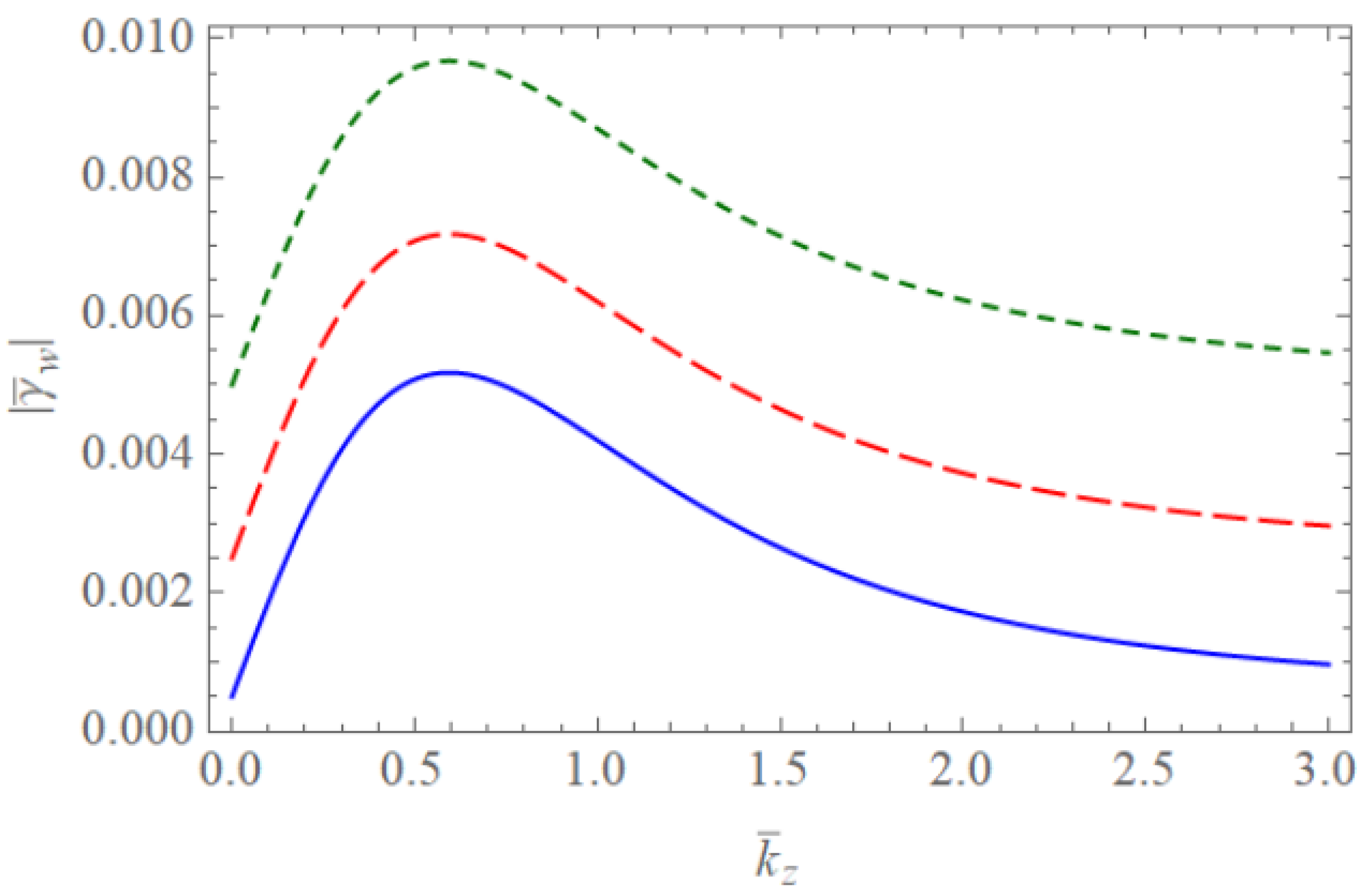
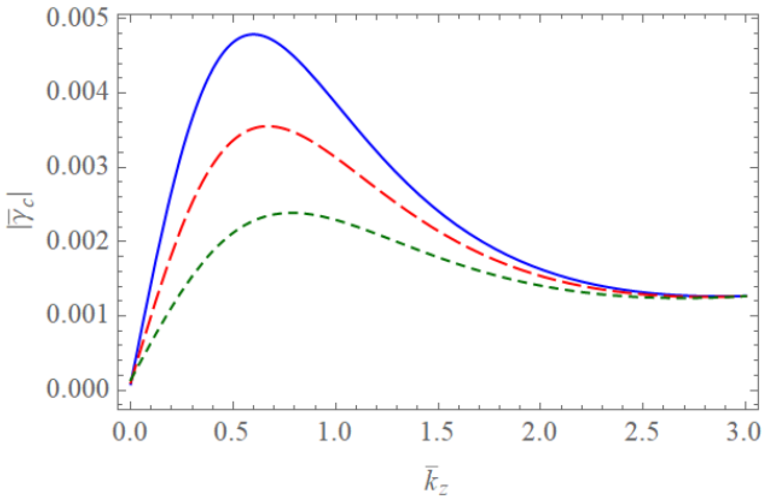
4. Discussion
5. Summary
Author Contributions
Funding
Institutional Review Board Statement
Informed Consent Statement
Data Availability Statement
Acknowledgments
Conflicts of Interest
References
- Kaw, P.K. Surface Waves on a Plasma Half-Space. Phys. Fluids 1970, 13, 1784–1790. [Google Scholar] [CrossRef]
- Gradov, O.; Stenflo, L. Linear theory of a cold bounded plasma. Phys. Rep. 1983, 94, 111–137. [Google Scholar] [CrossRef]
- Whitham, G.B. Linear and Nonlinear Waves; Wiley: New York, NY, USA, 1999; pp. 209–262. [Google Scholar]
- Davidson, R.C. Methods in Nonlinear Plasma Theory; Academic Press: New York, NY, USA, 1972; pp. 54–129. [Google Scholar]
- Alexandrov, A.F.; Bogdankevich, L.S.; Rukhadze, A.A. Principles of Plasma Electrodynamics; Springer: Berlin/Heidelberg, Germany, 1984; pp. 308–309. [Google Scholar]
- Lee, M.-J.; Jung, Y.-D. Ion-driven instabilities of surface dust ion-acoustic waves in bounded plasma devices. Plasma Sources Sci. Technol. 2018, 27, 025010. [Google Scholar] [CrossRef]
- Lee, M.-J.; Takahashi, K.; Jung, Y.-D. Unstable electrostatic surface waves in a turbulent plasma containing streaming ions: Transverse truncation approach. Plasma Sources Sci. Technol. 2019, 29, 015007. [Google Scholar] [CrossRef]
- Aliev, Y.M.; Schlüter, H.; Shivarova, A. Guided-Wave-Produced Plasmas; Springer: Berlin/Heidelberg, Germany, 2000; pp. 49–50. [Google Scholar]
- Miyamoto, K. Plasma Physics for Controlled Fusion; Springer: Berlin/Heidelberg, Germany, 2016; pp. 110–115. [Google Scholar]
- Hasegawa, A. Plasma Instabilities and Nonlinear Effects; Springer: Berlin/Heidelberg, Germany, 1975; pp. 99–106. [Google Scholar]
- Semenov, V.E.; Zharova, N.A.; Anderson, D.; Lisak, M.; Puech, J. Simulations of multipactor in circular waveguides. Phys. Plasmas 2010, 17, 123503. [Google Scholar] [CrossRef]
- Khalil, S.M.; Mousa, N.M. Dispersion characteristics of plasma-filled cylindrical waveguide. J. Theor. Appl. Phys. 2014, 8, 111. [Google Scholar] [CrossRef]
- Girka, I.O.; Girka, O.I.; Thumm, M. Azimuthal surface waves in cylindrical metal waveguides partially filled by magnetoactive plasma: Analysis of energy transfer. Phys. Plasmas 2020, 27, 062108. [Google Scholar] [CrossRef]
- Shokri, B.; Rukhadze, A.A. Electrodynamics of Conducting Dispersive Media; Springer: Cham, Switzerland, 2019; pp. 227–339. [Google Scholar]
- Krall, N.A.; Trivelpiece, A.W. Principles of Plasma Physics; McGraw-Hill: New York, NY, USA, 1973; pp. 173–175. [Google Scholar]
- Zhang, K.-Z.; Xue, J.-K. Streaming instability in bounded three-component quantum plasmas. Phys. Plasmas 2010, 17, 32113. [Google Scholar] [CrossRef]
- Lee, M.-J.; Jung, Y.-D. Characteristics of Nonthermal Dupree Diffusion on Space-Charge Wave in a Kappa Distribution Plasma Column with Turbulent Diffusion. Entropy 2020, 22, 257. [Google Scholar] [CrossRef] [PubMed]
- Wyld, H.W. Mathematical Methods for Physics; Perseus Books: Reading, UK, 1999; pp. 139–141. [Google Scholar]
- Ramazanov, T.S.; Dzhumagulova, K.N.; Gabdullin, M.T. Effective potentials for ion-ion and charge-atom interactions of dense semiclassical plasma. Phys. Plasmas 2010, 17, 42703. [Google Scholar] [CrossRef]
- Akbari-Moghanjoughi, M. Quantized plasmon excitations of electron gas in potential well. Phys. Plasmas 2019, 26, 012104. [Google Scholar] [CrossRef]
- Akbari-Moghanjoughi, M.; Eliasson, B.E. Quantum Faraday excitations in degenerate electron-ion plasma. Phys. Scr. 2019, 95, 045604. [Google Scholar] [CrossRef]












Publisher’s Note: MDPI stays neutral with regard to jurisdictional claims in published maps and institutional affiliations. |
© 2021 by the authors. Licensee MDPI, Basel, Switzerland. This article is an open access article distributed under the terms and conditions of the Creative Commons Attribution (CC BY) license (https://creativecommons.org/licenses/by/4.0/).
Share and Cite
Lee, M.-J.; Jung, Y.-D. Symmetric and Anti-Symmetric Damping Modes of Trivelpiece–Gould Waves in Weakly and Completely Ionized Plasma Waveguides. Symmetry 2021, 13, 699. https://doi.org/10.3390/sym13040699
Lee M-J, Jung Y-D. Symmetric and Anti-Symmetric Damping Modes of Trivelpiece–Gould Waves in Weakly and Completely Ionized Plasma Waveguides. Symmetry. 2021; 13(4):699. https://doi.org/10.3390/sym13040699
Chicago/Turabian StyleLee, Myoung-Jae, and Young-Dae Jung. 2021. "Symmetric and Anti-Symmetric Damping Modes of Trivelpiece–Gould Waves in Weakly and Completely Ionized Plasma Waveguides" Symmetry 13, no. 4: 699. https://doi.org/10.3390/sym13040699
APA StyleLee, M.-J., & Jung, Y.-D. (2021). Symmetric and Anti-Symmetric Damping Modes of Trivelpiece–Gould Waves in Weakly and Completely Ionized Plasma Waveguides. Symmetry, 13(4), 699. https://doi.org/10.3390/sym13040699

