A Retrospective Observational Study Using Administrative Databases to Assess the Risk of Spontaneous Abortions Related to Environmental and Socioeconomic Conditions
Abstract
:1. Introduction
2. Materials and Methods
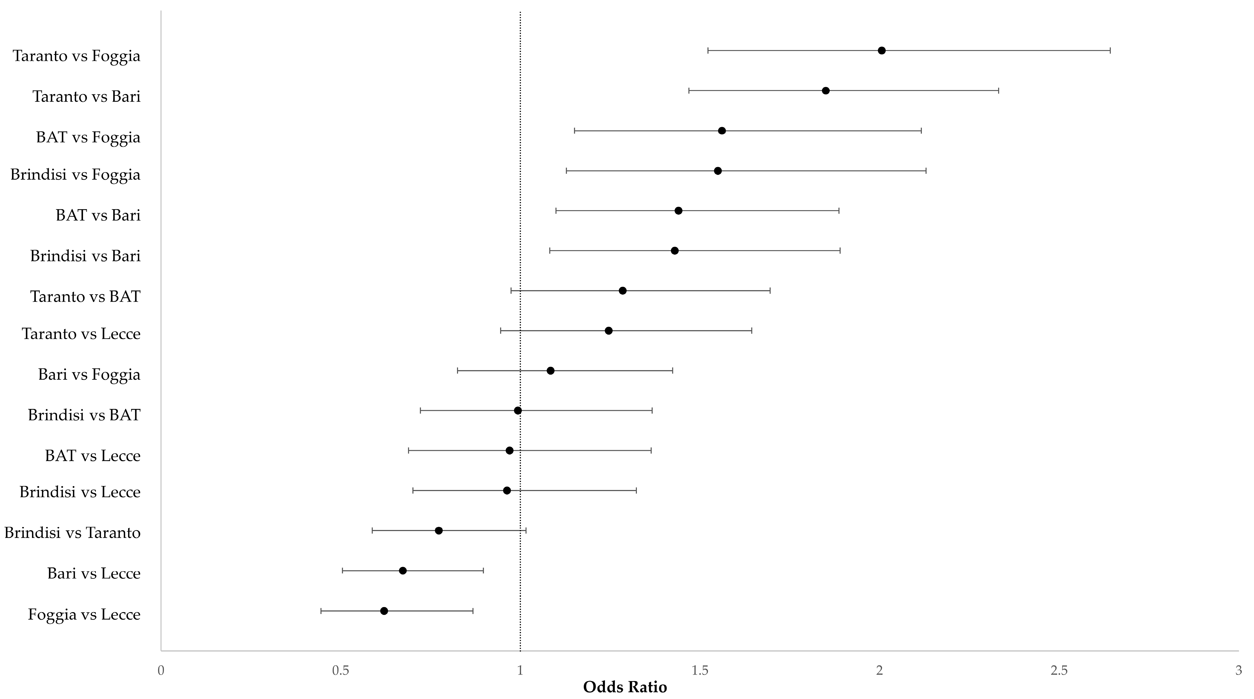
3. Results
4. Discussion
5. Conclusions
Supplementary Materials
Author Contributions
Funding
Institutional Review Board Statement
Informed Consent Statement
Data Availability Statement
Conflicts of Interest
References
- Barfield, W.D.; Committee on Fetus and Newborn. Standard Terminology for Fetal, Infant, and Perinatal Deaths. Pediatrics 2011, 128, 177–181. [Google Scholar] [CrossRef]
- American College of Obstetricians and Gynecologists. ACOG Practice Bulletin No. 102: Management of Stillbirth. Obs. Gynecol. 2009, 113, 748–761. [Google Scholar] [CrossRef] [PubMed]
- Graafmans, W.C.; Richardus, J.H.; Macfarlane, A.; Rebagliato, M.; Blondel, B.; Verloove-Vanhorick, S.P.; Mackenbach, J.P.; EuroNatal Working Group. Comparability of Published Perinatal Mortality Rates in Western Europe: The Quantitative Impact of Differences in Gestational Age and Birthweight Criteria. BJOG 2001, 108, 1237–1245. [Google Scholar] [CrossRef]
- International Infant Mortality Rates: Bias from Reporting Differences—PMC. Available online: https://www.ncbi.nlm.nih.gov/pmc/articles/PMC1615029/ (accessed on 1 August 2023).
- Kumar, G. Early Pregnancy Issues for the MRCOG and Beyond; MRCOG and beyond series; University Press: Cambridge, UK, 2011; ISBN 978-1-139-69697-5. [Google Scholar]
- Stillbirth: Clinical Audit and Improvement of Care Practice. Available online: https://www.salute.gov.it/imgs/C_17_pubblicazioni_1390_annex.pdf (accessed on 15 July 2023).
- Griebel, C.P.; Halvorsen, J.; Golemon, T.B.; Day, A.A. Management of Spontaneous Abortion. Am. Fam. Physician 2005, 72, 1243–1250. [Google Scholar] [PubMed]
- Baba, S.; Noda, H.; Nakayama, M.; Waguri, M.; Mitsuda, N.; Iso, H. Risk Factors of Early Spontaneous Abortions among Japanese: A Matched Case-Control Study. Hum. Reprod. 2011, 26, 466–472. [Google Scholar] [CrossRef]
- Katz, V.L. Work and Work-Related Stress in Pregnancy. Clin. Obs. Gynecol. 2012, 55, 765–773. [Google Scholar] [CrossRef] [PubMed]
- Liang, W.; Liang, H.; Ou, L.; Chen, B.; Chen, A.; Li, C.; Li, Y.; Guan, W.; Sang, L.; Lu, J.; et al. Development and Validation of a Clinical Risk Score to Predict the Occurrence of Critical Illness in Hospitalized Patients With COVID-19. JAMA Intern. Med. 2020, 180, 1081–1089. [Google Scholar] [CrossRef]
- Grippo, A.; Zhang, J.; Chu, L.; Guo, Y.; Qiao, L.; Zhang, J.; Myneni, A.A.; Mu, L. Air Pollution Exposure during Pregnancy and Spontaneous Abortion and Stillbirth. Rev. Environ. Health 2018, 33, 247–264. [Google Scholar] [CrossRef]
- Clark, L.P.; Millet, D.B.; Marshall, J.D. National Patterns in Environmental Injustice and Inequality: Outdoor NO2 Air Pollution in the United States. PLoS ONE 2014, 9, e94431. [Google Scholar] [CrossRef]
- Forastiere, F.; Faustini, A. Gruppo collaborativo EpiAir [Short-term effects of air pollution on human health: From epidemiological research to epidemiological surveillance]. Epidemiol. Prev. 2009, 33, 5–12. [Google Scholar]
- Serinelli, M.; Gianicolo, E.A.L.; Cervino, M.; Mangia, C.; Portaluri, M.; Vigotti, M.A. Acute effects of air pollution in Brindisi (Italy): A case-crossover analysis. Epidemiol. Prev. 2010, 34, 100–107. [Google Scholar] [PubMed]
- Gennaro, V.; Cervellera, S.; Cusatelli, C.; Miani, A.; Pesce, F.; De Gennaro, G.; Distante, A.; Vimercati, L.; Gesualdo, L.; Piscitelli, P. Use of Official Municipal Demographics for the Estimation of Mortality in Cities Suffering from Heavy Environmental Pollution: Results of the First Study on All the Neighborhoods of Taranto from 2011 to 2020. Environ. Res 2022, 204, 112007. [Google Scholar] [CrossRef]
- Galise, I.; Serinelli, M.; Morabito, A.; Pastore, T.; Tanzarella, A.; Laghezza, V.; Nocioni, A.; Giua, R.; Bauleo, L.; Bruno, V.; et al. The Integrated Environmental Health Impact of emissions from a steel plant in Taranto and from a power plant in Brindisi, (Apulia Region, Southern Italy). Epidemiol. Prev. 2019, 43, 329–337. [Google Scholar] [CrossRef] [PubMed]
- Leogrande, S.; Alessandrini, E.R.; Stafoggia, M.; Morabito, A.; Nocioni, A.; Ancona, C.; Bisceglia, L.; Mataloni, F.; Giua, R.; Mincuzzi, A.; et al. Industrial Air Pollution and Mortality in the Taranto Area, Southern Italy: A Difference-in-Differences Approach. Environ. Int. 2019, 132, 105030. [Google Scholar] [CrossRef] [PubMed]
- Gianicolo, E.A.L.; Bruni, A.; Mangia, C.; Cervino, M.; Vigotti, M.A. Acute Effects of Urban and Industrial Pollution in a Government-Designated “Environmental Risk Area”: The Case of Brindisi, Italy. Int. J. Environ. Health Res. 2013, 23, 446–460. [Google Scholar] [CrossRef]
- Marinaccio, A.; Belli, S.; Binazzi, A.; Scarselli, A.; Massari, S.; Bruni, A.; Conversano, M.; Crosignani, P.; Minerba, A.; Zona, A.; et al. Residential Proximity to Industrial Sites in the Area of Taranto (Southern Italy). A Case-Control Cancer Incidence Study. Ann. Ist. Super. Sanita 2011, 47, 192–199. [Google Scholar] [CrossRef]
- Martinelli, D.; Mincuzzi, A.; Minerba, S.; Tafuri, S.; Conversano, M.; Caputi, G.; Lopalco, P.L.; Quarto, M.; Germinario, C.; Prato, R. Malignant Cancer Mortality in Province of Taranto (Italy). Geographic Analysis in an Area of High Environmental Risk. J. Prev. Med. Hyg. 2009, 50, 181–190. [Google Scholar]
- Pirastu, R.; Comba, P.; Iavarone, I.; Zona, A.; Conti, S.; Minelli, G.; Manno, V.; Mincuzzi, A.; Minerba, S.; Forastiere, F.; et al. Environment and Health in Contaminated Sites: The Case of Taranto, Italy. J. Environ. Public Health 2013, 2013, 753719. [Google Scholar] [CrossRef]
- Giua, R.; Spartera, M.; Viviano, G.; Ziemacki, G.; Carbotti, G. Cancer risk for coke-oven workers in the Taranto steel plant. Epidemiol. Prev. 2005, 29, 42–44. [Google Scholar]
- Definition and Update of the Essential Levels of Assistance, Referred to in Article 1, Paragraph 7, of Legislative Decree 30 December 1992, n. 502. Available online: https://www.gazzettaufficiale.it/eli/id/2017/03/18/17A02015/sg (accessed on 15 July 2023).
- Caranci, N.; Biggeri, A.; Grisotto, L.; Pacelli, B.; Spadea, T.; Costa, G. The Italian deprivation index at census block level: Definition, description and association with general mortality. Epidemiol. Prev. 2010, 34, 167–176. [Google Scholar]
- Rosano, A.; Pacelli, B.; Zengarini, N.; Costa, G.; Cislaghi, C.; Caranci, N. Update and review of the 2011 Italian deprivation index calculated at the census section level. Epidemiol. Prev. 2020, 44, 162–170. [Google Scholar] [CrossRef] [PubMed]
- Bartolomeo, N.; Giotta, M.; Tafuri, S.; Trerotoli, P. Impact of Socioeconomic Deprivation on the Local Spread of COVID-19 Cases Mediated by the Effect of Seasons and Restrictive Public Health Measures: A Retrospective Observational Study in Apulia Region, Italy. Int. J. Environ. Res. Public Health 2022, 19, 11410. [Google Scholar] [CrossRef] [PubMed]
- Nelder, J.A.; Wedderburn, R.W.M. Generalized Linear Models. J. R. Stat. Society. Ser. A (Gen.) 1972, 135, 370–384. [Google Scholar] [CrossRef]
- Hao, J.; Zhang, F.; Chen, D.; Liu, Y.; Liao, L.; Shen, C.; Liu, T.; Liao, J.; Ma, L. Association between Ambient Air Pollution Exposure and Infants Small for Gestational Age in Huangshi, China: A Cross-Sectional Study. Environ. Sci. Pollut. Res. Int. 2019, 26, 32029–32039. [Google Scholar] [CrossRef]
- Woolner, A.M.F.; Nagdeve, P.; Raja, E.-A.; Bhattacharya, S.; Bhattacharya, S. Family History and Risk of Miscarriage: A Systematic Review and Meta-Analysis of Observational Studies. Acta Obs. Gynecol. Scand. 2020, 99, 1584–1594. [Google Scholar] [CrossRef] [PubMed]
- Liu, X.; Chen, Y.; Ye, C.; Xing, D.; Wu, R.; Li, F.; Chen, L.; Wang, T. Hereditary Thrombophilia and Recurrent Pregnancy Loss: A Systematic Review and Meta-Analysis. Hum. Reprod. 2021, 36, 1213–1229. [Google Scholar] [CrossRef]
- Lino, F.L.; Traina, É.; Barreto, J.A.; Moron, A.F.; Mattar, R. Thrombophilic Mutations and Polymorphisms, Alone or in Combination, and Recurrent Spontaneous Abortion. Clin. Appl. Thromb. Hemost. 2015, 21, 365–372. [Google Scholar] [CrossRef]
- Martinez-Zamora, M.A.; Peralta, S.; Creus, M.; Tassies, D.; Reverter, J.C.; Espinosa, G.; Cervera, R.; Carmona, F.; Balasch, J. Risk of Thromboembolic Events after Recurrent Spontaneous Abortion in Antiphospholipid Syndrome: A Case-Control Study. Ann. Rheum. Dis. 2012, 71, 61–66. [Google Scholar] [CrossRef]
- Di Prima, F.A.F.; Valenti, O.; Hyseni, E.; Giorgio, E.; Faraci, M.; Renda, E.; De Domenico, R.; Monte, S. Antiphospholipid Syndrome during Pregnancy: The State of the Art. J. Prenat. Med. 2011, 5, 41–53. [Google Scholar]
- Ghazi, T.; Naidoo, P.; Naidoo, R.N.; Chuturgoon, A.A. Prenatal Air Pollution Exposure and Placental DNA Methylation Changes: Implications on Fetal Development and Future Disease Susceptibility. Cells 2021, 10, 3025. [Google Scholar] [CrossRef]
- Chen, E.K.-C.; Zmirou-Navier, D.; Padilla, C.; Deguen, S. Effects of Air Pollution on the Risk of Congenital Anomalies: A Systematic Review and Meta-Analysis. Int. J. Environ. Res. Public. Health 2014, 11, 7642–7668. [Google Scholar] [CrossRef]
- Padula, A.M.; Tager, I.B.; Carmichael, S.L.; Hammond, S.K.; Lurmann, F.; Shaw, G.M. The Association of Ambient Air Pollution and Traffic Exposures with Selected Congenital Anomalies in the San Joaquin Valley of California. Am. J. Epidemiol. 2013, 177, 1074–1085. [Google Scholar] [CrossRef] [PubMed]
- Padula, A.M.; Tager, I.B.; Carmichael, S.L.; Hammond, S.K.; Yang, W.; Lurmann, F.; Shaw, G.M. Ambient Air Pollution and Traffic Exposures and Congenital Heart Defects in the San Joaquin Valley of California. Paediatr. Perinat. Epidemiol. 2013, 27, 329–339. [Google Scholar] [CrossRef] [PubMed]
- Gianicolo, E.A.L.; Mangia, C.; Cervino, M.; Bruni, A.; Andreassi, M.G.; Latini, G. Congenital Anomalies among Live Births in a High Environmental Risk Area—A Case-Control Study in Brindisi (Southern Italy). Environ. Res. 2014, 128, 9–14. [Google Scholar] [CrossRef]
- Schembari, A.; Nieuwenhuijsen, M.J.; Salvador, J.; de Nazelle, A.; Cirach, M.; Dadvand, P.; Beelen, R.; Hoek, G.; Basagaña, X.; Vrijheid, M. Traffic-Related Air Pollution and Congenital Anomalies in Barcelona. Environ. Health Perspect. 2014, 122, 317–323. [Google Scholar] [CrossRef]
- Ravindra, K.; Chanana, N.; Mor, S. Exposure to Air Pollutants and Risk of Congenital Anomalies: A Systematic Review and Metaanalysis. Sci. Total Environ. 2021, 765, 142772. [Google Scholar] [CrossRef] [PubMed]
- Kalter, H. Diabetes and Spontaneous Abortion: A Historical Review. Am. J. Obs. Gynecol. 1987, 156, 1243–1253. [Google Scholar] [CrossRef]
- Pellestor, F.; Andréo, B.; Arnal, F.; Humeau, C.; Demaille, J. Maternal Aging and Chromosomal Abnormalities: New Data Drawn from in Vitro Unfertilized Human Oocytes. Hum. Genet. 2003, 112, 195–203. [Google Scholar] [CrossRef]
- Nybo Andersen, A.M.; Wohlfahrt, J.; Christens, P.; Olsen, J.; Melbye, M. Maternal Age and Fetal Loss: Population Based Register Linkage Study. BMJ 2000, 320, 1708–1712. [Google Scholar] [CrossRef]
- Magnus, M.C.; Wilcox, A.J.; Morken, N.-H.; Weinberg, C.R.; Håberg, S.E. Role of Maternal Age and Pregnancy History in Risk of Miscarriage: Prospective Register Based Study. BMJ 2019, 364, l869. [Google Scholar] [CrossRef]
- Caserta, D.; Ralli, E.; Matteucci, E.; Bordi, G.; Soave, I.; Marci, R.; Moscarini, F. The Influence of Socio-Demographic Factors on Miscarriage Incidence among Italian and Immigrant Women: A Critical Analysis from Italy. J. Immigr. Minor. Health 2015, 17, 843–851. [Google Scholar] [CrossRef] [PubMed]
- Yang, L.; Tao, T.; Zhao, X.; Tao, H.; Su, J.; Shen, Y.; Tang, Y.; Qian, F.; Xiao, J. Association between Fetal Chromosomal Abnormalities and the Frequency of Spontaneous Abortions. Exp. Ther. Med. 2020, 19, 2505–2510. [Google Scholar] [CrossRef] [PubMed]
- Thomson, K.; Moffat, M.; Arisa, O.; Jesurasa, A.; Richmond, C.; Odeniyi, A.; Bambra, C.; Rankin, J.; Brown, H.; Bishop, J.; et al. Socioeconomic Inequalities and Adverse Pregnancy Outcomes in the UK and Republic of Ireland: A Systematic Review and Meta-Analysis. BMJ Open 2021, 11, e042753. [Google Scholar] [CrossRef]
- Smith, L.K.; Budd, J.L.S.; Field, D.J.; Draper, E.S. Socioeconomic Inequalities in Outcome of Pregnancy and Neonatal Mortality Associated with Congenital Anomalies: Population Based Study. BMJ 2011, 343, d4306. [Google Scholar] [CrossRef] [PubMed]
- Zheng, D.; Li, C.; Wu, T.; Tang, K. Factors Associated with Spontaneous Abortion: A Cross-Sectional Study of Chinese Populations. Reprod. Health 2017, 14, 33. [Google Scholar] [CrossRef]
- Strumpf, E.; Lang, A.; Austin, N.; Derksen, S.A.; Bolton, J.M.; Brownell, M.D.; Chateau, D.; Gregory, P.; Heaman, M.I. Prevalence and Clinical, Social, and Health Care Predictors of Miscarriage. BMC Pregnancy Childbirth 2021, 21, 185. [Google Scholar] [CrossRef]
- Ramji, S. Socio-Economic and Environmental Determinants of Perinatal and Neonatal Mortality in India. Indian. Pediatr. 1989, 26, 1100–1105. [Google Scholar]
- Banerjee, B.; Dey, T.K.; Chatterjee, P. Work Related Physical Exertion and Spontaneous Abortion. Indian. J. Public. Health 2005, 49, 248–249. [Google Scholar]
- Goulet, L.; Thériault, G. Association between Spontaneous Abortion and Ergonomic Factors. A Literature Review of the Epidemiologic Evidence. Scand. J. Work. Environ. Health 1987, 13, 399–403. [Google Scholar] [CrossRef]
- Working Conditions and Adverse Pregnancy Outcome: A Meta-Analysis—PubMed. Available online: https://pubmed.ncbi.nlm.nih.gov/10725502/ (accessed on 1 August 2023).
- McDonald, A.D.; McDonald, J.C.; Armstrong, B.; Cherry, N.; Delorme, C.; D-Nolin, A.; Robert, D. Occupation and Pregnancy Outcome. Br. J. Ind. Med. 1987, 44, 521–526. [Google Scholar] [CrossRef]
- Seidel, H. Selected Health Risks Caused by Long-Term, Whole-Body Vibration. Am. J. Ind. Med. 1993, 23, 589–604. [Google Scholar] [CrossRef] [PubMed]
- Mantovani, A.; Stazi, A.V.; Macrì, C.; Maranghi, F.; Ricciardi, C. Problems in Testing and Risk Assessment of Endocrine Disrupting Chemicals with Regard to Developmental Toxicology. Chemosphere 1999, 39, 1293–1300. [Google Scholar] [CrossRef] [PubMed]
- Ha, S.; Sundaram, R.; Buck Louis, G.M.; Nobles, C.; Seeni, I.; Sherman, S.; Mendola, P. Ambient Air Pollution and the Risk of Pregnancy Loss: A Prospective Cohort Study. Fertil. Steril. 2018, 109, 148–153. [Google Scholar] [CrossRef] [PubMed]
- Perin, P.M.; Maluf, M.; Czeresnia, C.E.; Nicolosi Foltran Januário, D.A.; Nascimento Saldiva, P.H. Effects of Exposure to High Levels of Particulate Air Pollution during the Follicular Phase of the Conception Cycle on Pregnancy Outcome in Couples Undergoing in Vitro Fertilization and Embryo Transfer. Fertil. Steril. 2010, 93, 301–303. [Google Scholar] [CrossRef]
- Perin, P.M.; Maluf, M.; Czeresnia, C.E.; Januário, D.A.N.F.; Saldiva, P.H.N. Impact of Short-Term Preconceptional Exposure to Particulate Air Pollution on Treatment Outcome in Couples Undergoing in Vitro Fertilization and Embryo Transfer (IVF/ET). J. Assist. Reprod. Genet. 2010, 27, 371–382. [Google Scholar] [CrossRef]
- Trerotoli, P.; Bartolomeo, N.; Leogrande, S.; Triggiani, S.; Mincuzzi, A.; Serio, G.; Minerba, A.S. Survey of Low Birthweight and Extremely Low Birthweight Events in a High Environmental Risk Area of Apulia, Italy. Int. J. Environ. Res. 2021, 15, 11–17. [Google Scholar] [CrossRef]
- Legislative Decree 3 April 2006, n. 152 Environmental Standards. Available online: https://www.gazzettaufficiale.it/dettaglio/codici/materiaAmbientale (accessed on 15 July 2023).



| Parameter | Spontaneous Abortion (N = 1876) | Born (N = 24,085) | p-Value |
|---|---|---|---|
| DI Class | |||
| <−1.33 | 88 (4.69) | 1356 (5.63) | <0.0001 |
| −1.33 to −0.78 | 382 (20.36) | 3751 (15.57) | |
| −0.78 to −0.20 | 377 (20.1) | 5148 (21.37) | |
| >−0.20 | 1029 (54.85) | 13,830 (57.45) | |
| Age | |||
| <18 | 11 (0.59) | 92 (0.38) | <0.0001 |
| 18–24 | 114 (6.08) | 2361 (9.8) | |
| 25–29 | 265 (14.13) | 4735 (19.66) | |
| 30–34 | 486 (25.91) | 8511 (35.34) | |
| 35–39 | 614 (32.73) | 6360 (26.41) | |
| >40 | 386 (20.58) | 2026 (8.41) | |
| Province of residence | |||
| Brindisi | 198 (10.55) | 2242 (9.31) | <0.0001 |
| Taranto | 376 (20.04) | 3394 (13.84) | |
| BAT | 216 (11.35) | 2602 (10.8) | |
| Bari | 426 (22.7) | 7710 (32.01) | |
| Foggia | 231 (12.31) | 3775 (15.67) | |
| Lecce | 432 (23.03) | 4422 (18.36) | |
| Educational level | |||
| Whitout degree | 10 (0.58) | 52 (0.25) | 0.0003 |
| Primary | 31 (1.79) | 250 (1.19) | |
| Secondary | 486 (28.11) | 5427 (25.85) | |
| High school | 726 (41.99) | 9810 (46.73) | |
| Graduate | 49 (2.83) | 577 (2.75) | |
| High graduation degree | 427 (24.7) | 4877 (23.23) | |
| Marital status | |||
| Unmarried | 752 (43.44) | 8630 (38.95) | <0.0001 |
| Married | 930 (53.73) | 13,213 (59.64) | |
| Legaly separated | 29 (1.68) | 154 (0.7) | |
| Divorced | 17 (0.98) | 146 (0.66) | |
| Widow | 3 (0.17) | 13 (0.06) |
| Chronic Disease | Spontaneous Abortion (N = 1876) | Born (N = 24,085) | p-Value |
|---|---|---|---|
| Endocrinological diseases | 30(1.6) | 1208(5.02) | <0.0001 |
| Neoplastic diseases | 4(0.21) | 34(0.14) | 0.3515 |
| Genetic diseases | 3(0.16) | 4(0.02) | 0.0106 |
| Immune diseases | 2(0.11) | 14(0.06) | 0.3235 |
| Neurodegenerative diseases | 2(0.11) | 9(0.04) | 0.1863 |
| Respiratory diseases | 2(0.11) | 10(0.04) | 0.2135 |
| Cardiocircolatory diseases | 3(0.16) | 16(0.07) | 0.1541 |
| Liver diseases | 0(0) | 7(0.03) | 1 |
| Psychiatric diseases | 0(0) | 2(0.01) | 1 |
| Rheumatological diseases | 0(0) | 1(0) | 1 |
| Endometriosis | 0(0) | 1(0) | 1 |
| Delivery Outcome | Code | N | % |
|---|---|---|---|
| Liveborn | v27.0 | 22,121 | 98.4 |
| Stillborn | v27.1 | 80 | 0.4 |
| Twins: both liveborn | v27.2 | 283 | 1.3 |
| Twins: one liveborn, one stillborn | v27.3 | 4 | 0.02 |
| Twins: both stillborn | v27.4 | 1 | 0.01 |
| Multiple birth: all liveborn | v27.5 | 4 | 0.02 |
| Multiple birth: some liveborn | v27.6 | 0 | 0 |
| Multiple birth: all stillborn | v27.7 | 0 | 0 |
| Multiple birth: unspecified | v27.9 | 2 | 0.01 |
| Parameters | Univariate | Multivariable | ||
|---|---|---|---|---|
| Chi-Square | p-Value | Chi-Square | p-Value | |
| Class of deprivation | 29.48 | <0.001 | 25.07 | <0.001 |
| Class of age | 344.83 | <0.001 | 338.56 | <0.001 |
| Educational level | 19.04 | <0.001 | 16.28 | 0.001 |
| Marital status | 37.6 | 0.001 | 35.94 | <0.001 |
| Province | 130.65 | <0.001 | 82.93 | <0.001 |
| Endocrinologic disease | 39.9652 | <0.001 | 62.13 | <0.001 |
| Genetic disease | 8.7963 | 0.003 | 6.34 | 0.011 |
| Neoplastic diseases | 0.6179 | 0.4318 | - | - |
| Immune diseases | 0.6443 | 0.4222 | - | - |
| Neurodegenerative diseases | 1.8077 | 0.1788 | - | - |
| Respiratory diseases | 1.487 | 0.2227 | - | - |
| cardiocircolatory diseases | 1.9547 | 0.1621 | - | - |
| Liver diseases | 0.005 | 0.9438 | - | - |
| Psychiatric diseases | 0.0031 | 0.9559 | - | - |
| Rheumatological diseases | 0.0032 | 0.9549 | - | - |
| Endometriosis | 0.0032 | 0.9549 | - | - |
Disclaimer/Publisher’s Note: The statements, opinions and data contained in all publications are solely those of the individual author(s) and contributor(s) and not of MDPI and/or the editor(s). MDPI and/or the editor(s) disclaim responsibility for any injury to people or property resulting from any ideas, methods, instructions or products referred to in the content. |
© 2023 by the authors. Licensee MDPI, Basel, Switzerland. This article is an open access article distributed under the terms and conditions of the Creative Commons Attribution (CC BY) license (https://creativecommons.org/licenses/by/4.0/).
Share and Cite
Giotta, M.; Bartolomeo, N.; Trerotoli, P. A Retrospective Observational Study Using Administrative Databases to Assess the Risk of Spontaneous Abortions Related to Environmental and Socioeconomic Conditions. Life 2023, 13, 1853. https://doi.org/10.3390/life13091853
Giotta M, Bartolomeo N, Trerotoli P. A Retrospective Observational Study Using Administrative Databases to Assess the Risk of Spontaneous Abortions Related to Environmental and Socioeconomic Conditions. Life. 2023; 13(9):1853. https://doi.org/10.3390/life13091853
Chicago/Turabian StyleGiotta, Massimo, Nicola Bartolomeo, and Paolo Trerotoli. 2023. "A Retrospective Observational Study Using Administrative Databases to Assess the Risk of Spontaneous Abortions Related to Environmental and Socioeconomic Conditions" Life 13, no. 9: 1853. https://doi.org/10.3390/life13091853
APA StyleGiotta, M., Bartolomeo, N., & Trerotoli, P. (2023). A Retrospective Observational Study Using Administrative Databases to Assess the Risk of Spontaneous Abortions Related to Environmental and Socioeconomic Conditions. Life, 13(9), 1853. https://doi.org/10.3390/life13091853

