Influence of Precursor Particle Size and Calcium Hydroxide Content on the Development of Clay Brick Waste-Based Geopolymers
Abstract
1. Introduction
2. Materials and Methods
2.1. Raw Materials and Mix Proportions
2.2. Methods and Techniques
3. Results and Discussions
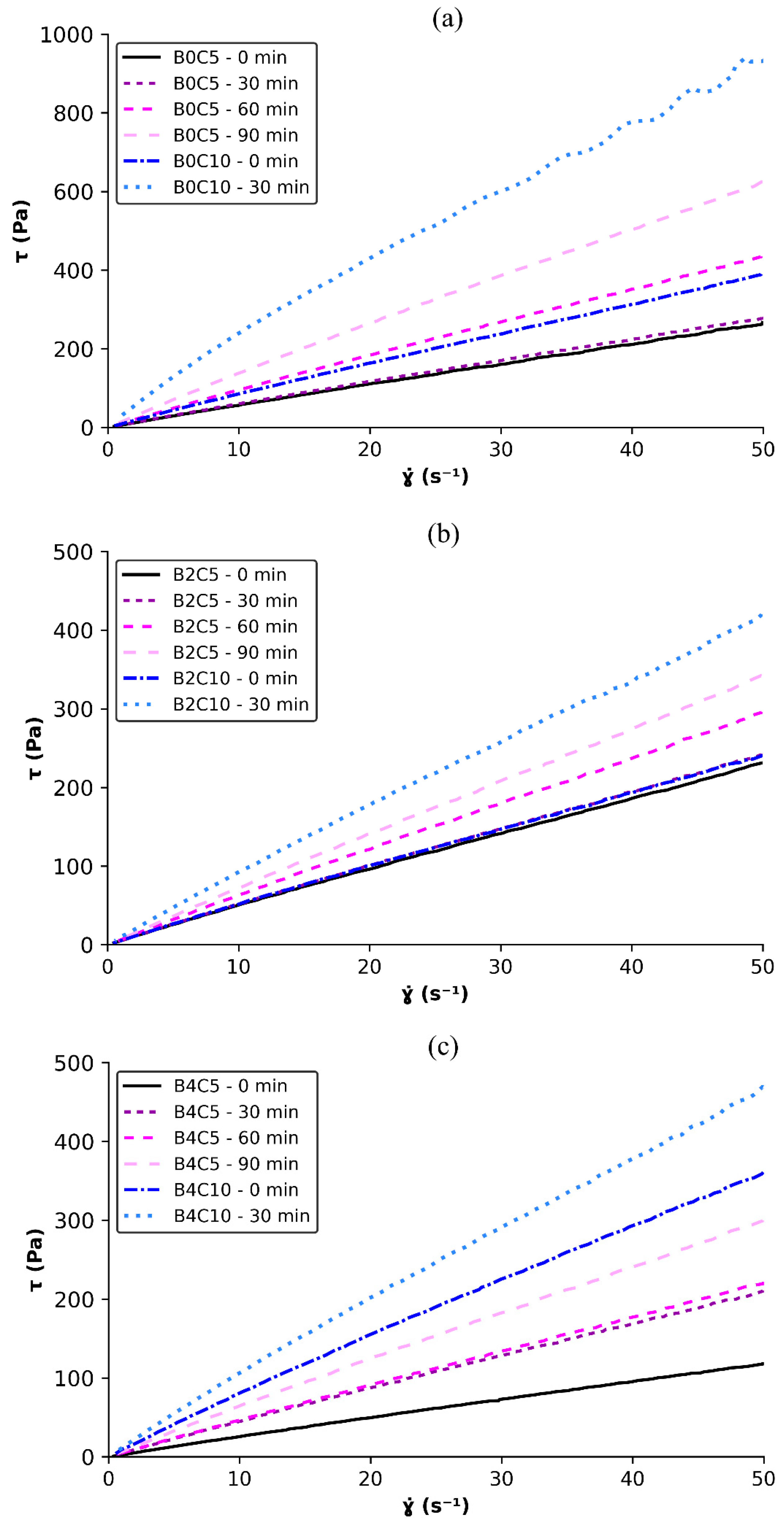
3.1. Fresh Properties
3.2. Compressive Strength and Microstructure
4. Conclusions
- The particle size reduction in BW and the incorporation of CH contributed significantly to obtaining better compressive strength in the geopolymers. However, better results were obtained with the incorporation of CH. There was an increase in compressive strength of 6.8% at 91 days in the B4C10 mixture compared to B0C10 and 9.2% in the B4C5 mixture when compared to B0C5, respectively. On the other hand, the increases in compressive strength at 91 days were 34.7%, 31.6%, and 31.7% when B0C10, B2C10, and B4C10 were compared to B0C5, B2C5, and B4C5, respectively.
- The CH incorporation initially promoted a physical effect on the rheological properties by increasing the amount of solids in the mix. Subsequently, over time, after mixing the materials, CH incorporation promoted a chemical effect by accelerating the geopolymerization reactions due to the formation of C-A-S-H gel as a secondary product in the matrix of geopolymers. However, the rheological properties of the geopolymers were negatively affected by both effects promoted by CH incorporation. This was because the incorporation of higher CH contents reduced the fluidity of the geopolymers.
- The BW particle size contributed to the improvement of the rheological properties, since the reduction in the particle size decreased the yield stress, the plastic viscosity, and the hysteresis area of the geopolymers, while the incorporation of CH promoted the opposite effect.
- Although the acceleration of geopolymerization reactions caused by the incorporation of CH may be useful in certain situations in the construction industry, this possibility needs to be thoroughly analyzed. This is necessary because there are indications that BW particles are not completely dissolved in mixtures with higher CH contents, which may affect the compressive strength of the geopolymers. On the other hand, the reduction in the average size may be an alternative which could be used to improve the compressive strength of geopolymers developed from precursors with low levels of reactivity.
Author Contributions
Funding
Data Availability Statement
Acknowledgments
Conflicts of Interest
References
- Akhtar, N.; Ahmad, T.; Husain, D.; Majdi, A.; Alam, M.T.; Husain, N.; Wayal, A.K.S. Ecological Footprint and Economic Assessment of Conventional and Geopolymer Concrete for Sustainable Construction. J. Clean. Prod. 2022, 380, 134910. [Google Scholar] [CrossRef]
- Zhao, J.; Tong, L.; Li, B.; Chen, T.; Wang, C.; Yang, G.; Zheng, Y. Eco-Friendly Geopolymer Materials: A Review of Performance Improvement, Potential Application and Sustainability Assessment. J. Clean. Prod. 2021, 307, 127085. [Google Scholar] [CrossRef]
- Bai, C.; Zheng, K.; Sun, F.; Wang, X.; Zhang, L.; Zheng, T.; Colombo, P.; Wang, B. A Review on Metakaolin-Based Porous Geopolymers. Appl. Clay Sci. 2024, 258, 107490. [Google Scholar] [CrossRef]
- Devos, K.; Devlieger, L.; Steeman, M. Reclaimed or New? Life Cycle Assessment of Ceramic Bricks. J. Clean. Prod. 2024, 476, 143764. [Google Scholar] [CrossRef]
- Farooq, F.; Jin, X.; Faisal Javed, M.; Akbar, A.; Izhar Shah, M.; Aslam, F.; Alyousef, R. Geopolymer Concrete as Sustainable Material: A State of the Art Review. Constr. Build. Mater. 2021, 306, 124762. [Google Scholar] [CrossRef]
- Sharmin, S.; Biswas, W.K.; Sarker, P.K. Exploring the Potential of Using Waste Clay Brick Powder in Geopolymer Applications: A Comprehensive Review. Buildings 2024, 14, 2317. [Google Scholar] [CrossRef]
- Wu, H.; Gao, J.; Liu, C.; Guo, Z.; Luo, X. Reusing Waste Clay Brick Powder for Low-Carbon Cement Concrete and Alkali-Activated Concrete: A Critical Review. J. Clean. Prod. 2024, 449, 141755. [Google Scholar] [CrossRef]
- Sharmin, S.; Sarker, P.K.; Biswas, W.K.; Abousnina, R.M.; Javed, U. Characterization of Waste Clay Brick Powder and Its Effect on the Mechanical Properties and Microstructure of Geopolymer Mortar. Constr. Build. Mater. 2024, 412, 134848. [Google Scholar] [CrossRef]
- Migunthanna, J.; Rajeev, P.; Sanjayan, J. Waste Clay Bricks as a Geopolymer Binder for Pavement Construction. Sustainability 2022, 14, 6456. [Google Scholar] [CrossRef]
- Liang, G.; Luo, L.; Yao, W. Reusing Waste Red Brick Powder as Partial Mineral Precursor in Eco-Friendly Binders: Reaction Kinetics, Microstructure and Life-Cycle Assessment. Resour. Conserv. Recycl. 2022, 185, 106523. [Google Scholar] [CrossRef]
- Tuyan, M.; Andiç-Çakir, Ö.; Ramyar, K. Effect of Alkali Activator Concentration and Curing Condition on Strength and Microstructure of Waste Clay Brick Powder-Based Geopolymer. Compos. B Eng. 2018, 135, 242–252. [Google Scholar] [CrossRef]
- Keppert, M.; Vejmelková, E.; Bezdička, P.; Doleželová, M.; Čáchová, M.; Scheinherrová, L.; Pokorný, J.; Vyšvařil, M.; Rovnaníková, P.; Černý, R. Red-Clay Ceramic Powders as Geopolymer Precursors: Consideration of Amorphous Portion and CaO Content. Appl. Clay Sci. 2018, 161, 82–89. [Google Scholar] [CrossRef]
- Zaharaki, D.; Galetakis, M.; Komnitsas, K. Valorization of Construction and Demolition (C&D) and Industrial Wastes through Alkali Activation. Constr. Build. Mater. 2016, 121, 686–693. [Google Scholar] [CrossRef]
- Borçato, A.G.; Thiesen, M.; Medeiros-Junior, R.A. Mechanical Properties of Metakaolin-Based Geopolymers Modified with Different Contents of Quarry Dust Waste. Constr. Build. Mater. 2023, 400, 132854. [Google Scholar] [CrossRef]
- Pommer, V.; Vejmelková, E.; Černý, R.; Keppert, M. Alkali-Activated Waste Ceramics: Importance of Precursor Particle Size Distribution. Ceram. Int. 2021, 47, 31574–31582. [Google Scholar] [CrossRef]
- Fořt, J.; Vejmelková, E.; Koňáková, D.; Alblová, N.; Čáchová, M.; Keppert, M.; Rovnaníková, P.; Černý, R. Application of Waste Brick Powder in Alkali Activated Aluminosilicates: Functional and Environmental Aspects. J. Clean. Prod. 2018, 194, 714–725. [Google Scholar] [CrossRef]
- Gado, R.A.; Hebda, M.; Łach, M.; Mikuła, J. Alkali Activation of Waste Clay Bricks: Influence of The Silica Modulus, SiO2/Na2O, H2O/Na2O Molar Ratio, and Liquid/Solid Ratio. Materials 2020, 13, 383. [Google Scholar] [CrossRef]
- Bewa, C.N.; Tchakouté, H.K.; Banenzoué, C.; Cakanou, L.; Mbakop, T.T.; Kamseu, E.; Rüscher, C.H. Acid-Based Geopolymers Using Waste Fired Brick and Different Metakaolins as Raw Materials. Appl. Clay Sci. 2020, 198, 105813. [Google Scholar] [CrossRef]
- Sarkar, M.; Dana, K. Partial Replacement of Metakaolin with Red Ceramic Waste in Geopolymer. Ceram. Int. 2021, 47, 3473–3483. [Google Scholar] [CrossRef]
- Demiral, N.C.; Ozkan Ekinci, M.; Sahin, O.; Ilcan, H.; Kul, A.; Yildirim, G.; Sahmaran, M. Mechanical Anisotropy Evaluation and Bonding Properties of 3D-Printable Construction and Demolition Waste-Based Geopolymer Mortars. Cem. Concr. Compos. 2022, 134, 104814. [Google Scholar] [CrossRef]
- Tan, J.; Cai, J.; Li, J. Recycling of Unseparated Construction and Demolition Waste (UCDW) through Geopolymer Technology. Constr. Build. Mater. 2022, 341, 127771. [Google Scholar] [CrossRef]
- Moujoud, Z.; Sair, S.; Ousaleh, H.A.; Amadine, O.; Ayouch, I.; Zahouily, M.; El Bouari, A.; Tanane, O. High-performance Geopolymer from Brick Wastes and Metakaolin: Alkali Treatment Optimization, Phase Transformation, and Property Analysis. Struct. Concr. 2024, 1–21. [Google Scholar] [CrossRef]
- Elemam, W.E.; Tahwia, A.M.; Abdellatief, M.; Youssf, O.; Kandil, M.A. Durability, Microstructure, and Optimization of High-Strength Geopolymer Concrete Incorporating Construction and Demolition Waste. Sustainability 2023, 15, 15832. [Google Scholar] [CrossRef]
- Giannopoulou, I.; Robert, P.M.; Sakkas, K.-M.; Petrou, M.F.; Nicolaides, D. High Temperature Performance of Geopolymers Based on Construction and Demolition Waste. J. Build. Eng. 2023, 72, 106575. [Google Scholar] [CrossRef]
- Migunthanna, J.; Rajeev, P.; Sanjayan, J. Investigation of Waste Clay Brick as Partial Replacement in Geopolymer Binder. Constr. Build. Mater. 2023, 365, 130107. [Google Scholar] [CrossRef]
- Rahimpour, H.; Amini, A.B.; Sharifi, F.; Fahmi, A.; Zinatloo-Ajabshir, S. Facile Fabrication of Next-Generation Sustainable Brick and Mortar through Geopolymerization of Construction Debris. Sci. Rep. 2024, 14, 10914. [Google Scholar] [CrossRef]
- Rihan Maaze, M.; Shrivastava, S. Design Development of Sustainable Brick-Waste Geopolymer Brick Using Full Factorial Design Methodology. Constr. Build. Mater. 2023, 370, 130655. [Google Scholar] [CrossRef]
- Ahmed, J.K.; Atmaca, N.; Khoshnaw, G.J. Building a Sustainable Future: An Experimental Study on Recycled Brick Waste Powder in Engineered Geopolymer Composites. Case Stud. Constr. Mater. 2024, 20, e02863. [Google Scholar] [CrossRef]
- Pasupathy, K.; Ramakrishnan, S.; Sanjayan, J. 3D Concrete Printing of Eco-Friendly Geopolymer Containing Brick Waste. Cem. Concr. Compos. 2023, 138, 104943. [Google Scholar] [CrossRef]
- Sayed, M.A.; El-Gamal, S.M.A.; Mohsen, A.; Ramadan, M.; Wetwet, M.M.; Deghiedy, N.M.; Swilem, A.E.; Hazem, M.M. Towards a Green Climate: Production of Slag–Red Brick Waste-Based Geopolymer Mingled with WO3 Nanoparticles with Bio-Mechanical Achievements. Constr. Build. Mater. 2024, 413, 134909. [Google Scholar] [CrossRef]
- Kaze, R.C.; Naghizadeh, A.; Tchadjie, L.; Cengiz, Ö.; Kamseu, E.; Chinje, F.U. Formulation of Geopolymer Binder Based on Volcanic-Scoria and Clay Brick Wastes Using Rice Husk Ash-NaOH Activator: Fresh and Hardened Properties. Sustain. Chem. Pharm. 2024, 40, 101627. [Google Scholar] [CrossRef]
- Temuujin, J.; van Riessen, A.; Williams, R. Influence of Calcium Compounds on the Mechanical Properties of Fly Ash Geopolymer Pastes. J. Hazard. Mater. 2009, 167, 82–88. [Google Scholar] [CrossRef]
- Liew, Y.-M.; Heah, C.-Y.; Mohd Mustafa, A.B.; Kamarudin, H. Structure and Properties of Clay-Based Geopolymer Cements: A Review. Prog. Mater. Sci. 2016, 83, 595–629. [Google Scholar] [CrossRef]
- Chindaprasirt, P.; De Silva, P.; Sagoe-Crentsil, K.; Hanjitsuwan, S. Effect of SiO2 and Al2O3 on the Setting and Hardening of High Calcium Fly Ash-Based Geopolymer Systems. J. Mater. Sci. 2012, 47, 4876–4883. [Google Scholar] [CrossRef]
- Borçato, A.G.; Beltrame, N.A.M.; de Oliveira, T.A.; de Medeiros-Junior, R.A. Microstructure and Mechanical Properties of Geopolymers with Different Dolomitic Lime Contents. Rev. IBRACON Estrut. Mater. 2025, 18, e18101. [Google Scholar] [CrossRef]
- Keskin-Topan, Y.; Bessaies-Bey, H.; Petit, L.; Tran, N.-C.; d’Espinose de Lacaillerie, J.-B.; Rossignol, S.; Roussel, N. Effect of Maximum Packing Fraction of Powders on the Rheology of Metakaolin-Based Geopolymer Pastes. Cem. Concr. Res. 2024, 179, 107482. [Google Scholar] [CrossRef]
- Borçato, A.G.; Thiesen, M.; Medeiros-Junior, R.A. Incorporation of Clay Brick Wastes and Calcium Hydroxide into Geopolymers: Compressive Strength, Microstructure, and Efflorescence. J. Build. Eng. 2024, 88, 109259. [Google Scholar] [CrossRef]
- Wei, M.; Wei, W.; Li, Y.; Liu, L.; Zhong, F.; Xue, Q. Maximizing the Pozzolanic Potential of Superfine Iron Tailings for Low-Carbon Stabilization: Application of High-Calcium Geopolymer. Resour. Conserv. Recycl. 2023, 198, 107198. [Google Scholar] [CrossRef]
- Shilar, F.A.; Ganachari, S.V.; Patil, V.B.; Neelakanta Reddy, I.; Shim, J. Preparation and Validation of Sustainable Metakaolin Based Geopolymer Concrete for Structural Application. Constr. Build. Mater. 2023, 371, 130688. [Google Scholar] [CrossRef]
- Duxson, P.; Mallicoat, S.W.; Lukey, G.C.; Kriven, W.M.; van Deventer, J.S.J. The Effect of Alkali and Si/Al Ratio on the Development of Mechanical Properties of Metakaolin-Based Geopolymers. Colloids Surf. A Physicochem. Eng. Asp. 2007, 292, 8–20. [Google Scholar] [CrossRef]
- Lahoti, M.; Narang, P.; Tan, K.H.; Yang, E.-H. Mix Design Factors and Strength Prediction of Metakaolin-Based Geopolymer. Ceram. Int. 2017, 43, 11433–11441. [Google Scholar] [CrossRef]
- Ye, N.; Chen, Y.; Yang, J.; Liang, S.; Hu, Y.; Hu, J.; Zhu, S.; Fan, W.; Xiao, B. Transformations of Na, Al, Si and Fe Species in Red Mud during Synthesis of One-Part Geopolymers. Cem. Concr. Res. 2017, 101, 123–130. [Google Scholar] [CrossRef]
- Li, X.; Wang, P.; Guo, Z.; Qin, J.; Liang, K. Effect of Fe2+/Fe3+ on High-Strength Ceramsite Prepared by Sintering Geopolymers Using Iron Ore Tailings. Ceram. Int. 2022, 48, 5681–5688. [Google Scholar] [CrossRef]
- Kantro, D. Influence of Water-Reducing Admixtures on Properties of Cement Paste—A Miniature Slump Test. Cem. Concr. Aggreg. 1980, 2, 95–102. [Google Scholar] [CrossRef]
- Santos, G.Z.B.; Melo Filho, J.A.; Pinheiro, M.; Manzato, L. Synthesis of Water Treatment Sludge Ash-Based Geopolymers in an Amazonian Context. J. Environ. Manag. 2019, 249, 109328. [Google Scholar] [CrossRef]
- Heah, C.Y.; Kamarudin, H.; Mustafa Al Bakri, A.M.; Bnhussain, M.; Luqman, M.; Khairul Nizar, I.; Ruzaidi, C.M.; Liew, Y.M. Study on Solids-to-Liquid and Alkaline Activator Ratios on Kaolin-Based Geopolymers. Constr. Build. Mater. 2012, 35, 912–922. [Google Scholar] [CrossRef]
- Kondepudi, K.; Subramaniam, K.V.L. Rheological Characterization of Low-Calcium Fly Ash Suspensions in Alkaline Silicate Colloidal Solutions for Geopolymer Concrete Production. J. Clean. Prod. 2019, 234, 690–701. [Google Scholar] [CrossRef]
- Sato, V.Y.; Galina, A.P.L.; Teixeira, J.E.S.L. Contribution to the Rheological Study of Cementitious Pastes with Addition of Residues from the Processing of Ornamental Rocks. Rev. IBRACON Estrut. Mater. 2018, 11, 1284–1307. [Google Scholar] [CrossRef]
- Zhong, Q.; Nie, H.; Xie, G.; Peng, H. Experimental Study on the Characteristics, Rheological Factors, and Flowability of MK-GGBFS Geopolymer Slurry. J. Build. Eng. 2023, 76, 107300. [Google Scholar] [CrossRef]
- Dai, X.; Aydin, S.; Yardimci, M.Y.; Lesage, K.; de Schutter, G. Influence of Water to Binder Ratio on the Rheology and Structural Build-up of Alkali-Activated Slag/Fly Ash Mixtures. Constr. Build. Mater. 2020, 264, 120253. [Google Scholar] [CrossRef]
- He, J.; Guo, T.; Li, Z.; Gao, Y.; Zhang, J. Hydration Mechanism of Red Mud-Fly Ash Based Geopolymer. Mater. Chem. Phys. 2024, 314, 128807. [Google Scholar] [CrossRef]
- She, Y.; Wei, K.; Chen, Y.; Yu, Q. Rheological Properties and Shootability of Sprayable Geopolymer Mortar. Constr. Build. Mater. 2024, 423, 135819. [Google Scholar] [CrossRef]
- Zhou, S.; Yang, Z.; Zhang, R.; Li, F. Preparation, Characterization and Rheological Analysis of Eco-Friendly Road Geopolymer Grouting Materials Based on Volcanic Ash and Metakaolin. J. Clean. Prod. 2021, 312, 127822. [Google Scholar] [CrossRef]
- Taborda-Barraza, M.; Padilha, F.; Silvestro, L.; de Azevedo, A.R.G.; Gleize, P.J.P. Evaluation of CNTs and SiC Whiskers Effect on the Rheology and Mechanical Performance of Metakaolin-Based Geopolymers. Materials 2022, 15, 6099. [Google Scholar] [CrossRef] [PubMed]
- Betioli, A.M.; Gleize, P.J.P.; John, V.M.; Pileggi, R.G. Effect of EVA on the Fresh Properties of Cement Paste. Cem. Concr. Compos. 2012, 34, 255–260. [Google Scholar] [CrossRef]
- ASTM C109/C109M-20; Standard Test Method for Compressive Strength of Hydraulic Cement Mortars (Using 2-in [50 Mm] Cube Specimen). ASTM International: West Conshohocken, PA, USA, 2020.
- Fensterseifer, E.J.; Lima, M.M.; Gleize, P.J.P.; de Matos, P.R.; Rodríguez, E.D. Fresh Properties of Fly Ash-Based Geopolymer: The Role of the Testing Conditions on the Rheological Measurements. J. Mater. Res. Technol. 2023, 26, 7082–7096. [Google Scholar] [CrossRef]
- Duxson, P.; Fernández-Jiménez, A.; Provis, J.L.; Lukey, G.C.; Palomo, A.; van Deventer, J.S.J. Geopolymer Technology: The Current State of the Art. J. Mater. Sci. 2007, 42, 2917–2933. [Google Scholar] [CrossRef]
- Liu, Y.; Lu, C.; Hu, X.; Shi, C. Effect of Silica Fume on Rheology of Slag-Fly Ash-Silica Fume-Based Geopolymer Pastes with Different Activators. Cem. Concr. Res. 2023, 174, 107336. [Google Scholar] [CrossRef]
- Hu, Y.; Shao, Z.; Wang, J.; Zang, J.; Tang, L.; Ma, F.; Qian, B.; Ma, B.; Wang, L. Investigation into the Influence of Calcium Compounds on the Properties of Micropore-Foamed Geopolymer. J. Build. Eng. 2022, 45, 103521. [Google Scholar] [CrossRef]
- Puligilla, S.; Mondal, P. Role of Slag in Microstructural Development and Hardening of Fly Ash-Slag Geopolymer. Cem. Concr. Res. 2013, 43, 70–80. [Google Scholar] [CrossRef]
- Autef, A.; Joussein, E.; Gasgnier, G.; Rossignol, S. Feasibility of Aluminosilicate Compounds from Various Raw Materials: Chemical Reactivity and Mechanical Properties. Powder Technol. 2016, 301, 169–178. [Google Scholar] [CrossRef]
- Allaoui, D.; Nadi, M.; Hattani, F.; Majdoubi, H.; Haddaji, Y.; Mansouri, S.; Oumam, M.; Hannache, H.; Manoun, B. Eco-Friendly Geopolymer Concrete Based on Metakaolin and Ceramics Sanitaryware Wastes. Ceram. Int. 2022, 48, 34793–34802. [Google Scholar] [CrossRef]
- Wang, W.; Fan, C.; Wang, B.; Zhang, X.; Liu, Z. Workability, Rheology, and Geopolymerization of Fly Ash Geopolymer: Role of Alkali Content, Modulus, and Water–Binder Ratio. Constr. Build. Mater. 2023, 367, 130357. [Google Scholar] [CrossRef]
- Maaze, M.R.; Garg, N.; Das, S.K.; Shrivastava, S. Industrial and C&D Waste as Precursor Material in Geopolymers: A State-of-the-Art Review. Innov. Infrastruct. Solut. 2024, 9, 229. [Google Scholar] [CrossRef]
- Provis, J.L.; Bernal, S.A. Geopolymers and Related Alkali-Activated Materials. Annu. Rev. Mater. Res. 2014, 44, 299–327. [Google Scholar] [CrossRef]
- Provis, J.L.; Myers, R.J.; White, C.E.; Rose, V.; van Deventer, J.S.J. X-Ray Microtomography Shows Pore Structure and Tortuosity in Alkali-Activated Binders. Cem. Concr. Res. 2012, 42, 855–864. [Google Scholar] [CrossRef]
- Bernal, S.A.; Provis, J.L.; Walkley, B.; San Nicolas, R.; Gehman, J.D.; Brice, D.G.; Kilcullen, A.R.; Duxson, P.; van Deventer, J.S.J. Gel Nanostructure in Alkali-Activated Binders Based on Slag and Fly Ash, and Effects of Accelerated Carbonation. Cem. Concr. Res. 2013, 53, 127–144. [Google Scholar] [CrossRef]











| Author | Waste | Particle Size |
|---|---|---|
| Sharmin et al. [8] | Waste clay brick powder | <100 µm |
| Liang et al. [10] | Waste red brick powder | <4.7 μm (D50) |
| Keppert et al. [12] | Red clay insulating brick | <1000 μm |
| Pommer et al. [15] | Waste red clay brick | <125 μm; <500 μm; <1000 μm |
| Fořt et al. [16] | Waste brick powder | <125 μm |
| Tuyan et al. [11] | Waste clay brick powder | 11 μm (D50) |
| Gado et al. [17] | Waste fired clay brick | <10 μm |
| Bewa et al. [18] | Waste fired brick | <100 μm |
| Sarkar and Dana [19] | Red ceramic waste | 8 μm (D50) |
| Demiral et al. [20] | Hollow brick and red clay brick | <40 μm (D90) |
| Tan et al. [21] | Red clay brick | <90 μm |
| Moujoud et al. [22] | Red brick waste | 10.7 μm (D50) |
| Eleman et al. [23] | Clay brick powder | 50 μm (D50) |
| Giannopoulou et al. [24] | Waste brick | 35.35 μm (D50) |
| Migunthanna et al. [25] | Waste clay brick | 46 μm (D50) |
| Rahimpour et al. [26] | Recycled brick powder | 51 μm (D50) |
| Maaze and Shrivastava [27] | Brick waste powder | 36.93 μm (D50) |
| Ahmed et al. [28] | Recycled brick waste powder | <75 μm |
| Pasupathy et al. [29] | Ground brick waste | 20.5 µm (D50) |
| Sayed et al. [30] | Ground red brick waste | <9.42 µm |
| Kaze et al. [31] | Waste fired clay brick | 28 µm (D50) |
| Oxides (%) | SiO2 | Fe2O3 | Al2O3 | TiO2 | MgO | K2O | CaO | Na2O | SO3 | LOI |
|---|---|---|---|---|---|---|---|---|---|---|
| BW | 50.7 | 22.5 | 18.5 | 3.1 | 0.8 | 0.8 | 0.7 | 0.2 | 0.1 | 1.52 |
| MK | 64.4 | 1.8 | 28.8 | 1.4 | 0.2 | 1.1 | 0.2 | 0.1 | 0.1 | 1.94 |
| Material | SiO2 | Na2O | H2O | NaOH |
|---|---|---|---|---|
| SS | 32.25 | 15.0 | 52.75 | - |
| SH | - | - | - | 97.0 |
| Code | BW0 (kg) | BW2 (kg) | BW4 (kg) | MK (kg) | CH (kg) | SS (kg) | SH (kg) | Water (kg) | Water/ Solids |
|---|---|---|---|---|---|---|---|---|---|
| B0C5 | 75.0 | - | - | 25.0 | 5.0 | 62.9 | 9.5 | 24.8 | 0.40 |
| B2C5 | - | 75.0 | - | 25.0 | 5.0 | 62.9 | 9.5 | 24.8 | 0.40 |
| B2C4 | - | - | 75.0 | 25.0 | 5.0 | 62.9 | 9.5 | 24.8 | 0.40 |
| B0C10 | 75.0 | - | - | 25.0 | 10.0 | 62.9 | 9.5 | 24.8 | 0.39 |
| B2C10 | - | 75.0 | - | 25.0 | 10.0 | 62.9 | 9.5 | 24.8 | 0.39 |
| B4C10 | - | - | 75.0 | 25.0 | 10.0 | 62.9 | 9.5 | 24.8 | 0.39 |
| Code | τ0 (Pa) | η0 (Pa.s) | ||||||
|---|---|---|---|---|---|---|---|---|
| 0 min | 30 min | 60 min | 90 min | 0 min | 30 min | 60 min | 90 min | |
| B0C5 | 4.24 | 4.78 | 8.99 | 14.00 | 5.21 | 5.51 | 8.58 | 12.29 |
| B2C5 | 4.19 | 3.47 | 4.16 | 3.92 | 4.55 | 4.79 | 5.83 | 6.77 |
| B4C5 | 2.14 | 3.16 | 2.48 | 4.31 | 2.34 | 4.15 | 4.38 | 5.93 |
| B0C10 | 7.33 | 53.13 | - | - | 7.80 | 18.04 | - | - |
| B2C10 | 3.84 | 9.40 | - | - | 4.75 | 8.23 | - | - |
| B4C10 | 8.94 | 13.54 | - | - | 7.12 | 9.16 | - | - |
Disclaimer/Publisher’s Note: The statements, opinions and data contained in all publications are solely those of the individual author(s) and contributor(s) and not of MDPI and/or the editor(s). MDPI and/or the editor(s) disclaim responsibility for any injury to people or property resulting from any ideas, methods, instructions or products referred to in the content. |
© 2024 by the authors. Licensee MDPI, Basel, Switzerland. This article is an open access article distributed under the terms and conditions of the Creative Commons Attribution (CC BY) license (https://creativecommons.org/licenses/by/4.0/).
Share and Cite
Medeiros-Junior, R.A.; Thiesen, M.; Betioli, A.M.; Casali, J.M.; Trentin, L.F.Z.; Frare, A.; Borçato, A.G. Influence of Precursor Particle Size and Calcium Hydroxide Content on the Development of Clay Brick Waste-Based Geopolymers. Minerals 2024, 14, 1169. https://doi.org/10.3390/min14111169
Medeiros-Junior RA, Thiesen M, Betioli AM, Casali JM, Trentin LFZ, Frare A, Borçato AG. Influence of Precursor Particle Size and Calcium Hydroxide Content on the Development of Clay Brick Waste-Based Geopolymers. Minerals. 2024; 14(11):1169. https://doi.org/10.3390/min14111169
Chicago/Turabian StyleMedeiros-Junior, Ronaldo A., Marisa Thiesen, Andrea Murillo Betioli, Juliana Machado Casali, Luiz Fernando Zambiasi Trentin, Andreza Frare, and Allan Guimarães Borçato. 2024. "Influence of Precursor Particle Size and Calcium Hydroxide Content on the Development of Clay Brick Waste-Based Geopolymers" Minerals 14, no. 11: 1169. https://doi.org/10.3390/min14111169
APA StyleMedeiros-Junior, R. A., Thiesen, M., Betioli, A. M., Casali, J. M., Trentin, L. F. Z., Frare, A., & Borçato, A. G. (2024). Influence of Precursor Particle Size and Calcium Hydroxide Content on the Development of Clay Brick Waste-Based Geopolymers. Minerals, 14(11), 1169. https://doi.org/10.3390/min14111169

