Next Article in Journal
Privacy Amplification Strategies in Sequential Secret Key Distillation Protocols Based on Machine Learning
Previous Article in Journal
A New Aggregated Multi-Criteria Approach for Evaluation of the Autonomous Metro Systems’ Performance in the European Countries
Previous Article in Special Issue
An Improved SVM-Based Air-to-Ground Communication Scenario Identification Method Using Channel Characteristics
 
 
Font Type:
Arial Georgia Verdana
Font Size:
Aa Aa Aa
Line Spacing:
Column Width:
Background:
Article

Analysis and Design of Enhanced Distributed Fountain Codes in Multiple Access Networks with Cooperative Relay

1
Jiangsu Key Laboratory of Wireless Communications, Nanjing University of Posts and Telecommunications, Nanjing 210003, China
2
Engineering Research Center of Health Service System Based on Ubiquitous Wireless Networks, Nanjing University of Posts and Telecommunications, Ministry of Education, Nanjing 210003, China
3
College of Physics, Nanjing University of Aeronautics and Astronautics, Nanjing 211106, China
*
Author to whom correspondence should be addressed.
Symmetry 2022, 14(10), 2026; https://doi.org/10.3390/sym14102026
Submission received: 31 August 2022 / Revised: 20 September 2022 / Accepted: 21 September 2022 / Published: 27 September 2022
(This article belongs to the Special Issue Propagation Model Driven Spectrum Twin and Its Applications)

Abstract

Distributed fountain coding plays an important role in rateless code research. The reliability and effectiveness of these coding schemes are increasingly challenged with the growing applications. In this paper, a novel multiple-access network with cooperative relay is presented, and a novel enhanced distributed fountain coding scheme for this network is proposed. The overall degree distributions are derived, and the asymptotic decoding performance is analyzed theoretically by employing the And-Or tree method. On this basis, a design method using joint iterative optimization algorithms is proposed to optimize the degree distributions of the sources and relays. Simulation results show that the proposed enhanced distributed fountain codes outperform the existing generalized distributed fountain codes (GDFC) and have a good performance on both lossless and lossy channels. It reveals that the proposed codes can provide unequal error protection (UEP) property for different sources by introducing the extra cooperative relay. The performance improvement is not restricted to the sources connected to the cooperative relay but applies to all sources. With the additional relay, the proposed codes are able to overcome the effects of bad channel conditions caused by terrain, obstacles, and so on, to avoid communication interruptions and improve the reliability of the network.

1. Introduction

Multi-access single-relay networks are typical access networks frequently used in multi-user communications. They generally consist of multiple source nodes, a single relay node, and a single destination node, also known as distributed networks [1,2,3]. Each source node connects to a common relay node and communicates with the destination node through it. Fountain coding for distributed networks can be represented by two-layer concatenated fountain codes. Firstly, each source node performs the first-layer fountain coding on its original information symbols according to the degree distribution, and then sends them to the relay node. Secondly, the relay node performs the second-layer fountain coding by using the network coding method and sends the encoded symbols to the destination node, rather than simply amplifying and forwarding. Finally, at the destination node, the overall degree distribution of the received symbols can be considered a composite function of the degree distributions of the two-layer fountain codes [4,5]. With a carefully designed overall degree distribution, the destination node is guaranteed to be able to decode efficiently using a belief propagation (BP) decoder [6,7].
Distributed fountain coding is an important area in fountain code research. Many researchers have focused on the coding methods [8,9], performance analysis [4,10], and degree distribution design [10,11,12] of distributed fountain codes, aiming to improve the performance and apply them to more network types [13,14,15]. In [1], a distributed fountain coding scheme named DLT (distributed Luby transform) codes was proposed for multiple source networks. By using the deconvolution of robust soliton distribution (RSD) at each source, the resulting bit stream has a degree distribution approximating that of an LT code and has good performance on erasure channels. In [6,16], two novel distributed rateless coding schemes and the corresponding analysis methods were proposed, respectively. Both of them can provide the unequal error protection (UEP) property. A novel generic fountain coding scheme named generalized distributed fountain codes (GDFC) for multiple access networks was proposed and developed in [5,12], which can be applied to several instances and provide strong UEP property across sources. The authors in [17] proposed a new relay combining scheme for DLT codes, which improves the error floor performance of DLT codes over additive white Gaussian noise (AWGN) channels. In [18], the authors proposed an efficient fountain coding scheme with a memory-based strategy to enhance the performance of the Y-network topology in 5G and 6G networks, which can achieve better performance than regular LT codes. A rateless two-way multiply-and-forward relaying system on Rayleigh fading channels was proposed in [19], which outperforms the amplify-and-forward relay scheme with optimized degree distributions. In [20], the authors proposed an opportunistic decoding and recoding mechanism with a coordinative routing algorithm for fountain codes in multi-hop wireless sensor networks, which is superior to the existing opportunistic routing-based fountain coding schemes. The authors in [21] proposed an edge caching scheme in vehicular networks using fountain codes, which can improve the transmission efficiency and successful acquisition rate.
Rateless codes have attracted much attention for their good channel adaptability and have been increasingly used in various communication systems. For example, in [22,23], rateless codes were used in 5G networks and can meet the requirement of ultra-reliable low-latency communications (uRLLC); in [24], a fountain-code-based forward error correction (FEC) technique was used in wireless sensor networks and can extend the network lifetime while decreasing the energy consumption and frame error rates as compared to the automatic repeat request (ARQ) technique; in [25], a rateless-code-based layer-aligned overlapping structure was proposed to transmit video streaming and was verified for good performance on streaming layered videos. In recent years, cooperative relay communications with rateless coding have attracted more and more attention since they can enhance communication reliability and increase the capacity of networks [26,27,28]. The authors in [29] investigated a cooperative communications scheme in multiple-relay networks using fountain codes, which can reduce transmission time and energy consumption. In [30], a dynamic rateless coded cooperation scheme with incremental redundancy was proposed, and the strict carrier synchronization limitation can be relaxed. In [31], a secure transmission strategy by employing rateless codes at the physical layer in a cooperative system was proposed for Industrialist Internet-of-Things (IIoT) applications, which can provide significant benefits relative to fixed-rate codes in terms of achieving secrecy. The authors in [32] developed a fountain-coded cooperative scheme and proposed a rateless-coded-incremental-relay selection algorithm in clustered machine-to-machine networks. The proposed scheme can significantly improve the end-to-end performance than that of non-cooperative direct transmissions. A hybrid-DLT-assisted cooperative relay communication scheme was designed and analyzed in [33], which can significantly reduce transmission latency and energy consumption.
In a typical multiple-access relay network, multiple source nodes transmit information to a destination node via a common relay node. It requires that all source nodes are connected to the same relay node. However, when there are obstacles blocking the links between the relay and some of the sources, or when an emergency event destroys the connections of some source-relay links, the channel conditions will deteriorate dramatically, and connection interruptions may even occur. In this situation, traditional distributed networks can no longer provide reliable and efficient information transmission. Recently, in some literature, unmanned aerial vehicles (UAVs) have been employed as mobile relays to improve the flexibility and reliability of networks [34,35,36]. In these UAV-assisted relay networks, the line-of-sight (LoS) path is important for air-to-ground (A2G) communications [37]. However, it is difficult to predict the existence of LoS paths because of the random appearance of obstacles. A feasible approach is to model and simulate the channel [38] in order to obtain the channel characteristics for the adjustment and optimization of the transmission scheme, such as symmetry-based spectrum mapping methods and ray tracing methods [39]. Another promising approach is using rateless codes on erasure channel models for higher application layers since rateless codes can adapt to varying channel conditions. Considering that conventional distributed fountain coding in poor channels requires more coded symbols to be sent, which results in high overhead and unacceptable latency, this paper proposes a novel enhanced distributed fountain coding scheme employing a cooperative relay. The main contributions of this paper are summarized as follows:
(1)
A novel multiple-access network with a cooperative relay is proposed. By introducing an enhanced cooperative relay in a distributed network, the coverage of the relays can be extended, and the transmission efficiency and reliability of the network can be improved. Based on this network model, a novel enhanced distributed fountain coding scheme is proposed.
(2)
An improved analysis method is developed to analyze the asymptotic performance of the proposed codes. The expressions of degree distributions are derived and proven. It is shown that there are two kinds of overall degree distributions, corresponding to two source types, respectively. Furthermore, the decoding performance is analyzed theoretically using the And-Or tree method.
(3)
A design method of degree distributions using joint iterative optimization algorithms is proposed. Based on the results of the asymptotic performance analysis, the degree distributions of the sources and relays can be optimized in an iterative way.
(4)
The effectiveness of the proposed enhanced distributed fountain codes is verified by a series of simulations. The degree distributions are validated to be consistent with the analysis and derivation, and the effectiveness of the optimization method is verified. The proposed codes are validated to have a good performance on both lossless and lossy channels through simulations with different parameter settings.
The proposed coding scheme is able to overcome the effects of bad channel conditions caused by terrain, obstacles, and so on to avoid communication interruptions and improve the reliability of the network. With engineering optimization and design, it can be implemented and effectively used in various scenarios such as wireless sensor networks.
The remainder of this paper is organized as follows. Section 2 proposes a novel multiple-access relay network with a cooperative relay. Section 3 proposes a novel enhanced distributed fountain coding scheme. Section 4 develops an analysis method for the asymptotic performance of the proposed coding scheme. Section 5 proposes an optimization design method for degree distributions. The simulation results are provided in Section 6 to validate the performance of the proposed codes. Discussions and comparisons are given in Section 7. Finally, the conclusions are drawn in Section 8.

2. System Model of Multiple-Access Relay Networks with Cooperative Relay

We consider a communication system based on multiple-access relay networks, as shown in Figure 1. Multiple users { S 1 , S 2 , , S n } transmit information to destination D via a common relay R 1 . We assume that the channel conditions of the source-relay links between R 1 and t sources { S n t + 1 , S n t + 2 , , S n } deteriorate dramatically due to obstacles blocking or unexpected damage to the links. In this situation, traditional distributed networks can no longer provide reliable and efficient transmissions. We propose a novel multiple-access multiple-relay network by introducing an additional relay node in a distributed network. The additional relay can be regarded as a cooperative relay to provide enhanced access to certain sources with poor channel conditions. As can be seen from Figure 1, the additional relay is a mobile relay in contrast to a traditional static fixed relay, which can be implemented using drones. It can move to the appropriate locations where the sources with poor link conditions to ensure all sources can be accessed. By making use of a drone as a cooperative relay, this network can provide an additional degree of freedom in terms of movement. As a result, the coverage of the relays can be extended, and the transmission efficiency and reliability of the network can be improved.
Figure 2 shows the multiple-access relay network model with a cooperative relay for the proposed communication system. The proposed network consists of n source nodes { S 1 , S 2 , , S n } , a destination node D , and two relay nodes R 1 and R 2 . We assume that all n sources transmit information to destination through relay R 1 . The links between { S n t + 1 , S n t + 2 , , S n } and R 1 may be in poor channel conditions, so we assume that t sources { S n t + 1 , S n t + 2 , , S n } transmit information to the destination via relay R 2 additionally.

3. Enhanced Distributed Fountain Coding for Multiple-Access Relay Networks with Cooperative Relay

Figure 3 depicts the proposed fountain coding scheme for multiple-access relay networks with cooperative relay shown in Figure 2, named enhanced distributed fountain codes (EDFC). We assume that each source S i includes k i independent information symbols. Source S i performs LT encoding on k i information symbols with degree distribution Φ i ( x i ) = d = 1 k i Φ i , d x i d . The encoded symbols of each source are forwarded to relay R 1 and re-encoded according to degree distribution Γ 1 ( x ) = d = 1 n Γ 1 , d x d , which means that R 1 chooses d encoded symbols from n sources with probability Γ 1 , d according to the probability distribution ( Γ 1 , 1 , Γ 1 , 2 , , Γ 1 , n ) . Moreover, we assume that t sources { S n t + 1 , S n t + 2 , , S n } may be in poor channel conditions, and the encoded symbols from these sources are forwarded to relay R 2 additionally. Then R 2 performs re-encoding on incoming symbols with degree distribution Γ 2 ( x ) = d = 1 t Γ 2 , d x d . The re-encoded symbols from R 1 and R 2 are sent to destination D , which starts to decode using the BP algorithm when it successfully receives sufficient symbols. The entire encoding process can be regarded as a two-layer concatenated fountain code.
We assume that each source generates the same number of encoded symbols, denoted by N . Assuming that the code overhead of source S i is ε i , we have
N = k 1 ( 1 + ε 1 ) = k 2 ( 1 + ε 2 ) = = k n ( 1 + ε n ) = ( 1 + ε ) i = 1 n k i ,
where ε is the overall coding overhead. We divide the transmission of the coded symbols between the source and relay into a number of time slots. In each time slot, each source independently generates a coded symbol and sends it to the relay at the same time. In order to ensure that the relays can receive the coded symbols sent by each source at the same time, each symbol will be stored in buffers of each source-relay link unless it is erased on the erasure channels. The size of each buffer is set to N . At the destination, symbols from both relays are received alternately. We assume that half of the symbols received by the destination come from relay R 1 and the other half from relay R 2 . Similarly, the relay-sink links are set up with similar buffers. In summary, the above coding scheme can be denoted as EDFC ( { Φ i ( x i ) } i = 1 n , { Γ i ( x ) } i = 1 2 , n , t , k i ) .

4. Asymptotic Analysis of Proposed Enhanced Distributed Fountain Codes

4.1. Description of Degree Distributions

The degree distribution is an important parameter in determining the performance of fountain codes. In this section, we will discuss the degree distributions of the proposed EDFC and derive the expressions of the asymptotic performance. We assume that the output node-perspective and edge-perspective degree distribution of source S i are Φ i ( x i ) and ϕ i ( x i ) = Φ i ( x i ) / Φ i i ( 1 ) , respectively. Similarly, we denote Γ i ( x ) and γ i ( x ) = Γ i ( x ) / Γ i ( 1 ) as the output node-perspective and edge-perspective degree distribution of relay R i , respectively. We assume that the input node-perspective and edge-perspective degree distribution of source S i are Λ i ( x i ) and λ i ( x i ) = Λ i ( x i ) / Λ i ( 1 ) , respectively.
In the Tanner graph, the connections between an input symbol and encoded symbols are determined after encoding at the source. The re-encoding at the relay will change the connections of the output symbols in the Tanner graph but will not affect the connections of the input symbols. In other words, the re-encoding of the relay will change the output degree distribution of each source but will have no effect on the input degree distribution of each source. Therefore, the input degree distribution Λ i ( x i ) still follows a binomial distribution [4,40]. As n goes to infinity, the input degree distribution approaches a Poisson distribution asymptotically as follows
Λ i x i = λ i x i = exp α i 1 x i
where α i is the average input degree of source S i .
In point-to-point communication systems, the degree distribution of an LT code is usually a unary function. This is because all the input (or output) nodes follow only one degree distribution, and their degree distribution characteristics can be completely described by a unary function. In the multiple-access relay network with cooperative relay shown in Figure 2 and Figure 3, there are differences among the sources. The number of information symbols k i can be different for each source, and different degree distributions can be chosen for encoding. Therefore, the resulting degree distribution seen at the destination cannot be represented by a univariate function. In this case, we can introduce multivariate functions and use multivariate degree distributions to describe the overall degree distributions.
Lemma 1.
Let source S i perform LT encoding with output degree distribution Φ i ( x i ) = d = 1 k i Φ i , d x i d , relay R 1 and R 2 perform re-encoding with output degree distribution Γ 1 ( x ) = d = 1 n Γ 1 , d x d and Γ 2 ( x ) = d = 1 t Γ 2 , d x d , respectively. The overall output degree distribution of source S i for EDFC is as follows:
Ω i ( x ) = Ω i ( x 1 , x 2 , , x n ) = Γ 1 1 n j = 1 n Φ j x j , 1 i n t 1 2 Γ 1 1 n j = 1 n Φ j x j + 1 2 Γ 2 1 t j = n t + 1 n Φ j x j , n t + 1 i n
Proof. 
As shown in Figure 2, the multiple-access relay network with a cooperative relay can be regarded as consisting of two distributed networks: One is with sources { S 1 , S 2 , , S n } , relay R 1 , and destination D ; the other one is with sources { S n t + 1 , S n t + 2 , , S n } , relay R 2 , and destination D . According to [5], the resulting output node-perspective degree distribution of a distributed network is a composition of the degree distributions of sources and relays. Therefore, the overall output degree distribution of these two networks is Γ 1 j = 1 n Φ j ( x j ) / n and Γ 2 j = n t + 1 n Φ j ( x j ) / t , respectively.
Since only part of the sources are connected to R 2 , the overall degree distribution of these sources is different from that of the sources only connected to R 1 , so we discuss the overall degree distribution in two cases:
  • Case 1: Sources are connected to relay R 1 only. Obviously, the overall degree distribution of these sources is Γ 1 j = 1 n Φ j ( x j ) / n .
  • Case 2: Sources are connected to relay R 1 and R 2 simultaneously. The encoded symbols from both relays are received alternately at the destination. We assume that half of these received symbols are from relay R 1 and the other half from relay R 2 . Then, the overall degree distribution of these sources can be expressed as 1 2 Γ 1 j = 1 n Φ j ( x j ) / n + 1 2 Γ 2 j = n t + 1 n Φ j ( x j ) / t . □

4.2. Asymptotic Analysis of Decoding Performance

In the proposed EDFC shown in Figure 3, the destination starts decoding when it receives enough symbols and recovers the source information. The destination can treat the two-layer fountain coding process of the sources and relays as equivalent to a single-layer fountain code and performs decoding using the BP algorithm. The asymptotic performance of EDFC can also be analyzed theoretically using the And-Or tree method [4,16]. We can obtain the following lemma.
Lemma 2.
For EDFC with a BP decoder used at destination, the unrecovered rate of source S i converges to y i = lim l y i , l as k i , where y i , l is expressed as follows:
when 1 i n t ,
y i , l = 1 , l = 0 exp 1 n ( 1 + ε i ) Φ i 1 y i , l 1 Γ 1 1 n j = 1 n Φ j 1 y j , l 1 , l 1
when n t + 1 i n ,
y i , l = 1 , l = 0 exp ( 1 + ε i ) 2 Φ i 1 y i , l 1 1 n Γ 1 1 n j = 1 n Φ j 1 y j , l 1 + 1 t Γ 2 1 t j = n t + 1 n Φ j 1 y j , l 1 , l 1
where l is the number of decoding iterations.
Proof. 
The destination can regard the two-layer fountain coding process of the sources and relays as a single-layer fountain code. According to [4], the unrecovered rate of source S i can be represented by
y i , l = 1 , l = 0 exp 1 + ε i Ω i ( x ) x i 1 y i , l 1 , l 1
which can be regarded as the unrecovered rate of a single-layer fountain code. By substituting the overall degree distribution in Lemma 1 into (6), we can derive the asymptotic performance of S i in the following two cases.
  • Case 1: The source S i is connected to relay R 1 only. The partial derivative of Ω i x can be calculated as
    Ω i x x i = 1 n Φ i x i Γ 1 1 n j = 1 n Φ j x j .
    The average output degree β i is the partial derivative of Ω i x at x = 1 as follows
    β i = Ω i x x i x = 1 = 1 n Φ i ( 1 ) Γ 1 ( 1 ) .
    The average input degree α i can be represented by
    α i = ( 1 + ε i ) β i = j = 1 n k j n k i ( 1 + ε ) Φ i ( 1 ) Γ 1 ( 1 ) .
    Thus, the edge-perspective degree distribution of Ω i x can be expressed as
    ω i x = Ω i x x i / Ω i x x i x = 1 = ϕ i x i γ 1 1 n j = 1 n Φ j x j .
    By substituting (7) into (6), we can obtain the expression of asymptotic performance in (4).
  • Case 2: The source S i is connected to relay R 1 and R 2 simultaneously. From Lemma 1, the partial derivative of Ω i x can be calculated as follows
    Ω i x x i = Φ i x i 2 1 n Γ 1 1 n j = 1 n Φ j x j + 1 t Γ 2 1 t j = n t + 1 n Φ j x j
    The average output degree β i is the partial derivative of Ω i x at x = 1 as
    β i = Ω i x x i x = 1 = Φ i 1 2 1 n Γ 1 1 + 1 t Γ 2 1 .
    The average input degree α i can be calculated as
    α i = ( 1 + ε i ) β i = j = 1 n k j 2 k i ( 1 + ε ) Φ i 1 1 n Γ 1 1 + 1 t Γ 2 1 .
    The edge-perspective degree distribution can be expressed as
    ω i x = Ω i x x i / Ω i x x i x = 1 = ϕ i x i 1 n Γ 1 1 n j = 1 n Φ j x j + 1 t Γ 2 1 t j = n t + 1 n Φ j x j 1 n Γ 1 1 + 1 t Γ 2 1
    Finally, by substituting (11) into (6), we can obtain the expression of asymptotic performance in (5). □

5. Optimization Design of Degree Distributions for Proposed Enhanced Distributed Fountain Codes

The performance of the proposed EDFC is determined by its degree distributions. By using well-designed degree distributions at the sources and relays, the symbols received by the destination can be made to follow a Soliton-like distribution while maintaining a low coding complexity. In this section, a joint optimization method based on Lemma 2 will be presented to optimize the degree distributions Φ i ( x i ) and Γ i ( x ) .
According to Lemma 2, for source S i , the decoding process must be convergent to ensure successful decoding. That is, the decoding failure probability y i , l 0 when the iteration number l , where y i , l ( 0 , 1 ] . This requires that the decoding failure probability must decrease as the number of decoding iterations increases, i.e., y i , l y i , l 1 . This is an important basis for the optimization of degree distributions and can be used as an inequality constraint for the optimization equations.

5.1. Optimization of the Relays

We assume that a robust soliton distribution RSD ( k i , c i , ν i ) can be used as an initial degree distribution of source S i , where k i represents the data block length, c i is a constant, and ν i is the allowable failure probability.
For relay R 1 and R 2 , the objective of the optimization is to achieve the desired decoding failure probability δ while minimizing the overall overhead 1 + ε . By substituting (13) into (1), we can obtain the code overhead as follows
1 + ε = 2 α i k i Φ i 1 1 n Γ 1 1 + 1 t Γ 2 1 j = 1 n k j
which can be regarded as the objective function. By substituting (5) into the decoding convergence condition y i , l y i , l 1 , we can obtain
α i ϕ i 1 y i , l 1 1 n Γ 1 1 n j = 1 n Φ j 1 y j , l 1 + 1 t Γ 2 1 t j = n t + 1 n Φ j 1 y j , l 1 1 n Γ 1 ( 1 ) + 1 t Γ 2 ( 1 ) ln ( y i , l 1 )
Let δ be the maximum value of the allowable decoding failure probability and z i = 1 y i , l 1 , then we have z i [ 0 , 1 δ ] . To calculate the inequality condition in (16), we can divide the interval [ 0 , 1 δ ] into m 1 equally spaced subintervals. z i , 1 , z i , 2 , , z i , m are m equidistant points on [ 0 , 1 δ ] , and satisfy the condition 0 = z i , 1 < z i , 2 < < z i , m = 1 δ . The inequality in (16) must be satisfied on each equidistant point, that is
ϕ i z i , p 1 n Γ 1 1 n j = 1 n Φ j z j , p + 1 t Γ 2 1 t j = n t + 1 n Φ j z j , p 1 n Γ 1 ( 1 ) + 1 t Γ 2 ( 1 ) ln ( 1 z i , p ) α i ,     p = 1 , 2 , , m
which can be regarded as an inequality constraint. Therefore, the optimization equation of relay can be expressed as follows
min Γ 1 , Γ 2 2 α i k i Φ i ( 1 ) 1 n Γ 1 ( 1 ) + 1 t Γ 2 ( 1 ) j = 1 n k j s . t . 1 n Γ 1 1 n j = 1 n Φ j z j , p + 1 t Γ 2 1 t j = n t + 1 n Φ j z j , p 1 n Γ 1 ( 1 ) + 1 t Γ 2 ( 1 ) ln 1 z i , p α i ϕ i z i , p 0 , p = 1 , 2 , , m d = 1 n Γ 1 , d = 1 d = 1 t Γ 2 , d = 1 0 Γ 1 , d 1 , d = 1 , 2 , , n 0 Γ 2 , d 1 , d = 1 , 2 , , t

5.2. Optimization of the Sources

Similar to the analysis of degree distribution and asymptotic performance, the optimization of the sources will be discussed in the following two cases.
  • Case 1: When 1 i n t , the source S i is connected to relay R 1 only. For source S i , the objective of the optimization is to achieve the desired decoding failure probability δ while minimizing the overall overhead 1 + ε . By substituting (9) into (1), we can obtain the code overhead as follows
    1 + ε = n α i k i Φ i ( 1 ) Γ 1 ( 1 ) j = 1 n k j
    which can be used as the objective function. By substituting (4) into y i , l y i , l 1 , we can obtain
    α i ϕ i 1 y i , l 1 γ 1 1 n j = 1 n Φ j 1 y j , l 1 ln ( y i , l 1 )
    The inequality in (20) must be satisfied on all equidistant points z i , 1 , z i , 2 , , z i , m , that is
    ϕ i z i , p γ 1 1 n j = 1 n Φ j z j , p ln ( 1 z i , p ) α i ,     p = 1 , 2 , , m
    The optimization equation of source S i ( 1 i n t ) can be expressed as follows
    min Φ i n α i k i Φ i ( 1 ) Γ 1 ( 1 ) j = 1 n k j s . t . Φ i z i , p Φ i 1 γ 1 1 n j = 1 n Φ j z j , p ln 1 z i , p α i 0 ,   p = 1 , 2 , , m d = 1 k i Φ i , d = 1 0 Φ i , d 1 , d = 1 , 2 , , k i
  • Case 2: When n t + 1 i n , the source S i is connected to relay R 1 and R 2 simultaneously. Similar to the analysis of Case 1, the optimization equation of source S i ( n t + 1 i n ) can be expressed as follows
    min Φ i 2 α i k i Φ i ( 1 ) 1 n Γ 1 ( 1 ) + 1 t Γ 2 ( 1 ) j = 1 n k j s . t . Φ i z i , p 1 n Γ 1 1 n j = 1 n Φ j z j , p + 1 t Γ 2 1 t j = n t + 1 n Φ j z j , p Φ i ( 1 ) 1 n Γ 1 ( 1 ) + 1 t Γ 2 ( 1 ) ln 1 z i , p α i 0 , p = 1 , 2 , , m d = 1 k i Φ i , d = 1 0 Φ i , d 1 , d = 1 , 2 , , k i

5.3. Joint Iterative Optimization of Degree Distributions

The above optimization of sources and relays can be performed in a joint and iterative way. The detailed joint iterative optimization process is as follows:
  • Choose a robust soliton distribution RSD ( k i , c i , ν i ) as the initial value of degree distribution Φ i ( x i ) of source S i ;
  • Fix the degree distribution of each source, and optimize degree distributions Γ 1 ( x ) and Γ 2 ( x ) of the relays with (18);
  • Fix the degree distributions Γ 1 ( x ) and Γ 2 ( x ) obtained from step 2, then optimize degree distribution Φ i ( x i ) of source S i ( 1 i n t ) with (22) and optimize degree distribution Φ i ( x i ) of source S i ( n t + 1 i n ) with (23);
  • Repeat steps 2 and 3 until the degree distributions meet the specified requirements.

6. Simulation Results

In this section, simulations will be evaluated to validate the performance on both lossless and lossy channels and verify the asymptotic analysis of the proposed EDFC. The comparison between EDFC and the existing distributed fountain coding scheme GDFC in [5] will also be performed.

6.1. Degree Distributions

For a two-source network with n = 2 and t = 1 , we assume that each source uses RSD ( k , c , ν ) as its degree distribution Φ i ( x i ) with the same parameters k = 100 , c = 0.9 , and ν = 0.5 . The degree distributions of relays are set up as Γ 1 ( x ) = 0.8 x + 0.2 x 2 and Γ 2 ( x ) = x . Figure 4a,b compare the theoretical overall degree distributions Ω i ( x ) and the actual overall degree distributions obtained from the simulations, and Figure 4c depicts the absolute values of errors between them. Since the values of degree distribution are mainly located at small degrees, we only depict the distributions for degrees below 50. As shown in Figure 4, the actual overall degree distributions are basically the same as the theoretical ones. The errors between them are less than 3 × 10−4, and the mean square errors of Ω 1 ( x ) and Ω 2 ( x ) are 3.67 × 10−7 and 2.28 × 10−7, respectively. It reveals that the simulated overall degree distributions are consistent with the theoretical ones, which verifies the analysis and derivation in Section 4.1.
Setting m = 1000 , δ = 0.01 , and initial degree distribution RSD(100, 0.9, 0.5) for each source, Table 1 shows the optimized degree distributions for different values of source number n by using the joint iterative optimization method in Section 5 with only one iteration. Note that Φ 2 ( x 2 ) = Φ 3 ( x 3 ) when source number n = 3 , and Φ 1 ( x 1 ) = Φ 2 ( x 2 ) , Φ 3 ( x 3 ) = Φ 4 ( x 4 ) when n = 4 . For simplicity, we only give the values greater than 0.005 in Table 1.

6.2. Performance on Lossless Source-Relay and Relay-Destination Links

We now consider the simple case where no symbols are erased on each source-relay and relay-destination link. Figure 5 shows the theoretical asymptotic bit error rate (BER) performance before and after the optimization when the source number n = 3 . Note that the theoretical BER of source S 2 and S 3 are identical since they have the same connection and the same degree distribution. As shown in Figure 5, it indicates that after the optimization, the BER performance is improved significantly, which verifies the effectiveness of the optimization. For example, when the overall overhead ε = 0.2 , the BER of S 1 is approximately 1/3 of that before optimization and the BER of S 2 and S 3 is approximately 1/20 of that before optimization. Furthermore, we compare the theoretical BER with the simulated finite-length BER of k = 100 using optimized degree distributions for n = 3 in Table 1. It reveals that the simulated BER is consistent with asymptotic BER as the code overhead increases, which verifies the correctness of the optimization method in Section 5. In addition, Figure 5 shows that the BER performance of sources connected to the cooperative relay is improved, whereby the UEP property is obtained by EDFC.
Figure 6 and Figure 7 compare the performance of EDFC with GDFC [5] in two-source and four-source networks, respectively. The optimized degree distributions in Table 1 are both used for simulations of these two coding schemes. In a four-source network, source S 1 and S 2 have similar performances, as do S 3 and S 4 . Therefore, for simplicity, we only plot the simulated BER curves for S 1 and S 3 in Figure 7. It reveals that EDFC outperforms GDFC both in two-source and four-source networks, and the performance benefit is not restricted to the sources connected to the cooperative relay but applies to all sources in the network. For example, in Figure 6, when the overall overhead ε = 0.3 , the BER of S 1 for EDFC is approximately 1/25 of that for GDFC, and the BER of S 2 for EDFC is approximately 1/150 of that for GDFC. The reason is that EDFC has an additional cooperative relay, which enhances the performance of the source connected to it. Moreover, as a result of the involvement of the cooperative relay, the number of output symbols with degree 1 grows in the Tanner graph, which can increase the decoding success rate of the Tanner graph. Thus, an improvement of the overall performance is obtained.

6.3. Performance on Lossy Source-Relay and Relay-Destination Links

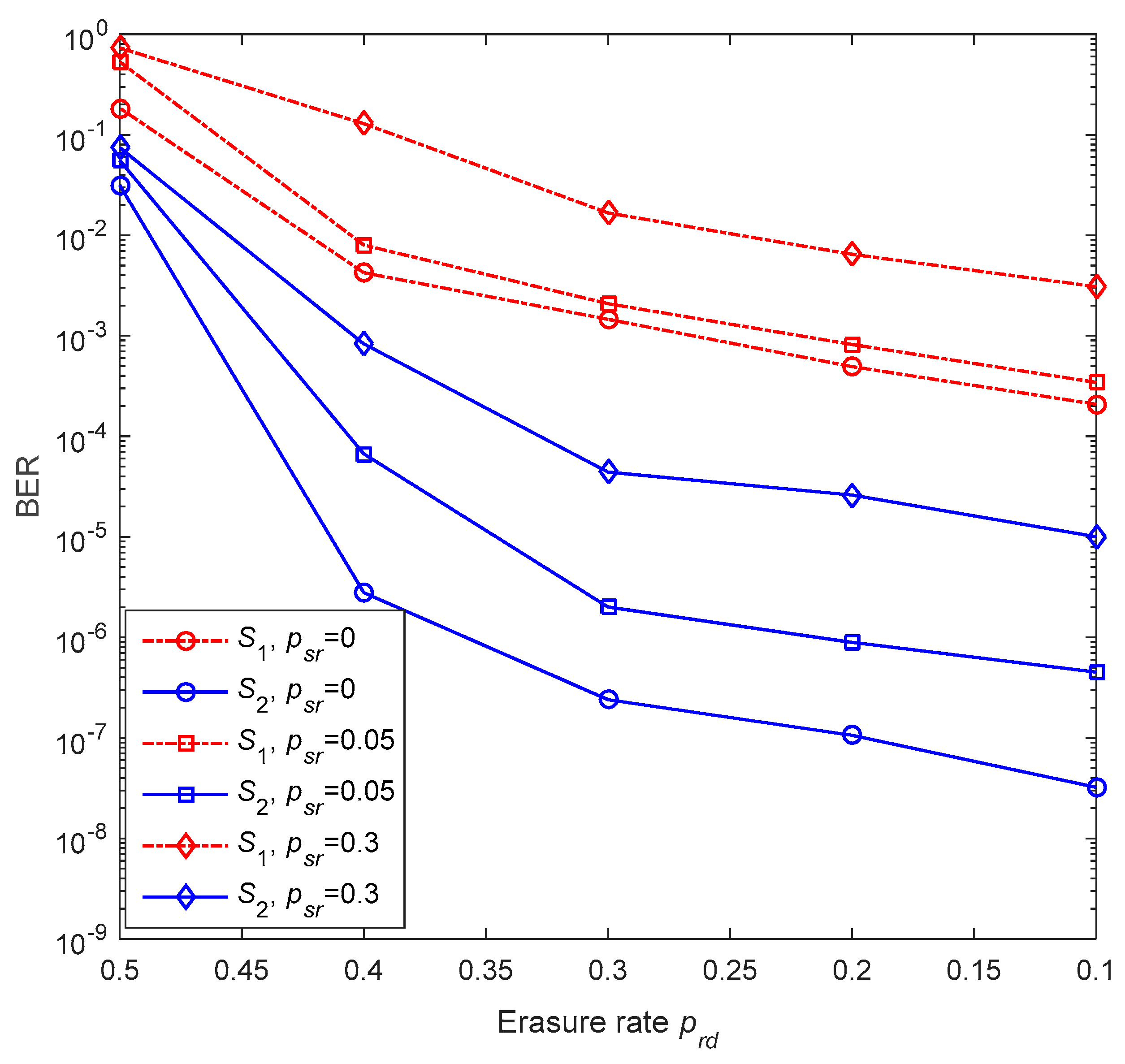
In this subsection, we consider the lossy channels, in which both source-relay and relay-destination links have erasures. We assume that each source-relay link has the same erasure probability p s r , and each relay-destination link has the same erasure probability p r d . Setting n = 2 , k = 1000 , ε = 1 , and using the optimized degree distributions in Table 1, Figure 8 shows the BER performance of EDFC versus the relay-destination erasure rate p r d for different source-relay erasure probabilities p s r . It reveals that EDFC suffers performance degradation with the increase in p s r and p r d . The BER performance is similar to the lossless case for p s r = 0 and the small erasure rate p s r = 0.05 . Due to the involvement of the extra cooperative relay, it is still possible for EDFC to provide good performance for each source at a moderate erasure probability such as p s r = 0.3 . For example, when p r d = 0.3 and p s r = 0.3 , the BER of S 2 can still be as low as 4.3 × 10 5 . The simulation results reveal that EDFC can reduce the impact of obstacles blocking or burst errors of the channels and provide enhanced protection for lossy channels. It also can provide the UEP property for different sources and improve the overall performance.

7. Results and Discussions

The complexity of the encoder and decoder of the proposed EDFC is analyzed in this section. For the simplicity of analysis, we assume that each source has the same block length k . The complexity of the encoder mainly depends on the average degree of the distribution. According to [41,42], the encoding and BP decoding complexity of point-to-point LT codes are O ln ( k ) and O k ln 2 ( k ) , respectively. For EDFC with n sources, the encoding complexity of sources, relay R 1 , and relay R 2 are O n ln ( k ) , O ln ( n ) , and O ln ( t ) , respectively. The complexity of the BP decoder at the destination can be represented by O n k ln 2 ( n k ) .
In Table 2, we briefly compare the advantages and disadvantages of the proposed EDFC with three existing methods: Decode-and-forward (DF), DLT, and GDFC. In contrast to the existing methods, EDFC innovatively introduces an extra cooperative relay in a distributed network to solve the problem of connection interruptions. Simulation results show that EDFC has better BER performance on both lossless and lossy channels. It is able to provide an enhanced UEP property and improve the reliability of the networks. The disadvantages of EDFC are the hardware costs due to the additional relay and the increased complexity due to optimization.
The novel multiple-access network with a cooperative relay proposed in this paper is suitable to be used in wireless sensor networks. When some of the source-relay channels are in poor conditions and the sensor data cannot be collected, a drone can be used as a mobile cooperative relay and flies to a specified location to collect sensor data. Since both sensors and drones are energy-restricted devices that cannot perform high-complexity computational tasks for long periods of time, it is necessary to study how to reduce the complexity of EDFC in the future.

8. Conclusions

In this paper, we presented a novel multiple-access network with a cooperative relay and proposed a novel enhanced distributed fountain coding scheme based on it. Moreover, we derived the overall degree distributions and analyzed the decoding performance of the proposed EDFC asymptotically by employing the And-Or tree method. Furthermore, we proposed a design method of degree distributions using joint iterative optimization algorithms. Simulation results show that the proposed EDFC obtains better BER performance than the existing GDFC on lossless channels. Moreover, EDFC is able to obtain a good performance at a moderate erasure probability, such as BER = 4.3 × 10 5 when p r d = 0.3 and p s r = 0.3 . It reveals that the introduction of an extra cooperative relay will not only improve the performance of the sources connected to this cooperative relay but will also enhance the overall performance for all sources and provide a UEP property for different sources. With the additional cooperative relay, EDFC is able to overcome the effects of bad channel conditions caused by terrain, obstacles, and so on to avoid communication interruptions and improve the reliability of the network. In the future, we will study the application of EDFC in wireless sensor networks and consider dynamic network models where cooperative relays are movable and investigate feasible fountain coding schemes.

Author Contributions

Conceptualization, H.S. and H.Z.; methodology, H.S. and J.B.; software, H.S. and J.B.; investigation, H.S. and H.Z.; writing—original draft preparation, H.S.; writing—review and editing, H.S.; funding acquisition, H.S. and H.Z. All authors have read and agreed to the published version of the manuscript.

Funding

This research was funded in part by the National Natural Science Foundation of China (Grants No. 92067201, 61871446), in part by the Jiangsu Provincial Key Research and Development Program (Grants No. BE2020084-1, BE2020084-3), and in part by the NUPTSF (Grants No. NY215031, NY217032).

Institutional Review Board Statement

Not applicable.

Informed Consent Statement

Not applicable.

Data Availability Statement

Not applicable.

Acknowledgments

The authors are thankful to anonymous reviewers for their instructive reviewing of the manuscript.

Conflicts of Interest

The authors declare no conflict of interest.

References

  1. Puducheri, S.; Kliewer, J.; Fuja, T.E. The design and performance of distributed LT codes. IEEE Trans. Inform. Theory 2007, 53, 3740–3754. [Google Scholar] [CrossRef]
  2. Yang, H.; Jiang, M.; Shen, H.; Zhao, C. A distributed LT code design for multiple-access relay networks subject to erasures. IEEE Commun. Lett. 2015, 19, 509–512. [Google Scholar] [CrossRef]
  3. Liao, J.; Zhang, L.; Li, T.; Wang, J.; Qi, Q. A generalized design of distributed rateless codes with decreasing ripple size for multiple-access relay networks. Wirel. Netw. 2017, 23, 2177–2188. [Google Scholar] [CrossRef]
  4. Sejdinović, D.; Piechocki, R.J.; Doufexi, A. AND-OR tree analysis of distributed LT codes. In Proceedings of the 2009 IEEE Information Theory Workshop on Networking and Information Theory, Volos, Greece, 12–10 June 2009; pp. 261–265. [Google Scholar]
  5. Shao, H.; Xu, D.; Zhang, X. Asymptotic analysis and optimization for generalized distributed fountain codes. IEEE Commun. Lett. 2013, 17, 988–991. [Google Scholar] [CrossRef]
  6. Sejdinović, D.; Piechocki, R.; Doufexi, A.; Ismail, M. Decentralised distributed fountain coding: Asymptotic analysis and design. IEEE Commun. Lett. 2010, 14, 42–44. [Google Scholar] [CrossRef]
  7. Shao, H.; Zhu, H.; Bao, J. Analysis and Design of Wireless Distributed Fountain Codes with Multiplicative Network Coding. In Proceedings of the 5th Machine Learning and Intelligent Communications (MLICOM 2020), Shenzhen, China, 26–27 September 2020; pp. 250–264. [Google Scholar]
  8. Shang, L.; Perrins, E. Optimal Memory Order of Memory-Based LT Encoders for Finite Block-Length Codes over Binary Erasure Channels. IEEE Trans. Commun. 2019, 67, 875–889. [Google Scholar] [CrossRef]
  9. Okpotse, T.; Yousefi, S. Systematic Fountain Codes for Massive Storage Using the Truncated Poisson Distribution. IEEE T. Commun. 2019, 67, 943–954. [Google Scholar] [CrossRef]
  10. Song, X.; Cheng, N.; Liao, Y.; Ni, S.; Lei, T. Design and Analysis of LT Codes with a Reverse Coding Framework. IEEE Access 2021, 9, 116552–116563. [Google Scholar] [CrossRef]
  11. Deng, D.; Xu, D.; Xu, S. Optimisation design of systematic LT codes over AWGN multiple access channel. IET Commun. 2018, 12, 1351–1358. [Google Scholar] [CrossRef]
  12. Shao, H.; Xu, D.; Zhang, X. The design and analysis of unequal error protection fountain coding for multiple source networks over binary erasure channels. Sci. China Inf. Sci. 2014, 57, 1–9. [Google Scholar] [CrossRef]
  13. Chen, S.; Effros, M.; Kostina, V. Lossless Source Coding in the Point-to-Point, Multiple Access, and Random Access Scenarios. IEEE T. Inform. Theory 2020, 66, 6688–6722. [Google Scholar] [CrossRef]
  14. Zheng, Z.; Yuan, L.; Fang, F. Performance Analysis of Fountain Coded Non-Orthogonal Multiple Access with Finite Blocklength. IEEE Wirel. Commun. Lett. 2021, 10, 1752–1756. [Google Scholar] [CrossRef]
  15. Monir, A.; Mazen, O.H. A Secrecy Study of UAV Based Networks with Fountain Codes and FD Jamming. IEEE Commun. Lett. 2021, 25, 1796–1800. [Google Scholar]
  16. Talari, A.; Rahnavard, N. Distributed rateless codes with UEP property. In Proceedings of the 2010 IEEE International Symposium on Information Theory, Austin, TX, USA, 13–18 June 2010; pp. 2453–2457. [Google Scholar]
  17. He, J.; Hussain, I.; Li, Y.; Juntti, M.; Matsumoto, T. Distributed LT codes with improved error floor performance. IEEE Access 2019, 7, 8102–8110. [Google Scholar] [CrossRef]
  18. Hayajneh, K.F. Memory-based lt codes for efficient 5g networks and beyond. Electronics 2021, 10, 3169. [Google Scholar] [CrossRef]
  19. Han, W.; Xu, S.; Huang, D.; Xu, C. Analysis and design of rateless two-way relay networks based on a multiply-and-forward scheme. Appl. Sci. 2020, 10, 2389. [Google Scholar] [CrossRef]
  20. Peng, T.; Lambotharan, S.; Zheng, G.; Shikh-Bahaei, M. Opportunistic Fountain Coding with Coordinative Routing. IEEE Wirel. Commun. Lett. 2022, 11, 851–855. [Google Scholar] [CrossRef]
  21. Li, Y.; Du, Q. A Cooperative Multi-RSU Caching Scheme in Vehicular Networks with Fountain Codes. In Proceedings of the 2021 IEEE 32nd Annual International Symposium on Personal, Indoor and Mobile Radio Communications (PIMRC), Helsinki, Finland, 13–16 September 2021; pp. 1445–1450. [Google Scholar]
  22. Wang, F.; Jiao, J.; Li, L.; Zhang, K.; Wu, S.; Zhang, Q. Finite Length Non-Binary Raptor Codes under Ordered Statistics Decoder. In Proceedings of the 2020 IEEE 92nd Vehicular Technology Conference (VTC2020-Fall); IEEE: Victoria, BC, Canada, 2020; pp. 1–5. [Google Scholar]
  23. Zhang, K.; Jiao, J.; Huang, Z.; Wu, S.; Zhang, Q. Finite Block-Length Analog Fountain Codes for Ultra-Reliable Low Latency Communications. IEEE T Commun. 2020, 68, 1391–1404. [Google Scholar] [CrossRef]
  24. Yildiz, H.U. Maximization of Underwater Sensor Networks Lifetime via Fountain Codes. IEEE Trans. Ind. Inf. 2019, 15, 4602–4613. [Google Scholar] [CrossRef]
  25. Hsiao, H.F.; Ciou, Y.J. Layer-Aligned Multipriority Rateless Codes for Layered Video Streaming. IEEE Trans. Circuits Syst. Video Technol. 2014, 24, 1395–1404. [Google Scholar] [CrossRef]
  26. Qin, S.; Feng, G.; Zhang, Y. Capacity bounds of cooperative communications with fountain codes. In Proceedings of the 2010 IEEE Wireless Communication and Networking Conference, Sydney, NSW, Australia, 18–21 April 2010; pp. 1–4. [Google Scholar]
  27. Duy, T.T.; Anpalagan, A.; Kong, H. Multi-hop cooperative transmission using fountain codes over Rayleigh fading channels. J. Commun. Netw.-S. Kor. 2012, 14, 267–272. [Google Scholar] [CrossRef]
  28. Di, X.; Xiong, K.; Fan, P.; Qiu, Z. Cooperative multi-relay transmission for high-speed railway mobile communication system with fountain codes. In Proceedings of the 2013 International Workshop on High Mobility Wireless Communications (HMWC), Shanghai, China, 1–3 November 2013; pp. 63–68. [Google Scholar]
  29. Molisch, A.F.; Mehta, N.B.; Yedidia, J.S.; Zhang, J. Cooperative relay networks using fountain codes. In Proceedings of the IEEE Globecom 2006, San Francisco, CA, USA, 27 November–1 December 2006; pp. 1–6. [Google Scholar]
  30. Xu, K.; Du, Z.; Jiang, B. Dynamic Coded Cooperation with Incremental Redundancy: Throughput and Diversity-Multiplexing Tradeoff Analysis. IEEE Commun. Lett. 2020, 24, 506–509. [Google Scholar] [CrossRef]
  31. Jain, S.; Bose, R. Rateless-Code-Based Secure Cooperative Transmission Scheme for Industrial IoT. IEEE Internet Things. J. 2020, 7, 6550–6565. [Google Scholar] [CrossRef]
  32. Nessa, A.; Kadoch, M.; Rong, B. Fountain Coded Cooperative Communications for LTE-A Connected Heterogeneous M2M Network. IEEE Access 2016, 4, 5280–5292. [Google Scholar] [CrossRef]
  33. Cao, R.; Yang, L. Decomposed LT codes for cooperative relay communications. IEEE J. Sel. Area. Comm. 2012, 30, 407–414. [Google Scholar] [CrossRef]
  34. Mozaffari, M.; Saad, W.; Bennis, M.; Nam, Y.H.; Debbah, M. A Tutorial on UAVs for Wireless Networks: Applications, Challenges, and Open Problems. IEEE Commun. Surv. Tut. 2019, 21, 2334–2360. [Google Scholar] [CrossRef]
  35. Kumar, P.; Singh, P.; Darshi, S.; Shailendra, S. Drone Assisted Network Coded Co-operation. In Proceedings of the TENCON 2019-2019 IEEE Region 10 Conference (TENCON), Kochi, India, 12 December 2019; pp. 1174–1179. [Google Scholar]
  36. Zeng, Y.; Zhang, R.; Lim, T.J. Throughput maximization for UAV-enabled mobile relaying systems. IEEE T. Commun. 2016, 64, 4983–4996. [Google Scholar] [CrossRef]
  37. Zhu, Q.; Bai, F.; Pang, M.; Li, J.; Zhong, W.; Chen, X.; Mao, K. Geometry-Based Stochastic Line-of-Sight Probability Model for A2G Channels Under Urban Scenarios. IEEE T. Antenn. Propag. 2022, 70, 5784–5794. [Google Scholar] [CrossRef]
  38. Zhu, Q.; Li, H.; Fu, Y.; Wang, C.; Tan, Y.; Chen, X.; Wu, Q. A Novel 3D Non-Stationary Wireless MIMO Channel Simulator and Hardware Emulator. IEEE T. Commun. 2018, 66, 3865–3878. [Google Scholar] [CrossRef]
  39. Du, X.; Zhu, Q.; Ding, G.; Li, J.; Wu, Q.; Lan, T.; Lin, Z.; Zhong, W.; Han, L. UAV-assisted three-dimensional spectrum mapping driven by spectrum data and channel model. Symmetry 2021, 13, 2308. [Google Scholar] [CrossRef]
  40. Rahnavard, N.; Vellambi, B.N.; Fekri, F. Rateless codes with unequal error protection property. IEEE T. Inform. Theory 2007, 53, 1521–1532. [Google Scholar] [CrossRef]
  41. Luby, M. LT Codes. In Proceedings of the 43rd Annual IEEE Symposium on Foundations of Computer Science (FOCS); IEEE: Vancouver, BC, Canada, 2002; pp. 271–280. [Google Scholar]
  42. Shokrollahi, A. Raptor Codes. IEEE Trans. Inform. Theory 2006, 52, 2551–2567. [Google Scholar] [CrossRef]
Figure 1. Communication system based on multiple-access multiple-relay networks.
Figure 1. Communication system based on multiple-access multiple-relay networks.
Symmetry 14 02026 g001
Figure 2. Multiple-access relay network model with cooperative relay.
Figure 2. Multiple-access relay network model with cooperative relay.
Symmetry 14 02026 g002
Figure 3. Encoding process for the proposed enhanced distributed fountain codes.
Figure 3. Encoding process for the proposed enhanced distributed fountain codes.
Symmetry 14 02026 g003
Figure 4. (a) The comparison of theoretical values and simulated values of the overall degree distribution Ω 1 ( x ) ; (b) the comparison of theoretical values and simulated values of the overall degree distribution Ω 2 ( x ) ; (c) the absolute values of errors between theoretical and simulated overall degree distributions.
Figure 4. (a) The comparison of theoretical values and simulated values of the overall degree distribution Ω 1 ( x ) ; (b) the comparison of theoretical values and simulated values of the overall degree distribution Ω 2 ( x ) ; (c) the absolute values of errors between theoretical and simulated overall degree distributions.
Symmetry 14 02026 g004
Figure 5. The comparison of BER performance before and after optimization for EDFC in a three-source network.
Figure 5. The comparison of BER performance before and after optimization for EDFC in a three-source network.
Symmetry 14 02026 g005
Figure 6. BER performance comparison of EDFC and GDFC for two-source networks.
Figure 6. BER performance comparison of EDFC and GDFC for two-source networks.
Symmetry 14 02026 g006
Figure 7. BER performance comparison of EDFC and GDFC for four-source networks.
Figure 7. BER performance comparison of EDFC and GDFC for four-source networks.
Symmetry 14 02026 g007
Figure 8. BER performance versus relay-destination erasure rate p r d for EDFC with two sources.
Figure 8. BER performance versus relay-destination erasure rate p r d for EDFC with two sources.
Symmetry 14 02026 g008
Table 1. The optimized degree distributions when source number n is 2, 3, and 4.
Table 1. The optimized degree distributions when source number n is 2, 3, and 4.
Degreen = 2, t = 1n = 3, t = 2n = 4, t = 2
Φ 1 ( x 1 ) Φ 2 ( x 2 ) Γ 1 ( x ) Γ 2 ( x ) Φ 1 ( x 1 ) Φ 2 ( x 2 ) ,
Φ 3 ( x 3 )
Γ 1 ( x ) Γ 2 ( x ) Φ 1 ( x 1 ) , Φ 2 ( x 2 ) Φ 3 ( x 3 ) , Φ 4 ( x 4 ) Γ 1 ( x ) Γ 2 ( x )
10.160.160.665410.130.130.68990.790.220.220.85790.68
20.43860.14240.3346-0.41340.32730.230.210.02270.16980.120.32
30.28450.5418--0.36260.42490.0801-0.62350.49660.01-
130.01<0.005--<0.005<0.005--<0.005<0.0050.0121-
140.10690.1305--<0.0050.0109--0.0354<0.005--
15<0.0050.0253--<0.0050.054--0.0409<0.005--
16<0.005<0.005--0.0092<0.005--<0.0050.0613--
17<0.005<0.005--0.0376<0.005--<0.005<0.005--
100<0.005<0.005--0.04720.0529--0.05750.0523--
Table 2. Comparison of decode-and-forward, DLT, GDFC, and EDFC.
Table 2. Comparison of decode-and-forward, DLT, GDFC, and EDFC.
MethodsAdvantagesDisadvantages
Decode-and-forward (DF)
  • Easy to implement
  • No requirement for optimization
  • Large latency
  • High complexity
  • Error propagation
DLT
  • Easy to implement
  • Low complexity
  • Unoptimized degree distributions
  • Unable to provide UEP property
GDFC
  • Low BER
  • UEP property
  • Flexible parameter settings
  • Communication interruptions due to bad channel conditions
  • Increased complexity due to optimization
EDFC
  • Lower BER
  • High reliability
  • Enhanced UEP property
  • Additional hardware cost
  • Increased complexity due to optimization
Publisher’s Note: MDPI stays neutral with regard to jurisdictional claims in published maps and institutional affiliations.

Share and Cite

MDPI and ACS Style

Shao, H.; Zhu, H.; Bao, J. Analysis and Design of Enhanced Distributed Fountain Codes in Multiple Access Networks with Cooperative Relay. Symmetry 2022, 14, 2026. https://doi.org/10.3390/sym14102026

AMA Style

Shao H, Zhu H, Bao J. Analysis and Design of Enhanced Distributed Fountain Codes in Multiple Access Networks with Cooperative Relay. Symmetry. 2022; 14(10):2026. https://doi.org/10.3390/sym14102026

Chicago/Turabian Style

Shao, Hanqin, Hongbo Zhu, and Junwei Bao. 2022. "Analysis and Design of Enhanced Distributed Fountain Codes in Multiple Access Networks with Cooperative Relay" Symmetry 14, no. 10: 2026. https://doi.org/10.3390/sym14102026

APA Style

Shao, H., Zhu, H., & Bao, J. (2022). Analysis and Design of Enhanced Distributed Fountain Codes in Multiple Access Networks with Cooperative Relay. Symmetry, 14(10), 2026. https://doi.org/10.3390/sym14102026

Note that from the first issue of 2016, this journal uses article numbers instead of page numbers. See further details here.

Article Metrics

Back to TopTop