Computational Study of Some 4’-Aryl-1,2,4-triazol-1-ium-4-R2-phenacylid Derivatives in Vacuum and Dimethylformamide
Abstract
1. Introduction
2. Computational and Experimental Details
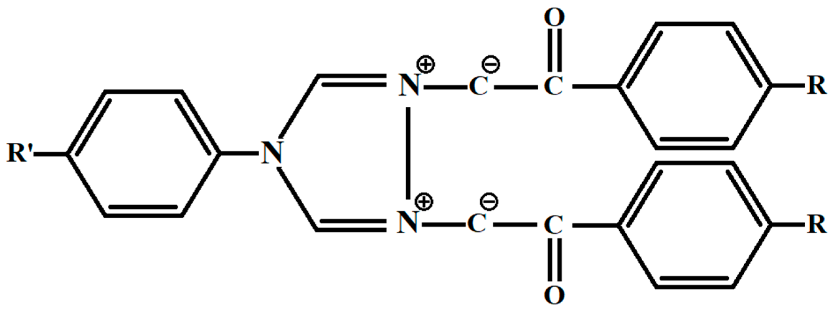
3. Results and Discussions
- (1)
- R1 = R2 = H: 4’-phenyl-1,2,4-triazol-1-ium-phenacylid (PTPY)
- (2)
- R1 = CH3, R2 = H: 4’-tolyl-1,2,4-triazol-1-ium-phenacylid (TTPY)
- (3)
- R1 = H, R2 = Cl: 4’-phenyl-1,2,4-triazol-1-ium-4-chloro-phenacylid (PTClPY)
- (4)
- R1 = CH3, R2 = Cl: 4’-tolyl-1,2,4-triazol-1-ium-4-chloro-phenacylid (TTClPY)
4. Conclusions
Author Contributions
Funding
Data Availability Statement
Conflicts of Interest
References
- Lars-Flörl, C. Triazole antifungal agents in invasive fungal infections: A comparative review. Drugs 2011, 71, 2405–2411. [Google Scholar] [CrossRef] [PubMed]
- Sathish Kumar, S.; Kavitha, H.P. Synthesis and biological applications of triazole derivatives—A review. Mini Rev. Org. Chem. 2013, 10, 40–65. [Google Scholar] [CrossRef]
- Zhang, F.-F.; Gan, L.-L.; Zhou, C.-H. Synthesis, antibacterial and antifungal activities of some carbazole derivatives. Bioorg. Med. Chem. Lett. 2010, 20, 1881–1884. [Google Scholar] [CrossRef] [PubMed]
- Al-Omar, M.A.; Al-Abdullah, E.S.; Shehata, I.A.; Habib, E.E.; Ibrahim, T.M.; El-Emam, A.A. Synthesis, antimicrobial and anti-inflammatory activities of novel 5-(1-adamantyl)-4-aryldeneamino-3-mercapto-1,2,4-triazoles and related derivatives. Molecules 2010, 15, 2526–2550. [Google Scholar] [CrossRef] [PubMed]
- Closca, V.; Melniciuc-Puica, N.; Benchea, A.C.; Dorohoi, D.O. Intermolecular interactions in ternary solutions of some 1,2,4-triazolium ylids studied by spectral means. Proc. SPIE 2014, 9286, 92862T. [Google Scholar] [CrossRef]
- Huang, R.-Z.; Liang, G.-B.; Li, M.-S.; Fang, Y.-L.; Zhao, S.-F.; Zhou, M.-M.; Liao, Z.-X.; Sun, J.; Wang, H.-S. Synthesis and Discovery of asiatic acid based 1,2,3-triazole derivatives as antitumor agents blocking NF-kB activation and cell migration. MedChemComm 2019, 10, 584–597. [Google Scholar] [CrossRef]
- Yang, J.-J.; Yu, W.-W.; Hu, L.-L.; Liu, W.-J.; Lin, X.-H.; Wang, W.; Zhang, Q.; Wang, P.-L.; Tang, S.-W.; Wang, X.; et al. Discovery and characterization of 1H-1,2,3-triazole derivatives as novel prostanoid EP4 receptor antagonists for cancer immunotherapy. J. Med. Chem. 2020, 63, 569–590. [Google Scholar] [CrossRef]
- Singh, D.; Panigrahi, S.K.; Sharma, G.; Gardas, R.L. Scrutinizing the stability of haemoglobin in 1,2,4-triazolium based ionic liquid. J. Mol. Liq. 2021, 349, 118213. [Google Scholar] [CrossRef]
- Riccobono, A.; Lazzara, G.; Rogers, S.E.; Pibiri, I.; Pace, A.; Slattery, J.M.; Bruce, D.W. Synthesis and mesomorphism of related series of triphilic ionic liquid crystals based on 1,2,4-triazolium cations. J. Mol. Liq. 2021, 321, 114758. [Google Scholar] [CrossRef]
- Paramparambath, S.; Selvam, S.; Puthukkudy, G.; Satheesh, A.; Kandasamy, E. An efficient strategy to synthesis of β-carbonyl compounds by 1-pentyl-1,2,4-triazolium methanesulfonate. Mater. Today Proc. 2020, 33, 2144–2147. [Google Scholar] [CrossRef]
- Gayathri, K.M.; Paramparambath, S.; Satheesh, A.; Selvam, S.; Kandasamy, E. Reduction of aldehydes and ketones by NaBH4 in presence of 1-alkyl-1,2,4-triazolium salts. Mater. Today Proc. 2020, 33, 2381–2384. [Google Scholar] [CrossRef]
- Castells, J.; Geijo, F.; López-Calahorra, F. The “formoin reaction”: A promising entry to carbohydrates from formaldehyde. Tetrahedron Lett. 1980, 21, 4517–4520. [Google Scholar] [CrossRef]
- Teles, J.H.; Melder, J.-P.; Gehrer, E.; Harder, W.; Ebel, K.; Groening, C.; Meyer, R. Addition Products of Triazolium Salts. U.S. Patent 5508422, 16 April 1996. [Google Scholar]
- Karczmarzyk, Z.; Swatko-Ossor, M.; Wysocki, W.; Drozd, M.; Ginalska, G.; Pachuta-Stec, A.; Pitucha, M. New applications of 1,2,4-triazole derivatives as antitubercular agents. Structure, in vitro screening and docking studies. Molecules 2020, 25, 6033. [Google Scholar] [CrossRef] [PubMed]
- Chu, X.-M.; Wang, C.; Wang, W.-L.; Liang, L.-L.; Liu, W.; Gong, K.-K.; Sun, K.-L. Triazole derivatives and their antiplasmodial and antimalarial activities. Eur. J. Med. Chem. 2019, 166, 206–223. [Google Scholar] [CrossRef] [PubMed]
- Alrawashdeh, M.S.M. Determination of antimicrobial activity of some 1,2,4-triazole derivatives. Regul. Mech. Biosyst. 2018, 9, 203–208. [Google Scholar] [CrossRef]
- Borowiecki, P.; Milner-Krawczyk, M.; Plenkiewicz, J. Chemoenzymatic synthesis and biological evaluation of enantiomerically enriched 1-(β-hydroxypropyl) imidazolium- and triazolium-based ionic liquids. Beilstein J. Org. Chem. 2013, 9, 516–525. [Google Scholar] [CrossRef]
- Zugravescu, I.; Petrovanu, M. N-Ylid Chemistry; Academic Press: New York, NY, USA, 1976. [Google Scholar]
- Petrovanu, M.; Luchian, C.; Surpateanu, G.; Barboiu, V. 1,2,4-Triazolium ylures. I Synthèse and stréréochimie des reactions de cycloaddition aux composés a liaison ethélènique active. Rev. Roum. Chim. 1974, 24, 733–744. [Google Scholar]
- Surpateanu, G.; Caea, N.; Sufletel, L.; Grandclaudon, P. Synthesis and characterization of new azatriazolium ylids. Rev. Roum. Chim. 1995, 40, 133–136. [Google Scholar]
- Zhang, Q.; Shreeve, J.M. Energetic ionic liquids as explosives and propellant fuels: A new journey of ionic liquid chemistry. Chem. Rev. 2014, 114, 10527–10574. [Google Scholar] [CrossRef]
- Tankov, I.; Yankova, R. Theoretical (density functional theory) studies on the structural, electronic and catalytic properties of the ionic liquid 4-amino-1H-1,2,4-triazolium nitrate. J. Mol. Liq. 2018, 269, 529–539. [Google Scholar] [CrossRef]
- Wilson, N.D.; Wang, Z.; Gung, B.W. How to control the acidity of 1,2,3-triazolium ions: A density functional theory study. J. Mol. Graph. Model. 2022, 112, 108133. [Google Scholar] [CrossRef] [PubMed]
- Dorohoi, D.O.; Dimitriu, D.G.; Morosanu, A.C.; Puica Melniciuc, N.; Hurjui, I.; Miron, M.; Mariciuc, G.G.; Closca, V.; Cheptea, C. Some aryl-1,2,4-triazol-1-ium phenacylids in binary hydroxyl solvent mixtures. Computational and spectral study. Symmetry 2021, 13, 1656. [Google Scholar] [CrossRef]
- Dorohoi, D.O.; Dimitriu, D.G.; Dulcescu-Oprea, M.M.; Morosanu, A.C.; Puica-Melniciuc, N.; Ardelean, E.; Gritco-Todirascu, A.; Cheptea, C. Solvatochromic study of two carbanion monosubstituted 4-tolyl-1,2,4-triazol-1-ium phenacylids in binary hydroxyl solvent mixtures. Molecules 2021, 26, 3910. [Google Scholar] [CrossRef] [PubMed]
- Spartan’14 for Windows, Macintosh and Linux, Tutorial and User’s Guide, 10 January 2014. Modeling. Available online: http://downloads.wavefun.com/Spartan’14Manual.pdf (accessed on 8 July 2022).
- Hehre, W.J. A Guide to Molecular Mechanics and Quantum Chemical Calculations; Wavefunction, Inc.: Irvine, CA, USA, 2003. [Google Scholar]
- Lin, C.Y.; George, M.W.; Gill, P.M.W. EDF2: A density functional for predicting molecular vibrational frequencies. Aust. J. Chem. 2004, 57, 365–370. [Google Scholar] [CrossRef]
- Koopmans, T. Über die zuordnung von wellenfunktionen und eigenwerten zu den einzelnen elektronen eines atoms. Physica 1934, 1, 104–113. [Google Scholar] [CrossRef]
- Hitchcock, S.A.; Pennington, L.D. Structure-brain exposure relationships. J. Med. Chem. 2006, 49, 7559–7583. [Google Scholar] [CrossRef] [PubMed]
- Huigol, M.I.; Sriram, V.; Balasubramanian, K. Structure-ability relations for antiepileptic drugs through omega polynomials and topological indices. Mol. Phys. 2022, 120, e1987542. [Google Scholar] [CrossRef]
- Cheptea, C.; Sunel, V.; Ardeshir, S.M.; Morosanu, A.C.; Dorohoi, D.O. Some physico-chemical characteristics of amino-acid derivatives containing rest of 1,2,4-triazole-3,4-di-substituted with potential antitumoral activity. Mol. Cryst. Liq. Cryst. 2020, 697, 97–107. [Google Scholar] [CrossRef]
- Hurjui, I.; Ivan, M.L.; Dorohoi, D.O. Solvent influence on the electronic absorption spectra (EAS) of 1,6-diphenyl-1,3,5-hexatriene (DPH). Spectrochim. Acta Part A Mol. Biomol. Spectrosc. 2013, 102, 219–225. [Google Scholar] [CrossRef]
- Dorohoi, D.O. Spectroscopy of N-ylids. J. Mol. Struct. 2004, 704, 31–43. [Google Scholar] [CrossRef]
- Surpateanu, G.; Dorohoi, D.O.; Zugravescu, I. Group electronegativity determination I. Sci. Ann. Al. I. Cuza Univ. Iasi Ib Fizica 1977, 23, 99–102. [Google Scholar]
- Surpateanu, G.; Dorohoi, D.O.; Zugravescu, I. Group electronegativity determination II. Sci. Ann. Al. I. Cuza Univ. Iasi Ib Fizica 1978, 22, 35–40. [Google Scholar]
- Gosav, S.; Praisler, M.; Dorohoi, D.O.; Popa, G. Structure-activity correlations for illicit amphetamines using ANN and constitutional descriptors. Talanta 2006, 70, 922–928. [Google Scholar] [CrossRef] [PubMed]
- Gosav, S.; Praisler, M.; Dorohoi, D.O.; Popa, G. Automated identification of novel amphetamines using a pure neutral network and neutral networks coupled with principal component analysis. J. Mol. Struct. 2005, 744–747, 821–825. [Google Scholar] [CrossRef]
- Gosav, S.; Praisler, M.; Dorohoi, D.O. ANN expert system screening for illicit amphetamines using molecular descriptors. J. Mol. Struct. 2007, 834–836, 188–194. [Google Scholar] [CrossRef]
- Taft, R.W.; Kamlet, M.J. The solvatochromic comparison method. 2. The α-scale of solvent hydrogen-bond donor (HBD) acidities. J. Am. Chem. Soc. 1976, 98, 2886–2894. [Google Scholar] [CrossRef]








| δ (ppm) | νC=O | ||||||
|---|---|---|---|---|---|---|---|
| Ha | Hb | Hc | Hd | Hf | Hg | (cm−1) | |
| PTPY | 11.05 | 9.46 | 7.20 | 7.41 | 7.62 | 7.35 | 1540 |
| TTPY | 11.15 | 9.28 | 7.08 | 7.17 | 7.71 | 7.38 | 1550 |
| PTClPY | 11.23 | 9.11 | 7.24 | 7.39 | 7.91 | 7.23 | 1545 |
| TTClPY | 11.27 | 9.22 | 7.35 | 7.44 | 7.85 | 7.16 | 1540 |
| D1 | 10.94 | 10.94 | 7.28 | 7.50 | 7.96 | 7.68 | 1575 |
| D2 | 11.21 | 11.21 | 7.34 | 7.37 | 7.79 | 7.54 | 1580 |
| D3 | 11.10 | 11.10 | 7.50 | 7.64 | 8.14 | 7.60 | 1590 |
| D4 | 11.16 | 11.16 | 7.54 | 7.62 | 8.02 | 7.58 | 1580 |
| PTPY | TTPY | |||
|---|---|---|---|---|
| Vacuum | DMF | Vacuum | DMF | |
| Formula | C16H13N3O | C16H13N3O | C17H15N3O | C17H15N3O |
| Weight (amu) | 263.300 | 263.300 | 277.327 | 277.327 |
| Energy (au) | –856.338 | –856.375 | –895.598 | –895.658 |
| Solvation E (kJ/mol) | –97.12 | –157.50 | ||
| E HOMO (eV) | –4.52 | –4.73 | –4.35 | –4.72 |
| E LUMO (eV) | –1.43 | –1.18 | –1.46 | –1.16 |
| Dipole Moment (D) | 7.14 | 10.24 | 10.54 | 10.79 |
| Conformers | 6 | 6 | 6 | 6 |
| Area (Å2) | 290.87 | 291.46 | 314.64 | 311.37 |
| Volume (Å3) | 275.96 | 276.19 | 295.33 | 294.40 |
| PSA (Å2) | 23.370 | 23.730 | 25.017 | 23.730 |
| Ovality | 1.42 | 1.42 | 1.47 | 1.45 |
| Polarizability (Å3) | 63.03 | 62.94 | 64.65 | 64.41 |
| HBD Count | 0 | 0 | 0 | 0 |
| HBA Count | 3 | 3 | 3 | 3 |
| PTClPY | TTClPY | |||
|---|---|---|---|---|
| Vacuum | DMF | Vacuum | DMF | |
| Formula | C16H12ClN3O | C16H12ClN3O | C17H14ClN3O | C17H14ClN3O |
| Weight (amu) | 297.745 | 297.745 | 311.772 | 311.772 |
| Energy (au) | –1315.965 | –1316.001 | –1355.249 | –1355.285 |
| Solvation E (KJ/mol) | –94.50 | –94.50 | ||
| E HOMO (eV) | –4.68 | –4.77 | –4.63 | –4.75 |
| E LUMO (eV) | –1.53 | –1.24 | –1.44 | –1.22 |
| Dipole Moment (D) | 9.57 | 12.80 | 10.16 | 13.30 |
| Conformers | 4 | 4 | 4 | 4 |
| Area (Å2) | 306.55 | 307.14 | 326.46 | 327.13 |
| Volume (Å3) | 289.63 | 289.85 | 307.85 | 308.08 |
| PSA (Å2) | 23.355 | 23.746 | 23.323 | 23.780 |
| Ovality | 1.45 | 1.45 | 1.48 | 1.48 |
| Polarizability (Å3) | 64.12 | 64.05 | 65.59 | 65.53 |
| HBD Count | 0 | 0 | 0 | 0 |
| HBA Count | 3 | 3 | 3 | 3 |
| I (eV) | A (eV) | η (eV) | χ (eV) | ω (eV) | µ (eV) | S (eV−1) | |
|---|---|---|---|---|---|---|---|
| PTPY | 4.52 | 1.53 | 1.495 | 3.025 | 3.060 | −3.025 | 0.669 |
| D1 | 5.13 | 1.96 | 1.585 | 3.545 | 3.964 | −3.545 | 0.631 |
| TTPY | 4.35 | 1.46 | 1.445 | 2.905 | 2.920 | −2.905 | 0.692 |
| D2 | 5.07 | 1.89 | 1.590 | 3.480 | 3.808 | −3.480 | 0.629 |
| PTCPY | 4.68 | 1.53 | 1.575 | 3.105 | 3.061 | −3.105 | 0.635 |
| D3 | 5.36 | 2.13 | 1.615 | 3.745 | 4.342 | −3.745 | 0.619 |
| TTCPY | 4.63 | 1.44 | 1.595 | 3.035 | 2.890 | −3.035 | 0.692 |
| D4 | 5.30 | 2.01 | 1.645 | 3.480 | 4.060 | −3.655 | 0.629 |
| PTPY | TTPY | PTClPY | TTClPY | |||||
|---|---|---|---|---|---|---|---|---|
| Vacuum | DMF | Vacuum | DMF | Vacuum | DMF | Vacuum | DMF | |
| N+ | 0.841 | 0.836 | 0.802 | 0.842 | 0.815 | 0.837 | 0.820 | 0.840 |
| C− | −0.841 | −0.878 | −0.823 | −0.855 | −0.839 | −0.891 | −0.848 | −0.885 |
| C | 0.457 | 0.426 | 0.465 | 0.448 | 0.476 | 0.459 | 0.494 | 0.459 |
| O | −0.572 | −0.602 | −0.573 | −0.607 | −0.575 | −0.605 | −0.581 | −0.609 |
| Phenacylid | ||||
|---|---|---|---|---|
| PTPY | 25,550; 28,470 | 24,924 | 28,634 | 7.14 |
| TTPY | 26,660; 28,810 | 23,311 | 28,715 | 10.54 |
| PTClPY | 26,060; 28,850 | 25,408 | 28,473 | 9.57 |
| TTClPY | 26,200; 28,620 | 25,731 | 28,473 | 10.16 |
Publisher’s Note: MDPI stays neutral with regard to jurisdictional claims in published maps and institutional affiliations. |
© 2022 by the authors. Licensee MDPI, Basel, Switzerland. This article is an open access article distributed under the terms and conditions of the Creative Commons Attribution (CC BY) license (https://creativecommons.org/licenses/by/4.0/).
Share and Cite
Melniciuc Puica, N.; Dimitriu, D.-G.; Apreotesei, G.; Moroșanu, A.C.; Dorohoi, D.-O. Computational Study of Some 4’-Aryl-1,2,4-triazol-1-ium-4-R2-phenacylid Derivatives in Vacuum and Dimethylformamide. Symmetry 2022, 14, 2099. https://doi.org/10.3390/sym14102099
Melniciuc Puica N, Dimitriu D-G, Apreotesei G, Moroșanu AC, Dorohoi D-O. Computational Study of Some 4’-Aryl-1,2,4-triazol-1-ium-4-R2-phenacylid Derivatives in Vacuum and Dimethylformamide. Symmetry. 2022; 14(10):2099. https://doi.org/10.3390/sym14102099
Chicago/Turabian StyleMelniciuc Puica, Nicoleta, Dan-Gheorghe Dimitriu, Gabriela Apreotesei, Ana Cezarina Moroșanu, and Dana-Ortansa Dorohoi. 2022. "Computational Study of Some 4’-Aryl-1,2,4-triazol-1-ium-4-R2-phenacylid Derivatives in Vacuum and Dimethylformamide" Symmetry 14, no. 10: 2099. https://doi.org/10.3390/sym14102099
APA StyleMelniciuc Puica, N., Dimitriu, D.-G., Apreotesei, G., Moroșanu, A. C., & Dorohoi, D.-O. (2022). Computational Study of Some 4’-Aryl-1,2,4-triazol-1-ium-4-R2-phenacylid Derivatives in Vacuum and Dimethylformamide. Symmetry, 14(10), 2099. https://doi.org/10.3390/sym14102099

