Distributed Active Support from Photovoltaics via State–Disturbance Observation and Dynamic Surface Consensus for Dynamic Frequency Stability Under Source–Load Asymmetry
Abstract
1. Introduction
2. Cloud Control Architecture for Dynamic Frequency Active Support of Wide-Area Photovoltaic Clusters
2.1. Cloud-Based Control Architecture for Dynamic Frequency Active Support of Wide-Area Photovoltaic Clusters
- (1)
- Photovoltaic Participation in Frequency Regulation Structure and Dynamic Frequency Stability Issues
- (2)
- Cloud control architecture actively supported by a wide-area photovoltaic cluster
2.2. Fundamental Model for Dynamic Frequency Active Support
- (1)
- Physical system model
- (2)
- Information Communication Model
3. Dual Observer for State and Disturbance
| Algorithm 1. Parameter calculation of DRO |
| Input: System matrix Output: Observer gain 1: if rank(CE) ≠ rank(E) 2: Output “UIO does not exist” 3: end if 4: H ← E * inv(CE’ * CE) * CE’ 5: T ← I − H * C 6: A1 ← T * A 7: if (C, A1) is observable 8: Calculate K1 using pole placement and calculate F and K according to Equations (9)–(11) 9: end if 10: Wo ← obsv(C, A1) 11: n1 ← rank(Wo) 12: while True 13: P1 ← the first n1 rows of Wo 14: P2 ← Randomly generate an matrix 15: P ← [P1; P2] 16: If det(P) ≠ 0 17: return P 18: PAP_inv ← P * A * inv(P) 19: CP_inv ← C * inv(P) 20: A11 ←The upper-left n1 × n1 submatrix of PAP_inv 21: A12 ←The lower-left n1 × (n − n1) submatrix of PAP_inv 22: A22 ←The lower-right (n − n1) × (n − n1) submatrix of PAP_inv 23: Kp ← place(A11, C(1:n1, :), expected poles) 24: K1 ← inv(P) * Kp 25: K2 ← randomly generate an (n − n1) * m matrix 26: K ← K1 + K2 27: F ← A1 − K1 * C 28: return F, K, T, H |
4. Photovoltaic-Based Distributed Frequency Controller
4.1. Error Surface Design Based on MAC
4.2. Control Law Design Based on DSC
Control Law Design
- (1)
- Design virtual control rate for .
- (2)
- Design virtual control rate for .
- (3)
- Design Control Law
4.3. Control Law Parameter Design
| Algorithm 2. Optimization process of CGO |
|
Input: , and Equation (31) Output: The optimal candidate solution (DFC parameters) ① First, generate random initial points in the search space. ② Calculate the fitness (degree of proximity to the target) by substituting the initial solutions into the objective function. ③ Obtain the optimal candidate solution in the current state. ④ Enter the following loop: While (t < maximum number of iterations) for i = 1: number of candidate solutions Generate by randomly selecting initial qualified points Generate a temporary triangle from , , and Generate new seeds using the calculation formulas for the four seeds Calculate the fitness of the new seeds if the fitness value of the new seed is better than that of the worst candidate solution Replace the worst candidate solution with the new seed end If there is a better candidate solution, update end t = t + 1 end ⑤ Obtain the optimal solution So far, the optimization of parameters using CGO has been completed. |
5. Case Study and Analysis
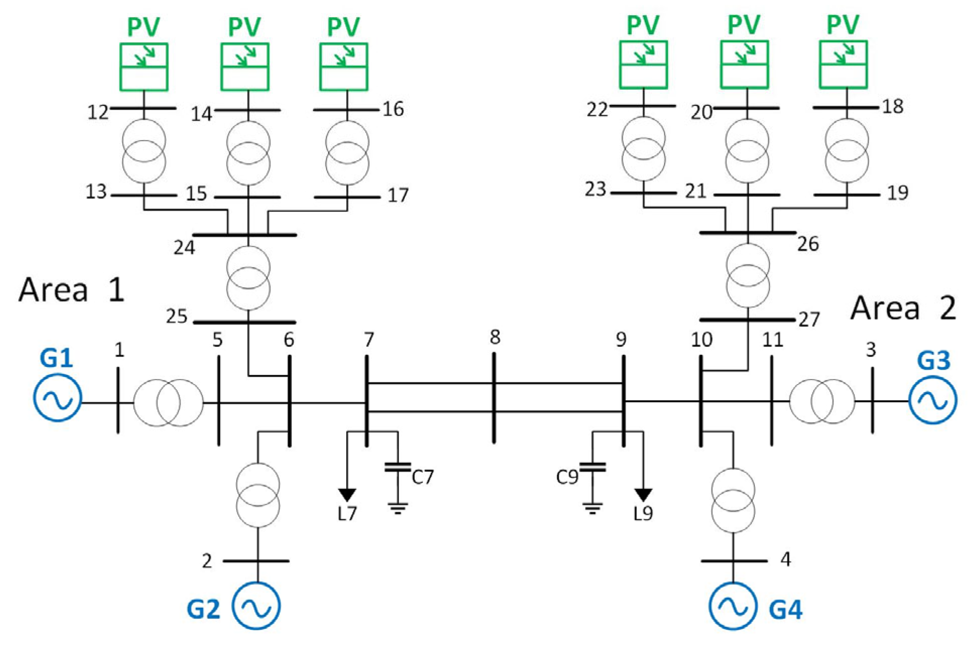
5.1. Case Study and Analysis via a Two-Region Interconnected System
- (1)
- Observer Performance Analysis
- (2)
- Dynamic frequency stabilization control effect
- (3)
- Comparative analysis with centralized control
5.2. Case Study of the Four-Region System
- (1)
- Comparative Analysis with Decentralized Control
- (2)
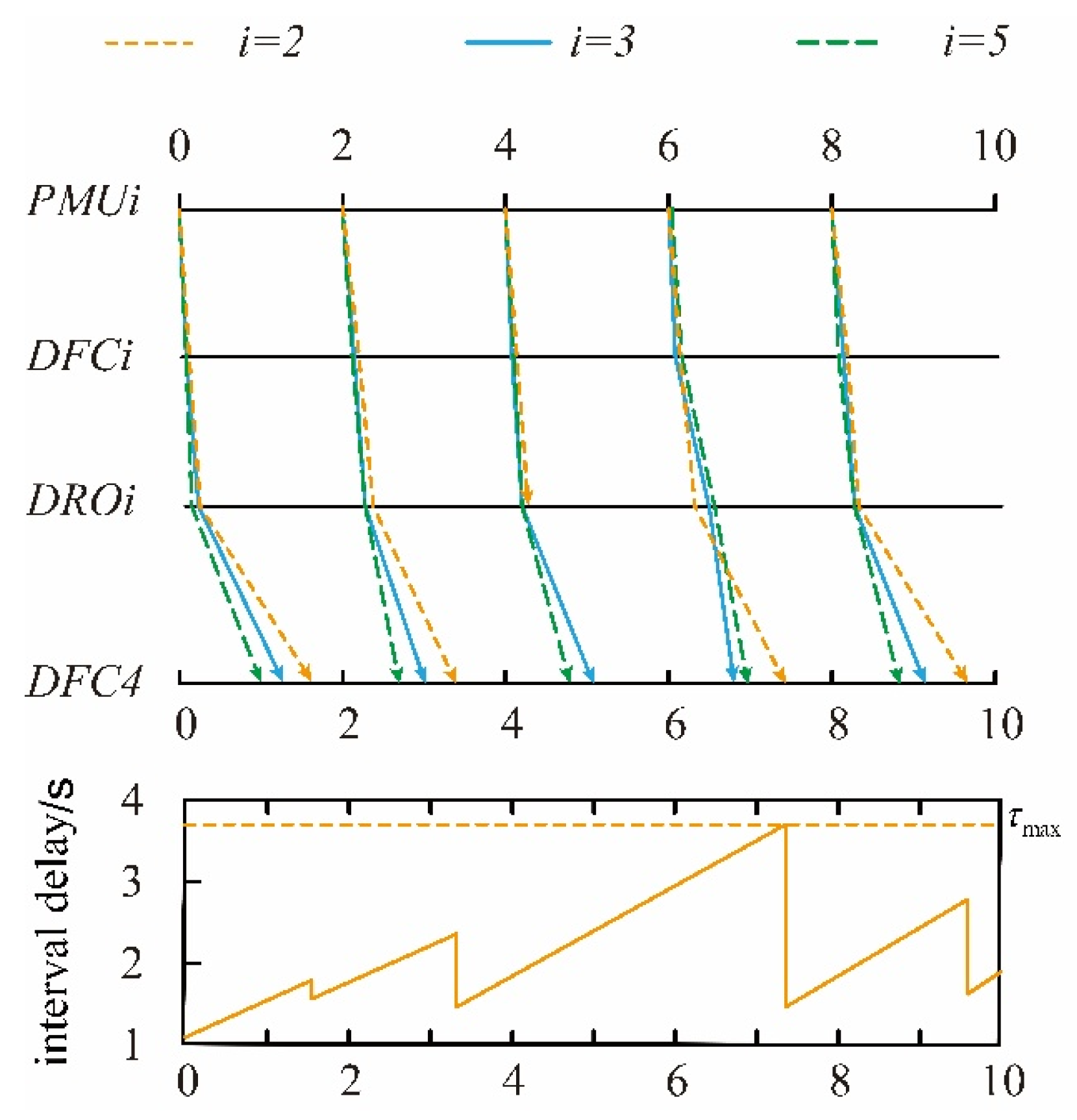
- Controller performance analysis under different communication conditions
6. Conclusions
- (1)
- The PV-based control strategy proposed in this paper can suppress both low-frequency oscillations and ultra-low-frequency oscillations simultaneously and also achieves favorable performance even under weak communication conditions.
- (2)
- A three-layer distributed cloud control framework of terminal–edge–collaboration is constructed, which realized double high-precision observation of state variables and external perturbations through decentralized regional observer. The maximum error of the state observer is 1.6 × 10−4 p.u. and the steady state tracking error converges to 6 × 10−5 p.u.
- (3)
- A distributed frequency controller (DFC) is proposed using the MAC and DSC method, which can effectively limit the maximum frequency deviation of the system to 0.17 Hz, and the steady state frequency deviation converges to 1 × 10−8 p.u.
- (4)
- The parameter adjustment strategy based on CGO is proposed to achieve frequency deviation suppression. Simulation results show that the frequency deviation can be suppressed to ±0.17 Hz under the condition of communication delay of 2.5 s.
- (5)
- The test results show that compared with that of the traditional centralized control, the proposed dynamic frequency active support method can reduce the frequency deviation by 26.1% and the regulation time by 76.3%. And compared with that of the decentralized control, the proposed method can reduce the frequency deviation by 17.1% and the regulation time by 42.9%.
- (6)
- The PV-based control method proposed in this study can effectively suppress low-frequency and ultra-low-frequency oscillations, significantly enhancing the power grid’s capacity to accommodate high-proportion clean energy and its stability.
Author Contributions
Funding
Data Availability Statement
Acknowledgments
Conflicts of Interest
Appendix A
Appendix B
References
- National Grid ESO. Technical Report on the Low Frequency Demand Disconnection (LFDD) Event; National Grid ESO: Warwick, UK, 2020. [Google Scholar]
- Islam, M.R.; Azam, M.S.; Hossen, M.S.; Islam, M.S.; Worku, M.Y.; Shahriar, M.S.; Shafiullah, M. Power system stability enhancement through optimal PSS design. e-Prime—Adv. Electr. Eng. Electron. Energy 2024, 9, 100735. [Google Scholar] [CrossRef]
- Xu, T.; Sun, S.; Zhou, Z.; Feng, H.; Deng, H.; Chen, Y.; Li, B. The principle and influence analysis of suppressing ultra-low frequency oscillation by using additional GPSS control. In Proceedings of the 2023 3rd International Conference on Intelligent Power and Systems (ICIPS), Shenzhen, China, 20–22 October 2023; pp. 250–254. [Google Scholar]
- Sun, W.; Ma, Z. Mechanistic Analysis of Ultra-Low-Frequency Oscillation Accompanied by Low-Frequency Oscillation in Hydropower System. In Proceedings of the 2024 3rd International Conference on Energy and Electrical Power Systems (ICEEPS), Guangzhou, China, 14–16 July 2024; pp. 564–567. [Google Scholar]
- Zhong, W.; Li, Z.; Tang, Z.; Du, Y.; Yang, X.; Feng, C.; Li, G. An ultra-low frequency oscillation suppression method for hydropower units based on GPSS parameter optimization. In Proceedings of the 2023 10th International Forum on Electrical Engineering and Automation (IFEEA), Nanjing, China, 3–5 November 2023; pp. 726–731. [Google Scholar]
- Yang, L.; Huang, W.; Zhang, D.; He, P.; Meng, X.; Cao, P.; Yang, B. Comprehensive suppression strategies for low frequency and ultra-low frequency oscillations of the Yunnan power grid under asynchronous interconnection. Power Syst. Prot. Control 2021, 49, 133–140. [Google Scholar] [CrossRef]
- Guang, X.; Fang, Y.; Li, Z.; Wu, X.; Liu, F.; Li, W. Phenomenon and Mechanism of Inter-area Tie-line Power Oscillation in Ultra-low Frequency Oscillation. Autom. Electr. Power Syst. 2020, 44, 69–77. [Google Scholar]
- Cao, T.; Ye, Z.; Wu, Q.; Wan, X.; Wang, J.; Li, D. A Review of Adaptive Control Methods for Grid-Connected PV Inverters in Complex Distribution Systems. Energies 2025, 18, 473. [Google Scholar] [CrossRef]
- Ali, J.S.; Qiblawey, Y.; Alassi, A.; Massoud, A.M.; Muyeen, S.M.; Abu-Rub, H. Power System Stability with High Penetration of Renewable Energy Sources: Challenges, Assessment, and Mitigation Strategies. IEEE Access 2025, 13, 39912–39934. [Google Scholar] [CrossRef]
- National Energy Administration. Notice of the National Energy Administration on Improving the Grid-Related Security Capabilities of New Energy and New Grid-Connected Entities to Serve the High-quality Development of New Power Systems. 2024-09-30. 00019705/2024-00320. Available online: https://zfxxgk.nea.gov.cn/2024-09/30/c_1310787050.htm (accessed on 4 September 2025).
- Pan, W.; Li, Y.; Cao, Y.; Xin, J. Frequency control of grid-connection system based on VSC-HVDC for large-scale centralized wind farm. Electr. Power Autom. Equip. 2015, 35, 94–99. [Google Scholar] [CrossRef]
- Wu, X.; Wang, J.; Wang, S.; Xu, Y. Research on Multi-band Robust Supplementary Control of PV for Coordinated Suppression of Ultra-low Frequency/Low Frequency Oscillations. Proc. CSEE 2024, 1–19. Available online: https://link.cnki.net/urlid/11.2107.tm.20241202.1138.002 (accessed on 4 September 2025).
- Heins, T.; Joševski, M.; Gurumurthy, S.K.; Monti, A. Centralized Model Predictive Control for Transient Frequency Control in Islanded Inverter-Based Microgrids. IEEE Trans. Power Syst. 2023, 38, 2641–2652. [Google Scholar] [CrossRef]
- Shangguan, X.C.; He, Y.; Zhang, C.K.; Jin, L.; Yao, W.; Jiang, L.; Wu, M. Control Performance Standards-Oriented Event-Triggered Load Frequency Control for Power Systems Under Limited Communication Bandwidth. IEEE Trans. Control Syst. Technol. 2022, 30, 860–868. [Google Scholar] [CrossRef]
- Pijian, C.; Wen, T.; Yi, H. Decentralized load frequency control using DE optimized linear auto disturbance rejection controller for multi-area power systems. In Proceedings of the 2015 34th Chinese Control Conference (CCC), Hangzhou, China, 28–30 July 2015; pp. 217–222. [Google Scholar]
- Le, J.; Zhao, L.; Wang, C.; Zhou, Q.; Wang, Y. Leader-follower Optimal Selection Method for Distributed Control System in Active Distribution Networks. CSEE J. Power Energy Syst. 2024, 10, 314–323. [Google Scholar] [CrossRef]
- Li, Z.; Cheng, Z.; Si, J.; Zhang, S.; Dong, L.; Li, S.; Gao, Y. Adaptive Power Point Tracking Control of PV System for Primary Frequency Regulation of AC Microgrid with High PV Integration. IEEE Trans. Power Syst. 2021, 36, 3129–3141. [Google Scholar] [CrossRef]
- Zhang, Z.; Du, E.; Teng, F.; Zhang, N.; Kang, C. Modeling Frequency Dynamics in Unit Commitment with a High Share of Renewable Energy. IEEE Trans. Power Syst. 2020, 35, 4383–4395. [Google Scholar] [CrossRef]
- Wang, B.; Zhu, S.; Cai, G.; Yang, D.; Chen, Z.; Ma, J.; Sun, Z. Sparse Measurement-Based Modelling Low-Order Dynamics for Primary Frequency Regulation. IEEE Trans. Power Syst. 2024, 39, 681–692. [Google Scholar] [CrossRef]
- Alhelou, H.H.; Golshan, M.E.H.; Hatziargyriou, N.D. Deterministic Dynamic State Estimation-Based Optimal LFC for Interconnected Power Systems Using Unknown Input Observer. IEEE Trans. Smart Grid 2020, 11, 1582–1592. [Google Scholar] [CrossRef]
- Talatahari, S.; Azizi, M. Optimization of constrained mathematical and engineering design problems using chaos game optimization. Comput. Ind. Eng. 2020, 145, 106560. [Google Scholar] [CrossRef]
- Wang, M.; Guo, J.; Ma, S.; Wang, T.; Zhang, X.; Luo, K.; Wang, G. Review of Transient Frequency Stability Analysis andFrequency Regulation Control Methods for Renewable Power Systems. Proc. CSEE 2023, 43, 1672–1694. [Google Scholar] [CrossRef]
- Jietan, Z.; Linan, Q.; Pestana, R.; Fengkui, L.; Libin, Y. Dynamic frequency support by photovoltaic generation with “synthetic” inertia and frequency droop control. In Proceedings of the 2017 IEEE Conference on Energy Internet and Energy System Integration (EI2), Beijing, China, 26–28 November 2017; pp. 1–6. [Google Scholar]
- Shi, Q.; Li, F.; Cui, H. Analytical Method to Aggregate Multi-Machine SFR Model with Applications in Power System Dynamic Studies. IEEE Trans. Power Syst. 2018, 33, 6355–6367. [Google Scholar] [CrossRef]
- Yoo, S.J. Connectivity-Preserving Consensus Tracking of Uncertain Nonlinear Strict-Feedback Multiagent Systems: An Error Transformation Approach. IEEE Trans. Neural Netw. Learn. Syst. 2018, 29, 4542–4548. [Google Scholar] [CrossRef] [PubMed]



















| Number | TV/s | TI/s | Kp/(p.u.) |
|---|---|---|---|
| 1 | 1.1 | 0.056 | −13 |
| 2 | 1.3 | 0.054 | −10 |
| 3 | 1.7 | 0.051 | −20 |
| 4 | 1.2 | 0.055 | −16.67 |
| 5 | 1.3 | 0.052 | −20 |
| 6 | 1.4 | 0.053 | −20 |
| TV (s) | TI (s) | Kp/(p.u.) | D/(p.u./Hz) | M (s) |
|---|---|---|---|---|
| 1.363 | 0.053 | −16.5 | 0.024 | 19.92 |
| Region | TV/s | TI/s | Kp/(p.u.) | D/(p.u./Hz) | M/s |
|---|---|---|---|---|---|
| 1 | 1 | 0.056 | −20 | 0.0166 | 16.7 |
| 2 | 1.6 | 0.054 | −18.52 | 0.0178 | 22.2 |
| 3 | 2 | 0.054 | −20 | 0.016 | 19.3 |
| 4 | 1 | 0.056 | −20 | 0.0166 | 16.7 |
| Metrics | Two-Region Interconnected System | Four-Region Interconnected System | ||
|---|---|---|---|---|
| Centralized Control | The Method in This Paper | Decentralized Control | The Method in This Paper | |
| Settling time/s | 50.6 | 12 | 23.46 | 13.4 |
| Maximum frequency offset/Hz | 0.23 | 0.17 | 0.41 | 0.34 |
| Test Environment | Region 1 Power Outflow Change/p.u. | Region 4 Power Outflow Change/p.u. |
|---|---|---|
| Weak communication | −0.0501 | −0.0326 |
| Strong communication | −0.0339 | −0.0323 |
Disclaimer/Publisher’s Note: The statements, opinions and data contained in all publications are solely those of the individual author(s) and contributor(s) and not of MDPI and/or the editor(s). MDPI and/or the editor(s) disclaim responsibility for any injury to people or property resulting from any ideas, methods, instructions or products referred to in the content. |
© 2025 by the authors. Licensee MDPI, Basel, Switzerland. This article is an open access article distributed under the terms and conditions of the Creative Commons Attribution (CC BY) license (https://creativecommons.org/licenses/by/4.0/).
Share and Cite
Zhou, Y.; Gao, Y.; Tang, Y.; Liu, Y.; Tu, L.; Zhang, Y.; Liu, Y.; Zhang, X.; Yu, J.; Cao, R. Distributed Active Support from Photovoltaics via State–Disturbance Observation and Dynamic Surface Consensus for Dynamic Frequency Stability Under Source–Load Asymmetry. Symmetry 2025, 17, 1672. https://doi.org/10.3390/sym17101672
Zhou Y, Gao Y, Tang Y, Liu Y, Tu L, Zhang Y, Liu Y, Zhang X, Yu J, Cao R. Distributed Active Support from Photovoltaics via State–Disturbance Observation and Dynamic Surface Consensus for Dynamic Frequency Stability Under Source–Load Asymmetry. Symmetry. 2025; 17(10):1672. https://doi.org/10.3390/sym17101672
Chicago/Turabian StyleZhou, Yichen, Yihe Gao, Yujia Tang, Yifei Liu, Liang Tu, Yifei Zhang, Yuyan Liu, Xiaoqin Zhang, Jiawei Yu, and Rui Cao. 2025. "Distributed Active Support from Photovoltaics via State–Disturbance Observation and Dynamic Surface Consensus for Dynamic Frequency Stability Under Source–Load Asymmetry" Symmetry 17, no. 10: 1672. https://doi.org/10.3390/sym17101672
APA StyleZhou, Y., Gao, Y., Tang, Y., Liu, Y., Tu, L., Zhang, Y., Liu, Y., Zhang, X., Yu, J., & Cao, R. (2025). Distributed Active Support from Photovoltaics via State–Disturbance Observation and Dynamic Surface Consensus for Dynamic Frequency Stability Under Source–Load Asymmetry. Symmetry, 17(10), 1672. https://doi.org/10.3390/sym17101672

