Prediction of Insulin Resistance by Modified Triglyceride Glucose Indices in Youth
Abstract
1. Introduction
2. Materials and Methods
2.1. Participants
2.2. Study Variables
2.3. Laboratory Analysis
2.4. Statistical Analysis
3. Results
3.1. Baseline Characteristics of the Subjects
3.2. ORs of TyG and Modified TyG Indices for Predicting IR
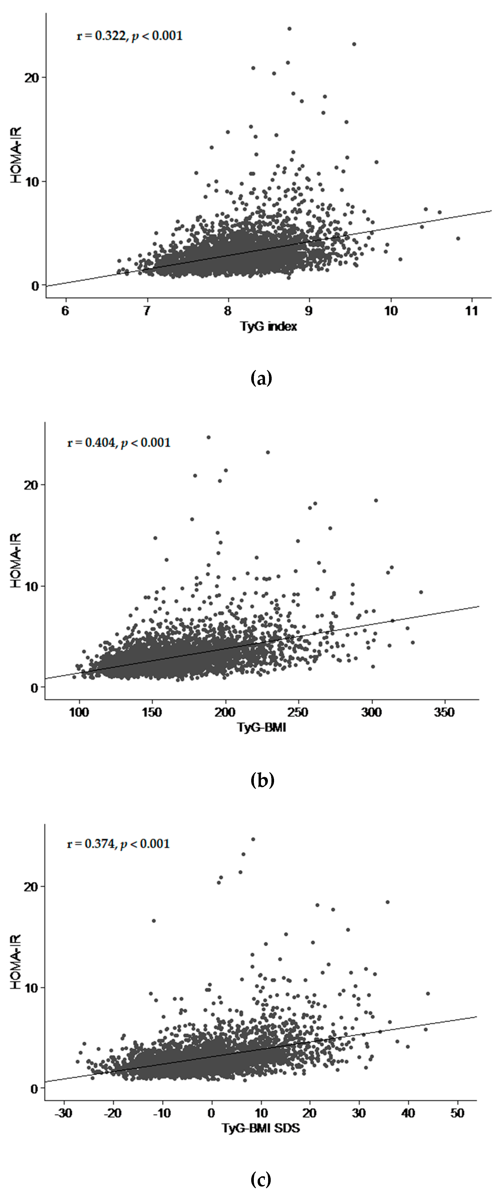
3.3. Correlation of TyG and Modified TyG Indices with HOMA-IR
3.4. Cut-off Values and AUC of the TyG and Modified TyG Indices for Predicting IR
4. Discussion
5. Conclusions
Author Contributions
Funding
Institutional Review Board Statement
Informed Consent Statement
Data Availability Statement
Conflicts of Interest
Appendix A
| TyG index | TyG-BMI | TyG-BMI SDS | TyG-WC | TyG-WHtR | |
|---|---|---|---|---|---|
| Total | |||||
| TyG index | reference | <0.001 | <0.001 | <0.001 | <0.001 |
| TyG-BMI | <0.001 | reference | 0.617 | <0.001 | 0.739 |
| TyG-BMI SDS | <0.001 | 0.617 | reference | 0.011 | >0.999 |
| TyG-WC | <0.001 | <0.001 | 0.011 | reference | <0.001 |
| TyG-WHtR | <0.001 | 0.739 | >0.999 | <0.001 | reference |
| Male | |||||
| TyG index | reference | <0.001 | <0.001 | <0.001 | <0.001 |
| TyG-BMI | <0.001 | reference | 0.505 | <0.001 | >0.999 |
| TyG-BMI SDS | <0.001 | 0.505 | reference | 0.046 | 0.617 |
| TyG-WC | <0.001 | <0.001 | 0.046 | reference | 0.002 |
| TyG-WHtR | <0.001 | >0.999 | 0.617 | 0.002 | reference |
| Female | |||||
| TyG index | reference | <0.001 | <0.001 | <0.001 | <0.001 |
| TyG-BMI | <0.001 | reference | 0.413 | 0.149 | 0.739 |
| TyG-BMI SDS | <0.001 | 0.413 | reference | 0.143 | 0.721 |
| TyG-WC | <0.001 | 0.149 | 0.143 | reference | 0.034 |
| TyG-WHtR | <0.001 | 0.739 | 0.721 | 0.034 | reference |
References
- Moon, S.; Park, J.-S.; Ahn, Y. The Cut-off Values of Triglycerides and Glucose Index for Metabolic Syndrome in American and Korean Adolescents. J. Korean Med. Sci. 2017, 32, 427–433. [Google Scholar] [CrossRef] [PubMed]
- Park, K.; Ahn, C.W.; Lee, S.B.; Kang, S.; Nam, J.S.; Lee, B.K.; Kim, J.H.; Park, J.S. Elevated TyG Index Predicts Progression of Coronary Artery Calcification. Diabetes Care 2019, 42, 1569–1573. [Google Scholar] [CrossRef] [PubMed]
- Castorani, V.; Polidori, N.; Giannini, C.; Blasetti, A.; Chiarelli, F. Insulin resistance and type 2 diabetes in children. Ann. Pediatr. Endocrinol. Metab. 2020, 25, 217–226. [Google Scholar] [CrossRef]
- Friend, A.; Craig, L.; Turner, S. The Prevalence of Metabolic Syndrome in Children: A Systematic Review of the Literature. Metab. Syndr. Relat. Disord. 2013, 11, 71–80. [Google Scholar] [CrossRef] [PubMed]
- Lim, S.; Jang, H.C.; Park, K.S.; Cho, S.I.; Lee, M.-G.; Joung, H.; Mozumdar, A.; Liguori, G. Changes in Metabolic Syndrome in American and Korean Youth, 1997-2008. Pediatrics 2012, 131, e214–e222. [Google Scholar] [CrossRef]
- Al-Hamad, D.; Raman, V. Metabolic syndrome in children and adolescents. Transl. Pediatr. 2017, 6, 397–407. [Google Scholar] [CrossRef]
- A DeFronzo, R.; Tobin, J.D.; Andres, R. Glucose clamp technique: A method for quantifying insulin secretion and resistance. Am. J. Physiol. Metab. 1979, 237, E214–E223. [Google Scholar] [CrossRef] [PubMed]
- Du, T.; Yuan, G.; Zhang, M.; Zhou, X.; Sun, X.; Yu, X. Clinical usefulness of lipid ratios, visceral adiposity indicators, and the tri-glycerides and glucose index as risk markers of insulin resistance. Cardiovasc. Diabetol. 2014, 13, 146. [Google Scholar] [CrossRef] [PubMed]
- Lee, S.H.; Ahn, M.B.; Choi, Y.J.; Kim, S.K.; Kim, S.H.; Cho, W.K.; Cho, K.S.; Suh, B.-K.; Jung, M.H. Comparison of different criteria for the definition of insulin resistance and its relationship to metabolic risk in children and adolescents. Ann. Pediatr. Endocrinol. Metab. 2020, 25, 227–233. [Google Scholar] [CrossRef] [PubMed]
- Brar, P.C. Update on the current modalities used to screen high risk youth for prediabetes and/or type 2 diabetes mellitus. Ann. Pediatr. Endocrinol. Metab. 2019, 24, 71–77. [Google Scholar] [CrossRef]
- Miller, W.G.; Thienpont, L.M.; Van Uytfanghe, K.; Clark, P.M.; Lindstedt, P.; Nilsson, G.; Steffes, M.W. Toward Standardization of Insulin Immunoassays. Clin. Chem. 2009, 55, 1011–1018. [Google Scholar] [CrossRef]
- Katsa, M.E.; Ioannidis, A.; Sachlas, A.; Dimopoulos, I.; Chatzipanagiotou, S.; Gil, A.P.R. The roles of triglyceride/high-density lipoprotein cholesterol ratio and uric acid as predisposing factors for metabolic syndrome in healthy children. Ann. Pediatr. Endocrinol. Metab. 2019, 24, 172–179. [Google Scholar] [CrossRef]
- Lee, J.; Kim, B.; Kim, W.; Ahn, C.; Choi, H.Y.; Kim, J.G.; Kim, J.; Shin, H.; Kang, J.G.; Moon, S. Lipid indices as simple and clinically useful surrogate markers for insulin resistance in the U.S. population. Sci. Rep. 2021, 11, 1–9. [Google Scholar] [CrossRef]
- Guerrero-Romero, F.; Simental-Mendía, L.E.; González-Ortiz, M.; Martínez-Abundis, E.; Ramos-Zavala, M.G.; Hernández-González, S.O.; Jacques-Camarena, O.; Rodríguez-Morán, M. The Product of Triglycerides and Glucose, a Simple Measure of Insulin Sensitivity. Comparison with the Euglycemic-Hyperinsulinemic Clamp. J. Clin. Endocrinol. Metab. 2010, 95, 3347–3351. [Google Scholar] [CrossRef]
- Zheng, S.; Shi, S.; Ren, X.; Han, T.; Li, Y.; Chen, Y.; Liu, W.; Hou, P.C.; Hu, Y. Triglyceride glucose-waist circumference, a novel and effective predictor of diabetes in first-degree relatives of type 2 diabetes patients: Cross-sectional and prospective cohort study. J. Transl. Med. 2016, 14, 260. [Google Scholar] [CrossRef] [PubMed]
- Lim, J.; Kim, J.; Koo, S.H.; Kwon, G.C. Comparison of triglyceride glucose index, and related parameters to predict insulin resistance in Korean adults: An analysis of the 2007-2010 Korean National Health and Nutrition Examination Survey. PLoS ONE 2019, 14, e0212963. [Google Scholar] [CrossRef]
- Kweon, S.; Kim, Y.; Jang, M.-J.; Kim, Y.; Kim, K.; Choi, S.; Chun, C.; Khang, Y.-H.; Oh, K. Data resource profile: The Korea National Health and Nutrition Examination Survey (KNHANES). Int. J. Epidemiol. 2014, 43, 69–77. [Google Scholar] [CrossRef]
- Kim, J.H.; Yun, S.; Hwang, S.-S.; Shim, J.O.; Chae, H.W.; Lee, Y.J.; Lee, J.H.; Kim, S.C.; Lim, D.; Yang, S.W.; et al. The 2017 Korean National Growth Charts for children and adolescents: Development, improvement, and prospects. Korean J. Pediatr. 2018, 61, 135–149. [Google Scholar] [CrossRef]
- Moon, J.S.; Lee, S.Y.; Nam, C.M.; Choi, J.-M.; Choe, B.-K.; Seo, J.-W.; Oh, K.; Jang, M.-J.; Hwang, S.-S.; Yoo, M.H.; et al. 2007 Korean National Growth Charts: Review of developmental process and an outlook. Korean J. Pediatr. 2008, 51. [Google Scholar] [CrossRef]
- Roberts, W.C. The Friedewald-Levy-Fredrickson formula for calculating low-density lipoprotein cholesterol, the basis for lipid-lowering therapy. Am. J. Cardiol. 1988, 62, 345–346. [Google Scholar] [CrossRef]
- Cui, Y.; Blumenthal, R.S.; Flaws, J.A.; Whiteman, M.K.; Langenberg, P.; Bachorik, P.S.; Bush, T.L. Non-high-density lipoprotein cho-lesterol level as a predictor of cardiovascular disease mortality. Arch. Int. Med. 2001, 161, 1413–1419. [Google Scholar] [CrossRef]
- Dobiásová, M.; Frohlich, J. The plasma parameter log (TG/HDL-C) as an atherogenic index: Correlation with lipoprotein particle size and esterification rate in apoB-lipoprotein-depleted plasma (FER(HDL)). Clin. Biochem. 2001, 34, 583–588. [Google Scholar] [CrossRef]
- Yi, K.H.; Hwang, J.S.; Kim, E.Y.; Lee, S.H.; Kim, D.H.; Lim, J.S. Prevalence of insulin resistance and cardiometabolic risk in Korean children and adolescents: A population-based study. Diabetes Res. Clin. Pract. 2014, 103, 106–113. [Google Scholar] [CrossRef]
- Simental-Mendía, L.E.; Rodríguez-Morán, M.; Guerrero-Romero, F. The Product of Fasting Glucose and Triglycerides As Surrogate for Identifying Insulin Resistance in Apparently Healthy Subjects. Metab. Syndr. Relat. Disord. 2008, 6, 299–304. [Google Scholar] [CrossRef]
- Er, L.-K.; Wu, S.; Chou, H.-H.; Hsu, L.-A.; Teng, M.-S.; Sun, Y.-C.; Ko, Y.-L. Triglyceride Glucose-Body Mass Index Is a Simple and Clinically Useful Surrogate Marker for Insulin Resistance in Nondiabetic Individuals. PLoS ONE 2016, 11, e0149731. [Google Scholar] [CrossRef]
- Guerrero-Romero, F.; Villalobos-Molina, R.; Jiménez-Flores, J.R.; Simental-Mendia, L.E.; Méndez-Cruz, R.; Murguía-Romero, M.; Rodríguez-Morán, M. Fasting Triglycerides and Glucose Index as a Diagnostic Test for Insulin Resistance in Young Adults. Arch. Med. Res. 2016, 47, 382–387. [Google Scholar] [CrossRef] [PubMed]
- Park, B.; Lee, H.S.; Lee, Y.-J. Triglyceride glucose (TyG) index as a predictor of incident type 2 diabetes among nonobese adults: A 12-year longitudinal study of the Korean Genome and Epidemiology Study cohort. Transl. Res. 2021, 228, 42–51. [Google Scholar] [CrossRef]
- Kahn, B.B.; Flier, J.S. Obesity and insulin resistance. J. Clin. Investig. 2000, 106, 473–481. [Google Scholar] [CrossRef] [PubMed]
- Tirosh, A.; Shai, I.; Bitzur, R.; Kochba, I.; Tekes-Manova, D.; Israeli, E.; Shochat, T.; Rudich, A. Changes in Triglyceride Levels Over Time and Risk of Type 2 Diabetes in Young Men. Diabetes Care 2008, 31, 2032–2037. [Google Scholar] [CrossRef]
- Kelley, D.E.; Goodpaster, B.H. Skeletal muscle triglyceride. An aspect of regional adiposity and insulin resistance. Diabetes Care 2001, 24, 933–941. [Google Scholar] [CrossRef]
- Styne, D.M.; Arslanian, S.A.; Connor, E.L.; Farooqi, I.S.; Murad, M.H.; Silverstein, J.H.; Yanovski, J.A. Pediatric Obesity-Assessment, Treatment, and Prevention: An Endocrine Society Clinical Practice Guideline. J. Clin. Endocrinol. Metab. 2017, 102, 709–757. [Google Scholar] [CrossRef]
- Chung, I.H.; Park, S.; Park, M.J.; Yoo, E.-G. Waist-to-Height Ratio as an Index for Cardiometabolic Risk in Adolescents: Results from the 1998-2008 KNHANES. Yonsei Med. J. 2016, 57, 658–663. [Google Scholar] [CrossRef] [PubMed]
- Lee, C.M.Y.; Huxley, R.R.; Wildman, R.P.; Woodward, M. Indices of abdominal obesity are better discriminators of cardiovascular risk factors than BMI: A meta-analysis. J. Clin. Epidemiol. 2008, 61, 646–653. [Google Scholar] [CrossRef] [PubMed]
- Coutinho, T.; Goel, K.; Corrêa de Sá, D.; Carter, R.E.; Hodge, D.O.; Kragelund, C.; Kanaya, A.M.; Zeller, M.; Park, J.S.; Kober, L.; et al. Combining body mass index with measures of central obesity in the assessment of mortality in subjects with coronary disease: Role of "normal weight central obesity". J. Am. Coll. Cardiol. 2013, 61, 553–560. [Google Scholar] [CrossRef] [PubMed]
- Zimmet, P.; Magliano, D.; Matsuzawa, Y.; Alberti, G.; Shaw, J. The Metabolic Syndrome: A Global Public Health Problem and A New Definition. J. Atheroscler. Thromb. 2005, 12, 295–300. [Google Scholar] [CrossRef]
- Yang, H.; Xin, Z.; Feng, J.-P.; Yang, J.-K. Waist-to-height ratio is better than body mass index and waist circumference as a screening criterion for metabolic syndrome in Han Chinese adults. Medicine 2017, 96, e8192. [Google Scholar] [CrossRef]
- Khoury, M.; Manlhiot, C.; McCrindle, B.W. Role of the Waist/Height Ratio in the Cardiometabolic Risk Assessment of Children Classified by Body Mass Index. J. Am. Coll. Cardiol. 2013, 62, 742–751. [Google Scholar] [CrossRef]
- Volek, J.S.; Feinman, R.D. Carbohydrate restriction improves the features of Metabolic Syndrome. Metabolic Syndrome may be defined by the response to carbohydrate restriction. Nutr. Metab. 2005, 2, 31. [Google Scholar] [CrossRef]
- Feinman, R.D.; Pogozelski, W.K.; Astrup, A.; Bernstein, R.K.; Fine, E.J.; Westman, E.C.; Accurso, A.; Frassetto, L.; Gower, B.A.; McFarlane, S.I.; et al. Dietary carbohydrate restriction as the first approach in diabetes management: Critical review and evidence base. Nutrition 2015, 31, 1–13. [Google Scholar] [CrossRef]
- Hallberg, S.J.; McKenzie, A.L.; Williams, P.T.; Bhanpuri, N.H.; Peters, A.L.; Campbell, W.W.; Hazbun, T.L.; Volk, B.M.; McCarter, J.P.; Phin-ney, S.D.; et al. Effectiveness and Safety of a Novel Care Model for the Management of Type 2 Diabetes at 1 Year: An Open-Label, Non-Randomized, Controlled Study. Diabetes Ther. 2018, 9, 583–612. [Google Scholar] [CrossRef]
- Athinarayanan, S.J.; Adams, R.N.; Hallberg, S.J.; McKenzie, A.L.; Bhanpuri, N.H.; Campbell, W.W.; Volek, J.S.; Phinney, S.D.; McCarter, J.P. Long-Term Effects of a Novel Continuous Remote Care Intervention Including Nutritional Ketosis for the Management of Type 2 Diabetes: A 2-Year Non-randomized Clinical Trial. Front. Endocrinol. 2019, 10, 348. [Google Scholar] [CrossRef] [PubMed]
- Volek, J.S.; Fernandez, M.L.; Feinman, R.D.; Phinney, S.D. Dietary carbohydrate restriction induces a unique metabolic state posi-tively affecting atherogenic dyslipidemia, fatty acid partitioning, and metabolic syndrome. Prog. Lipid Res. 2008, 47, 307–318. [Google Scholar] [CrossRef] [PubMed]
- Hyde, P.N.; Sapper, T.N.; Crabtree, C.D.; LaFountain, R.A.; Bowling, M.L.; Buga, A.; Fell, B.; McSwiney, F.T.; Dickerson, R.M.; Miller, V.J.; et al. Dietary carbohydrate restriction improves metabolic syndrome independent of weight loss. JCI Insight 2019, 4, 4. [Google Scholar] [CrossRef]





| Total (n = 3728) | Male (n = 1756) | Female (n = 1972) | p | |
|---|---|---|---|---|
| Age (years) | 14.56 (0.06) | 14.53 (0.07) | 14.60 (0.09) | 0.476 |
| Height (cm) | 161.79 (0.23) | 165.53 (0.33) | 157.52 (0.22) | <0.001 |
| Height SDS | 0.21 (0.02) | 0.24 (0.03) | 0.17 (0.03) | 0.063 |
| Weight (kg) | 54.96 (0.29) | 58.80 (0.42) | 50.56 (033) | <0.001 |
| Weight SDS | 0.03 (0.03) | 0.07 (0.04) | −0.02 (0.04) | 0.056 |
| BMI (kg/m2) | 20.73 (0.07) | 21.17 (0.10) | 20.23 (0.11) | <0.001 |
| BMI SDS | −0.09 (0.03) | −0.06 (0.04) | −0.13 (0.04) | 0.225 |
| WC (cm) | 70.11 (0.21) | 72.42 (0.29) | 67.48 (0.27) | <0.001 |
| WC > 90p | 16.45% (0.75) | 14.75% (0.98) | 18.40% (1.18) | 0.020 |
| WHtR | 0.43 (0.01) | 0.44 (0.02) | 0.43 (0.02) | <0.001 |
| Glucose (mg/dL) | 88.82 (0.19) | 89.32 (0.25) | 88.24 (0.20) | <0.001 |
| Insulin (µIU/mL) | 13.62 (0.18) | 13.53 (0.25) | 13.71 (0.23) | 0.574 |
| HOMA-IR | 3.04 (0.05) | 3.05 (0.08) | 3.03 (0.06) | 0.834 |
| IR * | 12.03% (0.68) | 13.19% (0.90) | 10.69% (0.93) | 0.044 |
| TC (mg/dL) | 158.25 (0.58) | 154.59 (0.81) | 162.44 (0.74) | <0.001 |
| LDL-C (mg/dL) | 91.23 (0.50) | 88.96 (0.69) | 93.82 (0.65) | <0.001 |
| Non-HDL-C (mg/dL) | 108.65 (0.56) | 106.35 (0.78) | 111.28 (0.73) | <0.001 |
| TG (mg/dL) | 88.55 (1.16) | 88.60 (1.62) | 88.50 (1.50) | 0.962 |
| HDL-C (mg/dL) | 49.61 (0.20) | 48.25 (0.25) | 51.16 (0.28) | <0.001 |
| AIP | 0.46 (0.01) | 0.48 (0.02) | 0.441 (0.02) | 0.083 |
| TyG index | 8.14 (0.01) | 8.14 (0.02) | 8.14 (0.01) | 0.650 |
| TyG-BMI | 169.17 (0.69) | 172.89 (0.99) | 164.91 (0.95) | <0.001 |
| TyG-BMI SDS | −0.58 (0.22) | −0.277 (0.30) | −0.931 (0.32) | 0.140 |
| TyG-WC | 571.93 (2.05) | 591.16 (2.93) | 549.94 (2.47) | <0.001 |
| TyG-WHtR | 3.54 (0.01) | 3.57 (0.02) | 3.49 (0.02) | 0.003 |
| Total | Male | Female | ||||
|---|---|---|---|---|---|---|
| OR (95% Cl) | p | OR (95% Cl) | p | OR (95% Cl) | p | |
| TC (mg/dL) | ||||||
| T2 | 1.10 (0.82–1.49) | 0.133 | 1.38 (0.90–2.10) | 0.515 | 0.73 (0.46–1.14) | 0.066 |
| T3 | 1.75 (1.30–2.36) | <0.001 | 2.36 (1.61–3.47) | <0.001 | 1.09 (0.72–1.65) | 0.175 |
| LDL-C (mg/dL) | ||||||
| T2 | 0.83 (0.62–1.11) | 0.010 | 1.16 (0.79–1.71) | 0.317 | 0.61 (0.39–0.93) | 0.018 |
| T3 | 1.34 (1.00–1.80) | 0.003 | 1.88 (1.26–2.78) | 0.001 | 0.94 (0.62–1.44) | 0.329 |
| Non-HDL-C (mg/dL) | ||||||
| T2 | 1.02 (0.75–1.40) | 0.004 | 1.12 (0.74–1.68) | 0.005 | 0.73 (0.44–1.19) | 0.027 |
| T3 | 2.26 (1.66–3.08) | <0.001 | 3.28 (2.19–4.89) | <0.001 | 1.34 (0.89–2.14) | 0.012 |
| TG (mg/dL) | ||||||
| T2 | 1.96 (1.35–2.84) | 0.706 | 2.65 (1.63–4.30) | 0.925 | 1.28 (0.76–2.14) | 0.340 |
| T3 | 4.25 (2.99–6.05) | <0.001 | 6.78 (4.23–10.88) | <0.001 | 2.45 (1.56–3.86) | <0.001 |
| HDL-C (mg/dL) | ||||||
| T2 | 0.61 (0.47–0.79) | 0.544 | 0.63 (0.45–0.89) | 0.764 | 0.38 (0.25–0.58) | 0.004 |
| T3 | 0.43 (0.32–0.59) | <0.001 | 0.44 (0.29–0.67) | 0.003 | 0.45 (0.30–0.68) | 0.114 |
| AIP | ||||||
| T2 | 1.82 (1.26–2.63) | 0.565 | 2.66 (1.65–4.27) | 0.693 | 1.27 (0.77–2.30) | 0.385 |
| T3 | 3.90 (2.78–5.46) | <0.001 | 6.14 (3.88–9.72) | <0.001 | 2.33 (1.48–3.66) | <0.001 |
| TyG index | ||||||
| T2 | 2.77 (1.84–4.16) | 0.427 | 3.28 (1.92–5.56) | 0.596 | 1.90 (1.09–3.30) | 0.857 |
| T3 | 6.06 (4.13–8.89) | <0.001 | 8.76 (5.228–14.667) | <0.001 | 3.34 (2.05–5.45) | <0.001 |
| TyG-BMI | ||||||
| T2 | 2.21 (1.35–3.62) | 0.013 | 2.75 (1.32–5.71) | 0.048 | 2.02 (1.08–3.80) | 0.240 |
| T3 | 11.43 (7.11–18.36) | <0.001 | 20.59 (10.45–40.56) | <0.001 | 7.17 (4.10–12.55) | <0.001 |
| TyG-BMI SDS | ||||||
| T2 | 3.53 (2.03–6.16) | 0.831 | 3.438 (1.661–7.119) | 0.330 | 3.580 (1.771–7.235) | 0.430 |
| T3 | 13.50 (7.84–23.25) | <0.001 | 19.05 (9.43–38.50) | <0.001 | 8.78 (4.58–16.83) | <0.001 |
| TyG-WC | ||||||
| T2 | 1.732 (1.109–2.707) | <0.001 | 2.476 (1.285–4.772) | 0.023 | 1.92 (1.08–3.40) | 0.286 |
| T3 | 9.10 (5.92–13.99) | <0.001 | 17.44 (9.38–32.42) | <0.001 | 5.90 (3.47–10.05) | <0.001 |
| TyG-WHtR | ||||||
| T2 | 2.45 (1.42–4.22) | 0.018 | 2.72 (1.27–5.79) | 0.048 | 1.93 (1.03–3.63) | 0.090 |
| T3 | 14.66 (8.88–24.21) | <0.001 | 21.59 (11.15–41.80) | <0.001 | 8.25 (4.62–14.73) | <0.001 |
| Cut-off | Sensitivity | Specificity | AUC | 95% Cl | p | |
|---|---|---|---|---|---|---|
| Total | ||||||
| TyG index | 8.261 | 66.449 | 65.555 | 0.723 | (0.699–0.748) | <0.001 |
| TyG-BMI | 178.957 | 72.331 | 76.201 | 0.807 | (0.785–0.829) | <0.001 |
| TyG-BMI SDS | 5.105 | 68.445 | 79.450 | 0.810 | (0.788–0.831) | <0.001 |
| TyG-WC | 599.800 | 71.678 | 75.834 | 0.786 | (0.763–0.810) | <0.001 |
| TyG-WHtR | 3.696 | 74.728 | 75.436 | 0.809 | (0.788–0.831) | <0.001 |
| Male | ||||||
| TyG index | 8.175 | 76.604 | 60.457 | 0.756 | (0.726–0.786) | <0.001 |
| TyG-BMI | 184.058 | 79.245 | 77.680 | 0.842 | (0.817–0.867) | <0.001 |
| TyG-BMI SDS | 5.137 | 76.190 | 78.274 | 0.838 | (0.811–0.865) | <0.001 |
| TyG-WC | 600.847 | 83.019 | 70.299 | 0.820 | (0.792–0.848) | <0.001 |
| TyG-WHtR | 3.719 | 81.132 | 75.220 | 0.842 | (0.817–0.868) | <0.001 |
| Female | ||||||
| TyG index | 8.260 | 64.433 | 63.508 | 0.680 | (0.639–0.721) | <0.001 |
| TyG-BMI | 172.931 | 67.010 | 73.367 | 0.757 | (0.720–0.794) | <0.001 |
| TyG-BMI SDS | 4.883 | 58.101 | 80.623 | 0.766 | (0.730–0.802) | <0.001 |
| TyG-WC | 616.650 | 51.031 | 87.452 | 0.744 | (0.705–0.783) | <0.001 |
| TyG-WHtR | 3.588 | 72.680 | 70.551 | 0.761 | (0.725–0.797) | <0.001 |
Publisher’s Note: MDPI stays neutral with regard to jurisdictional claims in published maps and institutional affiliations. |
© 2021 by the authors. Licensee MDPI, Basel, Switzerland. This article is an open access article distributed under the terms and conditions of the Creative Commons Attribution (CC BY) license (http://creativecommons.org/licenses/by/4.0/).
Share and Cite
Song, K.; Park, G.; Lee, H.S.; Choi, Y.; Oh, J.S.; Choi, H.S.; Suh, J.; Kwon, A.; Kim, H.-S.; Chae, H.W. Prediction of Insulin Resistance by Modified Triglyceride Glucose Indices in Youth. Life 2021, 11, 286. https://doi.org/10.3390/life11040286
Song K, Park G, Lee HS, Choi Y, Oh JS, Choi HS, Suh J, Kwon A, Kim H-S, Chae HW. Prediction of Insulin Resistance by Modified Triglyceride Glucose Indices in Youth. Life. 2021; 11(4):286. https://doi.org/10.3390/life11040286
Chicago/Turabian StyleSong, Kyungchul, Goeun Park, Hye Sun Lee, Youngha Choi, Jun Suk Oh, Han Saem Choi, Junghwan Suh, Ahreum Kwon, Ho-Seong Kim, and Hyun Wook Chae. 2021. "Prediction of Insulin Resistance by Modified Triglyceride Glucose Indices in Youth" Life 11, no. 4: 286. https://doi.org/10.3390/life11040286
APA StyleSong, K., Park, G., Lee, H. S., Choi, Y., Oh, J. S., Choi, H. S., Suh, J., Kwon, A., Kim, H.-S., & Chae, H. W. (2021). Prediction of Insulin Resistance by Modified Triglyceride Glucose Indices in Youth. Life, 11(4), 286. https://doi.org/10.3390/life11040286

