Next Article in Journal
Stable Coronary Artery Disease: Who Finally Benefits from Coronary Revascularization in the Modern Era? The ISCHEMIA and Interim ISCHEMIA-EXTEND Analysis
Next Article in Special Issue
A Case of Delirious Mania Treated with Electroconvulsive Therapy
Previous Article in Journal
Thermal Differences in the Plantar Surface Skin of the Foot after Using Three Different Lining Materials for Plantar Orthotics
Previous Article in Special Issue
Pramipexole Augmentation for Treatment-Resistant Unipolar and Bipolar Depression in the Real World: A Systematic Review and Meta-Analysis
 
 
Font Type:
Arial Georgia Verdana
Font Size:
Aa Aa Aa
Line Spacing:
Column Width:
Background:
Systematic Review

Will Transcranial Magnetic Stimulation Improve the Treatment of Obsessive–Compulsive Disorder? A Systematic Review and Meta-Analysis of Current Targets and Clinical Evidence

Brain Center Firenze, 50144 Florence, Italy
*
Author to whom correspondence should be addressed.
Life 2023, 13(7), 1494; https://doi.org/10.3390/life13071494
Submission received: 20 March 2023 / Revised: 2 June 2023 / Accepted: 6 June 2023 / Published: 1 July 2023
(This article belongs to the Special Issue What Is New in Psychiatry and Psychopharmacology?)

Abstract

Background: Although in 2017 a repetitive transcranial magnetic stimulation (rTMS) protocol received Food and Drug Administration approval for the first time for the treatment of obsessive–compulsive disorder (OCD), which neural target and which protocol should be used for OCD are still debated. The aim of the present study was to perform a systematic review and meta-analysis of the available open and sham-controlled trials. Methods: The primary analysis included a pairwise meta-analysis (over 31 trials), and then subgroup analyses were performed for each targeted brain area. Meta-regression analyses explored the possible moderators of effect size. Results: The pairwise meta-analysis showed a significant reduction in OCD symptoms following active rTMS (g = −0.45 [95%CI: −0.62, −0.29]) with moderate heterogeneity (I2 = 34.9%). Subgroup analyses showed a significant effect of rTMS over the bilateral pre-SMA (supplementary motor area), the DLPFC (dorsolateral prefrontal cortex), the ACC/mPFC (anterior cingulate cortex and medial prefrontal cortex), and the OFC (orbitofrontal cortex). No moderators of the effect size emerged. Conclusions: TMS of several brain targets represents a safe and effective treatment option for OCD patients. Further studies are needed to help clinicians to individualize TMS protocols and targets for each patient.
Keywords:
TMS; OCD; SMA; DLPFC; ACC; mPFC; OFC; deepTMS; iTBS; cTBS

1. Introduction

Obsessive–compulsive disorder (OCD) is a chronic condition affecting 1–3% of the general population, characterized by repeated experience of unwanted, distressing, and intrusive thoughts (obsessions) and/or repetitive or ritualized behaviors (compulsions), usually performed to reduce obsession-associated anxiety. Selective serotonin reuptake inhibitors (SSRIs) and exposure and response prevention (ERP)-based cognitive–behavioral therapy (CBT) are two strongly evidence-based first-line approaches, well established in clinical practice internationally and summarized in consensus guidelines [1,2]. However, up to 40–60% of patients still do not respond to these treatments [3]. Consequently, in the last 20 years, many efforts have been made in order to find effective augmentation strategies for SSRIs and/or CBT. In OCD pharmacology, a number of options for treatment-resistant patients now exist. However, after SSRIs, no other pharmacological agents have been approved for OCD by the principal regulatory agencies (such as the Food and Drug Administration (FDA) in the United States). On the other hand, neuromodulation techniques have become more and more relevant for the treatment of several psychiatric disorders and both the invasive technique of deep brain stimulation (DBS) and the non-invasive technique of transcranial magnetic stimulation (TMS) have received FDA approval for the treatment of OCD. Indeed, DBS of the anterior limb of the internal capsule was granted humanitarian device exemption in 2009 by the FDA for the treatment of severely debilitating, treatment-refractory OCD, while deep TMS of the anterior cingulate cortex and dorsomedial prefrontal cortex received FDA approval for OCD in 2017 [4]. However, beyond FDA approval for the deep TMS protocol, several other TMS protocols over different neural targets have been studied in the last 15 years and there is still not a clear consensus on which protocol should be recommended in clinical practice. Thus, the aim of the present paper was to conduct a systematic review and a meta-analysis of existing studies on TMS for OCD in order to answer a series of relevant clinical questions: (1) is TMS effective for the treatment of OCD? (2) Is there a neural target and/or TMS protocol that seem to be better than others? (3) Is there a profile of the optimal OCD candidate for TMS treatment?

2. Materials and Methods

This report was written according to the Preferred Reporting Items for Systematic Reviews and Meta-Analyses (PRISMA) guidelines [5]. PRIMA checklist is available in Supplementary Materials.

2.1. Search Strategy and Eligibility Criteria

A comprehensive search of the literature was performed by consulting four databases: PubMed, APA PsychInfo, Web of Science, and Cochrane Library from the earliest publication up to December 2022. The search keywords used were (“obsessive compulsive disorder” OR “OCD” or “obsessions” OR “compulsions”) AND (“magnetic stimulation” OR “rTMS” OR “transcranial magnetic” OR “theta burst stimulation” OR “iTBS” OR “cTBS” OR “TMS” OR “dTMS”). Two authors (G.G. and C.M.) independently performed the literature search.
The following studies were included in the systematic review: (1) open trials, randomized controlled trials (RCTs), and single- or double-blinded trials with either a parallel or crossover design enrolling adult patients (≥18 years) with a primary diagnosis of OCD according to the DSM-5 (APA, 2013) or the ICD-11; (2) studies including the Yale–Brown Obsessive–Compulsive Scale (Y-BOCS) assessment to evaluate OCD symptom changes before and after treatment [6]; (3) trials using any form of rTMS stimulation (i.e., rTMS, iTBS, cTBS, dTMS, alpha-guided rTMS, with or without neuronavigation) and/or sham TMS (i.e., sham coil, tilted coil, or deactivated coil) for at least five treatment sessions with or without adjuvant/add-on treatment; (4) studies with at least five subjects per branch of treatment (active or sham); and (5) peer-reviewed and English-language studies. The following studies were excluded from the systematic review: (1) review articles, single-case studies, case series, case reports, and retrospective studies; (2) studies on subjects with OCD not as the primary diagnosis; (3) trials with fewer than five treatment sessions and/or fewer than five subjects and/or not using the Y-BOCS assessment; and (3) studies using non-repetitive TMS such as single- or double-pulse TMS. The meta-analysis was conducted on the studies fulfilling the inclusion and exclusion criteria but was limited to sham-controlled trials.

2.2. Study Selection

The first step of the analysis focused on eliminating duplicate studies. Then, each title of the selected studies was reviewed excluding those that were ineligible. As a third step, the abstracts were evaluated removing those that did not meet the inclusion/exclusion criteria. Finally, the remaining studies had their full texts reviewed. Data extraction was conducted independently by two researchers (G.G. and C.C.). In the event of any disagreement, the research group took part in discussions in order to reach consensus.

2.3. Data Extraction and Outcome Measures

Data meeting the inclusion criteria were extracted and placed in a structured Excel sheet by C.M. The extraction of the study data into tabulated spreadsheets was carried out by G.G. and double-checked by C.C. The following data were researched from each study: (1) treatment effects: pre- and post-treatment YBOCS scores; (2) treatment protocol: coil type, TMS frequency and intensity of stimulation, stimulation location, method of identification of stimulation location, number of pulses per session and total pulses, total number of sessions, type of sham condition, and symptom provocation during TMS treatment; (3) tolerability and safety: dropout rates and presence of serious adverse events (AE); and (4) other potential moderator variables: mean age, sex distribution, ongoing treatments (medication or psychotherapy), rates of comorbidities, and treatment resistance. When means and standard deviations were not available, these were calculated from the available data, following guidance in the Cochrane Handbook [7]. When standard deviations could not be calculated from the available data, they were imputed according to Wan et al [8]. The study authors were contacted in case of missing data for the primary outcome measure. In case of no response, the missing data were extracted from other studies, but when data were unavailable, the study was excluded from the meta-analysis.

2.4. Risk of Bias Assessment

The risk of bias was calculated according to the Cochrane risk of bias tool and each study was classified as high risk, unclear risk, or low risk [9].

2.5. Statistical Analysis

Pairwise meta-analyses were carried out using the Statistical Package for the Social Sciences v29 (SPSS). Hedge’s g based on the random effects model was used to estimate the effect of the active rTMS group versus the sham rTMS control group. Following Cohen’s convention, an effect size of 0.2 was considered small, 0.5 was considered moderate, and 0.8 was considered large. The effect size was calculated by reporting the sample size, mean, and standard deviation of the Y-BOCS post-treatment scores of the active and sham groups for each study. The post-treatment score was favored over multiple follow-ups, with it being the most frequent measure reported across all papers. For crossover trials, only the measures before the crossover were considered. In the case of studies with more than one type of rTMS, matched with sham, the sham’s sample size was split following the recommendation of the Cochrane Handbook [10].
Subgroup analyses of the primary pairwise meta-analysis were carried out. Hedge’s g based on random or fixed effects models were selected depending on the homogeneity test. The subgroups were based on: (1) brain target; (2) rTMS vs. cTBS over the pre-SMA (3) stimulation of different brain sides over the DLPFC; and (4) high- or low-frequency stimulation for each side of the brain and targeted area. A meta-regression analysis was also carried out to explore the possible effect of continuous and categorical moderator variables of the rTMS effect (total number of stimuli, total number of sessions, mean age of the participants, and percentage of females in the active group). Heterogeneity was assessed using the I2 statistic and interpreted following the Cochrane guidelines [7]. Publication bias was evaluated by checking funnel plots to test for any asymmetry. Moreover, Egger’s regression test [11] was used to infer a possible problem of publication bias.

3. Results

3.1. Systematic Review and Meta-Analytic Results Overview

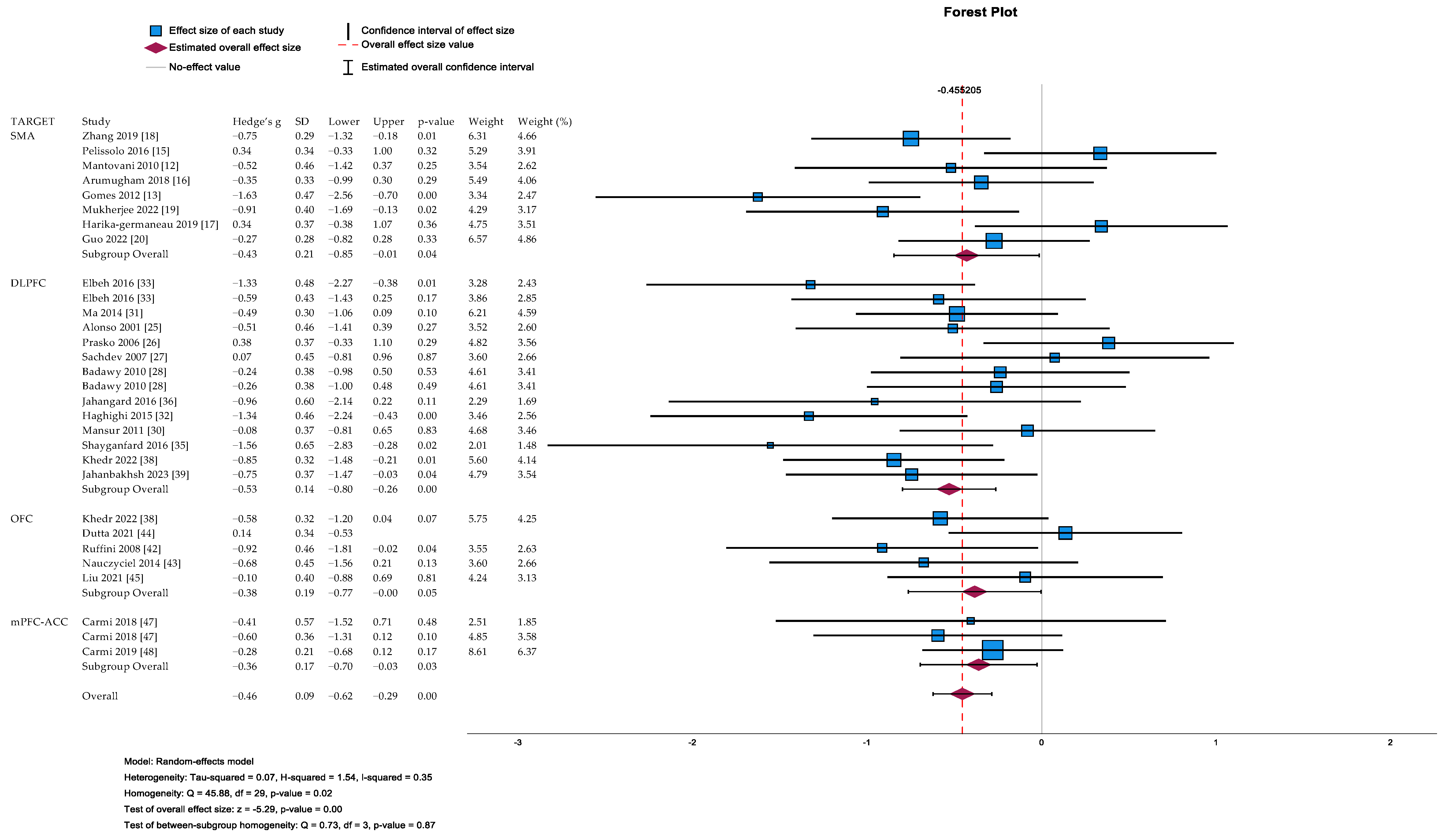
Forty-three studies of the 1912 initial records were selected and included in the systematic review, and 31 of these were included in the meta-analysis (see Table 1 and Figure 1) [12,13,14,15,16,17,18,19,20,21,22,23,24,25,26,27,28,29,30,31,32,33,34,35,36,37,38,39,40,41,42,43,44,45,46,47,48,49,50,51,52,53,54]. The studies were grouped according to the brain area targeted with TMS. For the meta-analysis, we excluded two studies [34,37] because of missing data that could not be obtained (Y-BOCS means and standard deviations pre and/or post treatment). Two other studies were excluded from the analyses due to publication bias [14,29]. A total of 485 patients with active TMS and 407 patients with sham rTMS were evaluated. The study by Kang et al. [53] was not included given that the stimulation protocol of this study sequentially targeted two brain areas (the right DLPFC and the pre-SMA). The primary analysis showed a significant reduction in the post-treatment Y-BOCS score in the active TMS group compared to the sham TMS group (Hedge’s g = −0.45 [95%CI: −0.62, −0.29], p < 0.001). The heterogeneity was moderate (Q(df = 29) = 45.88, I2 = 34.9%, p = 0.024). Egger’s regression intercept was not significant (intercept = 0.35, p = 0.34). The risk of bias calculated according to the Cochrane risk of bias tool revealed a generally reasonable quality, with most studies receiving a low or unknown risk of bias score. Egger’s regression test did not show problems of publication bias.

3.2. Clinical Moderators of Post-Treatment Y-BOCS Score Reduction

A meta-regression of the initial pairwise meta-analysis was carried out in order to verify the possible effect of different moderators in decreasing Y-BOCS scores for the active group. The moderators considered were age, the percentage of females, the total number of sessions, the total number of stimuli, and the frequency of stimulation. No differences in the TMS effect were found with these types of moderators (F = 4.71, p = 0.58).

3.3. Systematic Review and Meta-Analytic Results Grouped for Brain Targets

The rationale for TMS across different brain targets in OCD is based on its mechanism of action. Indeed, TMS is able to modulate neural networks by inducing an excitatory effect (through high-frequency rTMS or intermittent theta burst (iTBS) protocols) or an inhibitory effect (through low-frequency rTMS or continuous theta burst (cTBS) protocols) on the targeted area. In addition, TMS is known to induce long-lasting changes in neural networks through long-term potentiation and long-term depression mechanisms and by inducing neurotrophic factors increase in the brain (e.g., BDNF). Therefore, TMS has been hypothesized to induce acute and long-lasting changes in the cortico-striatal loops implicated in OCD pathophysiology. Here, we summarized the rationale and the current evidence of TMS for OCD for each brain target from a Research Domain Criteria perspective.

3.3.1. Pre-Supplementary Motor Area (pre-SMA) Studies

Systematic Review Results
From the Research Domain Criteria (RdoC) perspective, the pre-supplementary motor area (pre-SMA) is a relevant node of the brain network involved in action planning, selection, initiation, and termination (www.nimh.nih.gov (accessed on 10 March 2023)). For this role, it is involved in the neurobiology of both impulsivity and compulsivity. Several studies have shown its involvement in OCD and especially in the impaired motor response inhibition observed in OCD patients [55,56]. Thus, the pre-SMA became a TMS target more than 10 years ago (with the first study by Mantovani et al. in 2010 [12]), and it has been largely investigated in the last few years. According to a recent international survey, the pre-SMA is the most used TMS target across specialized OCD centers providing neuromodulation for their patients (around 48% of centers) [57]. In our systematic review, we found nine double-blind sham-controlled (DBPC) trials and four open-label studies (see Table 1). Of the thirteen studies, only three are multi-center studies (two in the same country and one across two countries). In most studies, the patients were treatment resistant and under current medication (one controlled and one open trial were on non-resistant patients; in one controlled study, the patients started medication together with TMS; one open trial did not report the medication status). Comorbid patients were excluded in only one controlled study. Apparently, none of the studies were sponsored by a TMS manufacturer. Both the sham-controlled and the open trials have small sample sizes (ranging from 9 to 25 patients for the active branch in the controlled trials and from 8 to 35 patients in the open trials). All studies used a figure-8-shaped coil (of different brands). Of the sham-controlled trials, seven out of nine used a sham coil while two trials used a tilted coil as a sham procedure. The pre-SMA was detected with the 10–20 EEG system in 10 out of 12 studies while 2 studies used a neuronavigation system. Ten studies used a 1 Hz rTMS protocol while three studies used a cTBS (continuous theta burst stimulation) protocol. The number of sessions ranged from 10 to 30 and the total amount of stimuli ranged from 12,000 to 30,000. None of the studies used symptom provocation during the TMS sessions. Only six studies reported a follow-up assessment (ranging from 8 to 12 weeks). No serious side effects occurred across all studies and mild and transient headache was the most frequently reported side effect.
Meta-Analytic Results
Eight out of nine of the DBPC studies were included in the meta-analysis. Hawken et al. [14] were excluded because of publication bias. The effect of TMS treatment delivered over the bilateral pre-SMA revealed a significant reduction in the post-treatment Y-BOCS score (Hedge’s g = −0.43 [95%CI: −0.85, −0.014], p = 0.043) with a moderate effect size and high heterogeneity (I2 = 64%). Egger’s regression intercept was not significant (intercept = 0.98, p = 0.44). Possible differences in effect sizes were investigated for different TMS protocols (rTMS vs. cTBS) over the bilateral pre-SMA. The effect of both rTMS and cTBS was not significant in changing the post-treatment Y-BOCS score in the active group compared to the sham group (Hedge’s g = −0.54 [95%CI: −1.13, 0.50], p = 0.07, I2 = 70% vs. Hedge’s g = −0.27 [95%CI: −0.93, 0.39], p = 0.42, I2 = 64%) (see Figure 2).

3.3.2. Dorsolateral Prefrontal Cortex (DLPFC) Studies

Systematic Review Results
From the RDoC perspective, the dorsolateral prefrontal cortex (DLPFC) is a relevant node of the brain network involved in cognitive control (goal selection and response selection/inhibition) and working memory (flexible updating, interference control, and limited capacity) (www.nimh.nih.gov (accessed on 10 March 2023)). The DLPFC has been targeted in TMS trials for its role in cognitive control and for its putative indirect control of other brain areas implicated in OCD neurobiology (such as the anterior cingulate cortex or the orbitofrontal cortex) [58]. According to a recent international survey, the DLPFC represents a TMS target in 22% of specialized OCD centers providing neuromodulation for their patients [57]. In our systematic review, we found 15 sham-controlled trials (11 double-blind sham-controlled, 1 single-blind sham-controlled, and 3 cross-over sham-controlled) and 2 open-label studies. None of the 17 studies are multi-center studies. Twelve out of seventeen studies were on resistant patients and in all studies, the patients were taking medication on an ongoing basis (except for one branch of a single study that included unmedicated patients). Comorbid patients were clearly excluded in three studies and clearly included in four studies (all the other studies did not clearly report the percentage of comorbid patients). Apparently, none of the studies were sponsored by a TMS manufacturer. Both the sham-controlled and the open trials have small sample sizes (ranging from 5 to 25 patients for the active branch in the controlled trials and 7 to 27 patients in the open trials). All studies used a figure-8-shaped coil (of different brands) (except one study not reporting the type of coil used). Of the sham-controlled trials, 10 out of 15 used a tilted coil as a sham procedure, 3 used a deactivated coil, and only 2 used a proper sham coil. The DLPFC was detected with the 10–20 EEG system in 15 out of 16 studies while only 1 study used a neuronavigation system. Seven studies targeted the right DLPFC, 6 studies targeted the left DLPFC, and 4 studies targeted the DLPFC bilaterally. Seven studies used a 1 Hz rTMS protocol, 4 studies used a 10 Hz protocol, 4 studies used a 20 Hz protocol, 1 study used an alpha-guided protocol (frequency ranging from 8 to 12 Hz according to EEG data), 1 study used an intermittent TBS (iTBS) protocol, and 1 study used a continuous TBS (cTBS) protocol. Across different studies, the right and left DLPFC were targeted with both high- and low-frequency protocols. The number of sessions ranged from 10 to 30 and the total amount of stimuli ranged greatly from 15,000 to 90,000. None of the studies used symptom provocation during the TMS sessions. Eleven out of 17 studies reported a follow-up assessment (ranging from 1 to 36 weeks). No serious side effects occurred across all studies and mild, and transient headache was the most frequently reported side effect.
Meta-Analytic Results
Twelve out of seventeen studies were included in the meta-analysis. The active branches of two studies with three different branches (two active branches stimulating the DLPFC at different frequencies and one sham branch) were considered separately by splitting the sham control group as explained in the methods [28,33]. The analysis revealed a significant moderate effect of rTMS treatment in reducing the Y-BOCS post-treatment score for the active group (Hedge’s g = −0.53 [95%CI: −0.80, −0.26], p < 0.001, with moderate heterogeneity (I = 35.2%), Egger’s intercept = 0.60, p = 0.92). Differences in treatment efficacy were evaluated for different stimulation protocols over the DLPFC. Differences in effect sizes were evaluated for stimulation over the left DLPFC vs. bilateral DLPFC vs. right DLPFC. The analyses revealed that the stimulation of the rDLPFC and bilateral DLPFC showed a significant decrease in the post-treatment Y-BOCS score for the active group (Hedge’s g = −0.17 [95%CI: −0.51, 1.66], p = 0.32, I2 = 22% vs. Hedge’s g = −0.85 [95%CI: −1.27, −0.42] p < 0.001, I2 = 21.5% vs. Hedge’s g = −0.64 [95%CI: −0.99, −0.29], p < 0.001, I2 = 16%). In particular, the stimulation of both sides of the DLPFC seems to produce a greater decrease in the Y-BOCS score compared to the right DLPFC (g = −0.85 vs. g = −0.64). Subsequently, differences in the treatment effect were investigated within studies where rTMS was delivered over the left DLPFC with either high or low frequency. No significant effects were found (Hedge’s g = −0.33 [95%CI: −0.71, 0.53], p = 0.09 vs. Hedge’s g = −0.38 [95%CI: −0.33, 1.10], p = 0.29). A similar comparison (high frequency versus low frequency) was also carried out for rTMS stimulation on the right DLPFC. A significant effect size was found for stimulation with low frequency on the right DLPFC (Hedge’s g = −0.30 [95%CI: −0.85, 0.25], p = 0.29, I2 = 0% vs. Hedge’s g = −0.87 [95%CI: −1.33, −0.42], p < 0.001, I2 = 0%) (see Figure 2).

3.3.3. Orbitofrontal Cortex (OFC) Studies

Systematic Review Results
The orbitofrontal cortex (OFC) has been consistently involved in OCD pathophysiology since early neuroimaging studies more than 20 years ago [59]. Since then, many neuroimaging studies have described OFC hyperactivity in OCD patients vs. controls. Thus, the OFC represents a core node, the so-called cortico-striato-thalamo-cortical (CSTC) loop involved in OCD pathophysiology [60]. This fact has also been corroborated in an influential preclinical study using optogenetic techniques [61]. Indeed, this study showed that optogenetic-induced OFC-ventral striatum hyperactivity is able to generate compulsive-like behaviors in mice that are reversed by chronic fluoxetine administration. From the RDoC perspective, the OFC is a relevant node of the brain networks involved in both positive valence system (reward responsiveness: processes evoked by the initial presentation of a positive reinforcer as reflected by indices of neuronal activity and verbal or behavioral responses) and negative valence system (loss: a state of deprivation of a motivationally significant con-specific, object, or situation) (www.nimh.nih.gov (accessed on 10 March 2023)). According to a recent international survey, the OFC represents a TMS target in 14.8% of specialized OCD centers providing neuromodulation for their patients [57]. In our systematic review, we found five sham-controlled trials (four double-blind sham-controlled and one cross-over sham-controlled). None of the five studies were multi-center studies. Four out of five studies were on resistant patients and in all studies, the patients were taking medication on an ongoing basis. All the studies did not clearly report the rate of comorbid patients. Apparently, none of the studies were sponsored by a TMS manufacturer. All the OFC studies have small sample sizes (ranging from 10 to 20 patients for the active branch). Three studies used a figure-8-shaped coil (of different brands). Three studies used a sham coil while the other two used a tilted coil as a sham procedure. The OFC was detected with the 10–20 EEG system in all studies. Three studies targeted the right OFC while the other two targeted the left OFC. Three studies used a 1 Hz rTMS protocol and two studies used a continuous TBS (cTBS) protocol. The number of sessions ranged from 10 to 20 and the total amount of stimuli ranged greatly from 6000 to 15,000. None of the studies used symptom provocation during the TMS sessions. Four of the five studies reported a follow-up assessment (ranging from 2 to 12 weeks). No serious side effects occurred across all studies, and mild and transient headache was the most frequently reported side effect.
Meta-Analytic Results
A meta-analysis carried out on five studies showed that TMS delivered on the OFC provided a significant reduction in the post-treatment Y-BOCS score in the active group compared to the sham group (Hedge’s g = −0.39 [95%CI: −0.76, −0.004], p = 0.048, I2 = 21%, Egger’s intercept = 0.80, p = 0.62). Subsequently, differences in treatment effects were investigated within studies where TMS was delivered either over the left OFC or the right OFC. The results revealed a significant effect size for TMS over the right OFC (Hedge’s g = −0.46 [95%CI: −0.89, −0.035], p = 0.034, I2 = 0%), whereas no significant effect was found for TMS over the left OFC (Hedge’s g = −0.24 [95%CI: −0.77, 0.29], p = 0.37, I2 = 70%) (see Figure 2).

3.3.4. Medial Prefrontal Cortex (mPFC)/Anterior Cingulate Cortex (ACC) Studies

Systematic Review Results
The medial prefrontal cortex (mPFC)/anterior cingulate cortex (ACC) have been the most recently targeted circuitries in TSM studies for OCD. This target has been achieved through the use of a deep TMS coil (the so-called H7-coil, manufactured by Brainsway), and the protocol from the Carmi et al. 2019 [48] study became the first TMS protocol approved by the FDA for the treatment of OCD (for more details see the above study). Recently, the FDA approved another coil (the DB-80 coil manufactured by Magventure) for the treatment of OCD, despite some authors arguing against this approval, suggesting that the two coils (the H7 and the DB-80) create different current flow and stimulated areas [62]. The two targets (mPFC and the ACC) are targeted together and simultaneously since the available coils reach the ACC, passing through (and therefore stimulating) the dorsal mPFC. The anterior cingulate cortex (ACC) is a spot of the hyperactive cortico-striatal cortical-thalamic (CSCT) loop described in OCD [59]. In addition, the ACC has consistently been reported to be involved in processes that are impaired in OCD, including the integration of thought, motivation, and emotion with movement, response selection before a movement occurs, error monitoring, and the detection of cognitive conflicts [63,64,65,66]. From the RDoC perspective, the ACC is a relevant node of several brain networks involved in different systems. In the positive valence system, the ACC is involved in the reward responsiveness and reward valuation construct; in the negative valence system, it is involved in the acute threat construct (specifically fear); in the cognitive system, it is involved in the performance monitoring subconstruct; and in the social communication system, it is involved in the reception of facial communication (www.nimh.nih.gov (accessed on 10 March 2023)). According to a recent international survey, the ACC represents a TMS target in 3.7% of specialized OCD centers providing neuromodulation for their patients [57]. From the RDoC perspective, the mPFC is a relevant node of the brain networks involved in both the positive valence system (reward learning and specifically the sub-construct habit: sequential, repetitive, motor, or cognitive behaviors elicited by external or internal triggers that, once initiated, can go to completion without constant conscious oversight) and the sensory–motor system (inhibition and termination: processes involved in the inhibition of motor plans, either before or after an action is initiated, and the sense that a motor plan has been successfully completed.) (www.nimh.nih.gov (accessed on 10 March 2023)). All these networks have been potentially implicated in OCD neuroimaging studies and are thought to be substantially implicated in OCD pathophysiology. In our systematic review, we found two sham-controlled trials and four open-label studies. One of the two sham-controlled studies was a multi-center study (the [48] Carmi et al. 2019 study that achieved FDA approval), and one of the four open-label studies was a multi-center study. Three out of six studies were on resistant patients (in the other three, studies the resistance status was not specified) and in all studies, the patients were taking medication on an ongoing basis. Comorbid patients were excluded in the two controlled trials. The two sham-controlled studies and one open multi-center study were sponsored by a TMS manufacturer (Brainsaway). The sample size across the studies ranged from 8 to 42 patients for the active branch of the sham-controlled studies and ranged from 15 to 185 in the open-label studies. All studies except one (using the DB-80 Magventure coil) used the H7 Brainsway coil. The two controlled studies used a sham coil as a sham procedure. The mPFC/ACC was detected with the 10–20 EEG system in all studies. Except for a branch of a controlled trial using a 1 Hz rTMS protocol, all the other studies used a 20 Hz protocol. The number of sessions ranged from 25 to 30 and the total amount of stimuli ranged greatly from 20,000 to 60,000. All the studies used symptom provocation during the TMS sessions. The two controlled studies reported a follow-up assessment of 4 weeks. Only one serious side effect occurred across all studies (one patient with suicidal ideation that required hospitalization). Of note, a single open-label study targeted the bilateral dorsomedial prefrontal cortex (dmPFC) with a 10 Hz protocol (6000 pulses per session) (using the DB-80 Magventure coil) and found a bimodal distribution of rTMS response [46].
Meta-Analytic Results
Two studies were included in the meta-analysis; one of these had two different branches [47] (each one stimulating the mPFC/ACC at different frequencies), which were considered with both of them splitting the sham control group as explained in the methods. For the post-treatment Y-BOCS score, Hedge’s g = −0.36 [95%CI: −0.70, −0.027], p = 0.034 (with heterogeneity (I2 = 0%), Egger’s intercept = −0.16, p = 0.78), indicating small but significant improvement in Y-BOCS in the active group compared to the sham group (see Figure 2).

3.3.5. Multi-Target Studies

Only a few studies to date have tried to target more than one target sequentially. One study described a case series of patients targeted sequentially over the left DLPFC with either iTBS or 10 Hz protocols followed by 1 Hz stimulation of the bilateral pre-SMA and of the right OFC (this latest area was targeted only for those subjects still not responding to the DLPFC-SMA protocol after 10 sessions) [54]. On the other hand, a controlled study on 20 patients (10 for the branch) found no significant effects with respect to a sham treatment of a sequential 1 Hz stimulation of the right DLPFC and of the bilateral pre-SMA [53].

4. Discussion

Although only TMS over the mPFC/ACC has received FDA approval for OCD, several TMS protocols over different brain targets seem to be effective and safe for OCD patients. The meta-analytic results of this study showed that TMS over the bilateral pre-SMA, the DLPFC (especially the bilateral DLPFC), the OFC (especially the right OFC), and the mPFC/ACC seems to be more effective than sham stimulation in reducing OCD symptoms. The effect size ranges from small–moderate (TMS over the mPFC/ACC and OFC) to moderate (TMS over the pre-SMA and DLPFC). The moderator analyses did not show any clear clinical predictor of post-treatment Y-BOCS score reduction. The current evidence is still not sufficient to provide clear indications of a TMS protocol and/or a brain target over the others. This fact is at least partially due to the small sample size and heterogeneity of the TMS protocols and devices across studies. Thus, future controlled multicenter trials directly comparing different targets and protocols are needed. On the other hand, all the different TMS protocols used across the studies were substantially well tolerated and no serious side effects occurred across all studies, with mild and transient headache as the most frequently reported side effect. In the current literature on OCD, only a single case report exists showing epileptic crisis emerging after TMS (specifically after the first session of the FDA-approved protocol of 20 Hz over the mPFC/ACC) [67]. In addition, in that case, the correlation between TMS treatment and seizure onset is not clear. Therefore, as for other disorders, TMS still confirms in the OCD field its substantial safety and tolerability even with respect to most pharmacological approaches. This latter aspect should be taken into account when considering that the current most evidence-based pharmacological augmentation strategy for resistant OCD is the prescription of antidopaminergic agents (medication with poor metabolic tolerability and which could also affect the epileptic threshold). Several aspects of TMS for OCD remain controversial and substantially open fields to be investigated in future studies. One important future goal will be to achieve TMS protocol optimization in order to maximize the balance of cost/effectiveness for each patient. For this purpose, future studies should define the sufficient number of sessions and stimuli for each patient as well as define clinical features or biomarkers to predict the most promising TMS target for a single patient. In addition, defining strategies to augment the TMS effects should be investigated. In this view, the studies targeting the mPFC/ACC coupled the TMS treatment with a symptom provocation protocol during the stimulation in order to activate the targeted circuitries and increase the TMS effect. This approach has not been tested in studies targeting other targets, and its real advantage has not been investigated in controlled studies (e.g., symptom provocation TMS vs. usual TMS). Finally, only a few studies have investigated the effect of theta burst stimulation (TBS) and accelerated protocols on OCD patients. The use of TBS is of particular interest since it allows clinicians to deliver a greater amount of stimuli in a shorter period of time with respect to a conventional rTMS protocol and to administer more than one session per day. Thus, TBS protocols could become a more affordable and cost-effective treatment approach for treating OCD patients.

5. Conclusions

In conclusion, TMS of several brain targets represents a safe and effective treatment option for OCD patients. However, further studies are needed to help clinicians to define which protocol and which brain target should be considered for each patient.

Supplementary Materials

The following supporting information can be downloaded at: https://www.mdpi.com/article/10.3390/life13071494/s1. Table S1: PRISMA checklist.

Author Contributions

G.G.: conceptualization, search of the literature, data extraction, writing—original draft; C.M.: search of the literature, data curation, and formal analysis, writing—original draft; C.C.: search of the literature, data extraction, review and editing. All authors have read and agreed to the published version of the manuscript.

Funding

This research received no external funding.

Institutional Review Board Statement

Not applicable.

Informed Consent Statement

Not applicable.

Data Availability Statement

Not applicable.

Conflicts of Interest

The authors declare no conflict of interest.

References

  1. Van Roessel, P.J.; Grassi, G.; Aboujaoude, E.N.; Menchón, J.M.; Van Ameringen, M.; Rodríguez, C.I. Treatment-resistant OCD: Pharmacotherapies in adults. Compr. Psychiatry 2023, 120, 152352. [Google Scholar] [CrossRef] [PubMed]
  2. Grassi, G.; Cecchelli, C.; Vignozzi, L.; Pacini, S. Investigational and Experimental Drugs to Treat Obsessive-Compulsive Disorder. J. Exp. Pharmacol. 2021, 12, 695–706. [Google Scholar] [CrossRef] [PubMed]
  3. Grassi, G.; Pallanti, S. Current and up-and-coming pharmacotherapy for obsessive-compulsive disorder in adults. Expert Opin. Pharmacother. 2018, 19, 1541–1550. [Google Scholar] [CrossRef] [PubMed]
  4. Grassi, G.; Figee, M.; Ooms, P.; Righi, L.; Nakamae, T.; Pallanti, S.; Schuurman, R.; Denys, D. Impulsivity and decision-making in obsessive-compulsive disorder after effective deep brain stimulation or treatment as usual. CNS Spectr. 2018, 23, 333–339. [Google Scholar] [CrossRef] [PubMed]
  5. Page, M.J.; McKenzie, J.E.; Bossuyt, P.M.; Boutron, I.; Hoffmann, T.C.; Mulrow, C.D.; Shamseer, L.; Tetzlaff, J.M.; Akl, E.A.; Brennan, S.E.; et al. The PRISMA 2020 statement: An updated guideline for reporting systematic reviews. BMJ 2021, 372, n71. [Google Scholar] [CrossRef]
  6. Goodman, W.K.; Price, L.H.; Rasmussen, S.A.; Mazure, C.; Fleischmann, R.L.; Hill, C.L.; Heninger, G.R.; Charney, D.S. The Yale-Brown Obsessive Compulsive Scale. I. Development, use, and reliability. Arch. Gen. Psychiatry 1989, 46, 1006–1011. [Google Scholar] [CrossRef]
  7. Higgins, J.P.; Li, T.; Deeks, J.J. Choosing effect measures and computing estimates of effect. In Cochrane Handbook for Systematic Reviews of Interventions; Higgins, J.P.T., Thomas, J., Chandler, J., Cumpston, M., Li, T., Page, M.J., Welch, V.A., Eds.; The Cochrane Collaboration: London, UK; John Wiley & Sons Ltd.: Hoboken, NJ, USA, 2019. [Google Scholar]
  8. Wan, X.; Wang, W.; Liu, J.; Tong, T. Estimating the sample mean and standard deviation from the sample size, median, range and/or interquartile range. BMC Med. Res. Methodol. 2014, 14, 135. [Google Scholar] [CrossRef]
  9. Sterne, J.A.C.; Savović, J.; Page, M.J.; Elbers, R.G.; Blencowe, N.S.; Boutron, I.; Cates, C.J.; Cheng, H.Y.; Corbett, M.S.; Eldridge, S.M.; et al. RoB 2: A revised tool for assessing risk of bias in randomised trials. BMJ 2019, 366, l4898. [Google Scholar] [CrossRef]
  10. Higgins, J.P.; Eldridge, S.; Li, T. Including variants on randomized trials. In Cochrane Handbook for Systematic Reviews of Interventions; Higgins, J.P.T., Thomas, J., Chandler, J., Cumpston, M., Li, T., Page, M.J., Welch, V.A., Eds.; The Cochrane Collaboration: London, UK; John Wiley & Sons Ltd.: Hoboken, NJ, USA, 2019. [Google Scholar] [CrossRef]
  11. Egger, M.; Davey Smith, G.; Schneider, M.; Minder, C. Bias in meta-analysis detected by a simple, graphical test. BMJ 1997, 315, 629–634. [Google Scholar] [CrossRef]
  12. Mantovani, A.; Simpson, H.B.; Fallon, B.A.; Rossi, S.; Lisanby, S.H. Randomized sham-controlled trial of repetitive transcranial magnetic stimulation in treatment-resistant obsessive-compulsive disorder. Int. J. Neuropsychopharmacol. 2010, 13, 217–227. [Google Scholar] [CrossRef]
  13. Gomes, P.V.; Brasil-Neto, J.P.; Allam, N.; Rodrigues de Souza, E. A randomized, double-blind trial of repetitive transcranial magnetic stimulation in obsessive-compulsive disorder with three-month follow-up. J. Neuropsychiatry Clin. Neurosci. 2012, 24, 437–443. [Google Scholar] [CrossRef] [PubMed]
  14. Hawken, E.R.; Dilkov, D.; Kaludiev, E.; Simek, S.; Zhang, F.; Milev, R. Transcranial Magnetic Stimulation of the Supplementary Motor Area in the Treatment of Obsessive-Compulsive Disorder: A Multi-Site Study. Int. J. Mol. Sci. 2016, 17, 420. [Google Scholar] [CrossRef]
  15. Pelissolo, A.; Harika-Germaneau, G.; Rachid, F.; Gaudeau-Bosma, C.; Tanguy, M.L.; BenAdhira, R.; Bouaziz, N.; Popa, T.; Wassouf, I.; Saba, G.; et al. Repetitive Transcranial Magnetic Stimulation to Supplementary Motor Area in Refractory Obsessive-Compulsive Disorder Treatment: A Sham-Controlled Trial. Int. J. Neuropsychopharmacol. 2016, 19, pyw025. [Google Scholar] [CrossRef] [PubMed]
  16. Arumugham, S.S.; Vs, S.; Hn, M.B.V.; Ravi, M.; Sharma, E.; Thirthalli, J.; Reddy, Y.C.J. Augmentation Effect of Low-Frequency Repetitive Transcranial Magnetic Stimulation Over Presupplementary Motor Area in Obsessive-Compulsive Disorder: A Randomized Controlled Trial. J. ECT 2018, 34, 253–257. [Google Scholar] [CrossRef]
  17. Harika-Germaneau, G.; Rachid, F.; Chatard, A.; Lafay-Chebassier, C.; Solinas, M.; Thirioux, B.; Millet, B.; Langbour, N.; Jaafari, N. Continuous theta burst stimulation over the supplementary motor area in refractory obsessive-compulsive disorder treatment: A randomized sham-controlled trial. Brain Stimul. 2019, 12, 1565–1571. [Google Scholar] [CrossRef]
  18. Zhang, K.; Fan, X.; Yuan, J.; Yin, J.; Su, H.; Hashimoto, K.; Wang, G. Impact of serotonin transporter gene on rTMS augmentation of SSRIs for obsessive compulsive disorder. Neuropsychiatr. Dis. Treat. 2019, 15, 1771–1779. [Google Scholar] [CrossRef]
  19. Mukherjee, A.; Kumre, P.K.; Goyal, N.; Khanra, S. Adjunctive neuronavigated accelerated continuous theta-burst stimulation in obsessive-compulsive disorder: A randomized sham-controlled study. CNS Spectr. 2022, 1–10. [Google Scholar] [CrossRef] [PubMed]
  20. Guo, Q.; Wang, K.; Han, H.; Li, P.; Cheng, J.; Zhu, J.; Wang, Z.; Fan, Q. Continuous theta burst stimulation over the bilateral supplementary motor area in obsessive-compulsive disorder treatment: A clinical randomized single-blind sham-controlled trial. Eur. Psychiatry J. Assoc. Eur. Psychiatr. 2022, 65, e64. [Google Scholar] [CrossRef]
  21. Pallanti, S.; Marras, A.; Salerno, L.; Makris, N.; Hollander, E. Better than treated as usual: Transcranial magnetic stimulation augmentation in selective serotonin reuptake inhibitor-refractory obsessive-compulsive disorder, mini-review and pilot open-label trial. J. Psychopharmacol. 2016, 30, 568–578. [Google Scholar] [CrossRef]
  22. Donse, L.; Sack, A.T.; Fitzgerald, P.B.; Arns, M. Sleep disturbances in obsessive-compulsive disorder: Association with non-response to repetitive transcranial magnetic stimulation (rTMS). J. Anxiety Disord. 2017, 49, 31–39. [Google Scholar] [CrossRef]
  23. Mantovani, A.; Neri, F.; D’Urso, G.; Mencarelli, L.; Tatti, E.; Momi, D.; Menardi, A.; Sprugnoli, G.; Santarnecchi, E.; Rossi, S. Functional connectivity changes and symptoms improvement after personalized, double-daily dosing, repetitive transcranial magnetic stimulation in obsessive-compulsive disorder: A pilot study. J. Psychiatr. Res. 2021, 136, 560–570. [Google Scholar] [CrossRef]
  24. Gajadien, P.T.; Postma, T.S.; van Oostrom, I.; Scheepstra KW, F.; van Dijk, H.; Sack, A.T.; van den Heuvel, O.A.; Arns, M. Sleep predicts the response to rTMS and CBT in patients with OCD: An open label effectiveness study. Int. J. Clin. Health Psychol. IJCHP 2023, 23, 100353. [Google Scholar] [CrossRef] [PubMed]
  25. Alonso, P.; Pujol, J.; Cardoner, N.; Benlloch, L.; Deus, J.; Menchón, J.M.; Capdevila, A.; Vallejo, J. Right prefrontal repetitive transcranial magnetic stimulation in obsessive-compulsive disorder: A double-blind, placebo-controlled study. Am. J. Psychiatry 2001, 158, 1143–1145. [Google Scholar] [CrossRef] [PubMed]
  26. Prasko, J.; Pasková, B.; Záleský, R.; Novák, T.; Kopecek, M.; Bares, M.; Horácek, J. The effect of repetitive transcranial magnetic stimulation (rTMS) on symptoms in obsessive compulsive disorder. A randomized, double blind, sham controlled study. Neuro Endocrinol. Lett. 2006, 27, 327–332. [Google Scholar] [PubMed]
  27. Sachdev, P.S.; Loo, C.K.; Mitchell, P.B.; McFarquhar, T.F.; Malhi, G.S. Repetitive transcranial magnetic stimulation for the treatment of obsessive compulsive disorder: A double-blind controlled investigation. Psychol. Med. 2007, 37, 1645–1649. [Google Scholar] [CrossRef]
  28. Badawy, A.A.; El Sawy, H.; Abd El Hay, M. Efficacy of repetitive transcranial magnetic stimulation in the management of obsessive compulsive disorder Egypt. J. Neurol. Psychiatry Neurosurg. 2010, 47, 393–398. [Google Scholar]
  29. Sarkhel, S.; Sinha, V.K.; Praharaj, S.K. Adjunctive high-frequency right prefrontal repetitive transcranial magnetic stimulation (rTMS) was not effective in obsessive-compulsive disorder but improved secondary depression. J. Anxiety Disord. 2010, 24, 535–539. [Google Scholar] [CrossRef]
  30. Mansur, C.G.; Myczkowki, M.L.; de Barros Cabral, S.; Sartorelli, M.D.C.B.; Bellini, B.B.; Dias, A.M.; Bernik, M.A.; Marcolin, M.A. Placebo effect after prefrontal magnetic stimulation in the treatment of resistant obsessive-compulsive disorder: A randomized controlled trial. Int. J. Neuropsychopharmacol. 2011, 14, 1389–1397. [Google Scholar] [CrossRef]
  31. Ma, X.; Huang, Y.; Liao, L.; Jin, Y. A randomized double-blinded sham-controlled trial of α electroencephalogram-guided transcranial magnetic stimulation for obsessive-compulsive disorder. Chin. Med. J. 2014, 127, 601–606. [Google Scholar]
  32. Haghighi, M.; Shayganfard, M.; Jahangard, L.; Ahmadpanah, M.; Bajoghli, H.; Pirdehghan, A.; Holsboer-Trachsler, E.; Brand, S. Repetitive Transcranial Magnetic Stimulation (rTMS) improves symptoms and reduces clinical illness in patients suffering from OCD—Results from a single-blind, randomized clinical trial with sham cross-over condition. J. Psychiatr. Res. 2015, 68, 238–244. [Google Scholar] [CrossRef]
  33. Elbeh, K.A.M.; Elserogy, Y.M.B.; Khalifa, H.E.; Ahmed, M.A.; Hafez, M.H.; Khedr, E.M. Repetitive transcranial magnetic stimulation in the treatment of obsessive-compulsive disorders: Double blind randomized clinical trial. Psychiatry Res. 2016, 238, 264–269. [Google Scholar] [CrossRef] [PubMed]
  34. Seo, H.J.; Jung, Y.E.; Lim, H.K.; Um, Y.H.; Lee, C.U.; Chae, J.H. Adjunctive Low-frequency Repetitive Transcranial Magnetic Stimulation over the Right Dorsolateral Prefrontal Cortex in Patients with Treatment-resistant Obsessive-compulsive Disorder: A Randomized Controlled Trial. Clin. Psychopharmacol. Neurosci. 2016, 14, 153–160. [Google Scholar] [CrossRef]
  35. Shayganfard, M.; Jahangard, L.; Nazaribadie, M.; Haghighi, M.; Ahmadpanah, M.; Sadeghi Bahmani, D.; Bajoghli, H.; Holsboer-Trachsler, E.; Brand, S. Repetitive Transcranial Magnetic Stimulation Improved Symptoms of Obsessive-Compulsive Disorders but Not Executive Functions: Results from a Randomized Clinical Trial with Crossover Design and Sham Condition. Neuropsychobiology 2016, 74, 115–124. [Google Scholar] [CrossRef]
  36. Jahangard, L.; Haghighi, M.; Shyayganfard, M.; Ahmadpanah, M.; Sadeghi Bahmani, D.; Bajoghli, H.; Holsboer-Trachsler, E.; Brand, S. Repetitive Transcranial Magnetic Stimulation Improved Symptoms of Obsessive-Compulsive Disorder, but Also Cognitive Performance: Results from a Randomized Clinical Trial with a Cross-Over Design and Sham Condition. Neuropsychobiology 2016, 73, 224–232. [Google Scholar] [CrossRef] [PubMed]
  37. Naro, A.; Billeri, L.; Cannavò, A.; De Luca, R.; Portaro, S.; Bramanti, P.; Calabrò, R.S. Theta burst stimulation for the treatment of obsessive-compulsive disorder: A pilot study. J. Neural Transm. 2019, 126, 1667–1677. [Google Scholar] [CrossRef] [PubMed]
  38. Khedr, E.M.; Elbeh, K.; Saber, M.; Abdelrady, Z.; Abdelwarith, A. A double blind randomized clinical trial of the effectiveness of low frequency rTMS over right DLPFC or OFC for treatment of obsessive-compulsive disorder. J. Psychiatr. Res. 2022, 156, 122–131. [Google Scholar] [CrossRef]
  39. Jahanbakhsh, G.; Alireza Haji Seyed Javadi, S.; Majidi, M.; Khademi, M.; Karimi, R. Effectiveness of adjunctive low-frequency repetitive transcranial magnetic stimulation therapy over the left dorsolateral prefrontal cortex in patients with obsessive-compulsive disorder refractory to medical treatment:A double-blind, randomized clinical trial. Asian J. Psychiatry 2023, 80, 103384. [Google Scholar] [CrossRef]
  40. Williams, N.R.; Sudheimer, K.D.; Cole, E.J.; Varias, A.D.; Goldstein-Piekarski, A.N.; Stetz, P.; Lombardi, A.; Filippou-Frye, M.; van Roessel, P.; Anderson, K.; et al. Accelerated neuromodulation therapy for Obsessive-Compulsive Disorder. Brain Stimul. 2021, 14, 435–437. [Google Scholar] [CrossRef]
  41. Topcuoğlu, M.; Cinemre, B.; Erdoğan, A.; Nabiyeva, N. Repetitive Transcranial Magnetic Stimulation in a Group of Treament-Resistant Obsessive-Compulsive Disorder Patients: A Descriptive Study. Acta Med. 2022, 53, 114–122. [Google Scholar] [CrossRef]
  42. Ruffini, C.; Locatelli, M.; Lucca, A.; Benedetti, F.; Insacco, C.; Smeraldi, E. Augmentation effect of repetitive transcranial magnetic stimulation over the orbitofrontal cortex in drug-resistant obsessive-compulsive disorder patients: A controlled investigation. Prim. Care Companion J. Clin. Psychiatry 2009, 11, 226–230. [Google Scholar] [CrossRef]
  43. Nauczyciel, C.; Le Jeune, F.; Naudet, F.; Douabin, S.; Esquevin, A.; Vérin, M.; Dondaine, T.; Robert, G.; Drapier, D.; Millet, B. Repetitive transcranial magnetic stimulation over the orbitofrontal cortex for obsessive-compulsive disorder: A double-blind, crossover study. Transl. Psychiatry 2014, 4, e436. [Google Scholar] [CrossRef] [PubMed]
  44. Dutta, P.; Dhyani, M.; Garg, S.; Tikka, S.K.; Khattri, S.; Mehta, S.; Mishra, J. Efficacy of intensive orbitofrontal continuous Theta Burst Stimulation (iOFcTBS) in Obsessive Compulsive Disorder: A Randomized Placebo Controlled Study. Psychiatry Res. 2021, 298, 113784. [Google Scholar] [CrossRef] [PubMed]
  45. Liu, W.; Shao, H.; Liao, J.; Yang, D.; Ma, M.; Yang, J. Continuous Theta-Burst Stimulation Over the Right Orbitofrontal Cortex in Treatment-Resistant Obsessive-Compulsive Disorder Treatment: A Randomized Sham-Controlled Trial. Int. J. Gen. Med. 2021, 14, 3109–3118. [Google Scholar] [CrossRef]
  46. Dunlop, K.; Woodside, B.; Olmsted, M.; Colton, P.; Giacobbe, P.; Downar, J. Reductions in Cortico-Striatal Hyperconnectivity Accompany Successful Treatment of Obsessive-Compulsive Disorder with Dorsomedial Prefrontal rTMS. Neuropsychopharmacology 2016, 41, 1395–1403. [Google Scholar] [CrossRef]
  47. Carmi, L.; Alyagon, U.; Barnea-Ygael, N.; Zohar, J.; Dar, R.; Zangen, A. Clinical and electrophysiological outcomes of deep TMS over the medial prefrontal and anterior cingulate cortices in OCD patients. Brain Stimul. 2018, 11, 158–165. [Google Scholar] [CrossRef]
  48. Carmi, L.; Tendler, A.; Bystritsky, A.; Hollander, E.; Blumberger, D.M.; Daskalakis, J.; Ward, H.; Lapidus, K.; Goodman, W.; Casuto, L.; et al. Efficacy and Safety of Deep Transcranial Magnetic Stimulation for Obsessive-Compulsive Disorder: A Prospective Multicenter Randomized Double-Blind Placebo-Controlled Trial. Am. J. Psychiatry 2019, 176, 931–938. [Google Scholar] [CrossRef] [PubMed]
  49. Roth, Y.; Tendler, A.; Arikan, M.K.; Vidrine, R.; Kent, D.; Muir, O.; MacMillan, C.; Casuto, L.; Grammer, G.; Sauve, W.; et al. Real-world efficacy of deep TMS for obsessive-compulsive disorder: Post-marketing data collected from twenty-two clinical sites. J. Psychiatr. Res. 2021, 137, 667–672. [Google Scholar] [CrossRef] [PubMed]
  50. Reddy, S.; Shreekantiah, U.; Goyal, N.; Roy, C. Brain activation alterations with adjunctive deep transcranial magnetic stimulation in obsessive-compulsive disorder: An fMRI study. CNS Spectr. 2023, 28, 361–366. [Google Scholar] [CrossRef]
  51. Arıkan, M.K.; İlhan, R.; Esmeray, T.; Laçin Çetin, H.; Aytar, E.K.; Aktas, H.; Günver, M.G.; Tendler, A. Deep Transcranial Magnetic Stimulation Effects on the Electrophysiological Parameters in Obsessive-Compulsive Disorder. Clin. EEG Neurosci. 2022, 53, 484–490. [Google Scholar] [CrossRef]
  52. Ikawa, H.; Osawa, R.; Sato, A.; Mizuno, H.; Noda, Y. A Case Series of Deep Transcranial Magnetic Stimulation Treatment for Patients with Obsessive-Compulsive Disorder in the Tokyo Metropolitan Area. J. Clin. Med. 2022, 11, 6133. [Google Scholar] [CrossRef]
  53. Kang, J.I.; Kim, C.H.; Namkoong, K.; Lee, C.I.; Kim, S.J. A randomized controlled study of sequentially applied repetitive transcranial magnetic stimulation in obsessive-compulsive disorder. J. Clin. Psychiatry 2009, 70, 1645–1651. [Google Scholar] [CrossRef] [PubMed]
  54. Tadayonnejad, R.; Wilson, A.C.; Chu, S.A.; Corlier, J.; Citrenbaum, C.; Ngo, T.D.P.; Hovhannisyan, E.; Ginder, N.D.; Levitt, J.G.; Wilke, S.A.; et al. Use of right orbitofrontal repetitive transcranial magnetic stimulation (rTMS) augmentation for treatment-refractory obsessive-compulsive disorder with comorbid major depressive disorder. Psychiatry Res. 2022, 317, 114856. [Google Scholar] [CrossRef] [PubMed]
  55. Tomiyama, H.; Murayama, K.; Nemoto, K.; Tomita, M.; Hasuzawa, S.; Mizobe, T.; Kato, K.; Ohno, A.; Tsuruta, S.; Togao, O.; et al. Increased functional connectivity between presupplementary motor area and inferior frontal gyrus associated with the ability of motor response inhibition in obsessive-compulsive disorder. Hum. Brain Mapp. 2022, 43, 974–984. [Google Scholar] [CrossRef] [PubMed]
  56. De Wit, S.J.; de Vries, F.E.; van der Werf, Y.D.; Cath, D.C.; Heslenfeld, D.J.; Veltman, E.M.; van Balkom, A.J.; Veltman, D.J.; van den Heuvel, O.A. Presupplementary motor area hyperactivity during response inhibition: A candidate endophenotype of obsessive-compulsive disorder. Am. J. Psychiatry 2012, 169, 1100–1108, Erratum in Am. J. Psychiatry 2012, 169, 1218. [Google Scholar] [CrossRef] [PubMed]
  57. Brakoulias, V.; Nguyen, P.H.D.; Lin, D.; Pham, N.D.K. An international survey of different transcranial magnetic stimulation (TMS) protocols for patients with obsessive-compulsive disorder (OCD). Psychiatry Res. 2021, 298, 113765. [Google Scholar] [CrossRef]
  58. Grassi, G.; Pallanti, S.; Righi, L.; Figee, M.; Mantione, M.; Denys, D.; Piccagliani, D.; Rossi, A.; Stratta, P. Think twice: Impulsivity and decision making in obsessive-compulsive disorder. J. Behav. Addict. 2015, 4, 263–272. [Google Scholar] [CrossRef]
  59. Saxena, S.; Rauch, S.L. Functional neuroimaging and the neuroanatomy of obsessive-compulsive disorder. Psychiatr. Clin. N. Am. 2000, 23, 563–586. [Google Scholar] [CrossRef]
  60. Goodman, W.K.; Storch, E.A.; Sheth, S.A. Harmonizing the Neurobiology and Treatment of Obsessive-Compulsive Disorder. Am. J. Psychiatry 2021, 178, 17–29. [Google Scholar] [CrossRef]
  61. Ahmari, S.E.; Spellman, T.; Douglass, N.L.; Kheirbek, M.A.; Simpson, H.B.; Deisseroth, K.; Gordon, J.A.; Hen, R. Repeated cortico-striatal stimulation generates persistent OCD-like behavior. Science 2013, 340, 1234–1239. [Google Scholar] [CrossRef]
  62. Tzirini, M.; Roth, Y.; Harmelech, T.; Zibman, S.; Pell, G.S.; Kimiskidis, V.K.; Tendler, A.; Zangen, A.; Samaras, T. Detailed measurements and simulations of electric field distribution of two TMS coils cleared for obsessive compulsive disorder in the brain and in specific regions associated with OCD. PLoS ONE 2022, 17, e0263145. [Google Scholar] [CrossRef]
  63. Brown, J.W.; Braver, T.S. Learned predictions of error likelihood in the anterior cingulate cortex. Science 2005, 307, 1118–1121. [Google Scholar] [CrossRef] [PubMed]
  64. Brem, S.; Hauser, T.U.; Iannaccone, R.; Brandeis, D.; Drechsler, R.; Walitza, S. Neuroimaging of cognitive brain function in paediatric obsessive compulsive disorder: A review of literature and preliminary meta-analysis. J. Neural Transm. 2012, 119, 1425–1448. [Google Scholar] [CrossRef] [PubMed]
  65. Devinsky, O.; Morrell, M.J.; Vogt, B.A. Contributions of anterior cin-gulate cortex to behaviour. Brain 1995, 118, 279–306. [Google Scholar] [CrossRef] [PubMed]
  66. Van Veen, V.; Carter, C.S. The anterior cingulate as a conflict monitor: fMRI and ERP studies. Physiol. Behav. 2002, 77, 477–482. [Google Scholar] [CrossRef]
  67. Mikellides, G.; Michael, P.; Schuhmann, T.; Sack, A.T. TMS-Induced Seizure during FDA-Approved Bilateral DMPFC Protocol for Treating OCD: A Case Report. Case Rep. Neurol. 2021, 13, 584–590. [Google Scholar] [CrossRef]
Figure 1. Flow diagram illustrating the selection of the studies for inclusion in the systematic review and meta-analysis.
Figure 1. Flow diagram illustrating the selection of the studies for inclusion in the systematic review and meta-analysis.
Life 13 01494 g001
Figure 2. Pairwise meta-analysis forest plot: Random effects meta-analysis of Y-BOCS following TMS for OCD for active vs. sham TMS. SMA = supplementary motor area; DLPFC = dorsolateral pre-frontal cortex; OFC = orbitofrontal cortex; mPFC-ACC = medial pre-frontal cortex/anterior cingulate cortex [12,13,15,16,17,18,19,20,25,26,27,28,30,31,32,33,35,36,38,39,42,43,44,45,47,48].
Figure 2. Pairwise meta-analysis forest plot: Random effects meta-analysis of Y-BOCS following TMS for OCD for active vs. sham TMS. SMA = supplementary motor area; DLPFC = dorsolateral pre-frontal cortex; OFC = orbitofrontal cortex; mPFC-ACC = medial pre-frontal cortex/anterior cingulate cortex [12,13,15,16,17,18,19,20,25,26,27,28,30,31,32,33,35,36,38,39,42,43,44,45,47,48].
Life 13 01494 g002
Table 1. Summary of TMS open and sham-controlled trials for OCD.
Table 1. Summary of TMS open and sham-controlled trials for OCD.
Brain TargetStudy DesignStimulation Type/Frequency/Pulse Per SessionNumber of SessionsSubjects (Active Branch)
Mantovani 2010 [12]Bilateral pre-SMASham-controlledrTMS/1 Hz/1200209
Gomes 2012 [13]Bilateral pre-SMASham-controlledrTMS/1 Hz/12001012
Hawken 2016 [14]Bilateral pre-SMASham-controlledrTMS/1 Hz/18002510
Pelissolo 2016 [15]Bilateral pre-SMASham-controlledrTMS/1 Hz/15002019
Arumugham 2018 [16]Bilateral pre-SMASham-controlledrTMS/1 Hz/12001819
Harika-germaneau 2019 [17]Bilateral pre-SMASham-controlledcTBS/6003014
Zhang 2019 [18]Bilateral pre-SMASham-controlledrTMS/1 Hz/12002025
Mukherjee 2022 [19]Bilateral pre-SMASham-controlledcTBS/9003013
Guo 2022 [20]Bilateral pre-SMASham-controlledcTBS/12002026
Pallanti 2016 [21]Bilateral pre-SMAOpen labelrTMS/1 Hz/12001525
Donse 2017 [22]Bilateral pre-SMAOpen labelrTMS/1 Hz/10001022
Mantovani 2021 [23]Bilateral pre-SMAOpen labelrTMS/1 Hz/3600108
Gajadien 2022 [24]Bilateral pre-SMAOpen labelrTMS/1 Hz/12001035
Alonso 2001 [25]rDLPFCSham-controlledrTMS/1/Hz/12001810
Prasko 2006 [26]lDLPFCSham-controlledrTMS/1 Hz/18001018
Sachdev 2007 [27]lDLPFCSham-controlledrTMS/10 Hz/15001010
Badawy 2010 [28]lDLPFCSham-controlledrTMS/20 Hz1520
Sarkhel 2010 [29]rDLPFCSham-controlledrTMS/10 Hz/8001021
Mansur 2011 [30]rDLPFCSham-controlledrTMS/10 Hz/20003013
Ma 2014 [31]Bilateral DLPFCSham-controlledrTMS/8–12 Hz/648–8721025
Haghighi 2015 [32]Bilateral DLPFCSham-controlledrTMS/20 Hz/7501010
Elbeh 2016 [33]rDLPFCSham-controlledrTMS/1 H or 10 Hz/20001015
Seo 2016 [34]rDLPFCSham-controlledrTMS/1 Hz/12001514
Shayganfard 2016 [35]Bilateral DLPFCSham-controlledrTMS/20 Hz/750105
Jahangard 2016 [36]Bilateral DLPFCSham-controlledrTMS/20 Hz/750105
Naro 2019 [37]lDPFCSham-controllediTBS/600205
Khedr 2022 * [38]rDLPFCSham-controlledrTMS/1 Hz/15001020
Jahanbakhsh 2023 [39]lDLPFCSham-controlledrTMS/1 Hz/12001515
Williams 2021 [40]rPFCOpen labelcTBS/1800507
Topcuoglu 2022 [41]lDLPFCOpen labelrTMS/1 Hz/12003027
Ruffini 2008 [42]lOFCSham-controlledrTMS/1 Hz/6001516
Nauczyciel 2014 [43]rOFCSham-controlledrTMS/1 Hz/12001010
Dutta 2021 [44]lOFCSham-controlledcTBS/6001018
Liu 2021 [45]rOFCSham-controlledcTBS/6002012
Khedr 2022 [38]rOFCSham-controlledrTMS/1 Hz/15001020
Dunlop 2016 [46]Bilateral dmPFCOpen labelrTMS/10 Hz/600020/3020
Carmi 2018 [47]mPFC/ACCSham-controlleddTMS/20 Hz/20002516
Carmi 2018 * [47]mPFC/ACCSham-controlleddTMS/1 Hz/900258
Carmi 2019 [48]mPFC/ACCSham-controlleddTMS/20 Hz/20002942
Roth 2021 [49]mPFC/ACCOpen labeldTMS/20 Hz/200029185
Reddy 2022 [50]mPFC/ACCOpen labeldTMS/20 Hz/20001015
Arikan 2022 [51]mPFC/ACCOpen labeldTMS/20 Hz/20003029
Ikawa 2022 [52]mPFC/ACCOpen labeldTMS/20 Hz/20003026
Kang 2009 [53]rDLPFC + bilateral pre-SMASham-controlledrTMS/1 Hz/1200 + 12001010
Tadayonnejad 2022 [54]DLPFC + SMA + rOFCOpen labelrTMS/1 Hz/1200 + 1200 + 120017 ± 618
SMA: supplementary motor area; DLPFC: dorsolateral prefrontal cortex; OFC: orbitofrontal cortex; mPFC: medial prefrontal cortex; dmPFC: dorsomedial prefrontal cortex; ACC: anterior cingulate cortex; rTMS: repetitive transcranial magnetic stimulation; cTBS: continuous theta burst stimulation; iTBS: intermittent theta burst stimulation; * second branch of the study.
Disclaimer/Publisher’s Note: The statements, opinions and data contained in all publications are solely those of the individual author(s) and contributor(s) and not of MDPI and/or the editor(s). MDPI and/or the editor(s) disclaim responsibility for any injury to people or property resulting from any ideas, methods, instructions or products referred to in the content.

Share and Cite

MDPI and ACS Style

Grassi, G.; Moradei, C.; Cecchelli, C. Will Transcranial Magnetic Stimulation Improve the Treatment of Obsessive–Compulsive Disorder? A Systematic Review and Meta-Analysis of Current Targets and Clinical Evidence. Life 2023, 13, 1494. https://doi.org/10.3390/life13071494

AMA Style

Grassi G, Moradei C, Cecchelli C. Will Transcranial Magnetic Stimulation Improve the Treatment of Obsessive–Compulsive Disorder? A Systematic Review and Meta-Analysis of Current Targets and Clinical Evidence. Life. 2023; 13(7):1494. https://doi.org/10.3390/life13071494

Chicago/Turabian Style

Grassi, Giacomo, Corinna Moradei, and Chiara Cecchelli. 2023. "Will Transcranial Magnetic Stimulation Improve the Treatment of Obsessive–Compulsive Disorder? A Systematic Review and Meta-Analysis of Current Targets and Clinical Evidence" Life 13, no. 7: 1494. https://doi.org/10.3390/life13071494

APA Style

Grassi, G., Moradei, C., & Cecchelli, C. (2023). Will Transcranial Magnetic Stimulation Improve the Treatment of Obsessive–Compulsive Disorder? A Systematic Review and Meta-Analysis of Current Targets and Clinical Evidence. Life, 13(7), 1494. https://doi.org/10.3390/life13071494

Note that from the first issue of 2016, this journal uses article numbers instead of page numbers. See further details here.

Article Metrics

Back to TopTop