Machine Learning Methods for Quantifying Uncertainty in Prospectivity Mapping of Magmatic-Hydrothermal Gold Deposits: A Case Study from Juruena Mineral Province, Northern Mato Grosso, Brazil
Abstract
:1. Introduction
2. Geological Setting of the Juruena Mineral Province
2.1. Regional Geology and Tectonics
2.2. The Juruena Mineral Province and Gold Mineralization
3. Materials and Methods
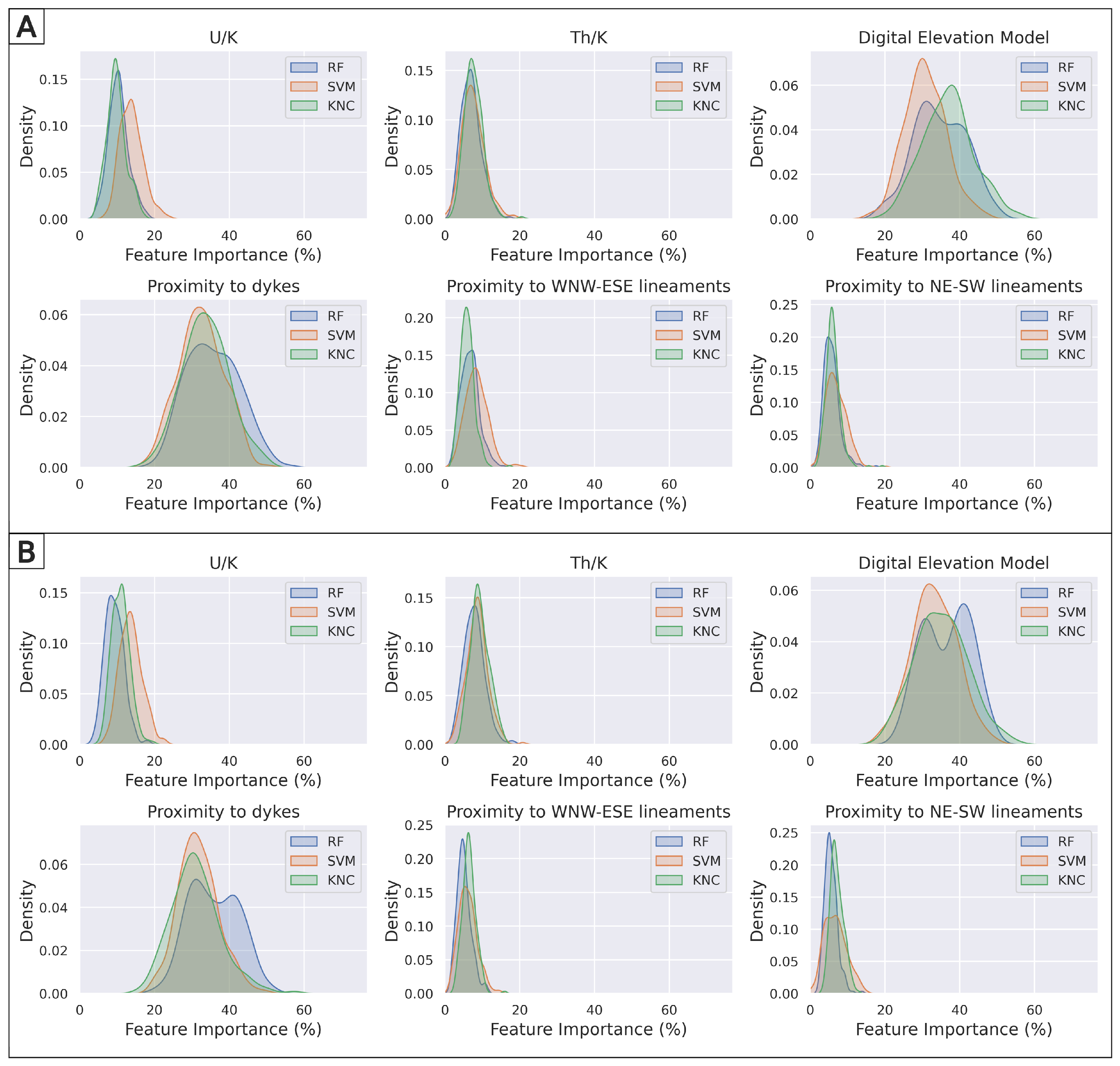
3.1. Feature Selection and Feature Engineering
3.2. Negative Sampling Methodology
3.3. Model Training
3.4. Algorithms
3.4.1. Random Forest
3.4.2. Support Vector Machine
3.4.3. K-Nearest Neighbors
4. Results and Discussion
5. Conclusions
Author Contributions
Funding
Institutional Review Board Statement
Informed Consent Statement
Data Availability Statement
Acknowledgments
Conflicts of Interest
Abbreviations
| JMP | Juruena Mineral Province |
| AC | Amazonian Craton |
| RF | Random Forest |
| SVM | Support Vector Machine |
| KNC | K-Nearest neighbors Classifier |
| MDPN | Minimum Distance between Positive and Negative examples |
| AUC | Area Under the Curve |
| GeoSGB-CPRM | Database of the Geological Survey of Brazil |
References
- Carranza, E.J.M.; Laborte, A.G. Data-driven predictive mapping of gold prospectivity, Baguio district, Philippines: Application of Random Forests algorithm. Ore Geol. Rev. 2015, 71, 777–787. [Google Scholar] [CrossRef]
- Zuo, R.; Carranza, E.J.M. Support vector machine: A tool for mapping mineral prospectivity. Comput. Geosci. 2011, 37, 1967–1975. [Google Scholar] [CrossRef]
- Rodriguez-Galiano, V.; Sanchez-Castillo, M.; Chica-Olmo, M.; Chica-Rivas, M. Machine learning predictive models for mineral prospectivity: An evaluation of neural networks, random forest, regression trees and support vector machines. Ore Geol. Rev. 2015, 71, 804–818. [Google Scholar] [CrossRef]
- Carranza, E.J.M. Controls on mineral deposit occurrence inferred from analysis of their spatial pattern and spatial association with geological features. Ore Geol. Rev. 2009, 35, 383–400. [Google Scholar] [CrossRef]
- Vearncombe, J.; Vearncombe, S. The spatial distribution of mineralization; applications of Fry analysis. Econ. Geol. 1999, 94, 475–486. [Google Scholar] [CrossRef]
- Ford, A.; Blenkinsop, T.G. Combining fractal analysis of mineral deposit clustering with weights of evidence to evaluate patterns of mineralization: Application to copper deposits of the Mount Isa Inlier, NW Queensland, Australia. Ore Geol. Rev. 2008, 33, 435–450. [Google Scholar] [CrossRef]
- Gatrell, A.C.; Bailey, T.C.; Diggle, P.J.; Rowlingson, B.S. Spatial point pattern analysis and its application in geographical epidemiology. Trans. Inst. Br. Geogr. 1996, 21, 256–274. [Google Scholar] [CrossRef]
- Carranza, E.; Hale, M.; Faassen, C. Selection of coherent deposit-type locations and their application in data-driven mineral prospectivity mapping. Ore Geol. Rev. 2008, 33, 536–558. [Google Scholar] [CrossRef]
- Nykänen, V.; Lahti, I.; Niiranen, T.; Korhonen, K. Receiver operating characteristics (ROC) as validation tool for prospectivity models—A magmatic Ni–Cu case study from the Central Lapland Greenstone Belt, Northern Finland. Ore Geol. Rev. 2015, 71, 853–860. [Google Scholar] [CrossRef]
- Zuo, R.; Wang, Z. Effects of random negative training samples on mineral prospectivity mapping. Nat. Resour. Res. 2020, 29, 3443–3455. [Google Scholar] [CrossRef]
- Almeida, F.F.M.; Hasui, Y.; Brito Neves, B.B.; Fuck, R.A. Brazilian structural provinces: An introduction. Earth-Sci. Rev. 1981, 17, 1–29. [Google Scholar] [CrossRef]
- Santos, J.O.S.; Hartmann, L.A.; Gaudette, H.E.; Groves, D.I.; Mcnaughton, N.J.; Fletcher, I.R. A new understanding of the provinces of the Amazon Craton based on integration of field mapping and U-Pb and Sm-Nd geochronology. Gondwana Res. 2000, 3, 453–488. [Google Scholar] [CrossRef]
- Tassinari, C.C.; Macambira, M.J. Geochronological provinces of the Amazonian Craton. Episodes-Newsmag. Int. Union Geol. Sci. 1999, 22, 174–182. [Google Scholar] [CrossRef]
- Tassinari, C.C.G.; Macambira, M.J.B. A evolução tectônica do Craton Amazônico. In Proceedings of the Congresso Brasileiro de Geologia, SBG, Araxá. 2004. Available online: https://repositorio.usp.br/item/001407316 (accessed on 29 June 2022).
- Santos, J.O.S. Geotectônica dos escudos das Guianas e Brasil-Central. In Geologia, Tectônica e Recursos Minerais do Brasil; CPRM: Brasília, Brazil, 2003; Volume 4, pp. 169–226. [Google Scholar]
- Santos, J.O.S.; Hartmann, L.A.; Faria, M.d.; Riker, S.R.; Souza, M.D.; Almeida, M.E.; McNaughton, N.J. A compartimentação do Cráton Amazonas em províncias: Avanços ocorridos no período 2000–2006. Simpósio De Geol. Da Amaz. 2006, 9, 2006. [Google Scholar]
- Juliani, C.; Carneiro, C.d.C.; Carreiro-Araújo, S.A.; Fernandes, C.; Monteiro, L.; Crósta, A. Estruturação dos arcos magmáticos paleoproterozoicos na porção sul do Cráton Amazônico: Implicações geotectônicas e metalogenéticas. Simpósio De Geol. Da Amaz. 2013, 13, 157–160. [Google Scholar]
- Scandolara, J.; Correa, R.; Fuck, R.; Souza, V.; Rodrigues, J.; Ribeiro, P.; Frasca, A.; Saboia, A.; Lacerda Filho, J. Paleo-Mesoproterozoic arc-accretion along the southwestern margin of the Amazonian craton: The Juruena accretionary orogen and possible implications for Columbia supercontinent. J. S. Am. Earth Sci. 2017, 73, 223–247. [Google Scholar] [CrossRef]
- Trevisan, V.G.; Hagemann, S.G.; Loucks, R.R.; Xavier, R.P.; Motta, J.G.; Parra-Avila, L.A.; Petersson, A.; Gao, J.F.; Kemp, A.I.; Assis, R.R. Tectonic switches recorded in a Paleoproterozoic accretionary orogen in the Alta Floresta Mineral Province, southern Amazonian Craton. Precambrian Res. 2021, 364, 106324. [Google Scholar] [CrossRef]
- Rizzotto, G.J.; Alves, C.L.; Rios, F.S.; Barros, M.A.d.S. The Western Amazonia Igneous Belt. J. S. Am. Earth Sci. 2019, 96, 102326. [Google Scholar] [CrossRef]
- Assis, R.R.; Xavier, R.P.; Creaser, R.A. Linking the Timing of Disseminated Granite-Hosted Gold-Rich Deposits to Paleoproterozoic Felsic Magmatism at Alta Floresta Gold Province, Amazon Craton, Brazil: Insights from Pyrite and Molybdenite Re-Os Geochronology. Econ. Geol. 2017, 112, 1937–1957. [Google Scholar] [CrossRef]
- Juliani, C.; Rodrigues de Assis, R.; Virgínia Soares Monteiro, L.; Marcello Dias Fernandes, C.; Eduardo Zimmermann da Silva Martins, J.; Ricardo Costa e Costa, J. Gold in Paleoproterozoic (2.1 to 1.77 Ga) Continental Magmatic Arcs at the Tapajós and Juruena Mineral Provinces (Amazonian Craton, Brazil): A New Frontier for the Exploration of Epithermal–Porphyry and Related Deposits. Minerals 2021, 11, 714. [Google Scholar] [CrossRef]
- Paes de Barros, A.J. Granitos da Região de Peixoto de Azevedo: Novo Mundo e Mineralizações auríferas Relacionadas-Província Aurífera Alta Floresta (MT). 2007. Available online: http://repositorio.unicamp.br/jspui/handle/REPOSIP/287713 (accessed on 15 June 2022).
- Miguel, E., Jr. Mineralizações Auríferas do Lineamento Peru-Trairão, Província Aurífera de Alta Floresta-MT: Controle Estrutural e Idade U-Pb Das Rochas Hospedeiras. Master’s Thesis, Universidade Estadual de Campinas, Unicamp, Brazil, 2011. [Google Scholar]
- Santos, J.O.S.; Groves, D.I.; Hartmann, L.A.; Moura, M.A.; McNaughton, N.J. Gold deposits of the Tapajós and Alta Floresta Domains, Tapajós–Parima orogenic belt, Amazon Craton, Brazil. Miner. Depos. 2001, 36, 278–299. [Google Scholar] [CrossRef]
- Abreu, M. Alteração Hidrotermal e Mineralização Aurífera do Depósito de Novo Mundo, Região de Teles Pires-Peixoto de Azevedo, Província de Alta Floresta (MT); Trabalho de Conclusão de Curso; Instituto de Geociências, Universidade Estadual de Campinas: Campinas, Brazil, 2004; 29p. [Google Scholar]
- Assis, R.R. Depósitos Auríferos Associados ao Magmatismo Félsico da Provincia de Alta Floresta (MT), Craton Amazonico: Litogeoquímica, Idade Das Mineralizações e Fonte dos Fluidos. Ph.D. Thesis, Universidade Estadual de Campinas, Unicamp, Brazil, 2015. [Google Scholar]
- Shives, R.B.; Charbonneau, B.; Ford, K.L. The detection of potassic alteration by gamma-ray spectrometry—Recognition of alteration related to mineralization. Geophysics 2000, 65, 2001–2011. [Google Scholar] [CrossRef]
- Griffith, D.A. Spatial Autocorrelation: A Primer; Association of American Geographers: Washington, DC, USA, 1987. [Google Scholar]
- Legendre, P. Spatial autocorrelation: Trouble or new paradigm? Ecology 1993, 74, 1659–1673. [Google Scholar] [CrossRef]
- Bergstra, J.; Bengio, Y. Random search for hyper-parameter optimization. J. Mach. Learn. Res. 2012, 13, 281–305. [Google Scholar]
- Breiman, L. Random forests. Mach. Learn. 2001, 45, 5–32. [Google Scholar] [CrossRef]
- Rodriguez-Galiano, V.; Chica-Olmo, M.; Chica-Rivas, M. Predictive modelling of gold potential with the integration of multisource information based on random forest: A case study on the Rodalquilar area, Southern Spain. Int. J. Geogr. Inf. Sci. 2014, 28, 1336–1354. [Google Scholar] [CrossRef]
- Suykens, J.A.; Vandewalle, J. Least squares support vector machine classifiers. Neural Process. Lett. 1999, 9, 293–300. [Google Scholar] [CrossRef]
- Schölkopf, B.; Simard, P.; Smola, A.J.; Vapnik, V. Prior knowledge in support vector kernels. In Proceedings of the Advances in Neural Information Processing Systems, Denver, CO, USA, 30 November–5 December 1998; pp. 640–646. [Google Scholar]
- Burges, C.J. A tutorial on support vector machines for pattern recognition. Data Min. Knowl. Discov. 1998, 2, 121–167. [Google Scholar] [CrossRef]
- Zuo, R.; Zhang, Z.; Zhang, D.; Carranza, E.J.M.; Wang, H. Evaluation of uncertainty in mineral prospectivity mapping due to missing evidence: A case study with skarn-type Fe deposits in Southwestern Fujian Province, China. Ore Geol. Rev. 2015, 71, 502–515. [Google Scholar] [CrossRef]
- Peterson, L.E. K-nearest neighbor. Scholarpedia 2009, 4, 1883. [Google Scholar] [CrossRef]
- Lundberg, S.M.; Lee, S.I. A unified approach to interpreting model predictions. Adv. Neural Inf. Process. Syst. 2017, 30, 3–7. [Google Scholar]











| Model | Hyperparameters | |||
|---|---|---|---|---|
| n-estimators | bootstrap | criterion | max-depth | |
| RF | 300 | False | gini | 5 |
| kernel | gamma | C | ||
| SVM | RBF | 0.5 | 0.25 | |
| n-neighbors | weights | algorithm | p | |
| KNC | 7 | distance | auto | 2 |
Publisher’s Note: MDPI stays neutral with regard to jurisdictional claims in published maps and institutional affiliations. |
© 2022 by the authors. Licensee MDPI, Basel, Switzerland. This article is an open access article distributed under the terms and conditions of the Creative Commons Attribution (CC BY) license (https://creativecommons.org/licenses/by/4.0/).
Share and Cite
Silva dos Santos, V.; Gloaguen, E.; Hector Abud Louro, V.; Blouin, M. Machine Learning Methods for Quantifying Uncertainty in Prospectivity Mapping of Magmatic-Hydrothermal Gold Deposits: A Case Study from Juruena Mineral Province, Northern Mato Grosso, Brazil. Minerals 2022, 12, 941. https://doi.org/10.3390/min12080941
Silva dos Santos V, Gloaguen E, Hector Abud Louro V, Blouin M. Machine Learning Methods for Quantifying Uncertainty in Prospectivity Mapping of Magmatic-Hydrothermal Gold Deposits: A Case Study from Juruena Mineral Province, Northern Mato Grosso, Brazil. Minerals. 2022; 12(8):941. https://doi.org/10.3390/min12080941
Chicago/Turabian StyleSilva dos Santos, Victor, Erwan Gloaguen, Vinicius Hector Abud Louro, and Martin Blouin. 2022. "Machine Learning Methods for Quantifying Uncertainty in Prospectivity Mapping of Magmatic-Hydrothermal Gold Deposits: A Case Study from Juruena Mineral Province, Northern Mato Grosso, Brazil" Minerals 12, no. 8: 941. https://doi.org/10.3390/min12080941
APA StyleSilva dos Santos, V., Gloaguen, E., Hector Abud Louro, V., & Blouin, M. (2022). Machine Learning Methods for Quantifying Uncertainty in Prospectivity Mapping of Magmatic-Hydrothermal Gold Deposits: A Case Study from Juruena Mineral Province, Northern Mato Grosso, Brazil. Minerals, 12(8), 941. https://doi.org/10.3390/min12080941

