A New Yield Surface for Cemented Paste Backfill Based on the Modified Structured Cam-Clay
Abstract
1. Introduction
2. Methodology
2.1. Materials and Mixture Design
2.1.1. Tailings
2.1.2. Water
2.1.3. Binder
2.2. Specimen Preparation and Experimental Setup
2.2.1. Sample Preparation
2.2.2. Triaxial Compression Testing Method
- a.
- Triaxial cell
- b.
- Loading method
- c.
- Strain measurement method
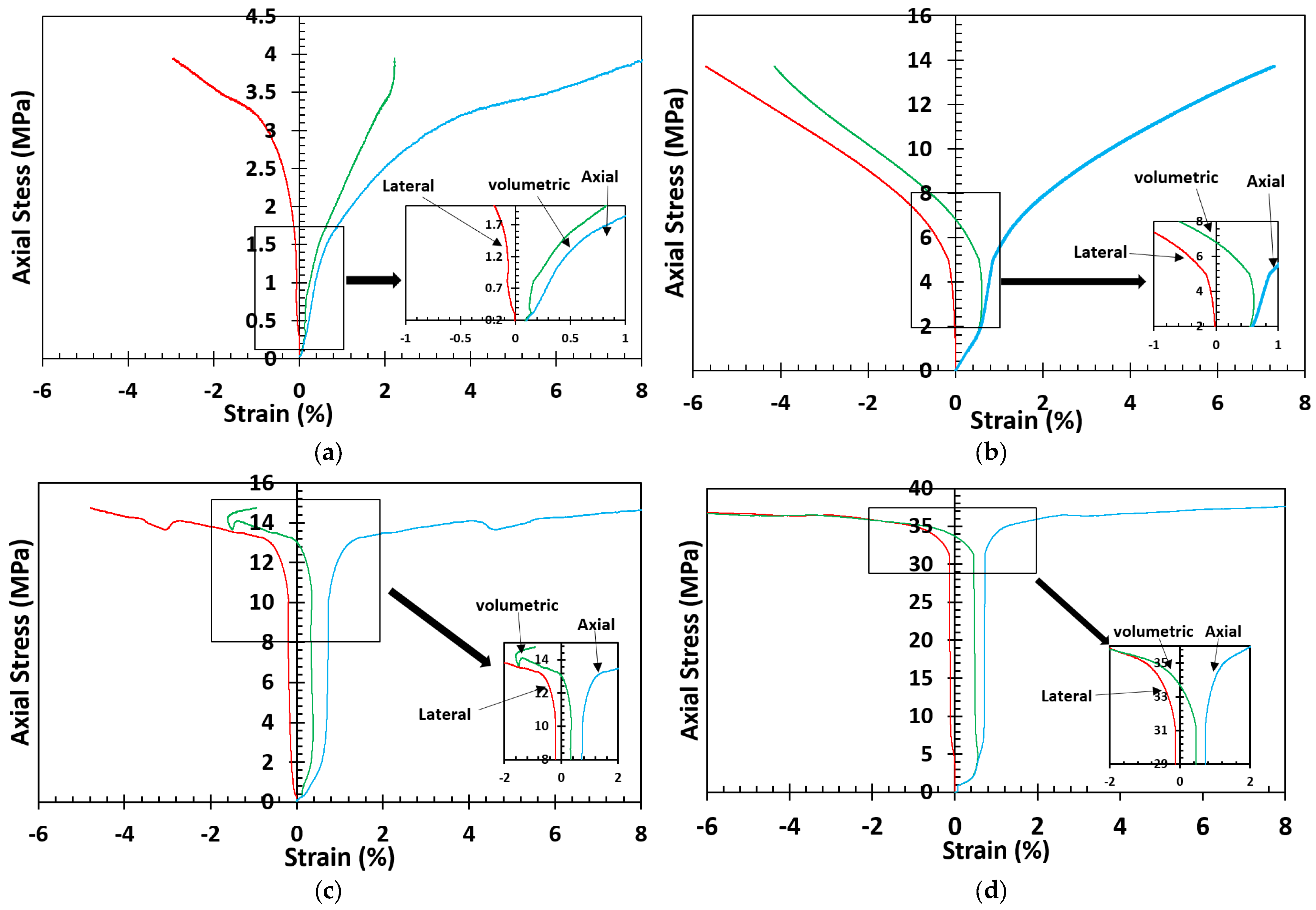
3. Experimental Results
4. Describing the Results Using the MSCC Model

5. Conclusions
- Confining pressure and curing time (hydration) are two parameters that significantly affect CPB stress–strain behavior. A combination factor of these two parameters was introduced to demonstrate the positive effect over time.
- The data obtained from the triaxial tests was analyzed for evaluating various curing times impact on yield strength at various confining pressures. Based on these results, an increase in both confining pressure and curing age caused a positive impact on CPB strength, mainly at early ages. At each confining pressure (e.g., 1 MPa), the deviatoric stress–strain curves were extended by curing time, and consequently, there was more energy absorption at higher confining pressure levels.
- The relationship between confinement and the enlargement of yield surface was seen in triaxial compression tests. As the confining pressure was increased, yield surface expanded in the stress space, allowing for higher stress levels before reaching the yield condition. This behavior was particularly relevant for cohesive soils, such as clays, where confinement strongly influences yield strength. In the same curing time, the deviatoric stress–strain curves were extended by confining pressure. As a result, the yield surface was extended by the effect of confining pressure and curing age combined.
- The yield surface of the MSCC model was updated for CBP, including a new parameter for the effect of hydration and confinement combined. Then, the updated yield surface was compared with testing data. Hydration of CPB could lead to tensile strength development due to the formation of hydration products, crystallization pressure, interfacial bonding, and the generation of tensile stresses during drying shrinkage.
Author Contributions
Funding
Data Availability Statement
Acknowledgments
Conflicts of Interest
References
- Fahey, M.; Helinski, M.; Fourie, A. Development of specimen curing procedures that account for the influence of effective stress during curing on the strength of cemented mine backfill. Geotech. Geol. Eng. 2011, 29, 709–723. [Google Scholar] [CrossRef]
- Yilmaz, E.; Benzaazoua, M.; Belem, T.; Bussière, B. Effect of curing under pressure on compressive strength development of cemented paste backfill. Miner. Eng. 2009, 22, 772–785. [Google Scholar] [CrossRef]
- Yin, Y.; Zhao, T.; Zhang, Y.; Tan, Y.; Qiu, Y.; Taheri, A. An innovative method for placement of gangue backfilling material in steep underground coal mines. Minerals 2019, 9, 107. [Google Scholar] [CrossRef]
- Zhang, Q.; Zhang, J.; Huang, Y.; Ju, F. Backfilling technology and strata behaviors in fully mechanized coal mining working face. Int. J. Min. Sci. Technol. 2012, 22, 151–157. [Google Scholar] [CrossRef]
- Bentz, D.P. A review of early-age properties of cement-based materials. Cem. Concr. Res. 2008, 38, 196–204. [Google Scholar] [CrossRef]
- Cui, L.; Fall, M. Mechanical and thermal properties of cemented tailings materials at early ages: Influence of initial temperature, curing stress and drainage conditions. Constr. Build. Mater. 2016, 125, 553–563. [Google Scholar] [CrossRef]
- Ercikdi, B.; Kesimal, A.; Cihangir, F.; Deveci, H.; Alp, İ. Cemented paste backfill of sulphide-rich tailings: Importance of binder type and dosage. Cem. Concr. Compos. 2009, 31, 268–274. [Google Scholar] [CrossRef]
- Ercikdi, B.; Yılmaz, T.; Külekci, G. Strength and ultrasonic properties of cemented paste backfill. Ultrasonics 2014, 54, 195–204. [Google Scholar] [CrossRef]
- Helinski, M.; Fahey, M.; Fourie, A. Behavior of cemented paste backfill in two mine stopes: Measurements and modeling. J. Geotech. Geoenviron. Eng. 2011, 137, 171–182. [Google Scholar] [CrossRef]
- Kesimal, A.; Yilmaz, E.; Ercikdi, B.; Alp, I.; Deveci, H. Effect of properties of tailings and binder on the short-and long-term strength and stability of cemented paste backfill. Mater. Lett. 2005, 59, 3703–3709. [Google Scholar] [CrossRef]
- Simms, P.; Grabinsky, M. Direct measurement of matric suction in triaxial tests on early-age cemented paste backfill. Can. Geotech. J. 2009, 46, 93–101. [Google Scholar] [CrossRef]
- Tarhouni, A.; Amer, M. Liquefaction and Post-Liquefaction Behaviour of Gold Mine Tailings Under Simple Shear Loading; Carleton University: Ottawa, ON, Canada, 2008. [Google Scholar]
- Yilmaz, E.; Belem, T.; Benzaazoua, M. Effects of curing and stress conditions on hydromechanical, geotechnical and geochemical properties of cemented paste backfill. Eng. Geol. 2014, 168, 23–37. [Google Scholar] [CrossRef]
- Zhang, C.; Song, W.; Taheri, A.; Fu, J.; Zhao, T.; Tan, Y. Hydration mechanism and mechanical-thermal correlation of cemented paste backfill under different curing temperatures. J. Build. Eng. 2024, 108, 691. [Google Scholar] [CrossRef]
- Nasir, O.; Fall, M. Coupling binder hydration, temperature and compressive strength development of underground cemented paste backfill at early ages. Tunn. Undergr. Space Technol. 2010, 25, 9–20. [Google Scholar] [CrossRef]
- Fall, M.; Pokharel, M. Coupled effects of sulphate and temperature on the strength development of cemented tailings backfills: Portland cement-paste backfill. Cem. Concr. Compos. 2010, 32, 819–828. [Google Scholar] [CrossRef]
- Belem, T.; Benzaazoua, M. An overview on the use of paste backfill technology as a ground support method in cut-and-fill mines. In Proceedings of the Ground Support in Mining Underground Construction, Perth, Australia, 28–30 September 2004; pp. 28–30. [Google Scholar]
- Fall, M.; Samb, S.S. Effect of high temperature on strength and microstructural properties of cemented paste backfill. Fire Saf. J. 2009, 44, 642–651. [Google Scholar] [CrossRef]
- Li, Z.; Guo, L.; Zhao, Y.; Peng, X.; Kyegyenbai, K. A particle size distribution model for tailings in mine backfill. Metals 2022, 12, 594. [Google Scholar] [CrossRef]
- Wu, A.; Wang, Y.; Zhou, B.; Shen, J. Effect of initial backfill temperature on the deformation behavior of early age cemented paste backfill that contains sodium silicate. Adv. Mater. Sci. Eng. 2016, 2016, 8481090. [Google Scholar] [CrossRef]
- Yilmaz, E.; Belem, T.; Bussière, B.; Mbonimpa, M.; Benzaazoua, M. Curing time effect on consolidation behaviour of cemented paste backfill containing different cement types and contents. Constr. Build. Mater. 2015, 75, 99–111. [Google Scholar] [CrossRef]
- Zhao, Y.; Taheri, A.; Karakus, M.; Deng, A.; Guo, L. The effect of curing under applied stress on the mechanical performance of cement paste backfill. Minerals 2021, 11, 1107. [Google Scholar] [CrossRef]
- Saebimoghaddam, A. Liquefaction of Early Age Cemented Paste Backfill; University of Toronto: Toronto, ON, Canada, 2010. [Google Scholar]
- Helinski, M.; Fahey, M.; Fourie, A. Numerical modeling of cemented mine backfill deposition. J. Geotech. Geoenviron. Eng. 2007, 133, 1308–1319. [Google Scholar] [CrossRef]
- Cui, L.; Fall, M. Modeling of pressure on retaining structures for underground fill mass. Tunn. Undergr. Space Technol. 2017, 69, 94–107. [Google Scholar] [CrossRef]
- Tao, J.; Yang, X.G.; Ding, P.P.; Li, X.L.; Zhou, J.W.; Lu, G.D. A fully coupled thermo-hydro-mechanical-chemical model for cemented backfill application in geothermal conditions. Eng. Geol. 2022, 302, 106643. [Google Scholar] [CrossRef]
- Wang, Y.; Fall, M.; Wu, A. Initial temperature-dependence of strength development and self-desiccation in cemented paste backfill that contains sodium silicate. Cem. Concr. Compos. 2016, 67, 101–110. [Google Scholar] [CrossRef]
- Zhao, Y.; Taheri, A.; Karakus, M.; Chen, Z.; Deng, A. Effects of water content, water type and temperature on the rheological behaviour of slag-cement and fly ash-cement paste backfill. Int. J. Min. Sci. Technol. 2020, 30, 271–278. [Google Scholar] [CrossRef]
- Zhao, Y.; Guo, L.J.; Taheri, A.; Karakus, M.; Deng, A. Strain localisation behaviour of cemented paste backfill. In Paste 2021: 24th International Conference on Paste, Thickened and Filtered Tailings; Fourie, A.B., Reid, D., Eds.; Australian Centre for Geomechanics: Perth, Australia, 2021; pp. 369–380. [Google Scholar]
- ASTM D2850; Standard Test Method for Unconsolidated-Undrained Triaxial Compression Test on Cohesive Soils. ASTM International: West Conshohocken, PA, USA, 2023.
- Hoek, E.; Franklin, J.A. Simple triaxial cell for field or laboratory testing of rock. Trans. Inst. Min. Metall. 1968, 77, A22–A26. [Google Scholar]
- Wawersik, W.R. Technique and apparatus for strain measurements on rock in constant confining pressure experiments. Rock Mech. 1975, 7, 231–241. [Google Scholar] [CrossRef]
- Belem, T.; Fourie, A.B.; Fahey, M. Time-dependent failure criterion for cemented paste backfills. In Proceedings of the Thirteenth International Seminar on Paste and Thickened Tailings; Jewell, R., Fourie, A.B., Eds.; Australian Centre for Geomechanics: Perth, Australia, 2010; pp. 147–162. [Google Scholar]
- Qi, Y.; Indraratna, B.; Ngo, T.; Ferreira, F.B. Advancements in Geo-Inclusions for Ballasted Track: Constitutive Modelling and Numerical Analysis. Sustainability 2021, 13, 9048. [Google Scholar] [CrossRef]
- Cui, L.; Fall, M. A coupled thermo–hydro-mechanical–chemical model for underground cemented tailings backfill. Tunn. Undergr. Space Technol. 2015, 50, 396–414. [Google Scholar] [CrossRef]
- Cui, L.; Fall, M. An evolutive elasto-plastic model for cemented paste backfill. Comput. Geotech. 2016, 71, 19–29. [Google Scholar] [CrossRef]
- Lu, Y.; Zhu, W.X.; Ye, G.L. A unified constitutive model for cemented/non-cemented soils under monotonic and cyclic loading. Acta Geotech. 2022, 17, 2173–2191. [Google Scholar] [CrossRef]
- Li, L.; Aubertin, M. An improved method to assess the required strength of cemented backfill in underground stopes with an open face. Int. J. Min. Sci. Technol. 2014, 24, 549–558. [Google Scholar] [CrossRef]
- James, P.; Doherty, J.P. A numerical study into factors affecting stress and pore pressure in free draining mine stopes. Comput. Geotech. 2015, 63, 331–341. [Google Scholar] [CrossRef]
- Riyad, A.S.M.; Indraratna, B.; Qi, Y. Constitutive behaviour of a granular matrix containing coal mine waste intermixed with rubber crumbs. Acta Geotech. 2024, 19, 12. [Google Scholar] [CrossRef]
- Suebsuk, J.; Horpibulsuk, S.; Liu, M.D. Modified Structured Cam Clay: A generalised critical state model for destructured, naturally structured and artificially structured clays. Comput. Geotech. 2010, 37, 956–968. [Google Scholar] [CrossRef]
- Liu, M.D.; Carter, J.P. A structured Cam Clay model. Can. Geotech. J. 2002, 39, 1313–1332. [Google Scholar] [CrossRef]
- Roscoe, K.H.; Burland, J.B. On the Generalized Stress-Strain Behaviour of Wet Clay; Cambridge University Press: Cambridge, UK, 1968. [Google Scholar]
- Guo, L.; Peng, X.; Zhao, Y.; Liu, G.; Tang, G.; Pan, A. Experimental study on direct tensile properties of cemented paste backfill. Front. Mater. 2022, 9, 864264. [Google Scholar] [CrossRef]













| Property | Units | Values |
|---|---|---|
| Laboratory Results | ||
| Sulphur Trioxide | % | <3.5 |
| Loss on Ignition | % | 1.0–3.5 |
| Chloride ions | % | <8 |
| Limestone | % | 0–7 |
| Components | ||
| Granulated Blast Furnace Slag | % | 50–70 |
| Portland Cement Clinker | % | 20–40 |
| Gypsum | % | 5–7 |
| Cement Kiln Dust (% of Cement) | % | 0–15 |
| Limestone | % | Up to 7.5 |
| Hexavalent Chromium | mg/kg | <5 |
| Crystalline Silica | % | <1 |
| Parameter | 7 Days | 14 Days | 28 Days | 56 Days | 96 Days |
|---|---|---|---|---|---|
| 1.191 | 1.957 | 1.693 | 1.793 | 1.794 | |
| 60.924 | 47.807 | 61.334 | 70.167 | 83.362 | |
| 0.072 | 0.140 | 0.130 | 0.140 | 0.180 |
Disclaimer/Publisher’s Note: The statements, opinions and data contained in all publications are solely those of the individual author(s) and contributor(s) and not of MDPI and/or the editor(s). MDPI and/or the editor(s) disclaim responsibility for any injury to people or property resulting from any ideas, methods, instructions or products referred to in the content. |
© 2024 by the authors. Licensee MDPI, Basel, Switzerland. This article is an open access article distributed under the terms and conditions of the Creative Commons Attribution (CC BY) license (https://creativecommons.org/licenses/by/4.0/).
Share and Cite
Safari, A.; Taheri, A.; Karakus, M. A New Yield Surface for Cemented Paste Backfill Based on the Modified Structured Cam-Clay. Minerals 2025, 15, 4. https://doi.org/10.3390/min15010004
Safari A, Taheri A, Karakus M. A New Yield Surface for Cemented Paste Backfill Based on the Modified Structured Cam-Clay. Minerals. 2025; 15(1):4. https://doi.org/10.3390/min15010004
Chicago/Turabian StyleSafari, Amin, Abbas Taheri, and Murat Karakus. 2025. "A New Yield Surface for Cemented Paste Backfill Based on the Modified Structured Cam-Clay" Minerals 15, no. 1: 4. https://doi.org/10.3390/min15010004
APA StyleSafari, A., Taheri, A., & Karakus, M. (2025). A New Yield Surface for Cemented Paste Backfill Based on the Modified Structured Cam-Clay. Minerals, 15(1), 4. https://doi.org/10.3390/min15010004

