A Fractional Atmospheric Circulation System under the Influence of a Sliding Mode Controller
Abstract
1. Introduction
2. Preliminaries
3. Existence, Uniqueness and Boundedness of the Solution
- From system (5), the recurrent form can be written as follows:The conditions are: , , . By applying the norm to the Equation (8), we getUsing the Lipchitz condition in Equation (1), we get:Subsequently we have,Which implies that it can be written as:As a consequence, the existence and continuity are demonstrated.
- To show that the associated Equations (11) and (12) work out the solutions for Equation (2), we review the following:In order to execute the desired results, we setContinuing the same procedure recursively, we getAt , we haveFrom Equation (16), as we can observe that as n tends to ∞, approaches Similarly, it may be prove that , tends to
- To establish the uniqueness for solution of the system (2).Consider a different set of solutions for the system (2), say . Then, as an outcome of the first Equation of (5) we write:Using the norm, the above equation becomesBy applying the Lipchitz condition we getAt some this result yieldsSince , we have . Hence,
4. Dynamics of the System
- is stable if and the equation has solution
- is unstable if
- If and the equation has solution , then Again, since and it is clear that and Hence, the equilibrium point is stable.
- If then and hence the the equilibrium point is unstable.
5. Design of Sliding Mode Controller
- Create a sliding surface that depicts the desired system dynamics.
- Creating a switching control law to push any state outside the sliding surface to reach it in a finite time and make sliding modes available on all points in the sliding surface [52].
6. Numerical Simulation
- 1.
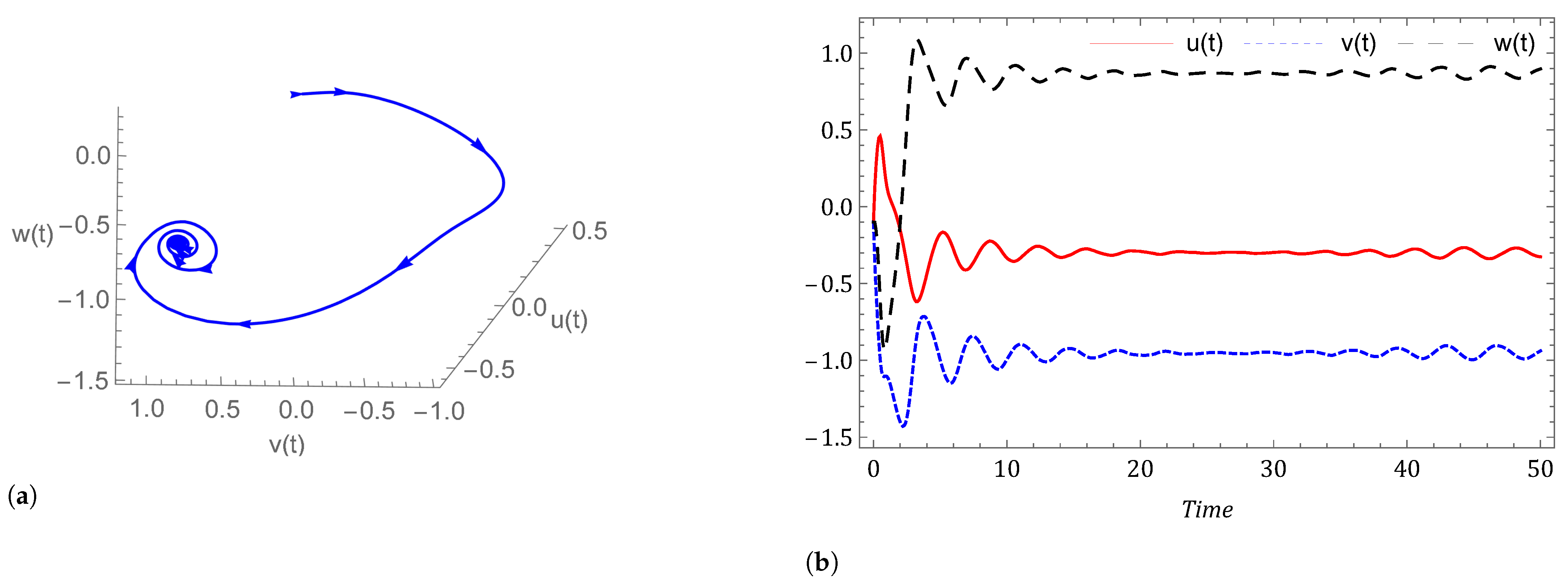
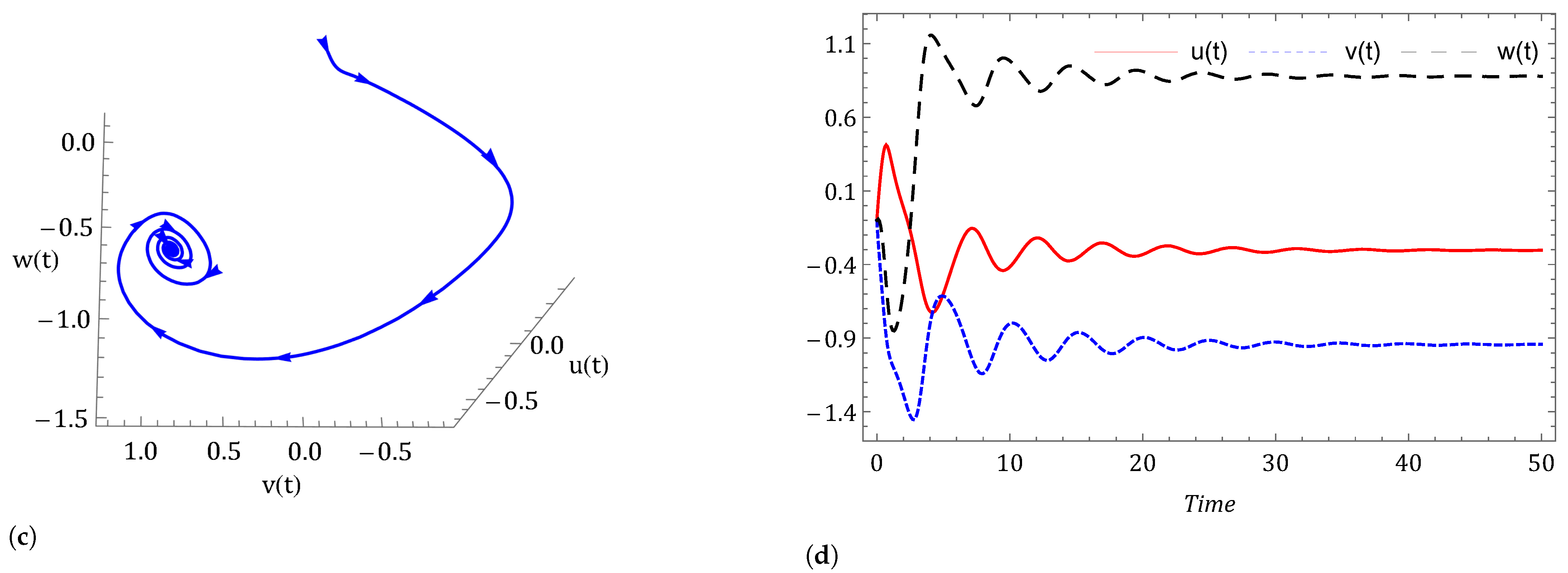
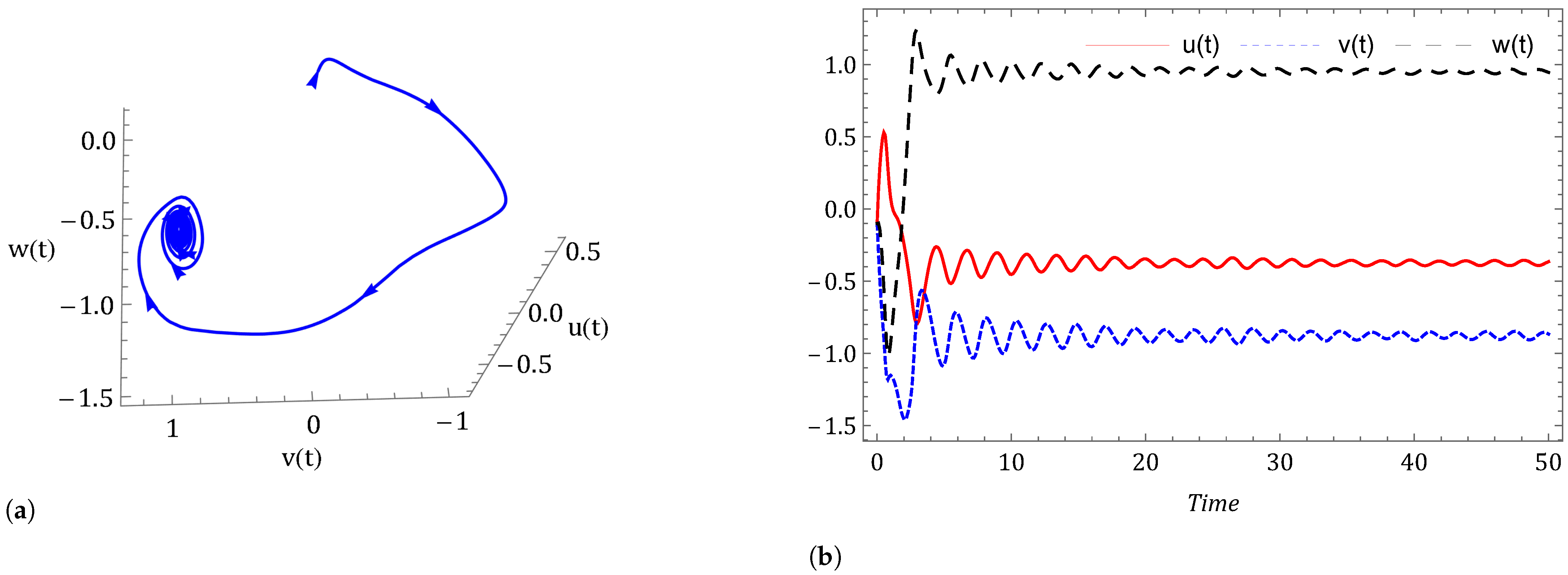
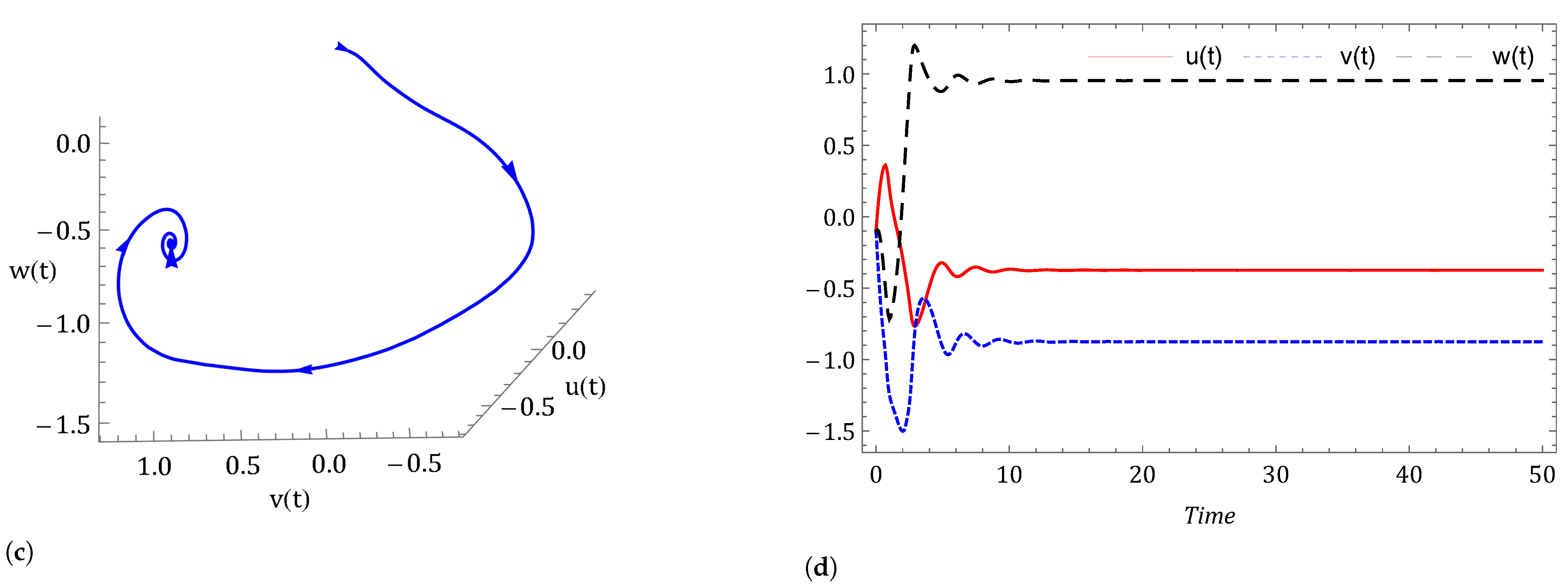
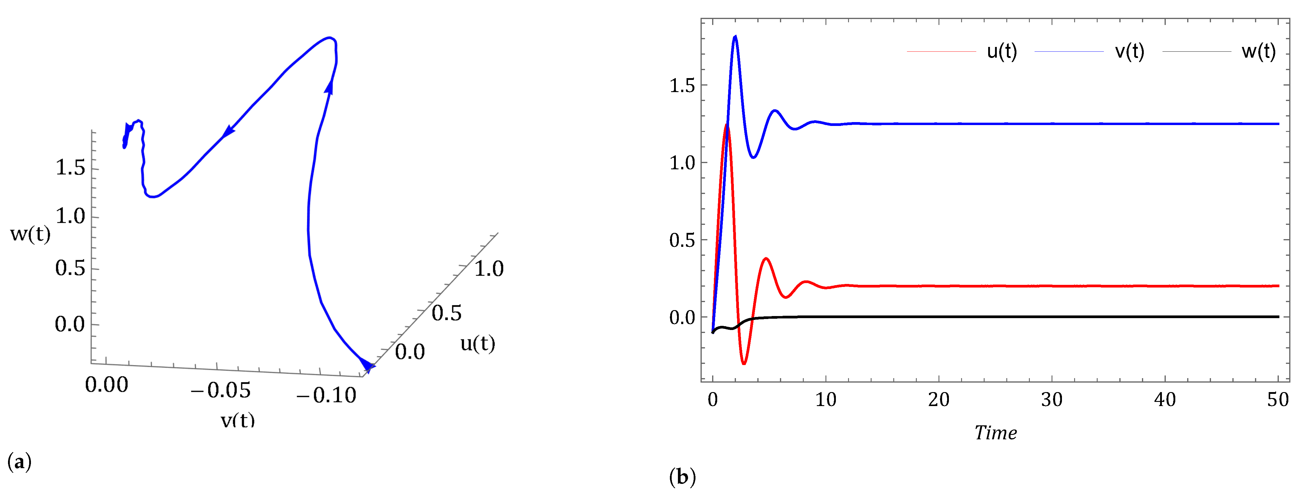
- Case I: Commensurate order.For a commensurate system, we consider Figure 1a,b, represent the dynamics of the commensurate system (2) or (3) with initial conditions for . We observe the weak periodic oscillations or irreflexive chaotic behavior in winter due to low pressure over the pole. This means the system’s solution diverges, and as a result the variables seem to vary chaotically in Figure 1. A strong intransitive chaotic behavior is noticed from Figure 2, Figure 3 and Figure 4 for reduced values of . From Figure 2, Figure 3 and Figure 4 we notice that the system under the Caputo derivative is less chaotic than the system under the CF derivative. Figure 5, Figure 6, Figure 7 and Figure 8 present the nature of the system (29) with the SMC Equation (36) under the influence of the Caputo and CF fractional derivative. The strength of the westerlies in winter decreases by the influence of SMC, so that the system demonstrate non-chaotic behavior. This is seen in Figure 5 and Figure 6. Further on reducing the value of the system converges towards stability in Figure 7 and Figure 8. Graphical representations exhibit that the SMC have a stabilizing effect on the systems (2) and (3). In addition to the effect of controller, it is noticed that Caputo fractional derivative makes the stabilizing effect faster than the CF derivative.
- 2.
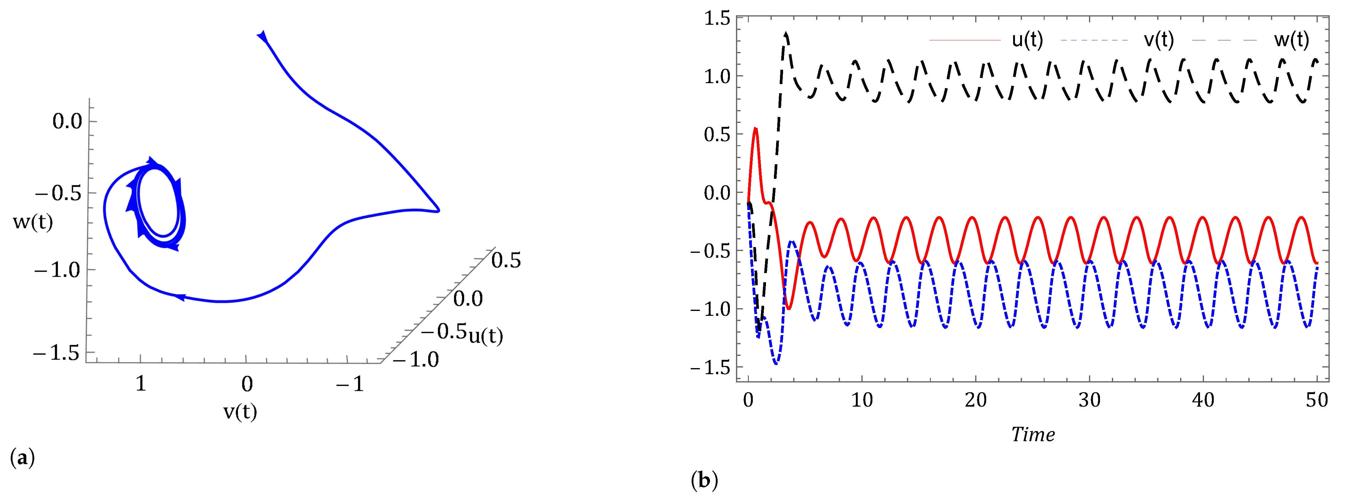
- Case II: Non-commensurate order.In Figure 9 and Figure 10 we have shown the nature of the non-commensurate system (2) and (3) with In Figure 9, we observe the strong chaotic behavior of the non-commensurate system (2) and (3) due to low pressure over the poles in winter. The influence of the Caputo and CF fractional derivative on the system (29) with controller Equation (36) can be shown in Figure 10. We have observed that the system under the CF fractional derivative response more effectively toward the controller than the system under Caputo fractional derivative.
- 3.
- Case III: Commensurate and non-commensurate order with uncertainty and external disturbance.We have disturbed the fractional order system (29) by an uncertainty and an external disturbance where and and we get the system (39). The disturbed system with controller response can be seen in Figure 11, Figure 12, Figure 13 and Figure 14. It is observed that on applying the external disturbance and uncertainty, the strong prevailing westerlies remain in control. We can see this in Figure 11 for . The powerful westerlies weaken as pressure over the poles rises, which causes the system to converge toward stability. This can be seen in Figure 12, Figure 13 and Figure 14. It has been noticed that the system’s controller Equation (36) keeps the chaos under control even in the presence of uncertainty and external disturbance in the system (2) and (3).
- 4.
- Investigating the impact of other factors The effect of increasing thermal forcing term on system (2) under the Caputo fractional derivative is shown in Figure 15. We observed that the system is chaotic for and This happens due to less heating contrast polarity between oceans and continents (). However, when we increase the value of logically, the system advances toward stability. The dynamical behavior of the system (3) is examined with decreasing cross-latitude external heating contrast in Figure 16. The number of oscillations decreases with decreasing polarity of cross-latitude heating because increasing temperature decreases the strength of the westerlies. In support of Theorem 5, Figure 17 shows that when we set the force of wave advection caused by the westerly current zero (), we arrived at a stable point of equilibrium. When and the equilibrium point is and the eigenvalues of the Jacobian matrix at is Hence, is stable.




















7. Conclusions
Author Contributions
Funding
Institutional Review Board Statement
Informed Consent Statement
Data Availability Statement
Conflicts of Interest
References
- Skinner, J.E.; Molnar, M.; Vybiral, T.; Mitra, M. Application of chaos theory to biology and medicine. Integr. Physiol. Behav. Sci. 1992, 27, 39–53. [Google Scholar] [CrossRef]
- Harb, A.M.; Abdel-Jabbar, N. Controlling Hopf bifurcation and chaos in a small power system. Chaos, Solitons Fractals 2003, 18, 1055–1063. [Google Scholar] [CrossRef]
- Liu, Y. Circuit implementation and finite-time synchronization of the 4D Rabinovich hyperchaotic system. Nonlinear Dyn. 2012, 67, 89–96. [Google Scholar] [CrossRef]
- Ma, J.; Wang, C.N.; Tang, J.; Xia, Y.F. Supression of the spiral wave and turbulence in the excitability modulated media. Int. J. Theor. Phys. 2009, 48, 150–157. [Google Scholar] [CrossRef]
- Lamba, P.; Hudson, J.L. Experiments on bifurcations to chaos in a forced chemical reactor. Chem. Eng. Sci. 1987, 42, 1–8. [Google Scholar] [CrossRef]
- Lorenz, E.N. Deterministic nonperiodic flow. J. Atmos. Sci. 1963, 20, 130–141. [Google Scholar] [CrossRef]
- Leipnik, R.; Newton, T. Double strange attractors in rigid body motion with linear feedback control. Phys. Lett. A 1981, 86, 63–67. [Google Scholar] [CrossRef]
- Chen, G.; Ueta, T. Yet another chaotic attractor. Int. J. Bifurc. Chaos 1999, 9, 1465–1466. [Google Scholar] [CrossRef]
- Lü, J.; Chen, G.; Zhang, S. Dynamical analysis of a new chaotic attractor. Int. J. Bifurc. Chaos 2002, 12, 1001–1015. [Google Scholar] [CrossRef]
- Konishi, K.; Hirai, M.; Kokame, H. Sliding mode control for a class of chaotic systems. Phys. Lett. A 1998, 245, 511–517. [Google Scholar] [CrossRef]
- Layeghi, H.; Arjmand, M.T.; Salarieh, H.; Alasty, A. Stabilizing periodic orbits of chaotic systems using fuzzy adaptive sliding mode control. Chaos Solitons Fractals 2008, 37, 1125–1135. [Google Scholar] [CrossRef]
- Roopaei, M.; Sahraei, B.R.; Lin, T.C. Adaptive sliding mode control in a novel class of chaotic systems. Commun. Nonlinear Sci. Numer. Simul. 2010, 15, 4158–4170. [Google Scholar] [CrossRef]
- Yassen, M. Chaos control of chaotic dynamical systems using backstepping design. Chaos Solitons Fractals 2006, 27, 537–548. [Google Scholar] [CrossRef]
- Qiang, J. Chaos control and synchronization of the newton–leipnik chaotic system. Chaos Solitons Fractals 2008, 35, 814–824. [Google Scholar]
- Yin, C.; Zhong, S.M.; Chen, W.F. Design PD controller for master–slave synchronization of chaotic Lur’e systems with sector and slope restricted nonlinearities. Commun. Nonlinear Sci. Numer. Simul. 2011, 16, 1632–1639. [Google Scholar] [CrossRef]
- Abaid Ur Rehman, M.; Ahmad, J.; Hassan, A.; Awrejcewicz, J.; Pawlowski, W.; Karamti, H.; Alharbi, F.M. The Dynamics of a Fractional-Order Mathematical Model of Cancer Tumor Disease. Symmetry 2022, 14, 1694. [Google Scholar] [CrossRef]
- Veeresha, P.; Ilhan, E.; Baskonus, H.M. Fractional approach for analysis of the model describing wind-influenced projectile motion. Phys. Scr. 2021, 96, 075209. [Google Scholar] [CrossRef]
- Samko, S.G.; Kilbas, A.A.; Marichev, O.I. Fractional Integrals and Derivatives; Gordon and breach science publishers: Yverdon Yverdon-les-Bains, Switzerland, 1993; Volume 1. [Google Scholar]
- Podlubny, I. Fractional Differential Equations; Academic Press: San Diego, CA, USA, 1999. [Google Scholar]
- Caputo, M. Linear Models of Dissipation whose Q is almost Frequency Independent—II. Geophys. J. Int. 1967, 13, 529–539. [Google Scholar] [CrossRef]
- Caputo, M.; Fabrizio, M. A new definition of fractional derivative without singular kernel. Prog. Fract. Differ. Appl. 2015, 1, 73–85. [Google Scholar]
- Atangana, A.; Baleanu, D. New fractional derivatives with nonlocal and non-singular kernel: Theory and application to heat transfer model. Therm. Sci. 2016, 20, 763–769. [Google Scholar] [CrossRef]
- Yavuz, M. European option pricing models described by fractional operators with classical and generalized Mittag-Leffler kernels. Numer. Methods Partial Differ. Equations 2022, 38, 434–456. [Google Scholar]
- Tanriverdi, T.; Baskonus, H.M.; Mahmud, A.; Muhamad, K. Explicit solution of fractional order atmospheresoil- land plant carbon cycle system. Ecol. Complex. 2021, 48, 100966. [Google Scholar] [CrossRef]
- Kilbas, A.A.; Srivastava, H.M.; Trujillo, J.J. Theory and Applications of Fractional Differential Equations; Elsevier: Amsterdam, The Netherlands, 2006; Volume 204. [Google Scholar]
- Achar, S.J.; Baishya, C.; Kaabar, M.K. Dynamics of the worm transmission in wireless sensor network in the framework of fractional derivatives. Math. Meth. Appl. Sci. 2022, 45, 4278–4294. [Google Scholar] [CrossRef]
- Baishya, C.; Achar, S.J.; Veeresha, P.; Prakasha, D.G. Dynamics of a fractional epidemiological model with disease infection in both the populations. Chaos Interdiscip. J. Nonlinear Sci. 2021, 31, 043130. [Google Scholar] [CrossRef] [PubMed]
- Naik, P.A.; Owolabi, K.M.; Yavuz, M.; Zu, J. Chaotic dynamics of a fractional order HIV-1 model involving AIDS-related cancer cells. Chaos, Solitons Fractals 2020, 140, 110272. [Google Scholar] [CrossRef]
- Veeresha, P.; Yavuz, M.; Baishya, C. A computational approach for shallow water forced Korteweg–De Vries equation on critical flow over a hole with three fractional operators. Int. J. Optim. Control Theor. Appl. (IJOCTA) 2021, 11, 52–67. [Google Scholar] [CrossRef]
- Owusu-Mensah, I.; Akinyemi, L.; Oduro, B.; Iyiola, O.S. A fractional order approach to modeling and simulations of the novel COVID-19. Adv. Differ. Equ. 2020, 2020, 1–21. [Google Scholar] [CrossRef]
- Liu, X.; ur Rahman, M.; Arfan, M.; Tchier, F.; Ahmad, S.; Inc, M.; Akinyemi, L. Fractional Mathematical Modeling to the Spread of Polio with the Role of Vaccination under Non-singular Kernel. Fractals 2022, 30, 2240144. [Google Scholar] [CrossRef]
- Dubey, R.S.; Goswami, P.; Baskonus, H.M.; Gomati, A.T. On the Existence and Uniqueness Analysis of Fractional Blood Glucose-Insulin Minimal Model. Int. J. Model. Simul. Sci. Comput. 2022. [Google Scholar] [CrossRef]
- Akinyemi, L. A fractional analysis of Noyes–Field model for the nonlinear Belousov–Zhabotinsky reaction. Comput. Appl. Math. 2020, 39, 175. [Google Scholar] [CrossRef]
- Iyiola, O.; Oduro, B.; Akinyemi, L. Analysis and solutions of generalized Chagas vectors re-infestation model of fractional order type. Chaos, Solitons Fractals 2021, 145, 110797. [Google Scholar] [CrossRef]
- Veeresha, P.; Akinyemi, L. Fractional approach for mathematical model of Phytoplankton–toxic Phytoplankton–Zooplankton system with Mittag-Leffler kernel. Int. J. Biomath. 2022, 16, 2250090. [Google Scholar] [CrossRef]
- Achar, S.J.; Baishya, C.; Veeresha, P.; Akinyemi, L. Dynamics of fractional model of biological pest control in tea plants with Beddington–DeAngelis functional response. Fractal Fract. 2021, 6, 1. [Google Scholar] [CrossRef]
- Gao, W.; Veeresha, P.; Cattani, C.; Baishya, C.; Baskonus, H.M. Modified Predictor–Corrector Method for the Numerical Solution of a Fractional-Order SIR Model with 2019-nCoV. Fractal Fract. 2022, 6, 92. [Google Scholar] [CrossRef]
- Ilhan, E.; Veeresha, P.; Baskonus, H.M. Fractional approach for a mathematical model of atmospheric dynamics of CO2 gas with an efficient method. Chaos Solitons Fractals 2021, 152, 111347. [Google Scholar] [CrossRef]
- Usman, M.; Alhejaili, W.; Hamid, M.; Khan, N. Fractional analysis of Jeffrey fluid over a vertical plate with time-dependent conductivity and diffusivity: A low-cost spectral approach. J. Comput. Sci. 2022, 63, 1877–7503. [Google Scholar] [CrossRef]
- Hamid, M.; Usman, M.; Yan, Y.; Tian, Z. An efficient numerical scheme for fractional characterization of MHD fluid model. Chaos Solitons Fract. 2022, 162, 112475. [Google Scholar] [CrossRef]
- Alizadeh, M.; Haq, R.U.; Hamid, M.; Nguyen, V.B.; Truong, T.H.; Ganji, D.D.; Tian, Z.F. An analysis of latent heat thermal energy storage in a hexagonal triplex-tube unit with curve shape fin and CNTs. Case Stud. Therm. Eng. 2022, 36, 102241. [Google Scholar] [CrossRef]
- Khan, Z.H.; Khan, W.A.; Sheremet, M.A.; Hamid, M.; Du, M. Irreversibilities in natural convection inside a right-angled trapezoidal cavity with sinusoidal wall temperature. Phys. Fluids 2021, 33, 083612. [Google Scholar] [CrossRef]
- Soomro, F.A.; Hamid, M.; Hussain, S.T.; Haq, R.U. Constructional design and mixed convection heat transfer inside lid-driven semicircular cavity. Eur. Phys. J. Plus 2022, 137, 781. [Google Scholar] [CrossRef]
- Khan, Z.H.; Usman, M.; Khan, W.A.; Hamid, M. Thermal treatment inside a partially heated triangular cavity filled with casson fluid with an inner cylindrical obstacle via FEM approach. Eur. Phys. J. Spec. Top. 2022, 231, 2683–2694. [Google Scholar] [CrossRef]
- Usman, M.; Alhowaity, A.; Hamid, M.; Hamam, H.; Khan, N. Nonlinear dynamical analysis to explore the N-soliton solutions of time-fractional coupled Burger’s model. Int. J. Mod. Phys. B 2022, 36, 2250169. [Google Scholar] [CrossRef]
- Luo, C.; Wang, X. Chaos in the fractional-order complex Lorenz system and its synchronization. Nonlinear Dyn. 2013, 71, 241–257. [Google Scholar] [CrossRef]
- Ahmad, W.; El-Khazali, R.; Al-Assaf, Y. Stabilization of generalized fractional order chaotic systems using state feedback control. Chaos Solitons Fractals 2004, 22, 141–150. [Google Scholar] [CrossRef]
- Wang, J.; Xiong, X.; Zhang, Y. Extending synchronization scheme to chaotic fractional-order Chen systems. Phys. A Stat. Mech. Its Appl. 2006, 370, 279–285. [Google Scholar] [CrossRef]
- Asheghan, M.M.; Beheshti, M.T.H.; Tavazoei, M.S. Robust synchronization of perturbed Chen’s fractional-order chaotic systems. Commun. Nonlinear Sci. Numer. Simul. 2011, 16, 1044–1051. [Google Scholar] [CrossRef]
- Hammouch, Z.; Yavuz, M.; Özdemir, N. Numerical solutions and synchronization of a variable-order fractional chaotic system. Math. Model. Numer. Simul. Appl. 2021, 1, 11–23. [Google Scholar] [CrossRef]
- Tavazoei, M.S.; Haeri, M. Synchronization of chaotic fractional-order systems via active sliding mode controller. Phys. A Stat. Mech. Its Appl. 2008, 387, 57–70. [Google Scholar] [CrossRef]
- Dadras, S.; Momeni, H.R. Control of a fractional-order economical system via sliding mode. Phys. A Stat. Mech. Its Appl. 2010, 389, 2434–2442. [Google Scholar] [CrossRef]
- Ammour, A.S.; Djennoune, S.; Ghanes, M.; Barbot, J.P.; Bettayeb, M. Sliding mode control for uncertain input delay fractional order systems. IFAC Proc. Vol. 2013, 46, 462–467. [Google Scholar] [CrossRef]
- Wu, X.; Li, J.; Chen, G. Chaos in the fractional order unified system and its synchronization. J. Frankl. Inst. 2008, 345, 392–401. [Google Scholar] [CrossRef]
- Matouk, A. Feedback control and synchronization of a fractional-order modified autonomous Van der Pol-Duffing circuit. Commun. Nonlinear Sci. Numer. Simul. 2011, 16, 975–986. [Google Scholar] [CrossRef]
- Delavari, H.; Ghaderi, R.; Ranjbar, A.; Momani, S. Fuzzy fractional order sliding mode controller for nonlinear systems. Commun. Nonlinear Sci. Numer. Simul. 2010, 15, 963–978. [Google Scholar] [CrossRef]
- Wang, J.; Zhou, Y. A class of fractional evolution equations and optimal controls. Nonlinear Anal. Real World Appl. 2011, 12, 262–272. [Google Scholar] [CrossRef]
- Mophou, G. Optimal control of fractional diffusion equation. Comput. Math. Appl. 2011, 61, 68–78. [Google Scholar] [CrossRef]
- Wang, X.Y.; He, Y.J.; Wang, M.J. Chaos control of a fractional order modified coupled dynamos system. Nonlinear Anal. Theory, Methods Appl. 2009, 71, 6126–6134. [Google Scholar] [CrossRef]
- Zheng, Y.; Nian, Y.; Wang, D. Controlling fractional order chaotic systems based on Takagi–Sugeno fuzzy model and adaptive adjustment mechanism. Phys. Lett. A 2010, 375, 125–129. [Google Scholar] [CrossRef]
- Hadley, G. On the cause of the general trade winds. Philos. Trans. R. Soc. 1735, 34, 58–62. [Google Scholar]
- Persson, A. Hadley’s principle: Understanding and misunderstanding the trade winds. Hist. Meteorol. 2006, 3, 17–42. [Google Scholar]
- Frierson, D.M.; Lu, J.; Chen, G. Width of the Hadley cell in simple and comprehensive general circulation models. Geophys. Res. Lett. 2007, 34, 1–5. [Google Scholar] [CrossRef]
- Seidel, D.J.; Fu, Q.; Randel, W.J.; Reichler, T.J. Widening of the tropical belt in a changing climate. Nat. Geosci. 2008, 1, 21–24. [Google Scholar] [CrossRef]
- Broer, H.; Simó, C.; Vitolo, R. Bifurcations and strange attractors in the Lorenz-84 climate model with seasonal forcing. Nonlinearity 2002, 15, 1205–1267. [Google Scholar] [CrossRef]
- Yu, Y.G. Dynamical analysis of a low-order model representing Hadley circulation. J. Beijing Jiaotong Univ. 2006, 3, 50–54. [Google Scholar]
- Song, Y.; Yu, Y.; Wang, H. The stability and chaos analysis of the Lorenz-84 atmosphere model with seasonal forcing. In Proceedings of the 2011 Fourth International Workshop on Chaos-Fractals Theories and Applications, Hangzhou, China, 19–21 October 2011; IEEE Computer Society: Washington, DC, USA, 2011; pp. 37–41. [Google Scholar] [CrossRef]
- Roebber, P. Climate variability in a low-order coupled atmosphere-ocean model. Tellus A 2002, 47, 473–494. [Google Scholar] [CrossRef][Green Version]
- Li, H.-L.; Zhang, L.; Hu, C.; Jiang, Y.-L.; Teng, Z. Dynamical analysis of a fractional-order predator-prey model incorporating a prey refuge. J. Appl. Math. Comput. 2017, 54, 435–449. [Google Scholar] [CrossRef]
- Tavazoei, M.S.; Haeri, M. Chaotic attractors in incommensurate fractional order systems. Phys. D Nonlinear Phenom. 2008, 237, 2628–2637. [Google Scholar] [CrossRef]
- Diethelm, K. An algorithm for the numerical solution of differential equations of fractional order. Electron. Trans. Numer. Anal. 1997, 5, 1–6. [Google Scholar]
- Diethelm, K.; Ford, N.J. Analysis of fractional differential equations. J. Math. Anal. Appl. 2002, 265, 229–248. [Google Scholar] [CrossRef]
Publisher’s Note: MDPI stays neutral with regard to jurisdictional claims in published maps and institutional affiliations. |
© 2022 by the authors. Licensee MDPI, Basel, Switzerland. This article is an open access article distributed under the terms and conditions of the Creative Commons Attribution (CC BY) license (https://creativecommons.org/licenses/by/4.0/).
Share and Cite
Premakumari, R.N.; Baishya, C.; Veeresha, P.; Akinyemi, L. A Fractional Atmospheric Circulation System under the Influence of a Sliding Mode Controller. Symmetry 2022, 14, 2618. https://doi.org/10.3390/sym14122618
Premakumari RN, Baishya C, Veeresha P, Akinyemi L. A Fractional Atmospheric Circulation System under the Influence of a Sliding Mode Controller. Symmetry. 2022; 14(12):2618. https://doi.org/10.3390/sym14122618
Chicago/Turabian StylePremakumari, Ramapura N., Chandrali Baishya, Pundikala Veeresha, and Lanre Akinyemi. 2022. "A Fractional Atmospheric Circulation System under the Influence of a Sliding Mode Controller" Symmetry 14, no. 12: 2618. https://doi.org/10.3390/sym14122618
APA StylePremakumari, R. N., Baishya, C., Veeresha, P., & Akinyemi, L. (2022). A Fractional Atmospheric Circulation System under the Influence of a Sliding Mode Controller. Symmetry, 14(12), 2618. https://doi.org/10.3390/sym14122618

