The Long-Term Tectonism of the Longshou Shan in the Southwest Alxa Block—Constrained by (U-Th)/He Thermochronometric Data
Abstract
1. Introduction
2. Geological Setting
2.1. Regional Stratigraphy
2.2. Tectonic Evolution
3. Materials & Methods
3.1. (U-Th)/He Thermochronology
3.2. Sampling Strategy
3.3. Experimental Analysis Process
4. Results
| Sample | Grain | U | Th | He | [eU] | Raw | Rs | FT | Corrected | Error |
|---|---|---|---|---|---|---|---|---|---|---|
| Age | Age | |||||||||
| ID | ppm | ppm | ppm | ppm | Ma | μm | Ma | ±1σ | ||
| LSS-1 | LSS-1-1-1Z | 1265.88 | 2579.98 | 3.12 | 1872.18 | 76.74 | 47.74 | 0.73 | 105.6 | 1.7 |
| LSS-1-1-2Z | 1062.81 | 2204.97 | 0.90 | 1580.98 | 26.39 | 50.48 | 0.74 | 35.7 | 0.5 | |
| LSS-1-1-3Z | 47.61 | 127.70 | 0.01 | 77.62 | 5.21 | 47.59 | 0.72 | 7.2 | 0.1 | |
| LSS-1-1-4Z | 164.17 | 297.42 | 1.23 | 234.06 | 238.97 | 49.73 | 0.74 | 324.0 | 9.0 | |
| LSS-1-1-5Z | 818.09 | 1772.42 | 1.08 | 1234.61 | 40.48 | 50.61 | 0.74 | 54.7 | 0.8 | |
| LSS-1-1-6Z | 579.85 | 764.83 | 2.07 | 759.58 | 124.96 | 48.48 | 0.73 | 170.3 | 2.6 | |
| LSS-1-1-7Z | 143.69 | 247.72 | 0.23 | 201.90 | 53.34 | 53.02 | 0.75 | 70.8 | 1.0 | |
| LSS-1-1-8Z | 356.33 | 304.49 | 2.26 | 427.88 | 239.97 | 46.14 | 0.72 | 331.1 | 5.0 | |
| LSS-1-1-9Z | 316.23 | 229.03 | 3.02 | 370.1 | 367.1 | 43.58 | 0.71 | 516.2 | 18.3 | |
| LSS-1-1-10Z | 589.11 | 469.31 | 5.80 | 699.4 | 372.8 | 45.23 | 0.72 | 517.7 | 20.5 | |
| LSS-4 | LSS-4-1-1Z | 300.75 | 718.75 | 1.85 | 469.65 | 179.77 | 56.83 | 0.77 | 234.5 | 3.5 |
| LSS-4-1-2Z | 644.89 | 1368.46 | 3.40 | 966.48 | 160.71 | 54.14 | 0.76 | 212.4 | 3.4 | |
| LSS-4-1-3Z | 524.65 | 521.62 | 2.72 | 647.23 | 191.81 | 53.54 | 0.76 | 252.7 | 4.3 | |
| LSS-4-1-4Z | 601.33 | 1109.00 | 2.84 | 861.95 | 150.77 | 50.76 | 0.74 | 203.1 | 3.2 | |
| LSS-6 | LSS-6-1-1Z | 530.56 | 215.07 | 2.58 | 581.10 | 202.56 | 41.67 | 0.70 | 287.8 | 6.6 |
| LSS-6-1-2Z | 302.50 | 116.01 | 1.34 | 329.76 | 185.63 | 42.00 | 0.71 | 262.8 | 6.0 | |
| LSS-6-1-3Z | 740.40 | 576.62 | 3.21 | 875.91 | 167.65 | 37.47 | 0.67 | 251.0 | 5.3 | |
| LSS-6-1-4Z | 1440.37 | 1147.39 | 4.41 | 1710.01 | 118.23 | 40.28 | 0.69 | 171.6 | 3.7 | |
| LSN-10 | LSN-10-1-1A | 0.28 | 2.14 | 0.00 | 0.78 | 21.71 | 56.07 | 0.65 | 33.3 | 4.1 |
| LSN-10-1-3A | 0.15 | 14.79 | 0.00 | 3.63 | 7.93 | 37.91 | 0.47 | 17.0 | 1.6 | |
| LSN-10-1-4A | 1.35 | 8.35 | 0.00 | 3.32 | 65.63 | 46.88 | 0.59 | 111.9 | 7.5 | |
| LSN-10-1-5A | 9.98 | 16.99 | 0.00 | 13.97 | 12.30 | 45.35 | 0.59 | 20.9 | 1.3 | |
| LSN-10-1-6A | 12.49 | 24.57 | 0.01 | 18.26 | 26.92 | 35.47 | 0.47 | 57.0 | 3.7 | |
| LSN-10-1-1Z | 321.14 | 768.56 | 1.22 | 501.75 | 111.37 | 36.31 | 0.65 | 172.0 | 2.5 | |
| LSN-10-1-2Z | 350.97 | 794.55 | 1.54 | 537.69 | 131.58 | 38.82 | 0.67 | 196.8 | 2.9 | |
| LSN-10-1-3Z | 150.21 | 257.11 | 0.89 | 210.63 | 192.61 | 46.94 | 0.72 | 266.2 | 4.1 | |
| LSN-10-1-4Z | 67.00 | 91.53 | 0.36 | 88.51 | 185.79 | 38.50 | 0.67 | 277.1 | 5.0 |
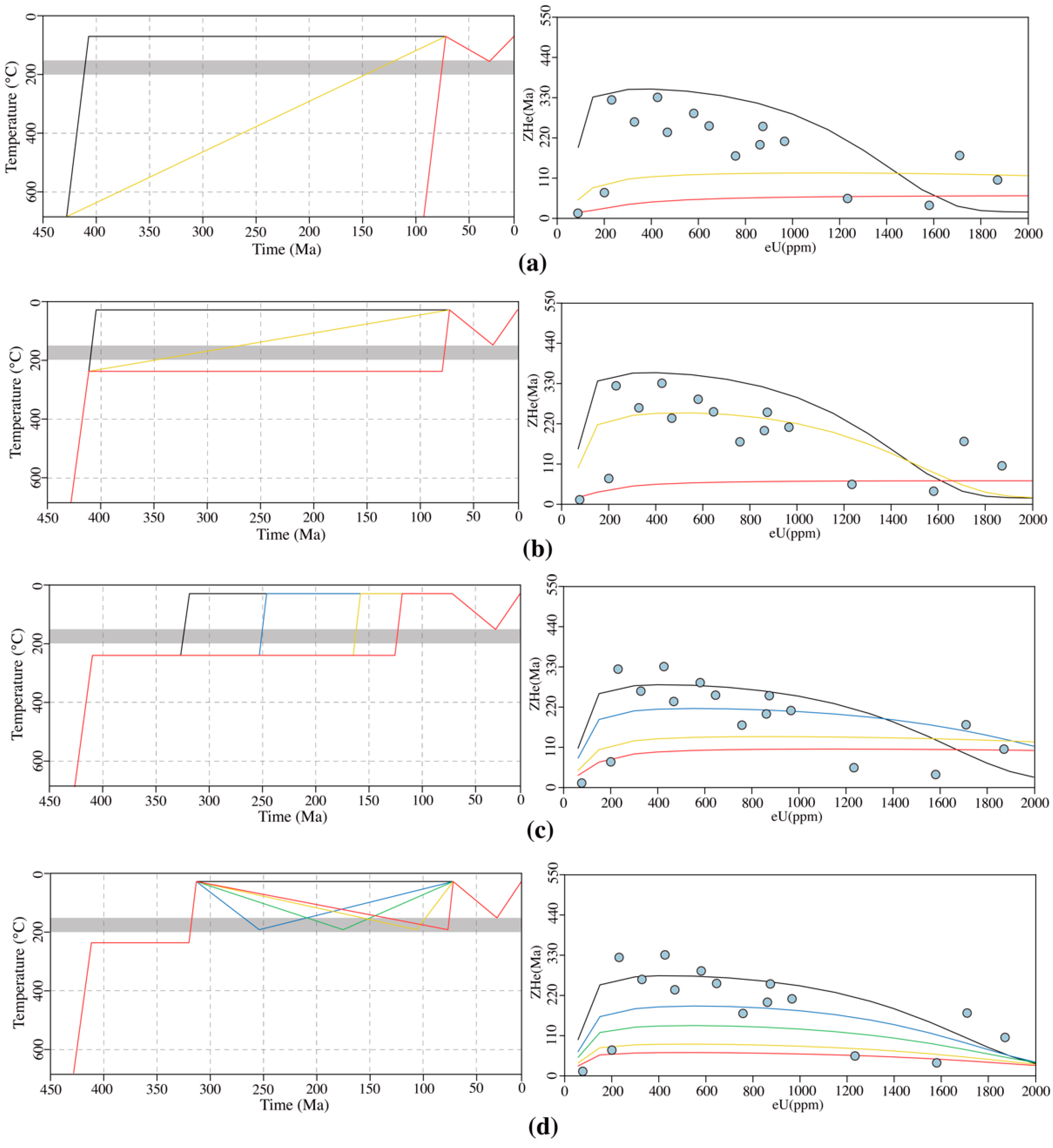
5. Thermal History Modeling
5.1. Forward Modeling Approach
5.1.1. Model Design
5.1.2. The Results of Forward Modeling
5.2. Inverse Models
5.2.1. HeFTy Inverse Models
5.2.2. QTQt Inverse Models
6. Discussion
6.1. A Comparison of Thermal History Modeling Results
6.2. Late Paleozoic Unroofing
6.3. Early Cooling and Late Regional Stabilization in the Mesozoic
6.4. The Reheating and Cooling of the Cenozoic
7. Conclusions
- The findings indicate that the utilization of ZHe data alone can effectively address multiple cooling and reheating cycles across geological timescales. However, combining ZHe data with multiple thermochronometers notably enhances modeling accuracy. Contrary to expectations, the ZHe-eU values seem to be primarily affected by the timing and scale of preceding and subsequent thermal events within the geological history of the rocks.
- A significant unroofing is observed during the 330–300 Ma period, resulting in the cooling of granite and metamorphic rocks in the study area to temperatures below 200 °C, coinciding with the subduction of the Paleo-Asian Ocean.
- The modeling results demonstrate short-term cooling events around the Early-Middle Mesozoic, with relative stability observed in the Longshou Shan between 160 and 60 Ma. This indicates that the intracontinental deformation witnessed in the Longshou Shan region was primarily impacted by the Tethys Ocean within the context of the Paleo-Asiatic tectonic domain during the Early and Middle Mesozoic periods.
- At around 60–20 Ma, the Longshou Shan experienced reheating up to 160 °C, followed by subsequent 20–10 Ma rapid cooling. The observed event is attributed to the far-field effect resulting from the Indo-Asian collision.
Author Contributions
Funding
Data Availability Statement
Acknowledgments
Conflicts of Interest
References
- Eizenhöfer, P.R.; Zhao, G.; Zhang, J.; Sun, M. Final Closure of the Paleo-Asian Ocean along the Solonker Suture Zone: Constraints from Geochronological and Geochemical Data of Permian Volcanic and Sedimentary Rocks: Xar Moron Manuscript. Tectonics 2014, 33, 441–463. [Google Scholar] [CrossRef]
- Xiao, W.; Windley, B.; Sun, S.; Li, J.; Huang, B.; Han, C.; Yuan, C.; Sun, M.; Chen, H. A Tale of Amalgamation of Three Permo-Triassic Collage Systems in Central Asia: Oroclines, Sutures, and Terminal Accretion. Annu. Rev. Earth Planet. Sci. 2015, 43, 477–507. [Google Scholar] [CrossRef]
- Song, D.; Xiao, W.; Windley, B.F.; Mao, Q.; Ao, S.; Wang, H.Y.C.; Li, R. Closure of the Paleo-Asian Ocean in the Middle-Late Triassic (Ladinian-Carnian): Evidence from Provenance Analysis of Retroarc Sediments. Geophys. Res. Lett. 2021, 48, e2021GL094276. [Google Scholar] [CrossRef]
- Zhu, Y.; Gao, R.; Zhao, G. Permian to Cretaceous Tectonic Evolution of the Jiamusi and Songliao Blocks in NE China: Transition from the Closure of the Paleo-Asian Ocean to the Subduction of the Paleo-Pacific Ocean. Gondwana Res. 2022, 103, 371–388. [Google Scholar] [CrossRef]
- Horton, B.K.; Dupont-Nivet, G.; Zhou, J.; Waanders, G.L.; Butler, R.F.; Wang, J. Mesozoic-Cenozoic Evolution of the Xining-Minhe and Dangchang Basins, Northeastern Tibetan Plateau: Magnetostratigraphic and Biostratigraphic Results: Mesozoic-Cenozoic Evolution of NE Tibet. J. Geophys. Res. Solid Earth 2004, 109. [Google Scholar] [CrossRef]
- Yin, A.; Dubey, C.S.; Kelty, T.K.; Webb, A.A.G.; Harrison, T.M.; Chou, C.Y.; Célérier, J. Geologic Correlation of the Himalayan Orogen and Indian Craton: Part 2. Structural Geology, Geochronology, and Tectonic Evolution of the Eastern Himalaya. Geol. Soc. Am. Bull. 2010, 122, 360–395. [Google Scholar] [CrossRef]
- Wu, C.; Yin, A.; Zuza, A.V.; Zhang, J.; Liu, W.; Ding, L. Pre-Cenozoic Geologic History of the Central and Northern Tibetan Plateau and the Role of Wilson Cycles in Constructing the Tethyan Orogenic System. Lithosphere 2016, 8, 254–292. [Google Scholar] [CrossRef]
- Peng, H.; Wang, J.; Liu, C.; Ma, M.; Ma, Q.; Li, K.; Pan, J.; Li, J.; Qin, Y.; Xie, Q.; et al. Meso-Cenozoic Growth of the Eastern Qilian Shan, Northeastern Tibetan Plateau Margin: Insight from Borehole Apatite Fission-Track Thermochronology in the Xiji Basin. Mar. Pet. Geol. 2022, 143, 105798. [Google Scholar] [CrossRef]
- Wu, C.; Zuza, A.; Li, J.; Haproff, P.; Yin, A.; Chen, X.; Ding, L.; Li, B. Late Mesozoic−Cenozoic Cooling History of the Northeastern Tibetan Plateau and Its Foreland Derived from Low-Temperature Thermochronology. Geol. Soc. Am. Bull. 2021, 133, 2393–2417. [Google Scholar] [CrossRef]
- Zhang, J.; Li, J.; Li, Y.; Ma, Z. How Did the Alxa Block Respond to the Indo-Eurasian Collision? Int. J. Earth Sci. 2009, 98, 1511–1527. [Google Scholar] [CrossRef]
- Yin, A.; Harrison, T. Geologic Evolution of the Himalayan-Tibetan Orogen. Annu. Rev. Earth Planet. Sci. 2003, 28, 211–280. [Google Scholar] [CrossRef]
- Ren, J.; Niu, B.; Wang, J.; Jin, X.; Zhao, L.; Liu, R. Advances in Research of Asian Geology—A Summary of 1:5M International Geological Map of Asia Project. J. Asian Earth Sci. 2013, 72, 3–11. [Google Scholar] [CrossRef]
- Liu, K.; Chen, X.; Zuza, A.V.; Shao, Z.; Qin, X.; Han, L.; Zhang, Y.; Yu, W.; Wang, Z.; Shi, X.; et al. The Late Mesozoic Intracontinental Contraction–Extension Transition in the Beishan Fold-Thrust Belt, Central Asia: Constraints from Structural Analysis and Apatite (U–Th)/He Thermochronology. Tectonics 2023, 42, e2022TC007532. [Google Scholar] [CrossRef]
- Wu, C.; Li, J.; Zuza, A.; Haproff, P.; Yin, A.; Ding, L. Paleoproterozoic–Paleozoic Tectonic Evolution of the Longshou Shan, Western North China Craton. Geosphere 2022, 18, 1177–1193. [Google Scholar] [CrossRef]
- Zhang, B.; Zhang, J.; Wang, Y.; Zhao, H.; Li, Y. Late Mesozoic-Cenozoic Exhumation of the Northern Hexi Corridor: Constrained by Apatite Fission Track Ages of the Longshoushan. Acta Geol. Sin.-Engl. Ed. 2017, 91, 1624–1643. [Google Scholar] [CrossRef]
- Zeng, R.; Lai, J.; Mao, X.; Li, B.; Zhang, J.; Bayless, R.; Yang, L. Paleoproterozoic Multiple Tectonothermal Events in the Longshoushan Area, Western North China Craton and Their Geological Implication: Evidence from Geochemistry, Zircon U–Pb Geochronology and Hf Isotopes. Minerals 2018, 8, 361. [Google Scholar] [CrossRef]
- Li, J.; Zheng, W.; Wang, W.; Wang, Y.; Zhang, P.; Wang, Y. The northward growth of the northeastern Tibetan plateau in late Cenozoic: Implications from apatite (U-Th)/He ages of Longshou Shan. Seismol. Geol. 2020, 42, 472–491. [Google Scholar] [CrossRef]
- Guenthner, W.R.; Reiners, P.W.; Tian, Y. Interpreting Date–eU Correlations in Zircon (U-Th)/He Datasets: A Case Study from the Longmen Shan, China. Earth Planet. Sci. Lett. 2014, 403, 328–339. [Google Scholar] [CrossRef]
- Orme, D.A.; Guenthner, W.R.; Laskowski, A.K.; Reiners, P.W. Long-Term Tectonothermal History of Laramide Basement from Zircon–He Age-eU Correlations. Earth Planet. Sci. Lett. 2016, 453, 119–130. [Google Scholar] [CrossRef]
- Geological Survey of Gansu Province. Gansu Province: 1:250,000 Shandan County Sheet Construction Tectonic Map; Geological Press: Beijing, China, 2010.
- Bureau of Mineral Resources of Gansu Province. Regional Geological Survey; Ministry of Geology of China: Beijing, China, 1982.
- Liu, J.; Yin, C.; Zhang, J.; Qian, J.; Li, S.; Xu, K.; Wu, S.; Xia, Y. Tectonic Evolution of the Alxa Block and Its Affinity: Evidence from the U-Pb Geochronology and Lu-Hf Isotopes of Detrital Zircons from the Longshoushan Belt. Precambrian Res. 2020, 344, 105733. [Google Scholar] [CrossRef]
- Zhang, L. Magmatism and Deep Process after Paleozoic Collision in South Margin of North Qilian-Alashan Block; China University of Geosciences: Wuhan, China, 2019. [Google Scholar] [CrossRef]
- Chen, Y.; Zhao, R.; Wang, G.; Rong, X.; Li, T. Geochronology, geochemical characteristics and significances of quartz monzonite in Niujiaogou, Longshoushan, Gansu. J. East China Univ. Technol. (Nat. Sci.) 2020, 43, 21–29. [Google Scholar] [CrossRef]
- Zhao, S.; Li, S.; Cao, H.; Li, X.; Liu, X.; Yu, S.; Guo, X. A Missing Link of the Proto-Tethys Ocean between the Qinling and Qilian Orogens, China: Insights from Geochronology and Structural Geology. Geosci. Front. 2020, 11, 1495–1509. [Google Scholar] [CrossRef]
- Fu, C.; Yan, Z.; Aitchison, J.C.; Xiao, W.; Buckman, S.; Wang, B.; Li, W.; Li, Y.; Ren, H. Multiple Subduction Processes of the Proto-Tethyan Ocean: Implication from Cambrian Intrusions along the North Qilian Suture Zone. Gondwana Res. 2020, 87, 207–223. [Google Scholar] [CrossRef]
- Zhang, J.; Gong, J. Revisiting the nature and affinity of the Alxa Block. Acta Petrol. Sin. 2018, 34, 940–962. [Google Scholar] [CrossRef]
- Liu, Q.; Zhao, G.; Han, Y.; Zhu, Y.; Wang, B.; Eizenhöfer, P.R.; Zhang, X.; Tsui, R.W. Timing of the Final Closure of the Middle Segment of the Paleo-Asian Ocean: Insights from Geochronology and Geochemistry of Carboniferous–Triassic Volcanosedimentary Successions in Western Inner Mongolia, China. Geol. Soc. Am. Bull. 2019, 131, 941–965. [Google Scholar] [CrossRef]
- Vincent, S.J.; Allen, M.B. Evolution of the Minle and Chaoshui Basins, China: Implications for Mesozoic Strike-Slip Basin Formation in Central Asia. Geol. Soc. Am. Bull. 1999, 111, 725–742. [Google Scholar] [CrossRef]
- Cogné, J.-P.; Kravchinsky, V.A.; Halim, N.; Hankard, F. Late Jurassic-Early Cretaceous Closure of the Mongol-Okhotsk Ocean Demonstrated by New Mesozoic Palaeomagnetic Results from the Trans-Baïkal Area (SE Siberia). Geophys. J. Int. 2005, 163, 813–832. [Google Scholar] [CrossRef]
- Baxter, A.; Aitchison, J.; Zyabrev, S. Radiolarian Age Constraints on Mesotethyan Ocean Evolution, and Their Implications for Development of the Bangong-Nujiang Suture, Tibet. J. Geol. Soc. 2009, 166, 689–694. [Google Scholar] [CrossRef]
- Liu, D.; Huang, Q.; Fan, S.; Zhang, L.; Shi, R.; Ding, L. Subduction of the Bangong–Nujiang Ocean: Constraints from Granites in the Bangong Co Area, Tibet. Geol. J. 2014, 49, 188–206. [Google Scholar] [CrossRef]
- Zhou, J.; Cao, J.; Wilde, S.; Zhao, G.; Zhang, J.; Wang, B. Paleo-Pacific Subduction-Accretion: Evidence from Geochemical and U-Pb Zircon Dating of the Nadanhada Accretionary Complex, NE China. Tectonics 2014, 33, 2444–2466. [Google Scholar] [CrossRef]
- Jolivet, M. Mesozoic Tectonic and Topographic Evolution of Central Asia and Tibet: A Preliminary Synthesis. Geol. Soc. Lond. Spec. Publ. 2015, 427, 19–55. [Google Scholar] [CrossRef]
- Li, S.-M.; Zhu, D.-C.; Wang, Q.; Zhao, Z.; Zhang, L.-L.; Liu, S.-A.; Chang, Q.-S.; Lu, Y.-H.; Dai, J.-G.; Zheng, Y.-C. Slab-Derived Adakites and Subslab Asthenosphere-Derived OIB-Type Rocks at 156 ± 2 Ma from the North of Gerze, Central Tibet: Records of the Bangong–Nujiang Oceanic Ridge Subduction during the Late Jurassic. Lithos 2016, 262, 456–469. [Google Scholar] [CrossRef]
- Ma, A.; Hu, X.; Garzanti, E.; Han, Z.; Lai, W. Sedimentary and Tectonic Evolution of the Southern Qiangtang Basin: Implications for the Lhasa-Qiangtang Collision Timing. J. Geophys. Res. Solid Earth 2017, 122, 4790–4813. [Google Scholar] [CrossRef]
- Ma, Q.; Xu, Y.-G. Magmatic Perspective on Subduction of Paleo-Pacific Plate and Initiation of Big Mantle Wedge in East Asia. Earth-Sci. Rev. 2021, 213, 103473. [Google Scholar] [CrossRef]
- Guenthner, W.R.; Reiners, P.W.; Ketcham, R.A.; Nasdala, L.; Giester, G. Helium Diffusion in Natural Zircon: Radiation Damage, Anisotropy, and the Interpretation of Zircon (U-Th)/He Thermochronology. Am. J. Sci. 2013, 313, 145–198. [Google Scholar] [CrossRef]
- Johnson, J.E.; Flowers, R.M.; Baird, G.B.; Mahan, K.H. “Inverted” Zircon and Apatite (U–Th)/He Dates from the Front Range, Colorado: High-Damage Zircon as a Low-Temperature (<50 °C) Thermochronometer. Earth Planet. Sci. Lett. 2017, 466, 80–90. [Google Scholar] [CrossRef]
- Guenthner, W.; Reiners, P.; Decelles, P.; Kendall, J. Sevier Belt Exhumation in Central Utah Constrained from Complex Zircon (U-Th)/He Data Sets: Radiation Damage and He Inheritance Effects on Partially Reset Detrital Zircons. Geol. Soc. Am. Bull. 2015, 127, 323–348. [Google Scholar] [CrossRef]
- Ault, A.K.; Guenthner, W.R.; Moser, A.C.; Miller, G.H.; Refsnider, K.A. Zircon Grain Selection Reveals (de)Coupled Metamictization, Radiation Damage, and He Diffusivity. Chem. Geol. 2018, 490, 1–12. [Google Scholar] [CrossRef]
- DeLucia, M.S.; Guenthner, W.R.; Marshak, S.; Thomson, S.N.; Ault, A.K. Thermochronology Links Denudation of the Great Unconformity Surface to the Supercontinent Cycle and Snowball Earth. Geology 2018, 46, 167–170. [Google Scholar] [CrossRef]
- Peak, B.A.; Flowers, R.M.; Macdonald, F.A.; Cottle, J.M. Zircon (U-Th)/He Thermochronology Reveals Pre-Great Unconformity Paleotopography in the Grand Canyon Region, USA. Geology 2021, 49, 1462–1466. [Google Scholar] [CrossRef]
- Kaempfer, J.; Guenthner, W.; Pearson, D. Proterozoic to Phanerozoic Tectonism in Southwestern Montana Basement Ranges Constrained by Low Temperature Thermochronometric Data. Tectonics 2021, 40, e2021TC006744. [Google Scholar] [CrossRef]
- Guenthner, W.R. Implementation of an Alpha Damage Annealing Model for Zircon (U-Th)/He Thermochronology with Comparison to a Zircon Fission Track Annealing Model. Geochem. Geophys. Geosyst. 2021, 22, e2019GC008757. [Google Scholar] [CrossRef]
- Gautheron, C.; Hueck, M.; Ternois, S.; Heller, B.; Schwartz, S.; Sarda, P.; Tassan-Got, L. Investigating the Shallow to Mid-Depth (>100–300 °C) Continental Crust Evolution with (U-Th)/He Thermochronology: A Review. Minerals 2022, 12, 563. [Google Scholar] [CrossRef]
- Ketcham, R.A. Forward and Inverse Modeling of Low-Temperature Thermochronometry Data. Rev. Mineral. Geochem. 2005, 58, 275–314. [Google Scholar] [CrossRef]
- Gallagher, K. Transdimensional Inverse Thermal History Modeling for Quantitative Thermochronology: Transdimensional Inverse Thermal History. J. Geophys. Res. Solid Earth 2012, 117. [Google Scholar] [CrossRef]
- Evans, N.J.; Byrne, J.P.; Keegan, J.T.; Dotter, L.E. Determination of Uranium and Thorium in Zircon, Apatite, and Fluorite: Application to Laser (U-Th)/He Thermochronology. J. Anal. Chem. 2005, 60, 1159–1165. [Google Scholar] [CrossRef]
- Reiners, P.W.; Nicolescu, S. Measurement of parent nuclides for (U-Th)/He chronometry by solution sector ICP-MS. ARHDL Rep. 2006, 1, 1–33. [Google Scholar]
- Flowers, R.M.; Kelley, S.A. Interpreting Data Dispersion and “Inverted” Dates in Apatite (U–Th)/He and Fission-Track Datasets: An Example from the US Midcontinent. Geochim. Cosmochim. Acta 2011, 75, 5169–5186. [Google Scholar] [CrossRef]
- Meesters, A.; Dunai, T. Solving the Production–Diffusion Equation for Finite Diffusion Domains of Various Shapes: Part I. Implications for Low-Temperature (U–Th)/He Thermochronology. Chem. Geol. 2002, 186, 333–344. [Google Scholar] [CrossRef]
- Farley, K.A.; Wolf, R.A.; Silver, L.T. The Effects of Long Alpha-Stopping Distances on (U-Th)/He Ages. Geochim. Cosmochim. Acta 1996, 60, 4223–4229. [Google Scholar] [CrossRef]
- Flowers, R.M.; Ketcham, R.A.; Shuster, D.L.; Farley, K.A. Apatite (U–Th)/He Thermochronometry Using a Radiation Damage Accumulation and Annealing Model. Geochim. Cosmochim. Acta 2009, 73, 2347–2365. [Google Scholar] [CrossRef]
- Zhang, Z.; Wang, K.; Wang, G.; Liu, X.; Liu, W.; Wu, B. Petrogenesis and Tectonic Significances of the Paleozoic Jiling Syenite in the Mountain Longshou Area, Gansu Province. Geol. Rev. 2018, 64, 1017–1029. [Google Scholar] [CrossRef]
- Zhang, X.; Zhang, H.; Cao, Z. Genetic Analysis and Resource Evaluation of Dazhuang Geothermal Reservoir in the Minle Basin. Arab. J. Geosci. 2021, 14, 815. [Google Scholar] [CrossRef]
- Thurston, O.G.; Guenthner, W.R.; Karlstrom, K.E.; Ricketts, J.W.; Heizler, M.T.; Timmons, J.M. Zircon (U-Th)/He Thermochronology of Grand Canyon Resolves 1250 Ma Unroofing at the Great Unconformity and <20 Ma Canyon Carving. Geology 2022, 50, 222–226. [Google Scholar] [CrossRef]
- Colleps, C.L.; McKenzie, N.R.; Guenthner, W.; Sharma, M.; Gibson, T.; Stockli, D. Apatite (U-Th)/He Thermochronometric Constraints on the Northern Extent of the Deccan Large Igneous Province. Earth Planet. Sci. Lett. 2021, 571, 117087. [Google Scholar] [CrossRef]
- Vermeesch, P.; Tian, Y. Thermal History Modelling: HeFTy vs. QTQt. Earth-Sci. Rev. 2014, 139, 279–290. [Google Scholar] [CrossRef]
- Xue, S.; Ling, M.-X.; Liu, Y.-L.; Zhang, H.; Sun, W. The Genesis of Early Carboniferous Adakitic Rocks at the Southern Margin of the Alxa Block, North China. Lithos 2017, 278–281, 181–194. [Google Scholar] [CrossRef]
- Chen, N.H.-C.; Zhao, G.; Jahn, B.; Zhou, H.; Sun, M. Geochemistry and Geochronology of the Delinggou Intrusion: Implications for the Subduction of the Paleo-Asian Ocean beneath the North China Craton. Gondwana Res. 2017, 43, 178–192. [Google Scholar] [CrossRef]
- Xiao, W.; Windley, B.F.; Han, C.; Liu, W.; Wan, B.; Zhang, J.; Ao, S.; Zhang, Z.; Song, D. Late Paleozoic to Early Triassic Multiple Roll-Back and Oroclinal Bending of the Mongolia Collage in Central Asia. Earth-Sci. Rev. 2018, 186, 94–128. [Google Scholar] [CrossRef]
- Li, J.; Wu, C.; Chen, X.; Zuza, A.; Haproff, P.; Yin, A.; Shao, Z. Tectonic Evolution of the Beishan Orogen in Central Asia: Sub duction, Accretion, and Continent-Continent Collision during the Closure of the Paleo-Asian Ocean. Geol. Soc. Am. Bull. 2023, 135, 819–851. [Google Scholar] [CrossRef]
- Kapp, P.; Decelles, P. Mesozoic-Cenozoic Geological Evolution of the Himalayan-Tibetan Orogen and Working Tectonic Hypotheses. Am. J. Sci. 2019, 319, 159–254. [Google Scholar] [CrossRef]
- Wang, F.; Xu, W.; Xing, K.; Wang, Y.; Zhang, H.; Wu, W.; Sun, C.; Ge, W. Final Closure of the Paleo-Asian Ocean and Onset of Subduction of Paleo-Pacific Ocean: Constraints from Early Mesozoic Magmatism in Central Southern Jilin Province, NE China. J. Geophys. Res. Solid Earth 2019, 124, 2601–2622. [Google Scholar] [CrossRef]
- Zhang, B. The Paleozoic Tectonic Attribute of the Southern Alxa Block: Constrained by Detrital Zircon U-Pb Ages and Structural Deforamtion Analysis; Chinese Academy of Geological Sciences: Beijing, China, 2019; Available online: https://kns.cnki.net/KCMS/detail/detail.aspx?dbcode=CDFD&dbname=CDFDLAST2019&filename=1019146204.nh&v= (accessed on 3 June 2019).
- Xiao, W.; Windley, B.; Hao, J.; Zhai, M. Accretion Leading to Collision and the Permian Solonker Suture, Inner Mongolia, China: Termination of the Central Asian Orogenic Belt. Tectonics 2003, 22. [Google Scholar] [CrossRef]
- Fu, D.; Huang, B.; Kusky, T.M.; Li, G.; Wilde, S.A.; Zhou, W.; Yu, Y. A Middle Permian Ophiolitic Mélange Belt in the Solonker Suture Zone, Western Inner Mongolia, China: Implications for the Evolution of the Paleo-Asian Ocean. Tectonics 2018, 37, 1292–1320. [Google Scholar] [CrossRef]
- Wang, K.; Li, Y.; Xiao, W.; Zheng, J.; Wang, C.; Jiang, H.; Brouwer, F.M. Geochemistry and Zircon U-Pb-Hf Isotopes of Paleozoic Granitoids along the Solonker Suture Zone in Inner Mongolia, China: Constraints on Bidirectional Subduction and Closure Timing of the Paleo-Asian Ocean. Gondwana Res. 2024, 126, 1–21. [Google Scholar] [CrossRef]
- Liu, Q.; Zhao, G.; Han, Y.; Eizenhöfer, P.R.; Zhu, Y.; Hou, W.; Zhang, X.; Wang, B. Geochronology and Geochemistry of Per mian to Early Triassic Granitoids in the Alxa Terrane: Constraints on the Final Closure of the Paleo-Asian Ocean. Lithosphere 2017, 9, 665–680. [Google Scholar] [CrossRef]
- Didenko, A.N.; Li, Y.-F.; Peskov, A.Y.; Sun, S.-L.; Karetnikov, A.S.; Zhou, Y.-H. Closure of the Solonker Basin: Paleomagnetism of the Linxi and Xingfuzhilu Formations (Inner Mongolia, China). Russ. J. Pac. Geol. 2016, 10, 317–336. [Google Scholar] [CrossRef]
- Liu, Y.; Li, S.; Zhai, Q.; Tang, Y.; Hu, P.; Guo, R.; Liu, Y.; Wang, Y.; Yu, S.; Cao, H.; et al. Jurassic Tectonic Evolution of Tibetan Plateau: A Review of Bangong-Nujiang Meso-Tethys Ocean. Earth-Sci. Rev. 2022, 227, 103973. [Google Scholar] [CrossRef]
- Zhang, B.-C.; Fan, J.-J.; Luo, A.-B.; Zeng, X.-W. The First Identified Oceanic Core Complex in the Bangong–Nujiang Suture Zone, Central Tibet: New Insights into the Early Mesozoic Tectonic Evolution of the Meso-Tethys Ocean. J. Asian Earth Sci. 2022, 233, 105248. [Google Scholar] [CrossRef]
- Wang, W.; Zhai, Q.; Hu, P.; Tang, Y. Mesozoic Felsic Magmatism along the Bangong–Nujiang Suture Zone, Tibet: Temporospatial Variations and Tectonic Implications. Gondwana Res. 2024, 125, 284–300. [Google Scholar] [CrossRef]
- Song, P.; Ding, L.; Li, Z.; Lippert, P.C.; Yang, T.; Zhao, X.; Fu, J.; Yue, Y. Late Triassic Paleolatitude of the Qiangtang Block: Implications for the Closure of the Paleo-Tethys Ocean. Earth Planet. Sci. Lett. 2015, 424, 69–83. [Google Scholar] [CrossRef]
- Wang, P.; Zhao, G.; Liu, Q.; Yao, J.; Han, Y. Evolution of the Paleo-Tethys Ocean in Eastern Kunlun, North Tibetan Plateau: From Continental Rift-Drift to Final Closure. Lithos 2022, 422–423, 106717. [Google Scholar] [CrossRef]
- Wang, D.; Wang, Z.; Zhou, W.; Zuo, X.; Chen, S. Late Jurassic intraplate extension in southern Central Asian Orogenic Belt: Evidence from Beidashan mafic rocks in Alxa. Acta Petrol. Sin. 2023, 39, 1276–1292. [Google Scholar] [CrossRef]
- Molnar, P.; Tapponnier, P. Cenozoic Tectonics of Asia: Effects of a Continental Collision: Features of Recent Continental Tectonics in Asia Can Be Interpreted as Results of the India-Eurasia Collision. Science 1975, 189, 419–426. [Google Scholar] [CrossRef]
- Tapponnier, P.; Meyer, B.; Avouac, J.P.; Peltzer, G.; Gaudemer, Y.; Guo, S.; Xiang, H.; Yin, K.; Chen, Z.; Cai, S.; et al. Active Thrusting and Folding in the Qilian Shan, and Decoupling between Upper Crust and Mantle in Northeastern Tibet. Earth Planet. Sci. Lett. 1990, 97, 382–403. [Google Scholar] [CrossRef]
- Wang, W.; Zhang, P.; Garzione, C.; Liu, C.; Zhang, Z.; Pang, J.-Z.; Wang, Y.; Zheng, D.; Zheng, W.-J.; Zhang, H. Pulsed Rise and Growth of the Tibetan Plateau to Its Northern Margin since ca. 30 Ma. Proc. Natl. Acad. Sci. USA 2022, 119, e2120364119. [Google Scholar] [CrossRef] [PubMed]
- Wang, W.; Zhang, P.; Pang, J.-Z.; Garzione, C.; Zhang, H.; Liu, C.; Zheng, D.; Zheng, W.-J.; Yu, J. The Cenozoic Growth of the Qilian Shan in the Northeastern Tibetan Plateau: A Sedimentary Archive from the Jiuxi Basin. J. Geophys. Res. Solid Earth 2016, 121, 2235–2257. [Google Scholar] [CrossRef]
- Zheng, D.; Clark, M.K.; Zhang, P.; Zheng, W.; Farley, K.A. Erosion, Fault Initiation and Topographic Growth of the North Qilian Shan (Northern Tibetan Plateau). Geosphere 2010, 6, 937–941. [Google Scholar] [CrossRef]
- Wang, W.; Zheng, D.; Li, C.; Wang, Y.; Zhang, Z.; Pang, J.; Wang, Y.; Yu, J.; Wang, Y.; Zheng, W.; et al. Cenozoic Exhumation of the Qilian Shan in the Northeastern Tibetan Plateau: Evidence from Low-Temperature Thermochronology. Tectonics 2020, 39, e2019TC005705. [Google Scholar] [CrossRef]
- Zheng, W.; Zhang, B.; Yuan, D.; Chen, G.; Zhang, Y.; Yu, J.; Zhang, D.; Bi, H.; Liu, B.; Yang, J. Tectonic Activity in the Southern Alashan Block and the Latest Boundary of Outward Expansion on the Northeastern Tibetan Plateau, China. J. Earth Sci. Environ. 2021, 43, 224–236. [Google Scholar] [CrossRef]













| Sample | Lithology | Longitude | Latitude | Altitude |
|---|---|---|---|---|
| ID | °E | °N | m | |
| LSS-1 | granite | 101.6137 | 38.6464 | 2289 |
| LSS-4 | granite | 101.6991 | 38.6393 | 2397 |
| LSS-6 | granite | 101.7275 | 38.6403 | 2543 |
| LSN-10 | limestone | 101.7699 | 38.6713 | 2831 |
| Data Type | Age | Error15% | eU | Rs | U | Th | eU Classification |
|---|---|---|---|---|---|---|---|
| (Ma) | (Ma) | ppm | μm | ppm | ppm | ppm | |
| ZHe | 164.6 | 24.69 | 322.7 | 49.05 | 241.01 | 347.83 | 0–500 |
| 195.9 | 29.39 | 770.2 | 47.33 | 601.54 | 717.84 | 500–1000 | |
| 65.5 | 9.83 | 1599.4 | 47.28 | 1146.79 | 1926.19 | 1000–2000 | |
| AHe | 7.0 | 1.04 | 6.6 | 40.23 | 5.20 | 6.13 | - |
Disclaimer/Publisher’s Note: The statements, opinions and data contained in all publications are solely those of the individual author(s) and contributor(s) and not of MDPI and/or the editor(s). MDPI and/or the editor(s) disclaim responsibility for any injury to people or property resulting from any ideas, methods, instructions or products referred to in the content. |
© 2024 by the authors. Licensee MDPI, Basel, Switzerland. This article is an open access article distributed under the terms and conditions of the Creative Commons Attribution (CC BY) license (https://creativecommons.org/licenses/by/4.0/).
Share and Cite
Feng, C.; Zheng, W.; Jia, J.; Wei, S.; Wang, W. The Long-Term Tectonism of the Longshou Shan in the Southwest Alxa Block—Constrained by (U-Th)/He Thermochronometric Data. Minerals 2024, 14, 143. https://doi.org/10.3390/min14020143
Feng C, Zheng W, Jia J, Wei S, Wang W. The Long-Term Tectonism of the Longshou Shan in the Southwest Alxa Block—Constrained by (U-Th)/He Thermochronometric Data. Minerals. 2024; 14(2):143. https://doi.org/10.3390/min14020143
Chicago/Turabian StyleFeng, Changhuan, Wenjun Zheng, Jiabao Jia, Shiqi Wei, and Weitao Wang. 2024. "The Long-Term Tectonism of the Longshou Shan in the Southwest Alxa Block—Constrained by (U-Th)/He Thermochronometric Data" Minerals 14, no. 2: 143. https://doi.org/10.3390/min14020143
APA StyleFeng, C., Zheng, W., Jia, J., Wei, S., & Wang, W. (2024). The Long-Term Tectonism of the Longshou Shan in the Southwest Alxa Block—Constrained by (U-Th)/He Thermochronometric Data. Minerals, 14(2), 143. https://doi.org/10.3390/min14020143
