Next Article in Journal
TMG Symmetry and Kinematic Analysis of the Impact of Different Plyometric Programs on Female Athletes’ Lower-Body Muscles
Next Article in Special Issue
FuzzyH Method for Distance Estimation in Autonomous Train Operation
Previous Article in Journal
Unraveling the Subsurface Damage and Material Removal Mechanism of Multi-Principal-Element Alloy FeCrNi Coatings During the Scratching Process
 
 
Font Type:
Arial Georgia Verdana
Font Size:
Aa Aa Aa
Line Spacing:
Column Width:
Background:
Article

Non-Periodic Quantized Model Predictive Control Method for Underwater Dynamic Docking

1
China Ship Scientific Research Centre, Wuxi 214082, China
2
School of Automation, Changshan Campus, Jiangsu University of Science and Technology, Zhenjiang 212000, China
*
Author to whom correspondence should be addressed.
Symmetry 2024, 16(10), 1392; https://doi.org/10.3390/sym16101392
Submission received: 19 September 2024 / Revised: 10 October 2024 / Accepted: 16 October 2024 / Published: 18 October 2024
(This article belongs to the Special Issue Symmetry in Control System Theory and Applications)

Abstract

This study proposed an event-triggered quantized model predictive control (ETQMPC) method for the dynamic docking of unmanned underwater vehicles (UUVs) and human-occupied vehicles (HOVs). The proposed strategy employed a non-periodic control approach that initiated the non-linear model predictive control (NMPC) optimization and state sampling based on tracking errors and deviations from the predicted optimal state, thereby enhancing computing performance and system efficiency without compromising the control quality. To further conserve communication resources and improve information transfer efficiency, a quantitative feedback mechanism was employed for sampling and state quantification. The simulation experiments were performed to verify the effectiveness of the method, demonstrating excellent docking trajectory tracking performance, robustness against bounded current interference, and significant reductions in computational and communication burdens. The experimental results demonstrated that the method outperformed in the docking trajectory tracking control performance significantly improved the computational and communication performance, and comprehensively improved the system efficiency.

1. Introduction

The extreme environment of the deep sea and the increasing complexity of tasks are placing new demands on the maneuverability and intelligence of unmanned underwater vehicles (UUVs), while also presenting technical challenges related to power supply, data transmission, inspection, and maintenance. Typically, UUVs are deployed and recovered underwater by deep-sea transport platforms, such as manned submersibles (HOVs), making underwater docking a crucial process for the efficient and sustainable maintenance of UUVs. The operational efficiency and safety of UUVs, particularly during docking and recovery under HOV movement, are significantly affected by the effectiveness of docking and recovery control [1,2].
Dynamic underwater docking presents significant challenges for the accuracy and robustness of trajectory-tracking control, particularly in terms of position and velocity. However, the disturbance forces from sea currents and the interaction between the two docking objects can substantially affect the docking motion of the UUV [3,4]. The docking control software operates on the embedded computer of UUV, which requires a high real-time computational performance. Moreover, the transmission of status information, such as the relative position and attitude between the UUV and HOV, via underwater acoustic communication, is critical. Status feedback can be constrained by limited bandwidth, low transmission frequency, and latency. These issues render the underwater dynamic docking process exceptionally challenging.
Extensive investigations have focused on underwater docking control, demonstrating substantial interest and dedication to the subject. Xie et al. proposed a 3D mobile docking control method for underactuated autonomous underwater vehicles (AUVs) using an observer-based backstepping sliding mode controller [5]. Thuyen et al. developed a three-dimensional trajectory tracking control method that utilized a hybrid Lyapunov direct method and adaptive integral terminal sliding mode control for the under-actuated AUVs [6], whereas they did not address rudder and thruster input saturation. Zuo et al. introduced a sliding mode control method based on saturated boundary layers, along with a thrust allocation approach using quadratic programming, for the underwater docking and recovery of overdriven AUVs [7]. Guo et al. proposed a trajectory tracking control scheme combining the fast finite-time super-twisting sliding mode control (FSTSMC) and an extended state high-order sliding mode observer (ESHSMO) for high-precision trajectory tracking of over-driven UUVs [8]. Although robust, this approach did not consider the system state constraints and the thruster saturation limits. Sahoo et al. proposed an adaptive neuro-fuzzy proportional integral derivative (PID) controller for the navigation of small autonomous underwater vehicles. Fuzzy logic controllers offered the advantages of simplicity and ease of implementation [9,10], however, the performance of fuzzy controllers was dependent on the selection of fuzzy sets and the definition of membership functions, which were generally empirical and challenging to optimize for complex systems.
In practical applications, constrained non-linear optimization problems are common, and NMPC is a time-domain control method capable of addressing multiple input and output (MIMO) variables while explicitly managing system constraints [11,12]. Martinsen et al. transformed the autonomous docking problem into an optimal control problem, incorporating the control allocation optimization and spatial state constraints to ensure safe collision-free operation [13]. Heshmati-Alamdari et al. proposed a robust NMPC scheme for the three-dimensional trajectory tracking control of AUVs [14], addressing obstacles, workspace boundaries, and thruster saturation, although optimization calculations for each cycle reduce computational performance. Uchihori et al. designed an MPC system using a Linear Parameter Variation (LPV) model to calculate forces and torques while satisfying the rudder angle and thrust limits [15], while the optimization calculations for each cycle remained computationally demanding. Zhang et al. introduced a method for the AUV three-dimensional trajectory tracking based on MPC, effectively managing system input and state constraints [16]. However, the quadratic programming (QP) optimization problem calculated at each sampling time is computationally intensive and requires a high communication frequency. Gong et al. proposed a Lyapunov-based model predictive control (LMPC) framework with a dual-loop MPC controller [17]. Nevertheless, executing two simultaneous online optimization calculations can be highly complex and computationally expensive, rendering the practical implementation challenging.
Although NMPC offers advantages, it is burdened by the computational demands of non-linear system optimization. The event-triggered MPC (ENMPC) can reduce the number of controller cycle iterations while maintaining stable trajectory tracking. Li et al. proposed an event-triggered adaptive non-linear model predictive control (EANMPC) method for trajectory tracking and dynamic obstacle avoidance in unmanned ships by incorporating an event-triggered mechanism (ETM) to alleviate the computational load [18]. However, their approach did not comprehensively address the three-dimensional trajectories or provide a detailed analysis of the system feasibility and stability. Zhao et al. introduced a global course constraint (GCC) and ETM based on a linear MPC simplification for unmanned surface vessels (USVs) to address the path tracking [19] but did not thoroughly examine the Zeno problem of ETM or the impact of event-triggering levels on the system feasibility and stability. Zhang et al. developed a three-dimensional trajectory tracking method using ENMPC, incorporating an ETM to reduce the iterations without compromising performance [20]. However, the two aforementioned studies have not clearly analyzed the Zeno problem of the ETM and the impact of the event triggering level on the feasibility and stability of the system. In addition, the status feedback involving a large amount of information still presents a significant communication burden. Yuan et al. proposed an event-based adaptive time-domain NMPC (EAHNMPC) scheme that adjusted the prediction horizon based on the state error to reduce the computational burden for MSV trajectory tracking [21], but still required significant bandwidth and high-frequency signal transmission. Zhang et al. introduced a self-triggered MPC method that lowered the frequency of optimization computations through a triggering mechanism and variable adjustments, along with a dual-mode MPC strategy for disturbance suppression [22]. However, the dual-mode MPC control strategy can be more complex and may be unsuitable for situations with unknown Lipschitz constant for the optimal cost, and this complex self-triggering mechanism may impose an additional computational burden.
In summary, the traditional NMPC requires significant computational resources and energy consumption to optimize each control cycle, making it challenging to ensure real-time performance. In addition, the limited bandwidth of acoustic communication channels can cause signal congestion and loss during large data transmissions, thereby hindering the real-time status feedback to the controller in practical applications. To address these issues, this study proposed a new event-triggered quantized model of predictive control (ETQMPC) method for the docking control of UUVs and mobile HOVs. The event-triggered control strategy optimized the computational resources and efficiency by triggering non-periodic NMPC computations and sampling. A quantized state feedback mechanism with sufficient accuracy and a low communication rate was employed to reduce the frequency of position and attitude data transmission during docking, thereby enhancing communication efficiency. The results of the simulation experiments demonstrate that this method can effectively improve the computational performance by about 125% compared to the conventional MPC, while satisfying the basic requirements for underwater docking control performance.
The key contributions of this study are summarized as follows:
  • A novel autonomous docking control system framework for underwater mobile terminals was proposed, featuring a 4-DOF model predictive docking controller designed to enhance the robustness of trajectory tracking under complex disturbances. This controller addressed the bounded docking disturbances, thruster saturation constraints, and system-state constraints.
  • A novel ETQMPC control method was proposed for the UUV docking trajectory tracking, with the designed event-triggering mechanism adaptively adjusting the triggering interval based on the position and velocity tracking errors. This non-periodic control approach effectively reduced the number of iterations in the optimization algorithm while maintaining the docking control performance, thereby achieving an optimal balance between control efficiency and computational demands.
  • To address the limited bandwidth of state feedback transmission, a state feedback quantified control algorithm was proposed, incorporating a hysteresis quantizer to manage the feedback of eight state quantities. This approach converted the continuous signals into discrete signals, ensuring the sufficient control accuracy while reducing the communication frequency and channel pressure.
The remainder of this paper is organized as follows: Section 2 details the kinematics, dynamic model, and docking control system architecture; Section 3 introduces the QETMPC-based docking control method; the effectiveness of this method is validated through the simulation tests presented in Section 4; and Section 5 summarizes the conclusions of the study.

2. Problem Formulation

2.1. Notations

The notation used in this study is described below. R   a n d   N denote the set of real and non-negative integers, respectively. For a given matrix X , X T represents its transpose. If X is invertible, X 1 denotes the inverse of the matrix. X > 0 ( X 0 ) indicates that X is positive definite (semi-positive definite); λ ¯ X and λ _ X denote the largest (smallest) eigenvalue of the matrix X , respectively. For a given column vector x of a certain dimension, x P x T P x represents the P -weighted norm, and x is the Euclidean norm. Given two sets A B R n , the set difference of A and B is defined as A B { x | x A , x B } , and the set difference of the Ponctierain set is defined as A B { x | x + y A , y B } .

2.2. Docking Model

Figure 1 illustrates the establishment of an underwater autonomous docking motion co-ordinate system. The north-east-down (NED) frame E ξ η ζ of the geodetic co-ordinate system was fixed to the seafloor, and the origin E was assumed to be selected as a point on the seafloor. The reference body frame (RBF) G x y z was set on the UUV, and the origin was assumed to be the center of gravity G of the UUV.
In the E ξ η ζ co-ordinate system, the position and heading of the UUV are represented by the vector ϱ = ξ , η , ζ , ψ T , where ξ , η , and ζ represent the position of the UUV, and ψ represents the heading angle. The velocity of the UUV in the G x y z co-ordinate system is represented by the vector v = u , v , w , r T , where u , v , w , and r represent the surge speed, sway speed, and yaw rate of the UUV, respectively. Assuming that the UUV’s docking station (DS) is set on the HOV, the HOV is in a constant depth and heading navigation state during docking. The position and heading of HOV in the NED co-ordinate system can be assumed to be ϱ m = ξ m , η m , ζ m , ψ m T . The velocity in the body-fixed co-ordinate system O x m y m z m of HOV is v m = u m , v m , 0 , 0 T .
The control object of this study was the UUV. To facilitate the analysis and simplify the controller design, we made the following assumptions:
Assumption 1.
The UUV can have a small roll and pitch angle in the initial stationary state. Because the velocity during docking is low, the pitch and roll motion of the UUV can be ignored without the need to adjust the pitch and roll angles.
Assumption 2.
The UUV can be in a state of equilibrium between gravity and buoyancy underwater by pre-balancing.
Assumption 3.
The UUV can be considered as a rigid body with a constant mass, moment of inertia, and uniform mass distribution, and it can present three symmetrical planes.
Assumption 4.
There is an upper bound on the thrust that satisfies  T m a x = τ m a x  and  τ m a x = [ τ u , m a x ,   τ v , m a x ,   τ w , m a x ,   τ r , m a x ] T . All the thrusters of the UUV can have the same saturated thrust input  u i U m a x .
The kinematic model of the UUV can be expressed as Equation (1) based on the above assumptions [23]:
ϱ ˙ = ϰ ( ϱ ) v ,
where ϰ ( ϱ ) represents a reversible rotation matrix, which can be expressed as
ϰ ϱ = cos ψ sin ψ 0 0 sin ψ cos ψ 0 0 0 0 1 0 0 0 0 1 .
The inverse of the rotation matrix satisfies ϰ 1 ( ϱ ) = ϰ T ( ϱ ) , and the lengths remain unchanged.
The vector form of the 4-DOF UUV dynamics model is as follows:
M v ˙ + C v v + D v v + g ϱ = τ ,
where M is the inertia and damping matrix, M = diag m X u ˙ , m Y v ˙ , m Z w ˙ , I z N r ˙ ; C ( v ) is the matrix of the Coriolis and centripetal forces, where the quadratic term of the hydrodynamic coefficient in the matrix is ignored; and D ( v ) is the hydrodynamic damping matrix, neglecting the hydrodynamic damping coefficients other than the linear and quadratic terms on the diagonal of the matrix. The following simplified form can be obtained:
C ( v ) = 0 0 0 M v ˙ v 0 0 0 M u ˙ u 0 0 0 0 M v ˙ v M u ˙ u 0 0 ,
D v = X u + X | u | u | | u | 0 0 0 0 Y v + Y | v | v | v | 0 0 0 0 Z w + Z w w w 0 0 0 0 N r + N | r | r | r | .
In Equation (3), g ( ϱ ) is the gravity and buoyancy term that represents the restoring force and moment vector. Based on Assumption 2, g ( ϱ ) = 0 . τ = [ τ u , τ v ,   τ w , τ r ] T is the equivalent force and torque applied to the center of gravity G.
The adopted UUV was an under-actuated system with the thruster arrangement illustrated in Figure 2. It was equipped with six thrusters: four horizontal thrusters T1T4 used for surge, sway, and yaw control, and two vertical thrusters T5T6 for vertical diving control.
The horizontal thrusters T1T4 are angled at χ to the u –axis. The vertical thrusters T5T6 are angled at β to the w –axis. The equivalent thrust τ can be expressed as
τ = Θ U ,
where the thrust control input of thrusters is U = [ u 1 , u 2 , u 3 , u 4 , u 5 , u 6 ] T ; and Θ is the thrust control matrix.
Θ = cos χ cos χ cos χ cos χ 0 0 sin χ sin χ sin χ sin χ 0 0 0 0 0 0 cos β cos β Z Z Z Z 0 0 ,
where Z = ( b / 2 ) · s i n χ + ( a / 2 ) · c o s χ ; and a and b are the equivalent distances between the thrusters in the width and length directions of the UUV, respectively.
Then, by combining Equations (1), (3) and (6), the system model for docking is as follows:
X ˙ t = ϰ ϱ v M 1 Θ · U C ( v ) v D ( v ) v + p ( t ) f ( X ( t ) , U ( t ) ) + p ( t ) ,
where the system state vector is X t = ξ , η , ζ , ψ ,   u ,   v ,   w ,   r T , X t X ; the control vector is U ( t ) U ; the system state and the constraints on the control inputs are represented by the tight sets X R 8 and U R 6 , respectively, both of which have the origin as an interior point; p ( t ) D R 8 represents the disturbance caused by the ocean current and the docking, where the disturbance is bounded by d s u p p ( t ) D p ( t ) ; and D is a compact set.
When the reference state trajectory is X d , the error vector of the state trajectory is X e = X d X . The nominal error model of the system (8) is obtained as
X ^ ˙ e t = f X ^ e t , U ^ t .
Suppose that f : R 8 × R 6 R 8 is a non-linear function satisfying f 0 , 0 = 0 , and that the first parameter X e X is Lipschitz continuous with Lipschitz constant H . The Jacobian linearization of system (10) at the origin is given by
X ˙ e t = A X e t + B U t + p t ,
where A = f X e , U / X e | 0 , 0 and B = f X e , U / U | 0 , 0 . Based on [24], the following standard assumptions were made for the linearized system (10).
Assumption 5.
The system (10) is stable for  p t = 0  and there exists a state feedback gain  K  such that  A K A + B K is Hurwitz.
Then, we obtain the well-known Lemma 1 [24,25]:
Lemma 1
. Based on the above assumptions, for the system in (8), if two matrices Q > 0 and R > 0 are given, then there exists a state feedback gain K , a constant ε > 0 , and a matrix P > 0 such that: (1) The set Ω ϵ { X e t : V X e t ϵ 2 } is the invariant set of the system X ˙ e t = f X e t , K X e t ; (2) V ˙ X e t | X ˙ e t = f X e t , K X e t X e t Q * 2 , where K X e t U , X e t Ω ϵ ; V X e t = X e t P 2 and Q * Q + K T R K .

2.3. Docking Controller Design

The proposed framework for the docking system (Figure 3) involved calculating the reference state X d = ξ d , η d , ζ d , ψ d , u d , v d ,   w d , r d T based on the current HOV motion position and heading ϱ m = ξ m , η m , ζ m , ψ m T using the docking trajectory planning algorithm. The event trigger algorithm generated the trigger signals dynamically based on the error between the reference state X d and quantized state feedback X q , which prompted the NMPC to perform optimization computations and control. The NMPC controller computes the thrust command τ = [ τ u , τ v ,   τ w , τ r ] T , and the thrust allocation algorithm determines the control input U for the thrusters driving the UUV in the docking motion. The UUV acquires position and heading data through a fusion of sensors, including the doppler velocity log (DVL), inertial navigation system (INS), ultra-short baseline (USBL), and visual guidance, to provide status feedback X = ξ , η , ζ , ψ ,   u ,   v ,   w ,   r T . The quantizer then generates quantified status feedback X q . This process continues iteratively until the docking and recovery of the UUV and HOV are complete, with points G and O coinciding.
The dynamic docking problem involves determining a suitable control law to track and synchronize the motion states of the UUV and HOV, such as the position, heading, and velocity, within a specified time T d . Assuming the HOV navigates at a bounded speed v m = u m , v m , 0 , 0 T for the constant depth and heading during docking, and given the known velocity and direction of the HOV, the UUV calculates the reference trajectory X d through the online trajectory planning. The control law ensures that the error between the UUV state X and the reference trajectory converges to a sufficiently small neighborhood, thereby meeting the docking accuracy requirement ε .
l i m t T d X e t = l i m t T d X d t X t = e ,
where e = e ξ , e η , e ζ , e ψ , e u , e v , e w , e r T represents the tracking error of position, heading angle, velocity, and yaw rate, respectively. It should satisfy e ε .
The controller design of ETQMPC is described as follows. The input of the ETQMPC is the reference state trajectory, while the feedback is the state of the UUV. The output of the ETQMPC is the equivalent thrust. The ETQMPC is comprised of three sub-modules: NMPC, state quantizer, and event-trigger module. These three sub-modules are described in detail in the following sections. In comparison to conventional controllers, the ETQMPC, as designed in this paper, does not feature a dual-loop controller, such as a velocity loop and a position loop. Instead, the control command for the equivalent thrust is directly calculated by solving an optimization problem based on the reference input and state feedback.

2.4. Docking Trajectory Planning

The following describes how to generate a feasible reference trajectory X d for the docking system.
Assume that the reference trajectory Γ d = [ ξ d , η d , ζ d , ψ d , ξ ˙ d , η ˙ d , ζ ˙ d , ψ ˙ d ] T in the NED frame can be written as:
Γ d t = G Γ m t , Γ e t ,
where Γ m t is the state vector of HOV under the NED frame; Γ e t is the state error vector between the docking dual bodies; and G ( · ) is a function that represents the synchronization of the HOV and UUV motion states. It can be predefined as needed.
The discussion below centers on the algorithm for generating Γ e t , which is decomposed into four degrees of freedom μ { ξ , η , ζ , ψ } and is planned independently. Each trajectory of the μ -th segment is divided into m piecewise Bezier curves, with the expression for the j -th segment given as follows [26].
Γ e μ t = s j B j t t j 1 s j , t t j 1 , t j ,
where B j ( t ) is the Bernstein polynomial of the j th segment; and s j is the time scaling factor which is used to scale the time interval from [ 0 , 1 ] to the time period t j 1 , t j .
B j t = i = 0 n c j i b n i t , b n i ( t ) = C n i t i ( 1 t ) n i ,
where n is the degree of the polynomial; b n i ( t ) is the basis of the Bernstein polynomial; and c j = [ c j 0 , c j 1 , , c j n ] represents the set of control points of the j th Bezier curve. The problem is then reduced to solving for c j .
Based on references [27,28], solving the set of control points c j for the Bezier curve is formulated as a QP optimization problem with the objective of minimizing the snap, so that the docking is smoother. The objective function is expressed as follows:
J 1 = μ { ξ , η , ζ , ψ } 0 T d 4 Γ μ ( t ) d t 4 2 d t .
Suppose H 0 represents the Hessian matrix of the objective function.
The optimization problem is then [29]
m i n   c T H 0 c s . t . A e q c = b e q , A i e c b i e , c j Λ j , j = 1,2 , , m ,
where c = [ c 1 , c 2 , , c m ] ; and the equation constraint A e q c = b e q represents the trajectory continuity constraint, which states that the trajectory must be continuous at the connection points between the j th and ( j + 1 ) th segments and their 1st to 3rd derivatives. The inequality constraint A i e c b i e characterizes the kinematic feasible constraints, ensuring that the velocity and acceleration of the UUV are within a feasible range. In addition, the safe and feasible domain constraint for each suboptimal variable is represented by c j Λ j , meaning that the generated control point must lie within the set Λ j of safe obstacles.
Using the above method, Γ e t can be obtained, and, subsequently, Equation (12) can be utilized to generate a smoothly differentiated trajectory Γ d t = ϱ d , ϱ ˙ d T . The reference state ϱ d ( t ) is augmented to create a feasible reference X d = ϱ d , v d T (where X d ( t ) R 8 ) for the control system in the receding horizon.
From Equation (1), the reference velocity v d can be obtained:
v d = ϰ 1 ϱ d ϱ ˙ d .
Assumption 6.
It is assumed that the desired trajectory ϱ d ( t ) and its derivatives η d , η ˙ d , and η ¨ d are smooth and bounded and satisfy:  η d η - d , η ˙ d η - d 1 , and η ¨ d η - d 2 .
Due to the characteristics of the Bezier curve, the trajectory generated by the above algorithm obviously satisfies Assumption 6.

3. Docking Control Method

3.1. Optimization Problem

We established the optimization problem of the NMPC by assuming that the sequence { t k } , k N represents the times at which the event was triggered, and the optimization problem was executed. Based on reference [30], we defined the following objective function:
J 2 X ^ e s | t k , U ^ s | t k = t k t k + T   X ^ e s | t k Q 2 + U ^ s | t k R 2 d s + X ^ e t k + T t k P 2 ,
where X ^ e = X d X ^ is the tracking state error; X ^ s | t k is the corresponding predicted state in the nominal model (9); U ^ s | t k is the predicted control input at time t k ; T > 0 is the prediction horizon; and Q > 0 , R > 0 , and P > 0 are the weight matrices.
The optimization problem is then formulated as
U ^ * s | t k = a r g m i n U ^ s | t k J 2 X ^ e s | t k , U ^ s | t k , s . t .   X ^ e s | t k = f X ^ e s | t k , U ^ s | t k ,   s t k , t k + T , U ^ s | t k U , s t k , t k + T , X ^ e s t k X s t k , s t k , t k + T , X ^ e t k + T | t k Ω ϵ ,
where U ^ * s | t k is the predicted optimal control input; and X ^ e * s | t k = X d X ^ * s | t k with s t k , t k + T is the corresponding optimal state error. The J 2 * X e t k , s t k , t k + T was utilized to denote the optimal objective function.
  • Control Input Constraint: Given the thrust saturation constraint on the thrusters, it is necessary to impose a bound on the control input amplitude, leading to the formulation of the control input constraint: U = { U ( t ) R 6 : U ( t ) U m a x } , where U m a x represents the upper limit of the preset control input.
  • State error tightening constraint: X s t k X B s t k , where B s t k { X e t R 8 : X e t P ( d λ ¯ P * / H ) e H s t k 1 } , and P * = P . The state constraint is introduced into the optimization problem to ensure the robustness of the algorithm.
  • Terminal state constraint: X ^ e t k + T | t k Ω ϵ , Ω ϵ = { X e t : V X e t ϵ 2 } .
The Lipschitz property of f X e , U for X e allows us to obtain
X ^ e * s | t k X e s | t k P t k s H X ^ e * τ | t k X e τ | t k P + d λ ¯ P * d τ .
By employing the Gronwall–Bellman inequality, it can be demonstrated that
X ^ e * ( s | t k ) X e ( s | t k ) P d λ ¯ ( P * ) / H ( e H ( s t k ) 1 ) .
Thus, if X ^ e s | t k X s t k , then the actual state satisfies the constraint X e s | t k X .
In order to solve the optimal control sequence in Equation (19), the optimization problem is typically transformed into a convex quadratic programming (QP) problem, which is straightforward to calculate online. Furthermore, the population-based optimization algorithms can be employed instead of QP solvers to achieve enhanced global optimization performance through the implementation of particle swarm optimization (PSO) algorithm, genetic algorithm (GA), and differential evolution (DE) algorithm [31].

3.2. Event Triggering Mechanism

Let the time series { t k } with k N be generated using a specific triggering mechanism.
Attributed to the disturbances in system (8), the actual state may differ from the optimal predicted state. Inspired by [32], to formulate an event-triggered strategy, the trigger time t ¯ k + 1 is defined as follows:
t ¯ k + 1 i n f τ > t k τ :   X ^ e * τ | t k X e τ | t k P = σ ,
where σ = d λ ¯ P * / H e γ T H 1 represents the trigger level; and γ 0 , 1 is the parameter to be designed. The trigger time t k + 1 is as follows:
t k + 1 = m i n t ¯ k + 1 , t k + T .
Assume that the optimization problem can be triggered at t 0 = 0 . Using the triggering mechanism in (23), the optimization problem in (19) is activated at time t k . To prevent the Zeno phenomenon, the minimum interval is examined in Theorem 1.
Theorem 1.
For system (8), if the time series  { t k } , k N , is generated using the triggering mechanism (23), the lower and upper bounds of the event triggering interval can be determined by i n f k N { t k + 1 t k } γ T and s u p k N { t k + 1 t k } T , respectively.
Proof of Theorem 1.
is given in Appendix A. □

3.3. Quantizer Feedback

To reduce sampling and communication, we designed a hysteresis quantizer to quantize state feedback X for avoiding chattering [33]. Our approach was inspired by the hysteresis quantizer X q t = q ( X ( t ) ) proposed in [34], as defined by the following equation:
q X t = X i s g n X , X i 1 + δ < X X i , X ˙ < 0 , o r X i < X X i 1 δ , X ˙ > 0 X i ( 1 + δ ) s g n ( X ) X i < X X i 1 δ , X ˙ < 0 , o r X i 1 δ < X X i 1 + δ 1 δ ,   X ˙ > 0 0 0 X < X m i n 1 + δ , X ˙ < 0   o r X m i n 1 + δ X X m i n ,   X ˙ > 0 , q ( X ( t ) ) X ˙ = 0 ,
where X i = ρ 1 i X m i n with integer i = 1 , 2 , and parameters X m i n > 0 and 0 < ρ < 1 , δ = 1 ρ / 1 + ρ ; X q t is in the set X Q = { 0 , ± X i , ± X i 1 + δ } ; and X m i n determines the size of the deadband of X q t .
The X > 0 mapping of the hysteresis quantizer q X t is shown in Figure 4. The following description is provided for this quantizer:
Remark 1.
Parameter  ρ  measures the quantization density; a smaller   ρ  results in a coarser quantizer. As  ρ  approaches zero and  δ  approaches one,  q X  will have fewer quantization levels for  X  within the interval.
Remark 2.
The quantizer in (24) includes an additional quantization level compared to the logarithmic quantizer, designed to prevent chattering. As illustrated in Figure 4, when  q X t  shifts from one value to another, a delay occurs before the new transition occurs, introducing a hysteresis effect into the quantization system.

3.4. ETQMPC Algorithm

In summary, this section proposes a UUV docking control algorithm based on ETQMPC, which operated as follows: When ETQMPC is triggered at time t k , the reference state trajectory X d ( t ) of the UUV is first calculated from the HOV state trajectory ϱ m using Equations (12)–(17). The current system state X ( t ) is then sampled, and the quantized feedback state X q ( t ) is generated by the state quantizer when it is triggered. Finally, the actual state error X e t = X d t X q ( t ) is calculated.
To reduce the computational burden, this study employed the dual-mode control strategy proposed in reference [35]. According to Lemma 1, if X e t Ω ϵ , there exists a feedback control law U t = K X e t that stabilizes the system (8) when p t = 0 , while also satisfying the input and state constraints. If X e t Ω ϵ , the NMPC optimization problem in Equation (19) can be solved using the sequential quadratic programming (SQP) algorithm to obtain the control input U ^ * ; otherwise, the control output is determined by U t = K X e t .
When X e t Ω ϵ , the next trigger time t k + 1 is determined by the event-triggering mechanism using Equations (22) and (23), and the optimization process is repeated for t k . The docking motion was completed when the G and O points coincided. Thus, the ETQMPC-based docking control algorithm was implemented in a receding horizon manner, as outlined in Algorithm 1.
Algorithm 1: ETQMPC Algorithm
Input: Prediction horizon T ; triggering level σ ; local stabilizing gain K ; weighting matrices Q, R and P; terminal constraints Ω ϵ ; index k = 0 .
Output: U t .
1: Obtain the status ϱ m of the HOV;
2: Calculate the reference state X d ( t ) with (12)–(17);
3: Sampling current system state X ( t ) ;
4: while  X e t Ω ϵ  do
5:    Solve the optimization problem in (19);
6:    while t k + 1 is not triggered do
7:     Let U ^ * denote the (sub-) optimal solution and apply control input;
8:    end while
9:    Generate quantized state feedback X q t with (24), and calculate X e t ;
10:     Solve the optimization problem in (19);
11:      k = k + 1 ;
12: end while
13: Apply the locally stabilizing law K X e t ;
14: Repeat the above process until the end of docking.

3.5. Feasibility and Stability Analysis

The feasibility and stability of Algorithm 1 are analyzed in this section.

3.5.1. Feasibility Analysis

First, the feasibility of the ETQMPC algorithm was analyzed, and sufficient conditions were provided to ensure its feasibility.
For X ^ e s | t k Ω ϵ , there can be a stabilizing feedback control law U ^ t = K X ^ e t such that the nominal system state X ^ ˙ e t = f X ^ e t , K X ^ e t satisfies X ^ e s | t k X s t k with s t k + T , t k + 1 + T . Assume that for system (1) at the initial time t 0 with state X ^ e 0 , the optimization problem (19) has a solution [25].
The feasible control candidate at time t k + 1 is established using the optimal control U ^ * s | t k determined at time t k :
U ¯ s | t k + 1 = U ^ * s | t k , s t k + 1 , t k + T K X ^ e * s | t k , s t k + T , t k + 1 + T ,
where X ^ e * s | t k represents the state error of the nominal model (9) subject to the locally stabilizing control law U s = K X ^ e * s | t k , s t k + T , t k + 1 + T ; X ¯ e s | t k + 1 denotes the state error of the nominal model (9) under the feasible control U ¯ s | t k + 1 , s t k + 1 , t k + 1 + T ; and X ¯ e t k + 1 | t k + 1 = X e t k + 1 .
Theorem 2.
For system (8), if an upper bound on the disturbance exists such that d D ¯ , where D ¯ = H ϵ 1 α / λ ¯ P * e H T γ + 1 e H T   and α = e λ _ Q * / 2 λ ¯ P γ T , then Algorithm 1 is iteratively feasible.
Proof of Theorem 2.
is given in Appendix B. □

3.5.2. Stability Analysis

This section proves the stability in two steps. First, the optimal cost function could serve as a valid Lyapunov function under certain conditions when the system state was outside the terminal set. Second, the closed-loop system could be stable when the system state was within the terminal set using the local Lyapunov function from Lemma 1.
Theorem 3.
For system (8) under Algorithm 1, if the conditions given in Theorem 2 are satisfied, the following equation holds:
2 σ λ ¯ Q H 2 λ _ P e H T H ϵ + b H ϵ H T b b + 2 ϵ σ e H T < λ _ Q λ ¯ P γ T ϵ σ 2 ,
where  b s u p X e s X , U s U f X e s , U s P , and the state error can converge to  Ω ϵ  in a finite time. In addition, if the disturbance is bounded by  d λ _ Q * ϵ / 2 λ ¯ P λ ¯ P * , the closed-loop system is stable with the state error in the terminal set.
Proof of Theorem 3.
is given in Appendix C. □

4. Results and Discussion

To assess the viability and resilience of the autonomous docking control strategy and ETQMPC docking control method proposed in this study, a simulation study was conducted to evaluate the docking control performance and robustness of the system in the presence of disturbances.

4.1. Parameter Selection

The model was constructed based on the dynamics of UUVs, with the model parameters provided in Appendix D. Each propeller had a maximum thrust amplitude of 500 N. At t = 0 s, the initial state vector of the HOV was X m = [ 8 , 4 , 3 , π / 3 , 0 , 0 , 0 , 0 ] T , and the HOV is navigating underwater at a fixed depth and heading with a constant velocity v m = [ 0.5 , 0 , 0 , 0 ] T . The initial state vector of the UUV is X = 0 .
The simulation parameters for the control system were as follows: the docking process simulation time was T g = 20 s, the sampling period was δ = 0.01 s, and the prediction horizon of ETQMPC was T = N p · δ = 0.05 s. The trigger level was σ = 0.006 , and the local stability control gain was K = [ 5 × 10 3 , 5 × 10 3 , 5 × 10 3 , 1 × 10 2 ] T . The terminal set was Ω ϵ { x t : V x t 2 } . The weight matrices for the controller were Q = d i a g ( 1 × 10 3 ,   2 × 10 3 ,   1 × 10 3 ,   2 × 10 4 ,   1 × 10 2 ,   1 × 10 2 , 1 × 10 2 ,   1 × 10 2 ) ; R = d i a g ( 1 × 10 4 ,   1 × 10 4 ,   1 × 10 4 ,   1 × 10 4 ,   1 × 10 4 ,   1 × 10 4 ) ; P = d i a g ( 2 × 10 5 ,   2 × 10 6 ,   2 × 10 5 ,   1 × 10 7 ,   1 × 10 1 ,   1 × 10 1 ,   1 × 10 1 ) . The parameters for the state feedback quantizer are set to X m i n = 2 × 10 4 , δ = 0.001 .
To facilitate simulation comparison and analysis with current common methods, we adopted a Backstepping Controller (BSC), as described in references [36,37], and a conventional LMPC Controller, as detailed in reference [38].
The design of the BSC controller was based on Lyapunov theory and backstepping technology.
τ B S C = M v ˙ r + C v r + D v r + g ϰ T K p η ~ ϰ T K d s ,
where K p and K d are user-specified control gain matrices, with K p = K d = d i a g ( 1 × 10 3 , 1 × 10 3 , 1 × 10 3 , 1 × 10 3 ) .
The design of the conventional MPC is based on [38].
m i n u ^ S δ J = 0 T p   ξ ~ ( s ) Q 2 + u ^ ( s ) R 2 d s + ξ ~ ( T p ) P 2 s . t . ξ ^ ˙ ( s ) = f ( ξ ^ ( s ) , u ^ ( s ) ) ξ ^ ( 0 ) = ξ ( t 0 ) ξ ^ ( s ) Ω j , j = 1,2 , , m u ^ ( s ) u m a x V ξ f ( ξ ^ ( 0 ) , u ^ ( 0 ) ) V ξ f ( ξ ^ ( 0 ) , l ( ξ ^ ( 0 ) ) ) ,
where the prediction horizon, control horizon, and weight matrices Q ,   R ,   a n d   P are essentially the same as the control parameters used in this paper for comparison purposes.

4.2. Tracking Performance Simulation

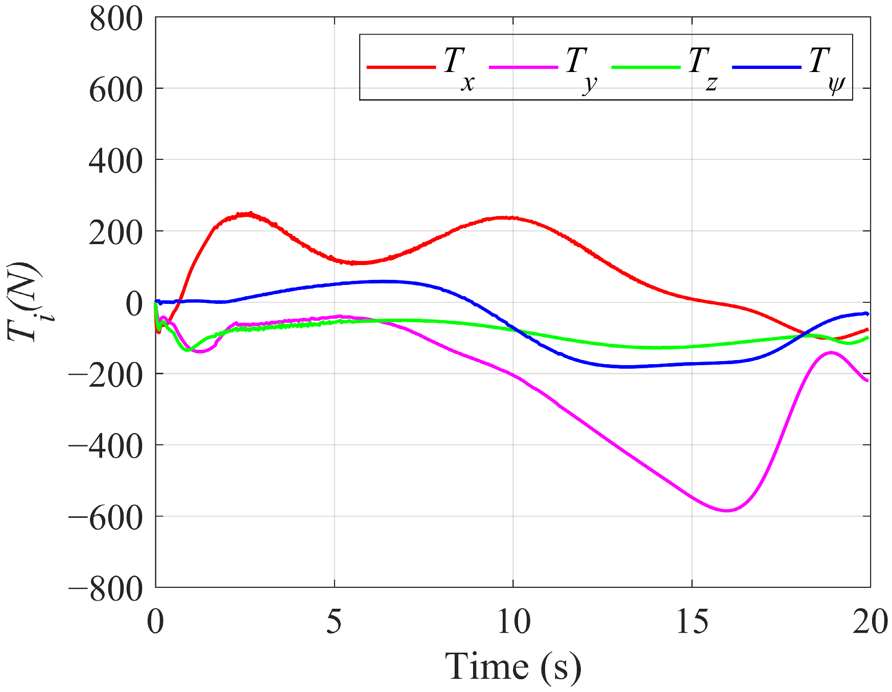
The simulation results of underwater dynamic docking are shown in Figure 5, Figure 6, Figure 7, Figure 8 and Figure 9. Figure 5 illustrates the spatial trajectories of the UUV and HOV during the docking process. The blue dotted line represents the trajectory of the HOV, the black dotted line denotes the reference trajectory of the UUV, the red curve indicates the UUV position trajectory using ETQMPC control, and the purple–red and green curves represent the UUV position trajectories using MPC and BSC control, respectively. Under no sea-current disturbance, the ETQMPC drives the UUV to follow the desired trajectory, confirming the feasibility and stability of the control system. Figure 6 and Figure 7 present a comparison of position and velocity tracking for the UUV, showing that the position and velocity tracking errors with ETQMPC are smaller than those with BSC, and comparable to those with MPC. Additionally, a quantitative tracking error analysis follows. Figure 8 illustrates the thrust and torque curves for the four degrees of freedom generated by the ETQMPC, and Figure 9 demonstrates the control inputs for the six thrusters, demonstrating relatively smooth thrust generation. At the start of docking, the controller effectively utilized the thrusters to achieve the fastest possible convergence.
For the quantitative analysis of the tracking performance, the mean square error (MSE) value was adopted as a metric to compare the performance of different algorithms.
I M S E = 1 t 0 T e t 2 d t .
Table 1 lists the position and velocity tracking error MSEs of the three control methods. The mean MSEs for ETQMPC were 3.399 × 10 5 for the position tracking and 3.886 × 10 6 for the linear velocity tracking. For MPC, the average MSEs are 3.011 × 10 5 for the position tracking and 1.015 × 10 5 for the linear velocity tracking. For BSC, the average MSEs were 3.337 × 10 4 for the position tracking and 1.851 × 10 4 for the linear velocity tracking. The position tracking error of the conventional MPC is 11.4% smaller and the velocity tracking error is 161.3% larger than that of the ETQMPC. The position tracking error of the BSC is 881.8% larger and the velocity tracking error is 4662.4% larger than that of the ETQMPC.
The position tracking performance of ETQMPC was comparable to that of MPC and significantly better than that of BSC, while the velocity tracking performance was superior to both MPC and BSC. The event-driven scheduling strategy of ETQMPC maintained nearly the same performance as traditional MPC but required fewer calculations; specifically, ETQMPC triggered only 889 times during a 20 s simulation, compared to 2000 calculations needed by MPC, thus significantly improving the computational efficiency and preventing excessively frequent trigger times.
The trigger intervals with the trigger level σ = 0.006 are illustrated in Figure 10. Additionally, Figure 11 illustrates the relationship between the different trigger levels and the number of triggers. The results indicated that as the trigger level increased, the number of triggers decreased significantly, while the trajectory tracking performance also declined. Therefore, it could be crucial to select the trigger level judiciously to balance the trajectory tracking performance and computational efficiency. In summary, the ETQMPC controller significantly enhanced both dynamic docking control and computational performance.

4.3. Robust Performance Simulation

The robustness of the docking control system was validated through a tracking control experiment under sea-current disturbances. Assuming the sea currents were irrotational, a fixed-direction disturbance of [ 100   N ,   100   N ,   100   N , 0   N · m ] T was introduced during the simulation test conditions.
The simulation results presented in Figure 12, Figure 13 and Figure 14 demonstrated that owing to its compensation and disturbance rejection capabilities, ETQMPC effectively ensured that the UUV converged to the desired trajectory despite sea-current disturbances. In contrast, the tracking control based on MPC and BSC exhibited the relatively large tracking errors. Figure 15 displays the thrust and torque curves for the four degrees of freedom generated by the ETQMPC, and Figure 16 shows the control signals for the six sets of thrusters, revealing the minimal fluctuations in the performance of the thrusters.
Table 2 provides a comparison and analysis of the MSEs for the three control methods under the disturbed conditions. For ETQMPC, the average MSEs for position and linear velocity tracking were 3.950 × 10 4 and 7.397 × 10 5 , respectively. For MPC, the average MSEs were 6.404 × 10 4 for the position and 8.994 × 10 5 for the linear velocity, while BSC had the average MSEs of 1.867 × 10 3 for the position and 2.336 × 10 4 for the linear velocity. The conventional MPC position tracking error is 62.1% larger and the velocity tracking error is 21.6% larger compared to the ETQMPC. The position tracking error of the BSC is 372.6% larger and the velocity tracking error is 215.7% larger than that of the ETQMPC.
The analysis indicated that ETQMPC significantly outperformed both MPC and BSC in terms of the position and velocity tracking. Additionally, ETQMPC triggered only at specific times, requiring 768 computations in a 20 s simulation, compared to 2000 for MPC, marking a improvement in computational performance. Figure 17 illustrates the trigger intervals when the trigger level σ = 0.006 was reached, and Figure 18 explores the relationship between different trigger levels and the number of triggers.
The reason for the relatively large velocity tracking error at the initial zero velocity in Figure 14 is discussed below. At the initial time, the position and velocity tracking errors were relatively small, and the ETQMPC control was not triggered. On the other hand, there was a current disturbance at this time, which caused the velocity to fluctuate and the tracking error to increase. After a short time, when the errors in position and velocity tracking increased, ETQMPC control was triggered, and the tracking error gradually decreased under the influence of the control law.

4.4. Discussion

Table 3 presents a comparative analysis of the performance improvement of ETQMPC relative to MPC and BSC in the Case I and Case II. The benchmarks employed in this analysis are the position tracking MSE, yaw tracking MSE, velocity tracking MSE, yaw rate MSE, and calculation times with ETQMPC control. In summary, the ETQMPC control method proposed in this paper has achieved satisfactory control performance in terms of position, angle and velocity tracking in the docking control system, and thus it can meet the docking requirements. While maintaining the excellent control performance, the computational performance of ETQMPC is improved by 125% and 160.4% compared to MPC in the presence and absence of disturbances. The event-triggered strategy and quantized control mechanism substantially reduced both the optimization computation and communication burdens while preserving the control performance, thereby significantly improving the overall computational efficiency.
The quantizer designed in this paper can realize a discontinuous mapping of the state feedback signal from a continuous region to a finite discrete region. If the change in the state signal does not exceed a certain threshold, the quantization level will not be changed. This means that the quantizer will only send a new value when the change in the signal is large enough, thereby reducing the frequency of data transmission.
In addition, due to the event-triggered mechanism, the status signal is only sampled and transmitted when the event-triggered conditions are met, otherwise it is not transmitted, which greatly reduces the network communication bandwidth requirements. When the trigger level σ = 0.006 , there are only 889 event-triggered moments in 2000 cycles, so only 44.45% of the status information needs to be transmitted.
Although this study made the notable advances in autonomous underwater docking control, there are certain limitations to be addressed in future research. Specifically, the selection of event-triggering and state-quantized feedback control parameters can significantly affect the final control performance, and tuning these parameters is time-consuming and labor-intensive. Furthermore, achieving a balance between position and velocity tracking control performance, and computational efficiency, requires substantial expertise.
Additionally, owing to the constraints of the current experimental platform and conditions, our research methods have been primarily validated through simulations. The method should be taken from simulation to reality. In the near future, we plan to conduct experiments in open water or swimming pools to further verify the proposed methods.

5. Conclusions

This study designed a novel and feasible control system framework for dynamic underwater docking of unmanned underwater vehicles. A model predictive control method with non-periodic quantized sampling and optimal computation was proposed, and the ETQMPC was designed. The proposed event-triggered mechanism was based on the error between the system state and its optimal prediction, and the optimization problem was solved only when the error reached the trigger level, thereby reducing the burden of the optimization computation. Furthermore, state feedback quantization reduced the communication bandwidth and frequency. Simulation experiments show that the proposed control method excels in terms of trajectory tracking performance and robustness to disturbances, and met the performance requirements of underwater docking control. It is worth mentioning that the method significantly reduced the computational cost, improving the computational performance by 125% compared to the conventional MPC, thereby improving the real-time efficiency and the overall system efficiency. In the near future, we plan to further verify the ETQMPC method by pool testing on a real UUV.

Author Contributions

Conceptualization, C.S.; methodology, L.Q. and T.N.; software, J.W.; validation, M.X.; writing—original draft preparation, T.N.; writing—review and editing, R.T. and L.Z. All authors have read and agreed to the published version of the manuscript.

Funding

This research was funded by the key technology projects for equipment for cold-seep ecosystem research at the Chinese Academy of Sciences, grant number LQ-GJ-03.

Data Availability Statement

The original contributions presented in this study are included in the article, and further inquiries can be directed to the corresponding author.

Conflicts of Interest

The authors declare no conflicts of interest.

Appendix A

The proof of Theorem 1 is as follows:
Proof of Theorem 1.
The upper bound of the execution interval can be obtained directly from Equation (23). To prove the lower bound, we address the following problem: X ^ e * s | t k X e s | t k p at a certain time t k , k N . By using the Lipschitz property of f X e , U and the triangle inequality, we can obtain:
X ^ e * s | t k X e s | t k P t k s H X ^ e * τ | t k X e τ | t k P + d λ ¯ P d τ .
Using the Gronwall–Bellman inequality, we can obtain
X ^ e * s t k X e s t k P d λ ¯ P H e H s t k 1 .
Substituting s = t k + 1 into (A2) and combining with (22), we have t ¯ k + 1 t k + γ T . From (23), it follows that i n f k N { t k + 1 t k } γ T .
This completes the proof. □

Appendix B

Proof of Theorem 2.
To prove the theorem, it is necessary to demonstrate that the optimization problem (19) should have a feasible candidate control U ¯ s | t k + 1 , s t k + 1 , t k + 1 + T at time t k + 1 , which can simultaneously satisfy the input, tightened state, and terminal constraints.
  • U ¯ s | t k + 1 U that satisfies the input constraints.
According to Equation (25), U ^ * s | t k , s t k + 1 , t k + T is feasible, and U s = K X ^ e * s | t k , s t k + T , t k + 1 + T , so U ¯ s | t k + 1 U .
2.
X ¯ e s | t k + 1 X s t k + 1 , which satisfies the tightening state constraint.
Since the optimization problem (19) is feasible at time t k , X ^ e * s | t k X s t k with s t k + 1 , t k + 1 + T can be generated. Furthermore, for s t k + 1 , t k + 1 + T , the triangle inequality and the Lipschitz property of f X e , U can be utilized to deduce that:
X ¯ e s | t k + 1 X ^ e * s | t k P σ + H t k + 1 s X ¯ e τ | t k + 1 X ^ e * τ | t k P d τ .
Using the Gronwall–Bellman inequality, we get
X ¯ e s | t k + 1 X ^ e * s | t k P σ e H s t k + 1 .
Considering B s t k and B s t k + 1 , i n f k N { t k + 1 t k } γ T was applied to obtain:
X ¯ e s | t k + 1 X ^ e * s | t k P d λ ¯ P * / H e γ T 1 e H s t k + 1 . d λ ¯ P * / H e t k + 1 t k 1 e H s t k + 1 d λ ¯ P * / H e H s t k + 1 1 d λ ¯ P * / H e H s t k 1
Using the triangle inequality, we have
X ¯ e s | t k + 1 P d λ ¯ P * / H e H s t k + 1 1 .
Then X ¯ e s | t k + 1 X s t k + 1 for s t k + 1 , t k + 1 + T holds.
3.
X ¯ e t k + 1 + T | t k + 1 Ω ϵ , which satisfies the terminal constraint.
First, we considered the state trajectory X ^ e * s | t k for the period s t k + T , t k + 1 + T , subject to the local stability law U s = K X ^ e * s | t k . Since the optimization problem (19) is feasible at time t k , X ^ e * t k + T | t k Ω ϵ . Consequently, by Lemma 1, we obtain:
V ˙ X ^ e * s t k X ^ e * s t k Q * 2 λ _ Q * λ ¯ P V X ^ e * s t k .
Using the principle of comparison [39] and Theorem 1 addressing i n f k N { t k + 1 t k } γ T , we can obtain:
V X ^ e * t k + 1 + T | t k ϵ 2 e λ _ Q * / λ ¯ P γ T .
It has been proven that X ^ e * s | t k can be driven to Ω α ϵ by the local stability law, where α = e λ _ Q * / 2 λ ¯ P γ T .
Ω α ϵ is smaller than Ω ϵ , such that a stable margin is indicated. Due to the disturbance, for s t k + 1 , t k + 1 + T , X ¯ e s | t k + 1 is not necessarily equal to X ^ e * s | t k , and we can obtain:
X ¯ e t k + 1 + T | t k + 1 X ^ e * t k + 1 + T | t k P σ e H T .
Given that X ^ e * t k + 1 + T | t k P ϵ e λ _ Q * / 2 λ ¯ P γ T with the disturbance boundary of d D ¯ , X ¯ e t k + 1 + T | t k + 1 P ϵ can be generated, which implies that X ¯ e ( t k + 1 + T | t k + 1 ) Ω ϵ .
Ultimately, the feasibility study can be completed. □

Appendix C

Proof of Theorem 3.
This theorem can be proven in two steps.
1.
First, if X e Ω ϵ , it can converge to Ω ϵ in a finite amount of time.
When X e t Ω ϵ , the optimization problem (19) can be solved. Based on Lemma 3 in reference [40], the following equation can be obtained.
J ( X ^ e * ( t k + 1 | t k ) , U ¯ ( s | t k + 1 ) ) J * ( X e ( t k ) ) t k t k + 1   ( X ^ e * ( s | t k ) Q 2 + U ^ * ( s | t k ) R 2 ) d s .
Considering the suboptimality of U ¯ s | t k + 1 , we obtain
J * X e t k + 1 J * X e t k i = 1 3 Λ i ,
where
Λ 1 t k + 1 t k + 1 + T   X ¯ e s | t k + 1 Q 2 X ^ e * s | t k Q 2 d s , Λ 2 X ¯ e t k + 1 + T | t k + 1 P 2 X ^ e * t k + 1 + T | t k P 2 , Λ 3 t k t k + 1   X ^ e * s t k Q 2 + U ^ * s t k R 2 d s ,
where Λ 1 , Λ 2 , and Λ 3 were considered separately. Using the triangle inequality, we can obtain
Λ 1 = t k + 1 t k + 1 + T X ¯ e s | t k + 1 Q 2 X ^ e * s | t k Q 2 d s λ ¯ Q λ _ P t k + 1 t k + 1 + T X ¯ e s | t k + 1 X ^ e * s | t k P X ¯ e s | t k + 1 P + X ^ e * s | t k P d s .
For X ¯ e s | t k + 1 P + X ^ e * s | t k P , we further consider
X ^ e * s | t k X ^ e * t k + T t k = s t k + T f X ^ e * τ | t k , U ^ * τ | t k d τ .
By using the triangle inequality, we have
X ^ e * s | t k P X ^ e * t k + T | t k P + b t k + T s .
Similarly, the following equation can be obtained:
X ¯ e s | t k + 1 P X ¯ e t k + 1 + T | t k + 1 P + b t k + 1 + T s .
Since X ¯ e s | t k + 1 X ^ e * s | t k P σ e H s t k + 1 , we have
Λ 1 2 σ λ ¯ Q H 2 λ _ P e H T H ϵ + b H ϵ H T b b .
Because X ¯ e t k + 1 + T | t k + 1 X ^ e * t k + 1 + T | t k P σ e H T and X ¯ e t k + 1 + T | t k + 1 P + X ^ e * t k + 1 + T | t k P 2 ϵ , it follows that
Λ 2 2 ϵ σ e H T .
Subsequently, the upper bound of Λ 3 can be derived. Since X e t Ω ϵ and the trigger condition in (23), we can obtain the following equation:
Λ 3 λ _ Q λ ¯ P t k t k + 1 X ^ e * τ | t k P 2 d τ λ _ Q λ ¯ P γ T ϵ σ 2 .
Using the conditions in Theorem 3,
J * X e t k + 1 J * X e t k < i = 1 3 Λ i < 0 .
By applying Theorem 2 from reference [41], the system state can converge to Ω ϵ within a finite amount of time.
2.
Second, the set Ω ϵ can be proven to be a robust positive invariant set, and if X e t 0 Ω ϵ , it can remain within this set.
Based on reference [42], we can next prove that the set Ω ϵ is a robust invariant set for the closed-loop system X e ˙ t = f X e t , K X e t , meaning that if X e t 0 Ω ϵ , X e t Ω ϵ for t t 0 .
Using the contradiction method, we assumed that X e t 0 Ω ϵ could not imply X e t Ω ϵ , t t 0 . This implies that there exist some t > t 0 and ϵ > 0 such that V X e t ϵ 2 + ϵ for X e t Ω ϵ . It can be denoted that t = i n f { t 0 : V X e t ϵ 2 + ϵ } , which implies that X e t Ω ϵ .
By considering the Lyapunov function V X e t of the closed-loop system X e ˙ t = f X e t , K X e t , we can obtain:
V ˙ X e t = X e t Q * 2 + 2 X e T t P p t λ _ Q * λ ¯ P X e t P 2 + 2 P * X e t P * p t .
Since X e t Ω ϵ and d λ _ Q * ϵ / 2 λ ¯ P λ ¯ P * , we have
V ˙ X e t λ _ Q * λ ¯ P ϵ 2 + ϵ ¯ ϵ 2 + ϵ ¯ ϵ < 0 .
It follows that there exists some t t 0 , t such that V X e t > V X e t ϵ 2 + ϵ , which contradicts the minimality of t . Therefore, the set Ω ϵ is a robust positive invariant set for system (8), where U t = K X e t .
To summarize, the above two cases have completed proving stability. □

Appendix D

The parameters for the UUV nonlinear dynamics model are provided in Table A1.
Table A1. Parameters of the docking UUV used in this study.
Table A1. Parameters of the docking UUV used in this study.
FeatureValuesFeatureValues
m 116 kg Z w 0
b 116 kg K p 3.0
I 0 diag ( 9.3,14.9,13.1 ) ( k g m 2 ) M q 4.9
X u ˙ −167.6 N r 3.5
Y v ˙ −477.2 X | u | u 241. 3
Z w ˙ −383 Y | v | v 503.8
K p ˙ −11.6 Z | w | w 265.6
M q ˙ −15.5 K | p | p 101.6
N r ˙ −15.9 M | q | q 59.9
X u 26.9 N | r | r 76.9
Y v 35.8

References

  1. Zhang, Y.; Gao, J.; Chen, Y.; Bian, C.; Zhang, F.; Liang, Q. Adaptive neural network control for visual docking of an autonomous underwater vehicle using command filtered backstepping. Int. J. Robust Nonlinear Control 2022, 32, 4716–4738. [Google Scholar] [CrossRef]
  2. Wang, T.; Sun, Z.; Ke, Y.; Li, C.; Hu, J. Two-Step Adaptive Control for Planar Type Docking of Autonomous Underwater Vehicle. Mathematics 2023, 11, 3467. [Google Scholar] [CrossRef]
  3. Lwin, K.N.; Myint, M.; Mukada, N.; Yamada, D.; Matsuno, T.; Saitou, K.; Godou, W.; Sakamoto, T.; Minami, M. Sea docking by dual-eye pose estimation with optimized genetic algorithm parameters. J. Intell. Robot. Syst. 2019, 96, 245–266. [Google Scholar] [CrossRef]
  4. Page, B.R.; Lambert, R.; Chavez-Galaviz, J.; Mahmoudian, N. Underwater Docking Approach and Homing to Enable Persistent Operation. Front. Robot. AI 2021, 8, 621755. [Google Scholar] [CrossRef]
  5. Xie, T.; Li, Y.; Jiang, Y.; Pang, S.; Xu, X. Three-dimensional mobile docking control method of an underactuated autonomous underwater vehicle. Ocean. Eng. 2022, 265, 112634. [Google Scholar] [CrossRef]
  6. Thuyen, N.A.; Anh, H.P.H. A new docking method for autonomous underwater vehicle using adaptive integral terminal sliding mode control. Int. J. Dyn. Control 2023, 11, 2354–2367. [Google Scholar] [CrossRef]
  7. Zuo, M.; Wang, G.; Xiao, Y.; Xiang, G. A Unified Approach for Underwater Homing and Docking of over-Actuated AUV. J. Mar. Sci. Eng. 2021, 9, 884. [Google Scholar] [CrossRef]
  8. Guo, L.; Liu, W.; Li, L.; Xu, J.; Zhang, K.; Zhang, Y. Fast Finite-Time Super-Twisting Sliding Mode Control with an Extended State Higher-Order Sliding Mode Observer for UUV Trajectory Tracking. Drones 2024, 8, 41. [Google Scholar] [CrossRef]
  9. Sahoo, A.; Dwivedy, S.K.; Robi, P. Adaptive Neuro Fuzzy PID Controller for A Compact Autonomous Underwater Vehicle. In Proceedings of the OCEANS 2022, Hampton Roads, Virginia Beach, VA, USA, 17–20 October 2022; pp. 1–5. [Google Scholar]
  10. Bingül, Ö.; Yıldız, A. Fuzzy logic and proportional integral derivative based multi-objective optimization of active suspension system of a 4 × 4 in-wheel motor driven electrical vehicle. J. Vib. Control 2023, 29, 1366–1386. [Google Scholar] [CrossRef]
  11. Liu, T.; Zhao, J.; Huang, J. A Gaussian-Process-Based Model Predictive Control Approach for Trajectory Tracking and Obstacle Avoidance in Autonomous Underwater Vehicles. J. Mar. Sci. Eng. 2024, 12, 676. [Google Scholar] [CrossRef]
  12. Hu, Y.; Li, B.; Jiang, B.; Han, J.; Wen, C.-Y. Disturbance Observer-Based Model Predictive Control for an Unmanned Underwater Vehicle. J. Mar. Sci. Eng. 2024, 12, 94. [Google Scholar] [CrossRef]
  13. Martinsen, A.B.; Lekkas, A.M.; Gros, S. Autonomous docking using direct optimal control. IFAC-PapersOnLine 2019, 52, 97–102. [Google Scholar] [CrossRef]
  14. Heshmati-Alamdari, S.; Nikou, A.; Dimarogonas, D.V. Robust trajectory tracking control for underactuated autonomous underwater vehicles in uncertain environments. IEEE Trans. Autom. Sci. Eng. 2020, 18, 1288–1301. [Google Scholar] [CrossRef]
  15. Uchihori, H.; Cavanini, L.; Tasaki, M.; Majecki, P.; Yashiro, Y.; Grimble, M.J.; Yamamoto, I.; Van der Molen, G.M.; Morinaga, A.; Eguchi, K. Linear parameter-varying model predictive control of AUV for docking scenarios. Appl. Sci. 2021, 11, 4368. [Google Scholar] [CrossRef]
  16. Zhang, Y.; Liu, X.; Luo, M.; Yang, C. MPC-based 3-D trajectory tracking for an autonomous underwater vehicle with constraints in complex ocean environments. Ocean. Eng. 2019, 189, 106309. [Google Scholar] [CrossRef]
  17. Gong, P.; Yan, Z.; Zhang, W.; Tang, J. Lyapunov-based model predictive control trajectory tracking for an autonomous underwater vehicle with external disturbances. Ocean. Eng. 2021, 232, 109010. [Google Scholar] [CrossRef]
  18. Li, S.; Zhu, Y.; Bai, J.; Guo, G. Dynamic obstacle avoidance of unmanned ship based on event-triggered adaptive nonlinear model predictive control. Ocean. Eng. 2023, 286, 115626. [Google Scholar] [CrossRef]
  19. Zhao, B.; Zhang, X.; Liang, C.; Han, X. An improved model predictive control for path-following of USV based on global course constraint and event-triggered mechanism. IEEE Access 2021, 9, 79725–79734. [Google Scholar] [CrossRef]
  20. Zhang, W.; Wang, Q.; Wu, W.; Du, X.; Zhang, Y.; Han, P. Event-trigger NMPC for 3-D trajectory tracking of UUV with external disturbances. Ocean. Eng. 2023, 283, 115050. [Google Scholar] [CrossRef]
  21. Yuan, S.; Liu, Z.; Zheng, L.; Sun, Y.; Wang, Z. Event-based adaptive horizon nonlinear model predictive control for trajectory tracking of marine surface vessel. Ocean. Eng. 2022, 258, 111082. [Google Scholar] [CrossRef]
  22. Zhang, P.; Hao, L.-Y.; Wang, R. Self-triggered MPC for trajectory tracking of an Autonomous Underwater Vehicle with additive disturbance. In Proceedings of the 2023 IEEE 2nd Industrial Electronics Society Annual On-Line Conference (ONCON), Online Virtual, 8–10 December 2023; pp. 1–6. [Google Scholar]
  23. Fossen, T.I. Handbook of Marine Craft Hydrodynamics and Motion Control; John Wiley & Sons: Hoboken, NJ, USA, 2011. [Google Scholar]
  24. Li, H.; Shi, Y. Event-triggered robust model predictive control of continuous-time nonlinear systems. Automatica 2014, 50, 1507–1513. [Google Scholar] [CrossRef]
  25. Liu, C.; Gao, J.; Li, H.; Xu, D. Aperiodic robust model predictive control for constrained continuous-time nonlinear systems: An event-triggered approach. IEEE Trans. Cybern. 2017, 48, 1397–1405. [Google Scholar] [CrossRef] [PubMed]
  26. Gao, F.; Wu, W.; Lin, Y.; Shen, S. Online Safe Trajectory Generation for Quadrotors Using Fast Marching Method and Bernstein Basis Polynomial. In Proceedings of the 2018 IEEE International Conference on Robotics and Automation (ICRA), Brisbane, Australia, 21–25 May 2018; pp. 344–351. [Google Scholar]
  27. Kulathunga, G.; Klimchik, A. Survey on Motion Planning for Multirotor Aerial Vehicles in Plan-Based Control Paradigm. Remote Sens. 2023, 15, 5237. [Google Scholar] [CrossRef]
  28. Chen, J.; Liu, T.; Shen, S. Online generation of collision-free trajectories for quadrotor flight in unknown cluttered environments. In Proceedings of the IEEE International Conference on Robotics & Automation, Stockholm, Sweden, 16–21 May 2016. [Google Scholar]
  29. Park, Y.; Kim, W.; Moon, H. Time-Continuous Real-Time Trajectory Generation for Safe Autonomous Flight of a Quadrotor in Unknown Environment. Appl. Sci. 2021, 11, 3238. [Google Scholar] [CrossRef]
  30. Li, P.; Wang, S.; Yang, H.; Zhao, H. Trajectory tracking and obstacle avoidance for wheeled mobile robots based on EMPC with an adaptive prediction horizon. IEEE Trans. Cybern. 2021, 52, 13536–13545. [Google Scholar] [CrossRef]
  31. Kavala Sen, D.; Yildiz, A.; Kopmaz, O. Optimal Design of a Five-Bar Planar Manipulator and Its Controller by Using Different Algorithms for Minimum Shaking Forces and Moments for the Largest Trajectory in a Usable Workspace. Machines 2022, 10, 971. [Google Scholar] [CrossRef]
  32. Tabuada, P. Event-triggered real-time scheduling of stabilizing control tasks. IEEE Trans. Autom. Control 2007, 52, 1680–1685. [Google Scholar] [CrossRef]
  33. Liu, W.; Ma, Q.; Xu, S.; Zhang, Z. State quantized output feedback control for nonlinear systems via event-triggered sampling. IEEE Trans. Autom. Control 2021, 67, 6810–6817. [Google Scholar] [CrossRef]
  34. Zhou, J.; Wen, C.; Yang, G. Adaptive backstepping stabilization of nonlinear uncertain systems with quantized input signal. IEEE Trans. Autom. Control 2013, 59, 460–464. [Google Scholar] [CrossRef]
  35. Luan, T.; Tan, Z.; Sun, M.; Wang, H.; Li, M.; Yao, H. Double-mode robust model predictive control of ship dynamic positioning system based on event-triggered mechanism. Ocean. Eng. 2023, 286, 115536. [Google Scholar] [CrossRef]
  36. Cho, G.R.; Park, D.-G.; Kang, H.; Lee, M.-J.; Li, J.-H. Horizontal trajectory tracking of underactuated auv using backstepping approach. IFAC-PapersOnLine 2019, 52, 174–179. [Google Scholar] [CrossRef]
  37. Liu, H.; Wei, Y.; Zhou, X.; Li, G. Operated ROV thrust distribution control system based on adaptive back-stepping controller. In Proceedings of the 2016 35th Chinese Control Conference (CCC), Chengdu, China, 27–29 July 2016; pp. 4633–4639. [Google Scholar]
  38. Shen, C.; Shi, Y.; Buckham, B. Trajectory Tracking Control of an Autonomous Underwater Vehicle Using Lyapunov-Based Model Predictive Control. IEEE Trans. Ind. Electron. 2018, 65, 5796–5805. [Google Scholar] [CrossRef]
  39. Khalil, H.K. Nonlinear Systems; Michigan State University: Upper Saddle River, NJ, USA, 2002; Volume 38, pp. 1091–1093. [Google Scholar]
  40. Chen, H.; Allgöwer, F. A quasi-infinite horizon nonlinear model predictive control scheme with guaranteed stability. Automatica 1998, 34, 1205–1217. [Google Scholar] [CrossRef]
  41. Michalska, H.; Mayne, D.Q. Robust receding horizon control of constrained nonlinear systems. IEEE Trans. Autom. Control 1993, 38, 1623–1633. [Google Scholar] [CrossRef]
  42. Li, B.; Lu, P.; Du, C.; Liu, H. Event-Triggered Model Predictive Control for Linear Systems with Bounded Disturbance. In Proceedings of the 2022 41st Chinese Control Conference (CCC), Hefei, China, 25–27 July 2022; pp. 279–284. [Google Scholar]
Figure 1. Autonomous docking reference co-ordinate system.
Figure 1. Autonomous docking reference co-ordinate system.
Symmetry 16 01392 g001
Figure 2. Thruster arrangement of UUV.
Figure 2. Thruster arrangement of UUV.
Symmetry 16 01392 g002
Figure 3. Framework of dynamic docking control system.
Figure 3. Framework of dynamic docking control system.
Symmetry 16 01392 g003
Figure 4. Map of q X for X > 0 .
Figure 4. Map of q X for X > 0 .
Symmetry 16 01392 g004
Figure 5. Spatial trajectories of UUV and HOV.
Figure 5. Spatial trajectories of UUV and HOV.
Symmetry 16 01392 g005
Figure 6. Position trajectory tracking comparison curves of different control methods: (a) x   trajectory tracking comparison curves; (b) y   trajectory tracking comparison curves; (c) z   trajectory tracking comparison curves; (d) ψ   trajectory tracking comparison curves.
Figure 6. Position trajectory tracking comparison curves of different control methods: (a) x   trajectory tracking comparison curves; (b) y   trajectory tracking comparison curves; (c) z   trajectory tracking comparison curves; (d) ψ   trajectory tracking comparison curves.
Symmetry 16 01392 g006
Figure 7. Velocity trajectory tracking comparison curves for different control methods: (a) u   trajectory tracking comparison curves; (b) v   trajectory tracking comparison curves; (c) w   trajectory tracking comparison curves; (d) r   trajectory tracking comparison curves.
Figure 7. Velocity trajectory tracking comparison curves for different control methods: (a) u   trajectory tracking comparison curves; (b) v   trajectory tracking comparison curves; (c) w   trajectory tracking comparison curves; (d) r   trajectory tracking comparison curves.
Symmetry 16 01392 g007
Figure 8. Curves depicting the variation in control force and torque for UUV.
Figure 8. Curves depicting the variation in control force and torque for UUV.
Symmetry 16 01392 g008
Figure 9. Thrust control commands for thrusters.
Figure 9. Thrust control commands for thrusters.
Symmetry 16 01392 g009
Figure 10. Triggered instants and intervals.
Figure 10. Triggered instants and intervals.
Symmetry 16 01392 g010
Figure 11. Triggered level and triggered times.
Figure 11. Triggered level and triggered times.
Symmetry 16 01392 g011
Figure 12. Spatial trajectories of UUV and HOV with disturbance.
Figure 12. Spatial trajectories of UUV and HOV with disturbance.
Symmetry 16 01392 g012
Figure 13. Position trajectory tracking comparison curves under disturbance conditions: (a) x   trajectory tracking comparison curves; (b) y   trajectory tracking comparison curves; (c) z   trajectory tracking comparison curves; (d) ψ   trajectory tracking comparison curves.
Figure 13. Position trajectory tracking comparison curves under disturbance conditions: (a) x   trajectory tracking comparison curves; (b) y   trajectory tracking comparison curves; (c) z   trajectory tracking comparison curves; (d) ψ   trajectory tracking comparison curves.
Symmetry 16 01392 g013
Figure 14. Velocity trajectory tracking comparison curves under interference conditions: (a) u   trajectory tracking comparison curves; (b) v   trajectory tracking comparison curves; (c) w   trajectory tracking comparison curves; (d) r   trajectory tracking comparison curves.
Figure 14. Velocity trajectory tracking comparison curves under interference conditions: (a) u   trajectory tracking comparison curves; (b) v   trajectory tracking comparison curves; (c) w   trajectory tracking comparison curves; (d) r   trajectory tracking comparison curves.
Symmetry 16 01392 g014
Figure 15. Curves depicting the variation in control force and torque with disturbance.
Figure 15. Curves depicting the variation in control force and torque with disturbance.
Symmetry 16 01392 g015
Figure 16. Thrust control commands for thrusters with disturbance.
Figure 16. Thrust control commands for thrusters with disturbance.
Symmetry 16 01392 g016
Figure 17. Triggered instants and intervals with disturbance.
Figure 17. Triggered instants and intervals with disturbance.
Symmetry 16 01392 g017
Figure 18. Triggered levels and triggered times with disturbance.
Figure 18. Triggered levels and triggered times with disturbance.
Symmetry 16 01392 g018
Table 1. MSE comparison for Case I.
Table 1. MSE comparison for Case I.
MSEsETQMPCMPCBSC
x9.502 ×   10 5 5.777 ×   10 5 7.043 ×   10 4
y5.808 ×   10 6 2.992 ×   10 5 1.856 ×   10 4
z1.141 ×   10 6 2.635 ×   10 6 1.111 ×   10 4
ψ1.015 ×   10 6 9.163 ×   10 7 1.402 ×   10 5
u6.908 ×   10 6 1.379 ×   10 5 5.070 ×   10 4
v3.249 ×   10 6 1.604 ×   10 5 3.376 ×   10 5
w1.500 ×   10 6 6.328 ×   10 7 1.443 ×   10 5
r9.251 ×   10 7 8.469 ×   10 8 2.092 ×   10 6
Table 2. MSE comparison for Case II.
Table 2. MSE comparison for Case II.
MSEsETQMPCMPCBSC
x7.200 ×   10 4 1.200 ×   10 3 1.600 ×   10 3
y3.824 ×   10 4 5.918 ×   10 4 1.600 ×   10 3
z8.255 ×   10 5 1.294 ×   10 4 2.400 ×   10 3
ψ1.081 ×   10 6 1.006 ×   10 6 4.251 ×   10 5
u4.084 ×   10 5 6.443 ×   10 5 4.903 ×   10 4
v1.230 ×   10 4 1.383 ×   10 4 1.169 ×   10 4
w5.808 ×   10 5 6.705 ×   10 5 9.346 ×   10 5
r1.090 ×   10 6 9.847 ×   10 8 5.058 ×   10 6
Table 3. Comparative table of performance improvement of ETQMPC relative to MPC and BSC.
Table 3. Comparative table of performance improvement of ETQMPC relative to MPC and BSC.
Performance
Improvement
Case ICase II
MPCBSCMPCBSC
Position tracking−11.4%881.8%62.1%372.6%
Yaw tracking−9.7%1281.8%−6.9%3834.1%
Velocity tracking161.3%4662.4%21.6%215.7%
Computing125.0%125.0%160.4%160.4%
Disclaimer/Publisher’s Note: The statements, opinions and data contained in all publications are solely those of the individual author(s) and contributor(s) and not of MDPI and/or the editor(s). MDPI and/or the editor(s) disclaim responsibility for any injury to people or property resulting from any ideas, methods, instructions or products referred to in the content.

Share and Cite

MDPI and ACS Style

Ni, T.; Sima, C.; Qi, L.; Xu, M.; Wang, J.; Tang, R.; Zhang, L. Non-Periodic Quantized Model Predictive Control Method for Underwater Dynamic Docking. Symmetry 2024, 16, 1392. https://doi.org/10.3390/sym16101392

AMA Style

Ni T, Sima C, Qi L, Xu M, Wang J, Tang R, Zhang L. Non-Periodic Quantized Model Predictive Control Method for Underwater Dynamic Docking. Symmetry. 2024; 16(10):1392. https://doi.org/10.3390/sym16101392

Chicago/Turabian Style

Ni, Tian, Can Sima, Liang Qi, Minghao Xu, Junlin Wang, Runkang Tang, and Lindan Zhang. 2024. "Non-Periodic Quantized Model Predictive Control Method for Underwater Dynamic Docking" Symmetry 16, no. 10: 1392. https://doi.org/10.3390/sym16101392

APA Style

Ni, T., Sima, C., Qi, L., Xu, M., Wang, J., Tang, R., & Zhang, L. (2024). Non-Periodic Quantized Model Predictive Control Method for Underwater Dynamic Docking. Symmetry, 16(10), 1392. https://doi.org/10.3390/sym16101392

Note that from the first issue of 2016, this journal uses article numbers instead of page numbers. See further details here.

Article Metrics

Back to TopTop