A Mathematical Analysis and Simulation of the F-L Effect in Two-Layered Blood Flow through the Capillaries Remote from the Heart and Proximate to Human Tissue
Abstract
1. Introduction
2. Real Model
2.1. Choice of Frame of Reference
2.2. Two-Phase Blood Flow
2.3. Choice of Parameters
- (a)
- ; ; and , which is the velocity of blood at a given point in a space at a given time .
- (b)
- ; , which is the pressure of blood at a given point in a space at a given time .
2.4. Constitutive Equation
2.5. Boundary Conditions
- (a)
- Maximum velocity of blood flow at the axes; i.e., when the radius of vessels is the velocity of blood flow is at a maximum, (say).
- (b)
- No slip condition (velocity on the boundary is zero); i.e., when theradius is , then .
3. Mathematical Formulation
3.1. Equation of Continuity
3.2. Equation of Motion
4. Solution of the Problem
5. Result and Discussion (Biophysical Interpretation)
5.1. Numerical Simulation
5.2. Validation of Two-Phase Blood Flow Model
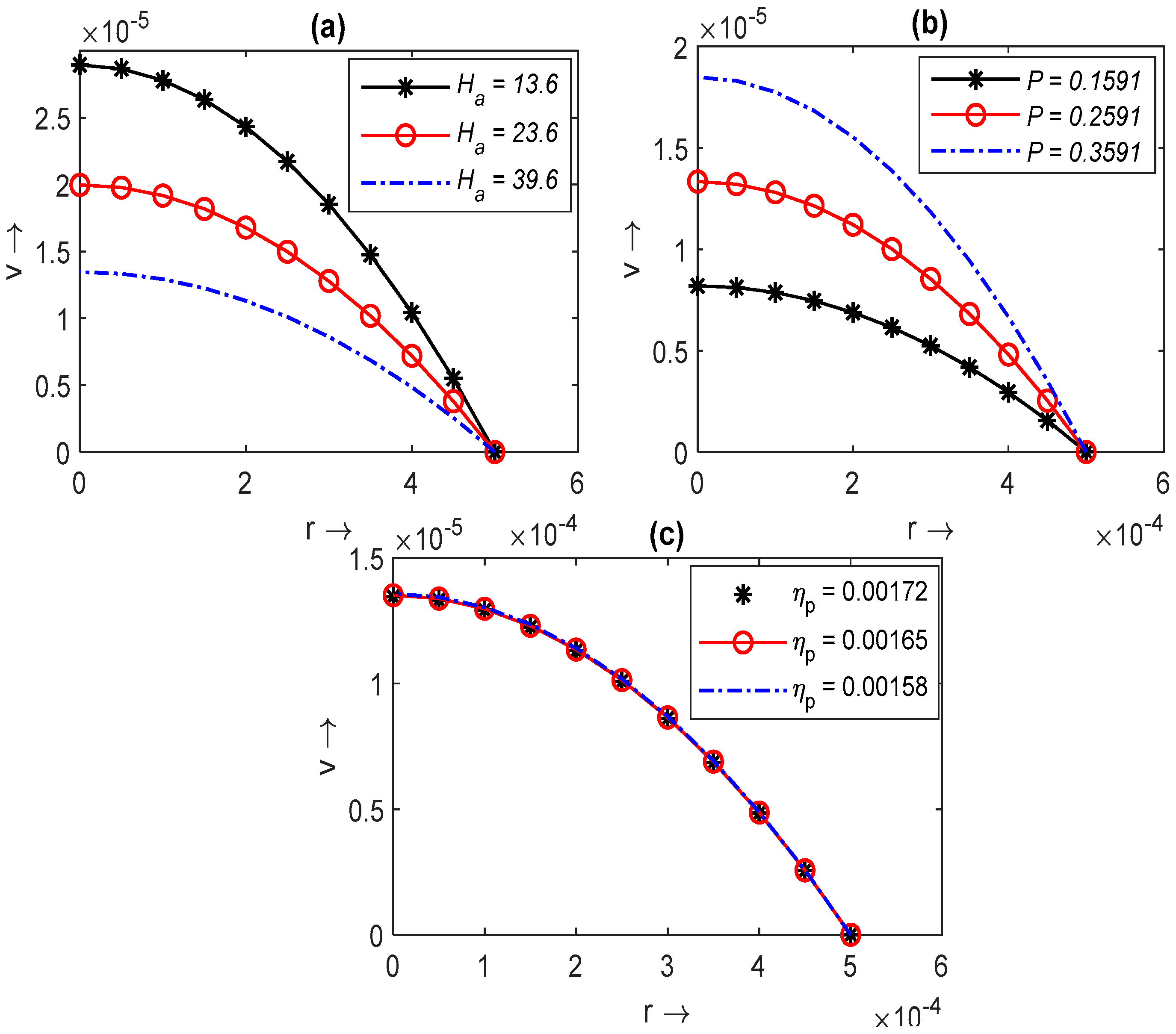
5.3. Effect of , and on
5.4. Effect of , and on
5.5. Effect of , and on

6. Conclusions
- A mathematical expression has been obtained between and which successfully explains the F-L effect.
- We have obtained effective, rather than apparent, viscosity.
- With the help of this model, extension of Haynes theory is possible because for the relative momentum of RBC, the plasma is mixed in the core layer, and both phases are homogeneously distributed in the core layer.
- Experimental data and the results obtained from the presented model have the same trends, but this model provides an extension of the F-L effect.
- The presented model successfully explains all the physical phenomena which occur in the capillary.
- The flow flux and velocity of the blood decreases in the capillary due to the higher concentration of , but flow is possible because effective viscosity decreases as the radius of the capillary decreases.
- The pressure gradient can increase the effective viscosity and flow flux, but it is not very effective in terms of blood flowing into capillaries as they are remote from the heart and proximate to the human tissue.
Author Contributions
Funding
Data Availability Statement
Acknowledgments
Conflicts of Interest
Nomenclature
| Stress tensor [N/m2] | |
| Strain rate tensor [S−1] | |
| Metric tensor | |
| Conjugate metric tensor | |
| Christoffel’s symbol of second kind | |
| p | Pressure [N/m2] |
| Viscosity constant [Pascal s] | |
| Volume portion covered by the blood cells in unit volume | |
| Hematocrit [volume percentage of RBC] | |
| Thickness of plasma layer | |
| Density of core layer [kg/m3] | |
| Density of plasma layer [kg/m3] | |
| Density of mixture of blood [kg/m3] | |
| Mass ratio of blood cells to plasma | |
| Viscosity of mixture [Pascal s] | |
| Viscosity of core layer [Pascal s] | |
| Viscosity plasma layer [Pascal s] | |
| Effective viscosity [Pascal s] | |
| Velocity of mixture of blood [m/s] | |
| Velocity of plasma [m/s] | |
| Velocity of core layer [m/s] | |
| Radial component of velocity [m/s] | |
| Angular component of velocity [m/s] | |
| Axial component of velocity [m/s] | |
| Diameter of capillary [m] | |
| Pressure gradient [Pascal/m] | |
| Pressure drop [Pascal] | |
| R | Radius of capillary [m] |
| L | Length of capillary [m] |
| Abbreviations | |
| F-L | Fahraeus–Lindqvist |
| T.L. | Torsten Lindqvist |
| R.F. | Robin Fahreaeus |
| Red blood corpuscle | |
| WBC | White blood corpuscle |
References
- Fahraeus, R.; Lindqvist, J.T. The viscosity of the blood in narrow capillary tubes. Am. J. Physiol. 1931, 96, 562–568. [Google Scholar] [CrossRef]
- Wilson, R. Anatomy and Physiology in Health and Illness, 11th ed.; Churchill Livingstone: London, UK, 2014. [Google Scholar]
- Guyton, A.C.; Hall, J.E. Textbook of Medical Physiological, 11th ed.; Elsevier Inc.: New Delhi, India, 2006. [Google Scholar]
- Dalkara, T. Cerebral Microcirculation: An Introduction; Springer: Berlin/Heidelberg, Germany, 2015; pp. 655–680. [Google Scholar]
- Cipolla, M.J. The Cerebral Circulation; Morgan and Claypool Life Sciences: San Rafael, CA, USA, 2009; ISBN 9781615040131. [Google Scholar]
- Toksvang, L.N.; Berg, R.M.G. Using a classic paper by Robin Fåhræus and Torsten Lindqvist to teach basic hemorheology. Adv. Physiol. Educ. 2013, 37, 129–133. [Google Scholar] [CrossRef] [PubMed]
- Secomb, T.W.; Pries, A.R. Blood viscosity in microvessels: Experiment and theory. C. R. Phys. 2013, 14, 470–478. [Google Scholar] [CrossRef] [PubMed]
- Martini, P.; Pierach, A.; Scheryer, E. Die stromung des blutes in engen gefäßen. Eine abweichung vom poiseuille’schen gesetz. Dtsch. Arch. Klin. Med. 1931, 169, 212–222. [Google Scholar]
- Pries, A.R.; Neuhas, D.; Gaehtgens, P. Blood viscosity in tube flow: Dependence on diameter and hematocrit. Am. J. Physiol. Heart Circ. Physiol. 1992, 263, H1770–H1778. [Google Scholar] [CrossRef] [PubMed]
- Haynes, R.F. Physical basis of the dependence of blood viscosity on tube radius. Am. J. Physiol. 1960, 198, 1193–1200. [Google Scholar] [CrossRef] [PubMed]
- Botkin, N.D.; Kovtanyuk, A.E.; Turova, V.L.; Sidorenko, I.N.; Lampe, R. Accounting for tube haematocrit in modeling of blood flow in cerebral capillary networks. Comput. Math. Methods Med. 2019, 2019, 4235937. [Google Scholar] [CrossRef] [PubMed]
- Sharan, M.; Popel, A.S. A two-phase model for flow of blood in narrow tubes with increased effective viscosity near the wall. Biorheology 2001, 38, 415–428. [Google Scholar] [PubMed]
- Ascolese, M.; Farina, A.; Fasano, A. The Fåhræus-Lindqvist effect in small blood vessels: How does it help the heart. J. Biol. Phys. 2019, 45, 379–394. [Google Scholar] [CrossRef]
- Chebbi, R. Dynamics of blood flow: Modeling of the Fåhræus–Lindqvist effect. J. Biol. Phys. 2015, 41, 313–326. [Google Scholar] [CrossRef]
- Chebbi, R. Dynamics of blood flow: Modeling of Fahraeus and Fahraeus-Lindqvist effects using a shear-induced red blood cell migration model. J. Biol. Phys. 2018, 44, 591–603. [Google Scholar] [CrossRef] [PubMed]
- Chebbi, R. A two-zone shear-induced red blood cell migration model for blood flow in microvessels. Front. Phys. 2019, 7, 206. [Google Scholar] [CrossRef]
- Farina, A.; Rosso, F.; Fasano, A. A Continuum mechanics model for the Fahraeus-Lindqvist effect. J. Biol. Phys. 2021, 47, 253–270. [Google Scholar] [CrossRef] [PubMed]
- Farina, A.; Fasano, A.; Rosso, F. Mathematical models for some aspects of blood microcirculation. Symmetry 2021, 13, 1020. [Google Scholar] [CrossRef]
- Possenti, L.; Di Gregorio, S.; Gerosa, F.M.; Raimondi, G.; Casagrande, G.; Costantino, M.L.; Zunino, P. A computational model for microcirculation including Fahraeus-Lindqvist effect, plasma skimming and fluid exchange with the tissue interstitium. Int. J. Numer. Methods Biomed. Eng. 2019, 35, e3165. [Google Scholar] [CrossRef] [PubMed]
- Wang, T.; Xing, Z. Characterization of blood flow in capillaries by numerical simulation. J. Mod. Phys. 2010, 1, 349. [Google Scholar] [CrossRef]
- Medvedev, A.E.; Fomin, V.M. Two-phase blood-flow model in large and small vessels. Dokl. Phys. 2011, 56, 610–613. [Google Scholar] [CrossRef]
- Medvedev, A.E. Two-phase blood-flow model. Russ. J. Biomech. 2013, 17, 18–32. [Google Scholar]
- Bagchi, P. Mesoscale simulation of blood flow in small vessels. Biophys. J. 2007, 92, 1858–1877. [Google Scholar] [CrossRef]
- Kapoor, J.N. Mathematical Models in Biology and Medicine; E.W.P.: New Delhi, India, 1992; ISBN 8185336822. [Google Scholar]
- Debnath, L. On a micro-continuum model pulsatile blood flow. Acta Mech. 1976, 24, 165–177. [Google Scholar] [CrossRef]
- Devi, G.; Devanathan, R. Peristaltic motion of a micropolar fluid. Proc. Indian Acad. Sci. 1975, 81, 149–163. [Google Scholar] [CrossRef]
- Upadhyay, V.; Chaturvedi, S.K.; Upadhyay, A. A mathematical model on effect of stenosis in two phase blood flow in arteries remote from the heart. Int. Acad. Phys. Sci. 2012, 16, 247–257. [Google Scholar]
- Fung, Y.C. Biomathematics Mechanical Properties of Living Tissues; Springer: New York, NY, USA, 1981; pp. 118–182. [Google Scholar]
- Sherman, I.W.; Sherman, V.G. Biology—A Human Approach; Oxford University Press: New York, NY, USA; Oxford, UK, 1989; pp. 276–277. [Google Scholar]
- Murray, R.S. Vector Analysis and an Introduction to Tensor Analysis; Schaum’s Outline Series; McGraw-Hill: New York, NY, USA, 2021. [Google Scholar]
- Maurya, P.; Upadhyay, V.; Chaturvedi, S.K.; Kumar, D. Mathematical study and simulation on stenosed carotid arteries with the help of two-phase blood flow model. Can. J. Chem. Eng. 2023, 101, 5468–5481. [Google Scholar] [CrossRef]
- De, U.C.; Abosos, S.A.; Joydeep, G.S. Tensor Calculus, 2nd ed.; Alpha Science International, Ltd.: Oxford, UK, 2008. [Google Scholar]
- Landau, L.D.; Lipchitz, E.M. Fluid Mechanics; Pergamon Press: Oxford, UK, 1959. [Google Scholar]
- Wiat, L.; Fine, J. Applied Bio Fluid Mechanics; McGraw-Hill Companies: New York, NY, USA, 2007. [Google Scholar]
- Mazumdar, J.N. Bio Fluid Mechanics; World Scientific: Singapore, 2004. [Google Scholar]
- Spain, B. Tensor Calculus: A Concise Course; Courier Corporation: North Chelmsford, MA, USA, 2003. [Google Scholar]
- Batra, S.; Rakusan, K. Capillary length, tortuosity, and spacing in rat myocardium during cardiac cycle. Am. J. Physiol.-Heart Circ. Physiol. 1992, 263, H1369–H1376. [Google Scholar] [CrossRef]








| Series 1 | |||
|---|---|---|---|
| S. No. | Length of Tube (m) | Diameter (m) | Relative Viscosity (Pascal-S) |
| 1 | 0.1265 | ||
| 2 | 0.1210 | ||
| 3 | 0.0456 | ||
| 4 | 0.0500 | ||
| 5 | 0.0326 | ||
| 6 | 0.0118 | ||
| 7 | 0.0118 | ||
| 8 | 0.0126 | ||
| Series 2 | |||
|---|---|---|---|
| S. No. | Length of Tube (m) | Diameter (m) | Relative Viscosity (Pascal-S) |
| 1 | 0.1255 | ||
| 2 | 0.0456 | ||
| 3 | 0.0500 | ||
| 4 | 0.0118 | ||
| Series 3 | |||
|---|---|---|---|
| S. No. | Length of Tube (m) | Diameter (m) | Relative Viscosity (Pascal-S) |
| 1 | ---- | ||
| 2 | 0.1000 | ||
| 3 | 0.0850 | ||
| 4 | ---- | ||
| Series 4 | |||
|---|---|---|---|
| S. No. | Length of Tube (m) | Diameter (m) | Relative Viscosity (Pascal-S) |
| 1 | 0.1225 | ||
| 2 | 0.0456 | ||
| 3 | 0.0500 | ||
| 4 | 0.0279 | ||
| 5 | 0.0070 | ||
| 6 | 0.0118 | ||
Disclaimer/Publisher’s Note: The statements, opinions and data contained in all publications are solely those of the individual author(s) and contributor(s) and not of MDPI and/or the editor(s). MDPI and/or the editor(s) disclaim responsibility for any injury to people or property resulting from any ideas, methods, instructions or products referred to in the content. |
© 2024 by the authors. Licensee MDPI, Basel, Switzerland. This article is an open access article distributed under the terms and conditions of the Creative Commons Attribution (CC BY) license (https://creativecommons.org/licenses/by/4.0/).
Share and Cite
Upadhyay, V.; Maurya, P.; Chaturvedi, S.K.; Chaurasiya, V.; Kumar, D. A Mathematical Analysis and Simulation of the F-L Effect in Two-Layered Blood Flow through the Capillaries Remote from the Heart and Proximate to Human Tissue. Symmetry 2024, 16, 728. https://doi.org/10.3390/sym16060728
Upadhyay V, Maurya P, Chaturvedi SK, Chaurasiya V, Kumar D. A Mathematical Analysis and Simulation of the F-L Effect in Two-Layered Blood Flow through the Capillaries Remote from the Heart and Proximate to Human Tissue. Symmetry. 2024; 16(6):728. https://doi.org/10.3390/sym16060728
Chicago/Turabian StyleUpadhyay, Virendra, Pooja Maurya, Surya Kant Chaturvedi, Vikas Chaurasiya, and Dinesh Kumar. 2024. "A Mathematical Analysis and Simulation of the F-L Effect in Two-Layered Blood Flow through the Capillaries Remote from the Heart and Proximate to Human Tissue" Symmetry 16, no. 6: 728. https://doi.org/10.3390/sym16060728
APA StyleUpadhyay, V., Maurya, P., Chaturvedi, S. K., Chaurasiya, V., & Kumar, D. (2024). A Mathematical Analysis and Simulation of the F-L Effect in Two-Layered Blood Flow through the Capillaries Remote from the Heart and Proximate to Human Tissue. Symmetry, 16(6), 728. https://doi.org/10.3390/sym16060728

