Abstract
In the present study, the exact solutions of the fractional three-dimensional (3D) Helmholtz equation (FHE) are obtained using the Laplace residual power series method (LRPSM). The fractional derivative is calculated using the Caputo operator. First, we introduce a novel method that combines the Laplace transform tool and the residual power series approach. We specifically give the specifics of how to apply the suggested approach to solve time-fractional nonlinear equations. Second, we use the FHE to evaluate the method’s efficacy and validity. Using 2D and 3D plots of the solutions, the derived and precise solutions are compared, confirming the suggested method’s improved accuracy. The results for nonfractional approximate and accurate solutions, as well as fractional approximation solutions for various fractional orders, are indicated in the tables. The relationship between the derived solutions and the actual solutions to each problem is examined, showing that the solution converges to the actual solution as the number of terms in the series solution of the problems increases. Two examples are shown to demonstrate the effectiveness of the suggested approach in solving various categories of fractional partial differential equations. It is evident from the estimated values that the procedure is precise and simple and that it can therefore be further extended to linear and nonlinear issues.
1. Introduction
A number of phenomena can be described using fractional derivatives (FD), which generalize integer derivatives and change the order of derivatives from integer to real or even complex. Fractional calculus (FC) has produced a unique mathematical approach to solutions for countless applications in a variety of scientific fields [1,2,3]. Numerous applications, including ecology, signal and image processing, economics, and mechanics, accurately depend on FC. Continuous-time random walk, anomalous diffusion, control, and vibration are the main topics of FC [4]. Recently, many books on FC have been published, and in each of them, the subject’s history is discussed in some form [5,6,7,8]. It comes naturally to use fractional derivatives when mathematically modeling viscoelastic materials, according to Podliubny [7], who surveyed numerous applications that have resulted from FC. Numerous fractional derivative forms were taken into consideration: Caputo, Riemann–Liouville, ErdélyiKober, Hadamard, Marchaud, Riesz, and Grünwald–Letnikov are just some examples. The most common definitions used for the differ-integral of fractional order are the Riemann–Liouville, Grünwald–Letnikov, and the Caputo definition. To explain fractional differential equations, a variety of strategies were proposed, for example, collocation method [9], monotone iterative method [10], Yang transform decomposition method [11,12], trapezoidal method [13] homotopy analysis method [14], Elzaki transform decomposition method [15,16], homotopy perturbation transform method [17,18], auxiliary equation method [19], fractional variational iteration method [20,21], and many more [22,23,24,25,26].
The Helmholtz equation is a potential second-order elliptic partial differential equation theory that follows naturally from the wave equation [27]. In most cases, we present it as
where the wave number is , and the Laplace operator is . When , the Helmholtz equation is the same as Laplace’s equation. The Helmholtz equation (HE) is a generalization of Laplace’s equation.
The wave solution is for a harmonic source vibrating at a specific fixed frequency using an appropriate scalar HE over an assumed region W in a 2D nonhomogeneous isotropic medium with speed c.
where is differentiable function over the boundary of W, is a known function, is a constant, is the wave number and the wavelength is [28].
The HE must have a singular solution if it models a physical reality. In real life, there are numerous applications for the HE. Some of them include the following: when the temperature is changed while the pressure remains constant, it is used in the field of optics to calculate changes in enthalpy; CHELS, or the combined Helmholtz equation-least squares method, is utilized in seismology, elastic waves, electromagnetism, the scientific study of earthquakes, medical imaging, volcanic eruptions, and tsunamis. Using FRDTM, Abuasad et al. [29] achieved an accurate solution for two-dimensional FHE. In order to find the solution of HE, the higher-order compact difference (HOC) method with consistent mesh sizes was applied by Ghaffar et al. [30]. Gupta et al. [31] found the approximative solution of a multidimensional partial differential Helmholtz problem with fractional space derivatives [32,33,34].
Numerous physical issues, such as fluid confined by thermally conducting walls or flows with shear viscosity, have a wide range of applications for conservation equations, which are frequently converted into the Helmholtz equation. In the former case, Nguyen and Delcarte [35] studied the Helmholtz problem with mixed derivatives using a spectral collocation method, including local fractional integral transforms [36], double-layer potentials for a generalized biaxially symmetric HE [37], the variational iteration method (VIM) [38], the cylindrical coordinates of the Cantorian and Cantor-type, and the diffusion and Helmholtz equations connected to local fractional derivative operators [39].
Because the power series approach is increasingly widespread, it was applied more frequently to address fractional issues when the standard derivative was updated to a fractional derivative. The fractional RPS and fractional DTM techniques are used to develop and address numerous key problems in various science and engineering disciplines. The method was first introduced by Omar Abu Arqub, who used it to solve first- and second-order fuzzy differential equations [40]. The RPSM offers a quick and efficient approach to creating the solution as a series for both linear and nonlinear equations. The power series expansion without perturbation, discretization, or linearization is the foundation of the innovative analytical method known as RPSM. In this study, we aimed to enhance the efficiency of the RPSM approach by adding the Laplace transform. The Laplace residual power series method (LRPSM) is the name given to this RPSM advancement. Solving three-dimensional Helmholtz equations describe the construction of this novel approach.
The purpose of this study was to employ LRPSM to the fractional 3D Helmholtz equation with space of the type:
with the initial condition
where is a given function and
The importance of this study is finding an accurate solution to the 3D FHE using a comparably new method and comparing the accurate solution of non-FHE to tenth-order approximations for a range of fractional derivative values. Researchers can use this study as a fundamental reference to examine this strategy and employ it in many applications to get accurate and approximative results in a few easy steps. The unique aspect of this study is the implementation of LRPSM for three-dimensional FHE with modest and easy steps. In Section 2, we provide straightforward definitions and properties of fractional calculus. Section 3 contains the proposed approach, whereas Section 4 provides accurate solutions to two cases of 3D FHE.
2. Preliminaries
In this section, we explain the basic concept associated with fractional calculus in addition to Laplace transform theorems.
Definition 1
([41]). In the Caputo sense, the fractional derivative is
with and is the Riemann–Liouville (RL) integral operator as
Definition 2
([41]). The function Laplace transform (LT) is
employing inverse LT as
Lemma 1.
Consider that is a piecewise continuous function having , then the following properties hold:
- (i)
- (ii)
- (iii)
The proof of this Lemma is given in [21].
Theorem 1.
Consider is a piecewise continuous on having exponential order ϑ. Let us assume that the function has the fractional expansion as:
Thus, .
The proof of this Theorem can be seen in [41].
Remark 1.
By employing inverse LT to (9) given as [41]:
which is similar to the fractional Taylor’s formula stated in [42].
The subsequent Theorem describes and establishes the convergence of the FPS in Theorem 1.
3. LRPSM Idea
Consider the following general fractional differential equation
subjected to the initial condition
Second, we describe the altered function as
As stated in [43], from the Laplace residual function definition
Third, we provide a few characteristics of the typical residual power series approach [43]:
- (i)
- and for each ;
- (ii)
- If , then
- (iii)
- for and
We now perform a further iterative solution of the system to obtain the coefficient values
for and
Finally, we employ inverse LT to for obtaining the kth approximations .
4. Numerical Problems
In this section, We examine the LRPSM significance for extracting the 3D FHE’s closed form solution.
Example 1.
Let us consider 3D FHE of the form
with the initial condition
Taking the LT to (18) and by utilizing (19), we have
The kth-truncated series is stated as
thus, the kth LRFs are:
To obtain , the kth-truncated series (21) is now inserted into the kth Laplace residual function (22). The derived equation is then multiplied by and now we solve the relation
Some values are as:
and so on.
By inserting the values for with in (21), we can now obtain
When we take the inverse of LT, we have
Taking , we have
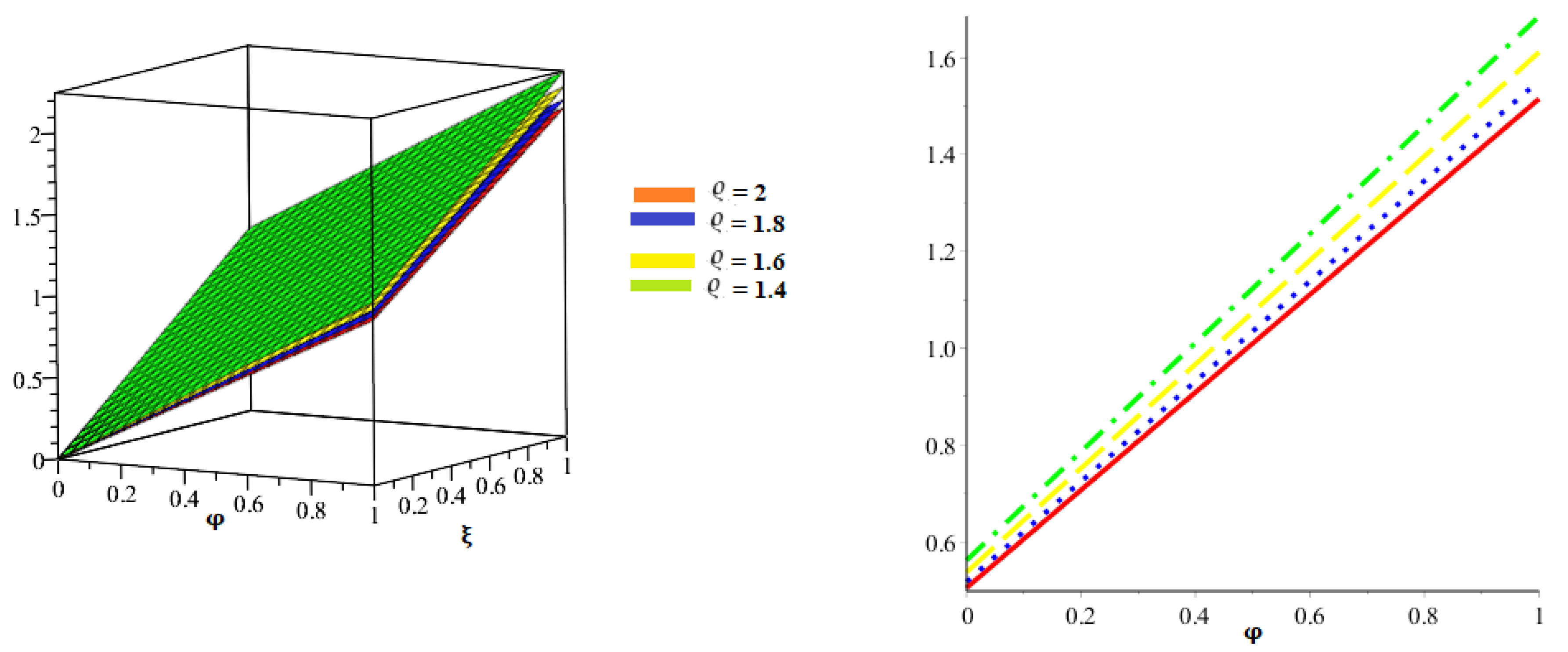
In Figure 1, exact and proposed approach tenth-order approximate solution at and for Example 1. Figure 2, suggested approach to solution at and for Example 1. Figure 3, the suggested approach tenth-order analytical solution at numerous values of ϱ and for Example 1. In Table 1, the exact solution and proposed method tenth-order approximate solution of Example 1 at different fractional-orders of ϱ and .
Figure 1.
The exact and proposed approach tenth-order approximate solution at and for Example 1.
Figure 2.
Suggested approach to solution at and for Example 1.
Figure 3.
The suggested approach tenth-order analytical solution at numerous values of and for Example 1.
Table 1.
The exact solution and proposed method tenth-order approximate solution of Example 1 at different fractional-orders of and .
Example 2.
Let us consider 3D FHE with ξ space fractional derivative of the form
with the initial condition
Taking the LT to (25) and by utilizing (26), we obtain
The kth-truncated series is stated as
Thus, the kth LRFs are
To obtain , the kth-truncated series (28) is now inserted into the kth Laplace residual function (29). The derived equation is then multiplied by and now we solve the relation
Some values are as:
and so on.
By inserting the values for with in (28), we now acquire
When we take the inverse of LT, we have
Taking , we have
In Figure 4, exact and proposed approach tenth-order approximate solution at and for Example 2. Figure 5, suggested approach to solution at and for Example 2. Figure 6, the suggested approach tenth-order analytical solution at numerous values of ϱ and for Example 2. In Table 2, the exact solution and proposed method tenth-order approximate solution of Example 1 at different fractional-orders of ϱ and .
Figure 4.
The exact and suggested approach tenth-order approximate solution at and for Example 2.
Figure 5.
Suggested approach to solution at and for Example 2.
Figure 6.
The suggested approach tenth-order analytical solution of Example 2 at different values of and .
Table 2.
Exact and proposed method tenth-order approximate solution at numerous orders of and of Example 2.
5. Conclusions
In order to solve several significant nonlinear temporal-fractional models, a novel method combining the Laplace transform operator and residual power series was described in this paper. The advantage of the new technique is that it requires less computation to determine the result in series form, whose coefficients are established in a series of algebraic steps. Two separate physical models were solved using the suggested method, and graphs and tables showed that it was accurate. Finally, we demonstrated that the Laplace residual power series approach could handle fractional nonlinear equations with excellent accuracy and simple computation operations. Graphs and tables were used to display the results that were obtained. We determined from the graphs and tables that the exact and analytical solutions are closely related to one another. Using the existing method, smaller calculations have greater accuracy and can be used to expand the Laplace transform residual power series schemes to higher dimensional physical applications in a future study. Additionally, the suggested approach can be applied to analyze many fractional problems related to the propagation of nonlinear phenomena in plasma physics, for instance, studying the impact of the temporal fractional on the solitary waves, conoidal waves, and rogue waves [44,45,46,47] in different plasma models in addition to other oscillations in fluid mechanics many fields of science [48,49,50,51,52].
Author Contributions
Conceptualization, W.A. and R.S.; data curation, W.A., K.N. and L.S.E.-S.; formal analysis, W.A., R.S., K.N. and L.S.E.-S.; funding acquisition, K.N.; investigation, W.A., R.S., K.N. and L.S.E.-S.; methodology, R.S. and S.A.E.-T.; project administration, S.A.E.-T.; resources, R.S. and S.A.E.-T.; software, R.S. and S.A.E.-T.; supervision, W.A.; validation, W.A., R.S., K.N. and L.S.E.-S.; visualization, R.S. and K.N.; writing—original draft preparation, R.S.; writing—review and editing, W.A., K.N. and S.A.E.-T. All authors have read and agreed to the published version of the manuscript.
Funding
The authors express their gratitude to Princess Nourah bint Abdulrahman University Researchers Supporting Project number (PNURSP2023R157), Princess Nourah bint Abdulrahman University, Riyadh, Saudi Arabia.
Data Availability Statement
The numerical data used to support the fndings of this study are included within the article.
Acknowledgments
The authors express their gratitude to Princess Nourah bint Abdulrahman University Researchers Supporting Project number (PNURSP2023R157), Princess Nourah bint Abdulrahman University, Riyadh, Saudi Arabia.
Conflicts of Interest
The authors declare no conflict of interest.
References
- Milici, C.; Draganescu, G.; Machado, J.T. Introduction to Fractional Differential Equations; Springer: Cham, Switzerland, 2018; Volume 25. [Google Scholar]
- Debnath, L. Recent applications of fractional calculus to science and engineering. Int. J. Math. Math. Sci. 2003, 54, 3442. [Google Scholar] [CrossRef]
- Batiha, I.M.; Oudetallah, J.; Ouannas, A.; Al-Nana, A.A.; Jebril, I.H. Tuning the Fractional-order PID-Controller for Blood Glucose Level of Diabetic Patients. Int. J. Adv. Soft Comput. Appl. 2021, 13, 1–10. [Google Scholar]
- Atangana, A.; Secer, A. A note on fractional order derivatives and table of fractional derivatives of some special functions. Abstr. Appl. Anal. 2013, 2013, 279681. [Google Scholar] [CrossRef]
- Miller, K.S.; Ross, B. An Introduction to the Fractional Calculus and Fractional Differential Equations; Wiley-Interscience: New York, NY, USA, 1993. [Google Scholar]
- Oldham, K.; Spanier, J. The Fractional Calculus Theory and Applications of Differentiation and Integration to Arbitrary Order; Academic Press: New York, NY, USA, 1974. [Google Scholar]
- Podlubny, I. Fractional Differential Equations, Mathematics in Science and Engineering; Academic Press: San Diego, CA, USA, 1999. [Google Scholar]
- Samko, S.G.; Kilbas, A.A.; Marichev, O.I. Fractional Integrals and Derivatives: Theory and Applications; Gordon and Breach Science Publishers: Yverdon, Switzerland, 1993. [Google Scholar]
- Lu, S.; Guo, J.; Liu, S.; Yang, B.; Liu, M.; Yin, L.; Zheng, W. An Improved Algorithm of Drift Compensation for Olfactory Sensors. Appl. Sci. 2022, 12, 9529. [Google Scholar] [CrossRef]
- Bai, Z.; Zhang, S.; Sun, S.; Yin, C. Monotone iterative method for fractional differential equations. Electron. J. Differ. Equ. 2016, 6, 1–8. [Google Scholar]
- Zidan, A.M.; Khan, A.; Shah, R.; Alaoui, M.K.; Weera, W. Evaluation of time-fractional Fisher’s equations with the help of analytical methods. Aims Math. 2022, 7, 18746–18766. [Google Scholar] [CrossRef]
- Alaoui, M.K.; Fayyaz, R.; Khan, A.; Shah, R.; Abdo, M.S. Analytical investigation of Noyes-Field model for time-fractional Belousov-Zhabotinsky reaction. Complexity 2021, 2021, 3248376. [Google Scholar] [CrossRef]
- Garrappa, R. Trapezoidal methods for fractional differential equations: Theoretical and computational aspects. Math. Comput. Simul. 2015, 110, 96–112. [Google Scholar] [CrossRef]
- Demir, A.; Bayrak, M.A.; Ozbilge, E. A new approach for the approximate analytical solution of space-time fractional differential equations by the homotopy analysis method. Adv. Math. Phys. 2019, 2019, 1–12. [Google Scholar] [CrossRef]
- Zheng, W.; Tian, X.; Yang, B.; Liu, S.; Ding, Y.; Tian, J.; Yin, L. A Few Shot Classification Methods Based on Multiscale Relational Networks. Appl. Sci. 2022, 12, 4059. [Google Scholar] [CrossRef]
- Shah, N.A.; El-Zahar, E.R.; Akgül, A.; Khan, A.; Kafle, J. Analysis of Fractional-Order Regularized Long-Wave Models via a Novel Transform. J. Funct. Spaces 2022, 2022, 2754507. [Google Scholar] [CrossRef]
- Sunthrayuth, P.; Alyousef, H.A.; El-Tantawy, S.A.; Khan, A.; Wyal, N. Solving Fractional-Order Diffusion Equations in a Plasma and Fluids via a Novel Transform. J. Funct. Spaces 2022, 2022, 1899130. [Google Scholar] [CrossRef]
- Qin, Y.; Khan, A.; Ali, I.; Al Qurashi, M.; Khan, H.; Shah, R.; Baleanu, D. An efficient analytical approach for the solution of certain fractional-order dynamical systems. Energies 2020, 13, 2725. [Google Scholar] [CrossRef]
- Akbulut, A.; Kaplan, M. Auxiliary equation method for time-fractional differential equations with conformable derivative. Comput. Math. Appl. 2018, 75, 876–882. [Google Scholar] [CrossRef]
- Ban, Y.; Liu, M.; Wu, P.; Yang, B.; Liu, S.; Yin, L.; Zheng, W. Depth Estimation Method for Monocular Camera Defocus Images in Microscopic Scenes. Electronics 2022, 11, 2012. [Google Scholar] [CrossRef]
- Areshi, M.; Khan, A.; Shah, R.; Nonlaopon, K. Analytical investigation of fractional-order Newell-Whitehead-Segel equations via a novel transform. AIMS Math. 2022, 7, 6936–6958. [Google Scholar] [CrossRef]
- Ismail, G.M.; Abdl-Rahim, H.R.; Ahmad, H.; Chu, Y.M. Fractional residual power series method for the analytical and approximate studies of fractional physical phenomena. Open Phys. 2020, 18, 799–805. [Google Scholar] [CrossRef]
- Chen, S.B.; Jahanshahi, H.; Abba, O.A.; Solis-Perez, J.E.; Bekiros, S.; Gomez-Aguilar, J.F.; Yousefpour, A.; Chu, Y.M. The effect of market confidence on a financial system from the perspective of fractional calculus: Numerical investigation and circuit realization. Chaos Solitons Fractals 2020, 140, 110223. [Google Scholar] [CrossRef]
- Zhou, J.C.; Salahshour, S.; Ahmadian, A.; Senu, N. Modeling the dynamics of COVID-19 using fractal-fractional operator with a case study. Results Phys. 2022, 33, 105103. [Google Scholar] [CrossRef]
- Hendy, M.H.; Amin, M.M.; Ezzat, M.A. Two-dimensional problem for thermoviscoelastic materials with fractional order heat transfer. J. Therm. Stress. 2019, 42, 1298–1315. [Google Scholar] [CrossRef]
- Shymanskyi, V.; Sokolovskyy, Y. Variational Formulation Of The Stress-Strain Problem In Capillary-Porous Materials With Fractal Structure. In Proceedings of the 2020 IEEE 15th International Conference on Computer Sciences and Information Technologies (CSIT), Zbarazh, Ukraine, 23–26 September 2020; Volume 1, pp. 1–4. [Google Scholar]
- Hoan, L.V.C.; Korpinar, Z.; Inc, M.; Chu, Y.M.; Almohsen, B. On convergence analysis and numerical solutions of local fractional Helmholtz equation. Alex. Eng. J. 2020, 59, 4335–4341. [Google Scholar] [CrossRef]
- Abuasad, S.; Yildirim, A.; Hashim, I.; Karim, S.A.A.; Gómez-Aguilar, J. Fractional multi-step differential transformed method for approximating a fractional stochastic SIS epidemic model with imperfect vaccination. Int. J. Environ. Res. Public Health 2019, 16, 973. [Google Scholar] [CrossRef] [PubMed]
- Abuasad, S.; Moaddy, K.; Hashim, I. Analytical treatment of two-dimensional fractional Helmholtz equations. J. King Saud Univ.-Sci. 2019, 31, 659–666. [Google Scholar] [CrossRef]
- Ghaffar, F.; Badshah, N.; Islam, S. Multigrid method for solution of 3d helmholtz equation based on hoc schemes. Abstr. Appl. Anal. 2014, 2014, 954658. [Google Scholar] [CrossRef]
- Gupta, P.K.; Yildirim, A.; Rai, K. Application of he’s homotopy perturbation method for multi-dimensional fractional helmholtz equation. Int. J. Numer. Methods Heat Fluid Flow 2012, 22, 424–435. [Google Scholar] [CrossRef]
- Kovalnogov, V.N.; Fedorov, R.V.; Generalov, D.A.; Chukalin, A.V.; Katsikis, V.N.; Mourtas, S.D.; Simos, T.E. Portfolio Insurance through Error-Correction Neural Networks. Mathematics 2022, 10, 3335. [Google Scholar] [CrossRef]
- Kovalnogov, V.N.; Kornilova, M.I.; Khakhalev, Y.A.; Generalov, D.A.; Simos, T.E.; Tsitouras, C. Fitted modifications of Runge-Kutta-Nystrom pairs of orders7(5) for addressing oscillatory problems. Math. Meth. Appl. Sci. 2022, 46, 273–282. [Google Scholar] [CrossRef]
- Xie, X.; Wang, T.; Zhang, W. Existence of solutions for the (p,q)-Laplacian equation with nonlocal Choquard reaction. Appl. Math. Lett. 2023, 135, 108418. [Google Scholar] [CrossRef]
- Nguyen, S.; Delcarte, C. A spectral collocation method to solve Helmholtz problems with boundary conditions involving mixed tangential and normal derivatives. J. Comput. Phys. 2004, 200, 34–49. [Google Scholar] [CrossRef]
- Yang, X.-J.; Baleanu, D.; Srivastava, H.M. Local Fractional Integral Transforms and Their Applications; Academic Press (Elsevier Science Publishers): Amsterdam, The Netherlands; Heidelberg, Germany; London, UK; New York, NY, USA, 2016. [Google Scholar]
- Srivastava, H.M.; Hasanov, A.; Choi, J. Double-layer potentials for a generalized bi-axially symmetric Helmholtz equation. Sohag J. Math. 2015, 2, 1–10. [Google Scholar]
- Benamou, J.D.; Desprès, B. A domain decomposition method for the Helmholtz equation and related optimal control problems. J. Comput. Phys. 1997, 136, 68–82. [Google Scholar] [CrossRef]
- Hao, Y.-J.; Srivastava, H.M.; Jafari, H.; Yang, X.-J. Helmholtz and diffusion equations associated with local fractional derivative operators involving the Cantorian and Cantor-type cylindrical coordinates. Adv. Math. Phys. 2013, 2013, 754248. [Google Scholar] [CrossRef]
- Arqub, O.A. Series solution of fuzzy differential equations under strongly generalized differentiability. J. Adv. Res. Appl. Math. 2013, 5, 31–52. [Google Scholar] [CrossRef]
- Ahmad, E.-A. Adapting the Laplace transform to create solitary solutions for the nonlinear time-fractional dispersive PDEs via a new approach. Eur. Phys. J. Plus 2021, 136, 1–22. [Google Scholar]
- Arqub, O.A.; El-Ajou, A.; Momani, S. Construct and predicts solitary pattern solutions for nonlinear time-fractional dispersive partial differential equations. J. Comput. Phys. 2015, 293, 385–399. [Google Scholar] [CrossRef]
- Alquran, M.; Ali, M.; Alsukhour, M.; Jaradat, I. Promoted residual power series technique with Laplace transform to solve some time-fractional problems arising in physics. Results Phys. 2020, 19, 103667. [Google Scholar] [CrossRef]
- Dang, W.; Guo, J.; Liu, M.; Liu, S.; Yang, B.; Yin, L.; Zheng, W. A Semi-Supervised Extreme Learning Machine Algorithm Based on the New Weighted Kernel for Machine Smell. Appl. Sci. 2022, 12, 9213. [Google Scholar] [CrossRef]
- Albalawi, W.; El-Tantawy, S.A.; Salas, A.H. On the rogue wave solution in the framework of a Korteweg–de Vries equation. Results Phys. 2021, 30, 104847. [Google Scholar] [CrossRef]
- El-Tantawy, S.A.; El-Sherif, L.S.; Bakry, A.M.; Weaam, A.; Abdul-Majid, W. On the analytical approximations to the nonplanar damped Kawahara equation: Cnoidal and solitary waves and their energy. Phys. Fluids 2022, 34, 113103. [Google Scholar] [CrossRef]
- El-Tantawy, S.A.; Salas, A.H.; Alyousef, H.A.; Alharthi, M.R. Novel approximations to a nonplanar nonlinear Schrodinger equation and modeling nonplanar rogue waves/breathers in a complex plasma. Chaos Solitons Fractals 2022, 163, 112612. [Google Scholar] [CrossRef]
- El-Tantawy, S.A.; Alharthi, M.R. Novel solutions to the (un)damped Helmholtz-Duffing oscillator and its application to plasma physics: Moving boundary method. Phys. Scr. 2021, 96, 104003. [Google Scholar]
- El-Tantawy, S.A.; Salas; Alvaro, H.; Alharthi, M.R. On the Analytical Solutions of the Forced Damping Duffing Equation in the Form of Weierstrass Elliptic Function and its Applications. Math. Probl. Eng. 2021, 2021, 6678102. [Google Scholar] [CrossRef]
- Aljahdaly Noufe, H.; El-Tantawy, S.A. On the multistage differential transformation method for analyzing damping Duffing oscillator and its applications to plasma physics. Mathematics 2021, 9, 432. [Google Scholar] [CrossRef]
- El-Tantawy, S.A.; Salas Alvaro, H.; Alharthi, M.R. A new approach for modelling the damped Helmholtz oscillator: Applications to plasma physics and electronic circuits. Commun. Theor. Phys. 2021, 73, 035501. [Google Scholar] [CrossRef]
- Alhejaili, W.; Salas, A.H.; El-Tantawy, S.A. Novel Approximations to the (Un)forced Pendulum–Cart System: Ansatz and KBM Methods. Mathematics 2022, 10, 2908. [Google Scholar] [CrossRef]
Disclaimer/Publisher’s Note: The statements, opinions and data contained in all publications are solely those of the individual author(s) and contributor(s) and not of MDPI and/or the editor(s). MDPI and/or the editor(s) disclaim responsibility for any injury to people or property resulting from any ideas, methods, instructions or products referred to in the content. |
© 2023 by the authors. Licensee MDPI, Basel, Switzerland. This article is an open access article distributed under the terms and conditions of the Creative Commons Attribution (CC BY) license (https://creativecommons.org/licenses/by/4.0/).





