Correlation between Maspin Levels in Different Biological Samples and Pathologic Features in Colorectal Adenocarcinomas
Abstract
1. Introduction
2. Patients and Methods
2.1. Patient Description
2.2. Materials and Reagents
2.3. Device Used in Research
2.4. Stochastic Method
3. Results
3.1. Correlation of the Concentration of Maspin in Whole Blood with the Pathological Features
3.2. Correlation of the Concentration of Maspin in Tumoral Tissue with the Pathological Features
3.3. Correlation of the Concentration of Maspin in Saliva with the Pathological Features
3.4. Correlation of the Concentration of Maspin in Urine with the Pathological Features
4. Discussion
- Whole blood maspin concentration lower than 160 pg/mL, urinary maspin concentration lower than 250 pg/mL and salivary maspin concentration between 150 and 250 pg/mL;
- Whole blood maspin concentration lower than 160 pg/mL, urinary maspin concentration higher than 250 pg/mL and salivary maspin concentration lower than 300 pg/mL.
5. Conclusions
Supplementary Materials
Author Contributions
Funding
Institutional Review Board Statement
Informed Consent Statement
Data Availability Statement
Conflicts of Interest
References
- Laird, P.W.; Jaenisch, R. DNA methylation and cancer. Hum. Mol. Genet. 1994, 3, 1487–1495. [Google Scholar] [CrossRef] [PubMed]
- Khalkhali-Ellis, Z. Maspin: The new frontier. Clin. Cancer Res. 2006, 12, 7279–7283. [Google Scholar] [CrossRef] [PubMed]
- Son, H.J.; Sohn, T.S.; Song, S.Y.; Lee, J.H.; Rhee, J.C. Maspin expression in human gastric adenocarcinoma. Pathol. Int. 2002, 52, 508–513. [Google Scholar] [CrossRef] [PubMed]
- Sheng, S. The promise and challenge toward the clinical application of maspin in cancer. Front. Biosci. 2004, 9, 2733–2745. [Google Scholar] [CrossRef] [PubMed]
- Song, S.Y.; Lee, S.K.; Kim, D.H.; Son, H.J.; Kim, H.J.; Lim, Y.J.; Lee, W.Y.; Chun, H.K.; Rhee, J.C. Expression of Maspin in Colon Cancers. Its Relationship with p53 Expression and Microvessel Density. Dig. Dis. Sci. 2002, 47, 1831–1835. [Google Scholar] [CrossRef] [PubMed]
- Tanaka, A.; Wang, J.Y.; Shia, J.; Zhou, Y.; Ogawa, M.; Hendrickson, R.C.; Klimstra, D.S.; Roehrl, H.A. Maspin as a prognostic marker for early stage colorectal cancer with microsatellite instability. Front. Oncol. 2020, 10, 945. [Google Scholar] [CrossRef] [PubMed]
- Snoeren, N.; Emmink, B.L.; Koerkamp, M.J.G.; van Hoff, S.R.; Goos, J.A.C.M.; van Houdt, W.J.; de Wit, M.; Prins, A.M.; Piersma, S.R.; Pham, T.V.; et al. Maspin is a marker for early recurrence in primary stage III and IV colorectal cancer. Br. J. Cancer 2013, 109, 1636–1647. [Google Scholar] [CrossRef] [PubMed]
- Umekita, Y.; Souda, M.; Yoshida, H. Expression of maspin in colorectal cancer. Vivo 2006, 20, 797–800. [Google Scholar]
- Tang, S.; Ling, Z.; Jiang, J.; Gu, X.; Leng, Y.; Wei, C.; Cheng, H.; Li, X. Integrating the tumor—Suppressive activity of maspin with p53 in retuning the epithelial homeostasis: A working hypothesis and applicable prospects. Front. Oncol. 2022, 12, 1037794. [Google Scholar] [CrossRef] [PubMed]
- Su, Y.; Li, G.; Xu, J.; Zheng, J.; Jiao, J.; Zhang, J.; Gu, X.; Cai, Z.; Luo, H.; Li, Z.; et al. Immune—Related keratitis is a rare complication associated with nivolumab treatment in a patient with advanced colorectal cancer: A case report. Front. Oncol. 2022, 12, 1021713. [Google Scholar] [CrossRef] [PubMed]
- Bodenstine, T.M.; Seftor, R.E.B.; Khalkhali-Ellis, Z.; Seftor, E.A.; Pemberton, P.A.; Hendrix, M.J.C. Maspin: Molecular mechanism and therapeutic implications. Cancer Metastasis Rev. 2012, 31, 529–551. [Google Scholar] [CrossRef] [PubMed]
- Nakagawa, M.; Katakura, H.; Adachi, M.; Takenaka, K.; Yanagihara, K.; Otake, Y.; Wada, H.; Tanaka, F. Maspin expression and its clinical significance in non-small cell lung cancer. Ann. Surg. Oncol. 2006, 13, 1517–1523. [Google Scholar] [CrossRef] [PubMed]
- Stefan-van Staden, R.I.; Bogea, I.; Ilie-Mihai, R.M.; Gheorghe, D.C.; Coroş, M.; Pruneanu, S. Stochastic microsensors based on modified graphene for pattern recognition of maspin in biological samples. Anal. Bioanal. Chem. 2022, 414, 3667–3673. [Google Scholar] [CrossRef] [PubMed]
- Stefan-van Staden, R.I.; Ilie-Mihai, R.M.; Gheorghe, D.C.; Bogea, M.I.; Badulescu, M. 2D Disposable Stochastic Sensors for Molecular Recognition and Quantification of Maspin in Biological Samples. Microchim. Acta 2022, 189, 101. [Google Scholar] [CrossRef] [PubMed]
- Cioates Negut, C.; Stefan-van Staden, R.I.; Sfirloaga, P. An Approach to the Simultaneous Determination of a Panel of Five Biomarkers for the Early Detection of Brain Cancer Using the Stochastic Method. Chemistry 2022, 4, 1382–1394. [Google Scholar] [CrossRef]
- Stefan-van Staden, R.I.; Ilie-Mihai, R.M.; Coros, M.; Pruneanu, S.M. Molecular Recognition and Quantification of MLH1, MSH2, MSH6, PMS2 and KRAS in biological samples. ECS Sens. Plus 2022, 1, 031606. [Google Scholar] [CrossRef]
- Stefan-van Staden, R.I.; Musat, O.R.; Gheorghe, D.C.; Ilie-Mihai, R.M. Ultrasensitive assay of HER-1, HER-2, and heregulin-α in whole blood. Talanta Open 2022, 6, 100151. [Google Scholar] [CrossRef]









| Maspin Concentration < 160 pg/mL | Maspin Concentration > 160 pg/mL | ||||
|---|---|---|---|---|---|
| No = 14 | No = 15 | ||||
| Budding | No | % | Budding | No | % | 
| 0 | 0 | 0.00% | 0 | 2 | 13.33% | 
| 1 | 2 | 14.29% | 1 | 5 | 33.33% | 
| 2 | 6 | 42.86% | 2 | 6 | 40.00% | 
| 3 | 6 | 42.86% | 3 | 2 | 13.33% | 
| 0 and 1 | 2 | 14.29% | 0 and 1 | 7 | 46.67% | 
| 2 and 3 | 12 | 85.71% | 2 and 3 | 8 | 53.33% | 
| Whole Blood | Molecular Subtype | Whole Blood | Molecular Subtype | ||
|---|---|---|---|---|---|
| Maspin (pg/mL) | SD | Maspin (pg/mL) | SD | ||
| 4.56 | 0.06 | Epithelial | 189.25 | 0.03 | Epithelial | 
| 38.59 | 0.02 | - | 191.78 | 0.03 | Hybrid | 
| 51.68 | 0.03 | Epithelial | 195.6 | 0.04 | Epithelial | 
| 53.14 | 0.02 | - | 198.68 | 0.03 | Epithelial | 
| 59.08 | 0.02 | Epithelial | 201.9 | 0.05 | Epithelial | 
| 69.08 | 0.03 | Epithelial | 201.9 | 0.03 | Epithelial | 
| 69.08 | 0.05 | Epithelial | 274.3 | 0.03 | Hybrid | 
| 100.7 | 0.04 | Hybrid | 286.65 | 0.02 | Hybrid | 
| 119.68 | 0.04 | Hybrid | 330.93 | 0.04 | Hybrid | 
| 130.87 | 0.02 | Hybrid | 360.72 | 0.05 | Epithelial | 
| 136.41 | 0.03 | Mesenchymal | 366.35 | 0.04 | Hybrid | 
| 147.76 | 0.04 | - | 424.67 | 0.03 | Epithelial | 
| 150.91 | 0.05 | Hybrid | 436.87 | 0.03 | Epithelial | 
| 151.3 | 0.05 | - | 454.63 | 0.04 | Hybrid | 
| 165.84 | 0.02 | Hybrid | 454.9 | 0.02 | Epithelial | 
| 182.36 | 0.04 | Epithelial | |||
| Location | Maspin (pg/mL) | Average Value of Maspin Concentration (pg/mL) | Maspin Concentration < 180 pg/mL | Maspin Concentration > 180 pg/mL | ||||||
|---|---|---|---|---|---|---|---|---|---|---|
| Number | % | Number | % | Number | % | Number | % | |||
| Ascending colon | 130.87 | 261.51 | 1 | 16.67 | 2 | 22.22 | 5 | 83.33 | 7 | 77.78 | 
| 182.36 | ||||||||||
| 195.60 | ||||||||||
| 198.68 | ||||||||||
| 424.67 | ||||||||||
| 436.87 | ||||||||||
| 69.08 | 209.07 | 1 | 33.33 | 2 | 66.67 | |||||
| Transverse colon | 191.78 | |||||||||
| 366.35 | ||||||||||
| Descending colon | 4.56 | 21.58 | 2 | 100.00 | 13 | 59.09 | 0 | 0.00 | 9 | 40.91 | 
| 38.59 | ||||||||||
| Sigmoid colon | 150.91 | 216.21 | 2 | 50.00 | 2 | 50.00 | ||||
| 151.30 | ||||||||||
| 201.90 | ||||||||||
| 360.72 | ||||||||||
| Rectosigmoid colon | 330.93 | 186.06 | 3 | 50.00 | 3 | 50.00 | ||||
| 51.68 | ||||||||||
| 53.14 | ||||||||||
| 119.68 | ||||||||||
| 274.30 | ||||||||||
| 286.65 | ||||||||||
| Rectum | 59.08 | 197.96 | 6 | 60.00 | 4 | 40.00 | ||||
| 69.08 | ||||||||||
| 100.70 | ||||||||||
| 136.41 | ||||||||||
| 147.76 | ||||||||||
| 165.84 | ||||||||||
| 201.90 | ||||||||||
| 454.63 | ||||||||||
| 454.90 | ||||||||||
| 189.25 | ||||||||||
| Location | Maspin (pg/mL) | Average Value of Maspin Concentration (pg/mL) | Maspin Concentration < 180 pg/mL | Maspin Concentration > 180 pg/mL | ||||||||
|---|---|---|---|---|---|---|---|---|---|---|---|---|
| Number | % | Number | % | Number | % | Number | % | |||||
| Ascending colon | 170.30 | 404.93 | 1 | 16.67 | 2 | 22.22 | 5 | 83.33 | 7 | 77.78 | ||
| 295.64 | ||||||||||||
| 369.47 | ||||||||||||
| 500.98 | ||||||||||||
| 537.08 | ||||||||||||
| 556.10 | ||||||||||||
| 100.11 | 263.34 | 1 | 33.33 | 2 | 66.67 | |||||||
| Transverse colon | 296.78 | |||||||||||
| 393.14 | ||||||||||||
| Descending colon | 120.65 | 160.77 | 2 | 100.00 | 18 | 85.71 | 0 | 0.00 | 3 | 14.29 | ||
| 200.89 | ||||||||||||
| Sigmoid colon | 153.20 | 214.50 | 4 | 100.00 | 0 | 0.00 | ||||||
| 223.75 | ||||||||||||
| 237.32 | ||||||||||||
| 243.74 | ||||||||||||
| Rectosigmoid colon | 239.25 | 310.59 | 4 | 80.00 | 1 | 20.00 | ||||||
| 145.61 | ||||||||||||
| 274.49 | ||||||||||||
| 291.59 | ||||||||||||
| 602.02 | ||||||||||||
| 131.47 | ||||||||||||
| Rectum | 217.99 | 312.88 | 8 | 80.00 | 2 | 20.00 | ||||||
| 219.88 | ||||||||||||
| 222.45 | ||||||||||||
| 222.46 | ||||||||||||
| 252.50 | ||||||||||||
| 280.58 | ||||||||||||
| 301.86 | ||||||||||||
| 973.14 | ||||||||||||
| 125.06 | ||||||||||||
| Budding | 0 | 1 | 2 | 3 | |
|---|---|---|---|---|---|
| Number for values of maspin concentration | <250 pg/mL | 0 | 4 | 6 | 1 | 
| >250 pg/mL | 1 | 1 | 4 | 3 | |
| Total | 1 | 5 | 10 | 4 | |
| Percents per values of maspin concentration | <250 pg/mL | 0% | 80% | 60% | 25% | 
| >250 pg/mL | 100% | 20% | 40% | 75% | |
| Macroscopic Feature | Maspin Concentration < 200 pg/mL | Maspin Concentration > 200 pg/mL | ||
|---|---|---|---|---|
| No | % | No | % | |
| Vegetant | 2 | 25.00% | 5 | 35.71% | 
| Non-vegetant | 6 | 75.00% | 9 | 64.29% | 
| Values of maspin concentration in urine samples | Over 250 pg/mL | Budding | 0 | 1 | 2 | 3 | 
| Number | 1 | 2 | 3 | 2 | ||
| Percent | 12.5% | 25% | 37.5% | 25% | ||
| Under 250 pg/mL | Budding | 0 | 1 | 2 | 3 | |
| Number | 0 | 1 | 7 | 5 | ||
| Percent | 0% | 7.69% | 53.85% | 38.46% | 
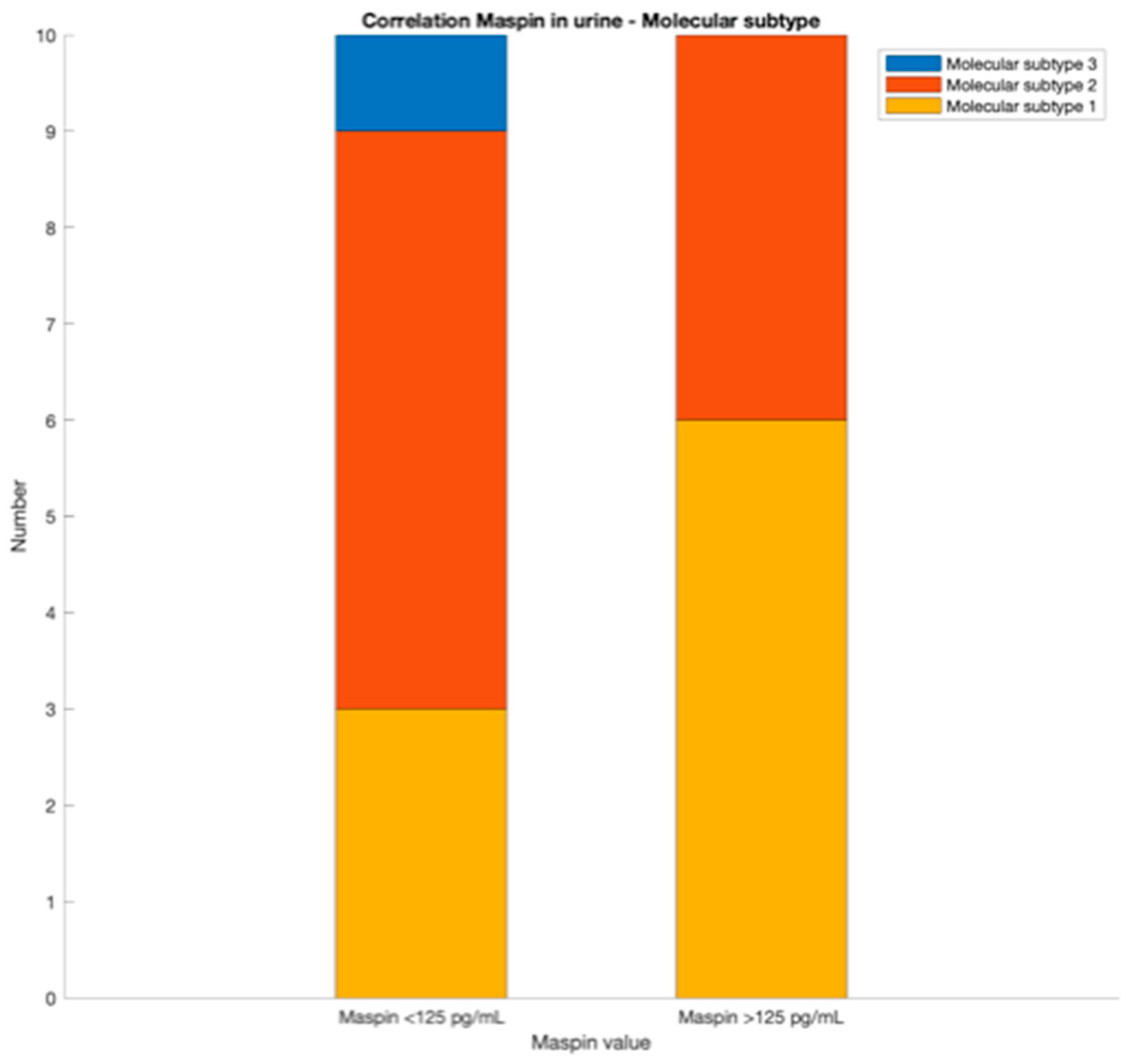
| Value of maspin concentration in urine samples | >125 pg/mL | Molecular subtype | Epithelial | Hybrid | Mesenchymal | 
| Number | 6 | 4 | 0 | ||
| % | 60 | 40 | 0 | ||
| <125 pg/mL | Molecular subtype | Epithelial | Hybrid | Mesenchymal | |
| Number | 3 | 6 | 1 | ||
| % | 30 | 60 | 10 | 
| Disclaimer/Publisher’s Note: The statements, opinions and data contained in all publications are solely those of the individual author(s) and contributor(s) and not of MDPI and/or the editor(s). MDPI and/or the editor(s) disclaim responsibility for any injury to people or property resulting from any ideas, methods, instructions or products referred to in the content. | 
© 2023 by the authors. Licensee MDPI, Basel, Switzerland. This article is an open access article distributed under the terms and conditions of the Creative Commons Attribution (CC BY) license (https://creativecommons.org/licenses/by/4.0/).
Share and Cite
Bratei, A.A.; Stefan-van Staden, R.-I. Correlation between Maspin Levels in Different Biological Samples and Pathologic Features in Colorectal Adenocarcinomas. Life 2023, 13, 1060. https://doi.org/10.3390/life13041060
Bratei AA, Stefan-van Staden R-I. Correlation between Maspin Levels in Different Biological Samples and Pathologic Features in Colorectal Adenocarcinomas. Life. 2023; 13(4):1060. https://doi.org/10.3390/life13041060
Chicago/Turabian StyleBratei, Alexandru Adrian, and Raluca-Ioana Stefan-van Staden. 2023. "Correlation between Maspin Levels in Different Biological Samples and Pathologic Features in Colorectal Adenocarcinomas" Life 13, no. 4: 1060. https://doi.org/10.3390/life13041060
APA StyleBratei, A. A., & Stefan-van Staden, R.-I. (2023). Correlation between Maspin Levels in Different Biological Samples and Pathologic Features in Colorectal Adenocarcinomas. Life, 13(4), 1060. https://doi.org/10.3390/life13041060
 
        



 
       