Alleviation of NaCl Stress on Growth and Biochemical Traits of Cenchrus ciliaris L. via Arbuscular Mycorrhizal Fungi Symbiosis
Abstract
1. Introduction
2. Materials and Methods
2.1. AMF Inoculum
2.2. Seeds and Soil Preparation
2.3. Experimental Design
2.4. AMF Colonization Rate and Spore Count Estimation in the Roots of C. ciliaris
2.5. Estimation of Morphological Parameters
2.6. Chlorophyll Contents
2.7. Estimation of Proline in C. ciliaris
2.8. Total Phenolic Content Estimation in C. ciliaris
2.9. Statistical Analysis
3. Results
3.1. Impact of Inoculation with AMF in a Consortium on the Rate of Colonization Structures in the Roots of C. ciliaris under Salt Stress
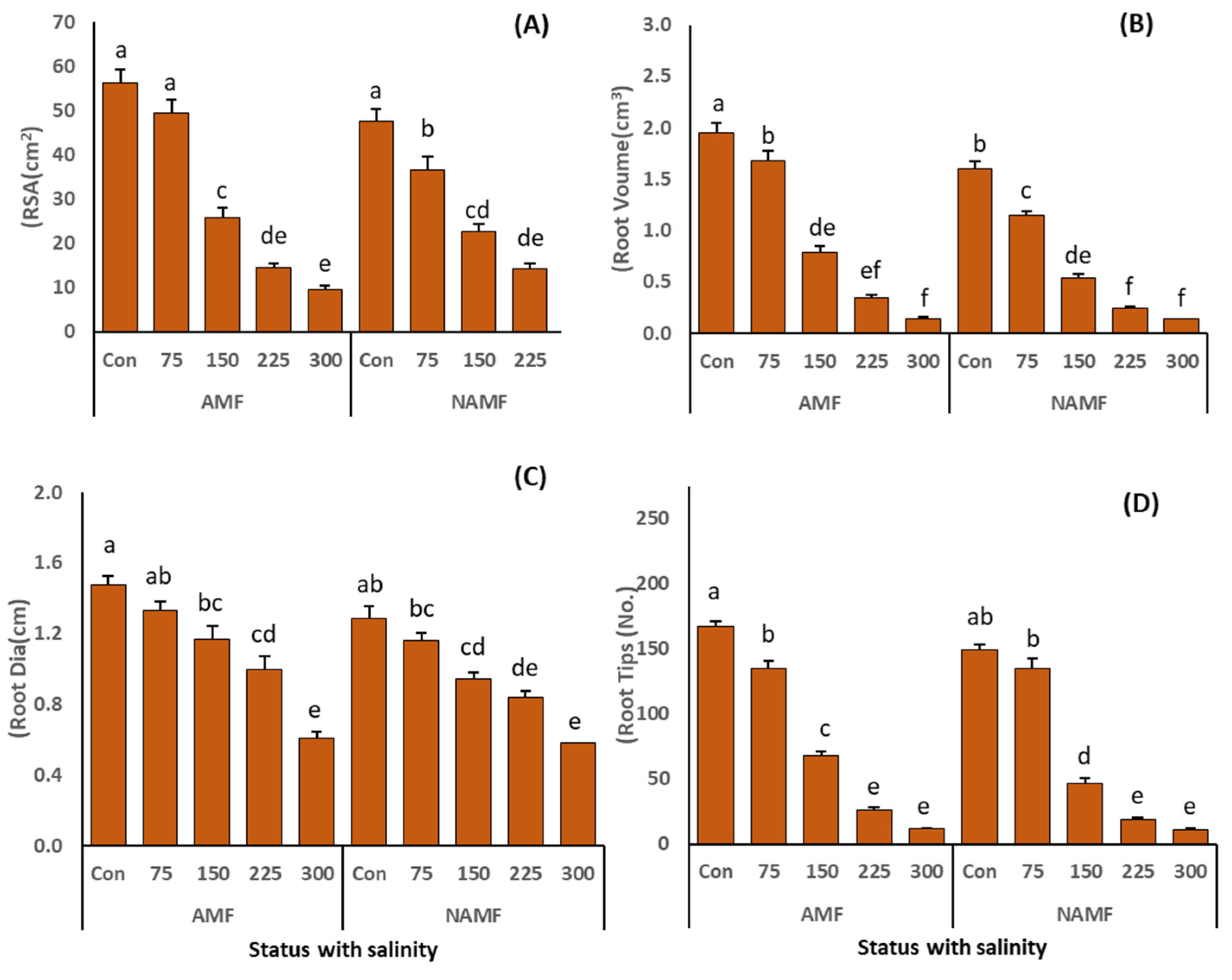
3.2. Impact of Inoculation with AMF in Consortium on Morphological Parameters of C. ciliaris Grown under Salt Stress
3.3. Impact of Inoculation with AMF in Consortium on Chlorophyll Content of C. ciliaris Grown under Salt Stress
3.4. Impact of Inoculation with AMF in Consortium on Proline and Phenolic Content of C. ciliaris Grown under Salt Stress
4. Discussion
5. Conclusions
Author Contributions
Funding
Institutional Review Board Statement
Informed Consent Statement
Data Availability Statement
Acknowledgments
Conflicts of Interest
References
- Mumtaz, S.; Saleem, M.H.; Hameed, M.; Batool, F.; Parveen, A.; Amjad, S.F.; Mahmood, A.; Arfan, M.; Ahmed, S.; Yasmin, H. Anatomical adaptations and ionic homeostasis in aquatic halophyte Cyperus laevigatus L. under high salinities. Saudi J. Biol. Sci. 2021, 28, 2655–2666. [Google Scholar] [CrossRef] [PubMed]
- Malik, J.A.; AlQarawi, A.A.; Dar, B.A.; Hashem, A.; Alshahrani, T.S.; AlZain, M.N.; Habib, M.M.; Javed, M.M.; Abd_Allah, E.F. Arbuscular Mycorrhizal Fungi Isolated from Highly Saline “Sabkha Habitat” Soil Alleviated the NaCl-Induced Stress and Improved Lasiurus scindicus Henr. Growth. Agriculture 2022, 12, 337. [Google Scholar] [CrossRef]
- Abd-ElGawad, A.M.; Assaeed, A.M.; Al-Rowaily, S.L.; Dar, B.M.; Malik, J.A. Moisture and salinity drive the vegetation composition of Wadi Hargan, Riyadh, Saudi Arabia. Diversity 2021, 13, 587. [Google Scholar] [CrossRef]
- Shahid, S.A.; Zaman, M.; Heng, L. Soil salinity: Historical perspectives and a world overview of the problem. In Guideline for Salinity Assessment, Mitigation and Adaptation Using Nuclear and Related Techniques; Springer: Berlin/Heidelberg, Germany, 2018; pp. 43–53. [Google Scholar]
- Munns, R.; Tester, M. Mechanisms of salinity tolerance. Annu. Rev. Plant Biol. 2008, 59, 651–681. [Google Scholar] [CrossRef] [PubMed]
- Etesami, H.; Noori, F. Soil salinity as a challenge for sustainable agriculture and bacterial-mediated alleviation of salinity stress in crop plants. In Saline Soil-Based Agriculture by Halotolerant Microorganisms; Springer: Berlin/Heidelberg, Germany, 2019; pp. 1–22. [Google Scholar]
- Shrivastava, P.; Kumar, R. Soil salinity: A serious environmental issue and plant growth promoting bacteria as one of the tools for its alleviation. J. Plant Growth Regul. 2015, 22, 123–131. [Google Scholar] [CrossRef]
- Abdel Latef, A.A.H.; Chaoxing, H. Does inoculation with Glomus mosseae improve salt tolerance in pepper plants? J. Plant Growth Regul. 2014, 33, 644–653. [Google Scholar] [CrossRef]
- Naz, N.; Fatima, S.; Hameed, M.; Ashraf, M.; Naseer, M.; Ahmad, F.; Zahoor, A. Structural and functional aspects of salt tolerance in differently adapted ecotypes of Aeluropus lagopoides from saline desert habitats. Int. J. Agric. Biol. 2018, 20, 41–51. [Google Scholar]
- Malik, J.A.; AlQarawi, A.A.; AlZain, M.N.; Dar, B.A.; Habib, M.M.; Ibrahim, S.N.S. Effect of Salinity and Temperature on the Seed Germination and Seedling Growth of Desert Forage Grass Lasiurus scindicus Henr. Sustainability 2022, 14, 8387. [Google Scholar] [CrossRef]
- Bothe, H. Arbuscular mycorrhiza and salt tolerance of plants. Symbiosis 2012, 58, 7–16. [Google Scholar] [CrossRef]
- Begum, N.; Qin, C.; Ahanger, M.A.; Raza, S.; Khan, M.I.; Ashraf, M.; Ahmed, N.; Zhang, L. Role of arbuscular mycorrhizal fungi in plant growth regulation: Implications in abiotic stress tolerance. Front. Plant Sci. 2019, 10, 1068. [Google Scholar] [CrossRef]
- Spatafora, J.W.; Chang, Y.; Benny, G.L.; Lazarus, K.; Smith, M.E.; Berbee, M.L.; Bonito, G.; Corradi, N.; Grigoriev, I.; Gryganskyi, A. A phylum-level phylogenetic classification of zygomycete fungi based on genome-scale data. Mycologia 2016, 108, 1028–1046. [Google Scholar] [CrossRef]
- Chandrasekaran, M.; Paramasivan, M.; Ahmad, S. Review on arbuscular mycorrhizal fungi mediated alleviation of arsenic stress. Int. Biodeterior. Biodegrad. 2024, 194, 105872. [Google Scholar] [CrossRef]
- Goddard, M.-L.; Belval, L.; Martin, I.R.; Roth, L.; Laloue, H.; Deglène-Benbrahim, L.; Valat, L.; Bertsch, C.; Chong, J. Arbuscular mycorrhizal symbiosis triggers major changes in primary metabolism together with modification of defense responses and signaling in both roots and leaves of Vitis vinifera. Front. Plant Sci. 2021, 12, 727674. [Google Scholar] [CrossRef] [PubMed]
- Evelin, H.; Giri, B.; Kapoor, R. Contribution of Glomus intraradices inoculation to nutrient acquisition and mitigation of ionic imbalance in NaCl-stressed Trigonella foenum-graecum. Mycorrhiza 2012, 22, 203–217. [Google Scholar] [CrossRef] [PubMed]
- Soumare, A.; Diop, T.; Manga, A.; Ndoye, I. Role of arbuscular mycorrhizal fungi and nitrogen fixing bacteria on legume growth under various environmental stresses. Int. J. Biosci. 2015, 7, 31–46. [Google Scholar]
- Smith, S.E.; Read, D.J. Mycorrhizal Symbiosis; Academic Press: Cambridge, MA, USA, 2010. [Google Scholar]
- Ben-Laouane, R.; Baslam, M.; Ait-El-Mokhtar, M.; Anli, M.; Boutasknit, A.; Ait-Rahou, Y.; Toubali, S.; Mitsui, T.; Oufdou, K.; Wahbi, S. Potential of native arbuscular mycorrhizal fungi, rhizobia, and/or green compost as alfalfa (Medicago sativa) enhancers under salinity. Microorganisms 2020, 8, 1695. [Google Scholar] [CrossRef]
- Khalloufi, M.; Martínez-Andújar, C.; Lachaâl, M.; Karray-Bouraoui, N.; Pérez-Alfocea, F.; Albacete, A. The interaction between foliar GA3 application and arbuscular mycorrhizal fungi inoculation improves growth in salinized tomato (Solanum lycopersicum L.) plants by modifying the hormonal balance. J. Plant Physiol. 2017, 214, 134–144. [Google Scholar] [CrossRef]
- Chen, J.; Zhang, H.; Zhang, X.; Tang, M. Arbuscular mycorrhizal symbiosis alleviates salt stress in black locust through improved photosynthesis, water status, and K+/Na+ homeostasis. Front. Plant Sci. 2017, 8, 1739. [Google Scholar] [CrossRef]
- Frosi, G.; Barros, V.A.; Oliveira, M.T.; Santos, M.; Ramos, D.G.; Maia, L.C.; Santos, M.G. Symbiosis with AMF and leaf Pi supply increases water deficit tolerance of woody species from seasonal dry tropical forest. J. Plant Physiol. 2016, 207, 84–93. [Google Scholar] [CrossRef]
- Evelin, H.; Kapoor, R.; Giri, B. Arbuscular mycorrhizal fungi in alleviation of salt stress: A review. Ann. Bot. 2009, 104, 1263–1280. [Google Scholar] [CrossRef]
- Porcel, R.; Aroca, R.; Ruiz-Lozano, J.M. Salinity stress alleviation using arbuscular mycorrhizal fungi. A review. Agron. Sustain. Dev. 2012, 32, 181–200. [Google Scholar] [CrossRef]
- Chandrasekaran, M.; Chanratana, M.; Kim, K.; Seshadri, S.; Sa, T. Impact of arbuscular mycorrhizal fungi on photosynthesis, water status, and gas exchange of plants under salt stress–a meta-analysis. Front. Plant Sci. 2019, 10, 457. [Google Scholar] [CrossRef] [PubMed]
- Al-Soqeer, A.; Al-Otayk, S.M.; Motawei, M.I. Molecular characterization of new Buffelgrass (‘Cenchrus ciliaris’) genotypes. Plant Omics 2020, 13, 104–107. [Google Scholar] [CrossRef]
- Arshadullah, M.; Malik, M.A.; Rasheed, M.; Jilani, G.; Zahoor, F.; Kaleem, S.J.; Jammu, A.; Rawalakot, K.; Pakistan, K. Seasonal and genotypic variations influence the biomass and nutritional ingredients of Cenchrus ciliaris grass forage. Int. J. Agric. Biol. 2011, 13, 120–124. [Google Scholar]
- Ihsan, Q.; Khan, Z.; Khan, R.; Irfan, A. Evaluating the potential of seed priming techniques in improving germination and early seedling growth of various rangeland grasses. Pak. J. Bot. 2011, 43, 2797–2800. [Google Scholar]
- Siddiqui, Z.S.; Shahid, H.; Cho, J.-I.; Park, S.-H.; Ryu, T.-H.; Park, S.-C. Physiological responses of two halophytic grass species under drought stress environment. Acta Bot. Croat. 2016, 75, 31–38. [Google Scholar] [CrossRef]
- Quraishi, M.A.; Khan, G.S.; Yaqoob, M.S. Range Management in Pakistan; Kazi Publications: Chicago, IL, USA, 1993. [Google Scholar]
- Al-Dakheel, A.J.; Hussain, M.I.; Rahman, A.Q.M.A. Impact of irrigation water salinity on agronomical and quality attributes of Cenchrus ciliaris L. accessions. Agric. Water Manag. 2015, 159, 148–154. [Google Scholar] [CrossRef]
- Ahmad, K.S.; Wazarat, A.; Mehmood, A.; Ahmad, M.S.A.; Tahir, M.M.; Nawaz, F.; Ahmed, H.; Zafar, M.; Ulfat, A. Adaptations in Imperata cylindrica (L.) Raeusch. and Cenchrus ciliaris L. for altitude tolerance. Biologia 2020, 75, 183–198. [Google Scholar] [CrossRef]
- Chauhan, S.S. Desertification control and management of land degradation in the Thar desert of India. Environmentalist 2003, 23, 219–227. [Google Scholar] [CrossRef]
- Bolo, P.O.; Sommer, R.; Kihara, J.; Kinyua, M.; Nyawira, S.; Notenbaert, A.M.O. Rangeland Degradation: Causes, Consequences, Monitoring Techniques and Remedies. CIAT Publication 2019. [Google Scholar]
- Menezes, K.M.; Silva, D.K.; Queiroz, M.A.; Félix, W.P.; Yano-Melo, A.M. Arbuscular mycorrhizal fungal communities in buffelgrass pasture under intercropping and shading systems in Brazilian semiarid conditions. Agric. Ecosyst. Environ. 2016, 230, 55–67. [Google Scholar] [CrossRef]
- Khan, I.A.; Ahmad, S.; Sarwat, M.N.; Nizami, M.; Athar, M.; Mohammad Shabbir, S. Growth response of buffel grass (Cenchrus ciliaris) to phosphorus and mycorrhizal inoculation. Agric. Conspec. Sci. 2007, 72, 129–132. [Google Scholar]
- Thind, S.; Chaudhary, M.S.; Ditta, A.; Hussain, I.; Parveen, A.; Ullah, N.; Mahmood, Q.; Al-Ashkar, I.; El-Sabagh, A. Impact of mycorrhizal fungi from different rhizospheric soils on fungal colonization, growth, and chlorophyll contents of Cenchrus ciliaris. Agronomy 2022, 12, 2644. [Google Scholar] [CrossRef]
- Khan, I.; Ayub, N.; Mirza, S.; Nizami, S.; Azam, M. Yield and water use efficiency (WUE) of Cenchrus ciliaris as influenced by vesicular arbuscular mycorrhizae (VAM). Pak. J. Bot. 2008, 40, 931–937. [Google Scholar]
- Gerdemann, J.; Nicolson, T.H. Spores of mycorrhizal Endogone species extracted from soil by wet sieving and decanting. Trans. Br. Mycol. Soc. 1963, 46, 235–244. [Google Scholar] [CrossRef]
- Schüssler, A.; Walker, C. The Glomeromycota: A Species List with New Families and New Genera. 2010. Available online: https://books.google.com.au/books/about/The_Glomeromycota.html?id=qjILywAACAAJ&redir_esc=y (accessed on 24 March 2024).
- Redecker, D.; Schüßler, A.; Stockinger, H.; Stürmer, S.L.; Morton, J.B.; Walker, C. An evidence-based consensus for the classification of arbuscular mycorrhizal fungi (Glomeromycota). Mycorrhiza 2013, 23, 515–531. [Google Scholar] [CrossRef]
- The International Collection of (Vesicular) Arbuscular Mycorrhizal Fungi Inavam. Available online: https://invam.ku.edu/species-descriptions (accessed on 24 March 2024).
- Phillips, J.M.; Hayman, D. Improved procedures for clearing roots and staining parasitic and vesicular-arbuscular mycorrhizal fungi for rapid assessment of infection. Trans. Br. Mycol. Soc. 1970, 55, 158-IN118. [Google Scholar] [CrossRef]
- Trouvelot, A.; Kough, J.; Gianinazzi-Pearson, V. Estimation of vesicular arbuscular mycorrhizal infection levels. Research for methods having a functional significance. Physiological and genetical aspects of mycorrhizae. In Proceedings of the 1st European Symposium on Mycorrhizae, Dijon, France, 1–5 July 1985; INRA Presse: Paris, France, 1986. [Google Scholar]
- Arnon, D.I. Copper enzymes in isolated chloroplasts. Polyphenoloxidase in Beta vulgaris. Plant Physiol. 1949, 24, 1. [Google Scholar] [CrossRef]
- Bates, L.S.; Waldren, R.P.; Teare, I. Rapid determination of free proline for water-stress studies. Plant Soil 1973, 39, 205–207. [Google Scholar] [CrossRef]
- Ainsworth, E.A.; Gillespie, K.M. Estimation of total phenolic content and other oxidation substrates in plant tissues using Folin–Ciocalteu reagent. Nat. Protoc. 2007, 2, 875–877. [Google Scholar] [CrossRef]
- Soltabayeva, A.; Ongaltay, A.; Omondi, J.O.; Srivastava, S. Morphological, physiological and molecular markers for salt-stressed plants. Plants 2021, 10, 243. [Google Scholar] [CrossRef] [PubMed]
- Aragüés, R.; Medina, E.; Zribi, W.; Clavería, I.; Álvaro-Fuentes, J.; Faci, J. Soil salinization as a threat to the sustainability of deficit irrigation under present and expected climate change scenarios. Irrig. Sci. 2015, 33, 67–79. [Google Scholar] [CrossRef]
- Hildebrandt, U.; Janetta, K.; Ouziad, F.; Renne, B.; Nawrath, K.; Bothe, H. Arbuscular mycorrhizal colonization of halophytes in Central European salt marshes. Mycorrhiza 2001, 10, 175–183. [Google Scholar] [CrossRef]
- Sheng, M.; Tang, M.; Chen, H.; Yang, B.; Zhang, F.; Huang, Y. Influence of arbuscular mycorrhizae on photosynthesis and water status of maize plants under salt stress. Mycorrhiza 2008, 18, 287–296. [Google Scholar] [CrossRef]
- Klinsukon, C.; Lumyong, S.; Kuyper, T.W.; Boonlue, S. Colonization by arbuscular mycorrhizal fungi improves salinity tolerance of eucalyptus (Eucalyptus camaldulensis) seedlings. Sci. Rep. 2021, 11, 4362. [Google Scholar] [CrossRef]
- Lenoir, I.; Fontaine, J.; Sahraoui, A.L.-H. Arbuscular mycorrhizal fungal responses to abiotic stresses: A review. Phytochemistry 2016, 123, 4–15. [Google Scholar] [CrossRef]
- Smith, F.; Smith, S. Structural diversity in (vesicular)–arbuscular mycorrhizal symbioses. New Phytol. 1997, 137, 373–388. [Google Scholar] [CrossRef]
- Aliasgharzadeh, N.; Rastin, S.N.; Towfighi, H.; Alizadeh, A. Occurrence of arbuscular mycorrhizal fungi in saline soils of the Tabriz Plain of Iran in relation to some physical and chemical properties of soil. Mycorrhiza 2001, 11, 119–122. [Google Scholar] [CrossRef]
- Ashraf, M.; Foolad, M.R. Crop breeding for salt tolerance in the era of molecular markers and marker-assisted selection. Plant Breed. 2013, 132, 10–20. [Google Scholar] [CrossRef]
- Ye, L.; Zhao, X.; Bao, E.; Cao, K.; Zou, Z. Effects of arbuscular mycorrhizal fungi on watermelon growth, elemental uptake, antioxidant, and photosystem II activities and stress-response gene expressions under salinity-alkalinity stresses. Front. Plant Sci. 2019, 10, 863. [Google Scholar] [CrossRef]
- Elhindi, K.M.; El-Din, A.S.; Elgorban, A.M. The impact of arbuscular mycorrhizal fungi in mitigating salt-induced adverse effects in sweet basil (Ocimum basilicum L.). Saudi J. Biol. Sci. 2017, 24, 170–179. [Google Scholar] [CrossRef] [PubMed]
- Cavagnaro, T.R.; Smith, F.A.; Ayling, S.M.; Smith, S. Growth and phosphorus nutrition of a Paris-type arbuscular mycorrhizal symbiosis. New Phytol. 2002, 157, 127–134. [Google Scholar] [CrossRef] [PubMed]
- Alqarawi, A.; Abd Allah, E.; Hashem, A. Alleviation of salt-induced adverse impact via mycorrhizal fungi in Ephedra aphylla Forssk. J. Plant Interact. 2014, 9, 802–810. [Google Scholar] [CrossRef]
- Moreira, H.; Pereira, S.I.; Vega, A.; Castro, P.M.; Marques, A.P. Synergistic effects of arbuscular mycorrhizal fungi and plant growth-promoting bacteria benefit maize growth under increasing soil salinity. J. Environ. Manag. 2020, 257, 109982. [Google Scholar] [CrossRef] [PubMed]
- Assaeed, A.M.; Dar, B.A.; Al-Doss, A.A.; Al-Rowaily, S.L.; Malik, J.A.; Abd-ElGawad, A.M. Phenotypic plasticity strategy of Aeluropus lagopoides grass in response to heterogenous saline habitats. Biology 2023, 12, 553. [Google Scholar] [CrossRef] [PubMed]
- Wu, Q.S.; Zou, Y.N.; Liu, W.; Ye, X.; Zai, H.; Zhao, L. Alleviation of salt stress in citrus seedlings inoculated with mycorrhiza: Changes in leaf antioxidant defense systems. Plant Soil Environ. 2010, 56, 470–475. [Google Scholar] [CrossRef]
- Kapoor, R.; Sharma, D.; Bhatnagar, A. Arbuscular mycorrhizae in micropropagation systems and their potential applications. Sci. Hortic. 2008, 116, 227–239. [Google Scholar] [CrossRef]
- Guo, R.; Zhou, J.; Hao, W.; Gu, F.; Liu, Q.; Li, H.; Xia, X.; Mao, L. Germination, growth, chlorophyll fluorescence and ionic balance in linseed seedlings subjected to saline and alkaline stresses. Plant Prod. Sci. 2014, 17, 20–31. [Google Scholar] [CrossRef]
- Taïbi, K.; Taïbi, F.; Abderrahim, L.A.; Ennajah, A.; Belkhodja, M.; Mulet, J. Effect of salt stress on growth, chlorophyll content, lipid peroxidation and antioxidant defence systems in Phaseolus vulgaris L. S. Afr. J. Bot. 2016, 105, 306–312. [Google Scholar] [CrossRef]
- Santos, C.V. Regulation of chlorophyll biosynthesis and degradation by salt stress in sunflower leaves. Sci. Hortic. 2004, 103, 93–99. [Google Scholar] [CrossRef]
- El-Tayeb, M.J. Response of barley grains to the interactive e. ect of salinity and salicylic acid. Plant Growth Regul. 2005, 45, 215–224. [Google Scholar] [CrossRef]
- Sultana, N.; Ikeda, T.; Itoh, R. Effect of NaCl salinity on photosynthesis and dry matter accumulation in developing rice grains. Environ. Exp. Bot. 1999, 42, 211–220. [Google Scholar] [CrossRef]
- Ahmed, M.; Abdel-Fattah, G.G.; Holford, P.; Korany, S.M.; Alsherif, E.A.; AbdElgawad, H.; Ulhassan, Z.; Jośko, I.; Ali, B.; Sheteiwy, M.S. Funneliformis constrictum modulates polyamine metabolism to enhance tolerance of Zea mays L. to salinity. Microbiol. Res. 2023, 266, 127254. [Google Scholar] [CrossRef] [PubMed]
- Hajiboland, R.; Aliasgharzadeh, N.; Laiegh, S.F.; Poschenrieder, C. Colonization with arbuscular mycorrhizal fungi improves salinity tolerance of tomato (Solanum lycopersicum L.) plants. Plant Soil 2009, 331, 313–327. [Google Scholar] [CrossRef]
- Outamamat, E.; Bourhia, M.; Dounas, H.; Salamatullah, A.M.; Alzahrani, A.; Alyahya, H.K.; Albadr, N.A.; Al Feddy, M.N.; Mnasri, B.; Ouahmane, L. Application of Native or Exotic Arbuscular Mycorrhizal Fungi Complexes and Monospecific Isolates from Saline Semi-Arid Mediterranean Ecosystems Improved Phoenix dactylifera’s Growth and Mitigated Salt Stress Negative Effects. Plants 2021, 10, 2501. [Google Scholar] [CrossRef]
- Ahmad, P.; Abdel Latef, A.A.; Hashem, A.; Abd_Allah, E.F.; Gucel, S.; Tran, L.-S.P. Nitric oxide mitigates salt stress by regulating levels of osmolytes and antioxidant enzymes in chickpea. Front. Plant Sci. 2016, 7, 347. [Google Scholar] [CrossRef]
- Kaur, G.; Asthir, B. Proline: A key player in plant abiotic stress tolerance. Biol. Plant. 2015, 59, 609–619. [Google Scholar] [CrossRef]
- Thakur, M.; Sharma, A.J. Salt-stress-induced proline accumulation in germinating embryos: Evidence suggesting a role of proline in seed germination. J. Arid. Environ. 2005, 62, 517–523. [Google Scholar] [CrossRef]
- Wu, N.; Li, Z.; Wu, F.; Tang, M. Comparative photochemistry activity and antioxidant responses in male and female Populus cathayana cuttings inoculated with arbuscular mycorrhizal fungi under salt. Sci. Rep. 2016, 6, 37663. [Google Scholar] [CrossRef]
- Rabie, G.; Almadini, A. Role of bioinoculants in development of salt-tolerance of Vicia faba plants under salinity stress. Afr. J. Biotechnol. 2005, 4, 210–222. [Google Scholar]
- Shekoofeh, E.; Sepideh, H.; Roya, R. Role of mycorrhizal fungi and salicylic acid in salinity tolerance of Ocimum basilicum resistance to salinity. Afr. J. Biotechnol. 2012, 11, 2223–2235. [Google Scholar]
- Al-Garni, S.M.S. Increasing NaCl-salt tolerance of a halophytic plant Phragmites australis by mycorrhizal symbiosis. Am.-Eurasian J. Agric. Environ. Sci. 2006, 1, 119–126. [Google Scholar]
- Giovannetti, M.; Avio, L. Biotechnology of arbuscular mycorrhizas. In Applied Mycology and Biotechnology; Elsevier: Amsterdam, The Netherlands, 2002; Volume 2, pp. 275–310. [Google Scholar]
- Rezazadeh, A.; Ghasemnezhad, A.; Barani, M.; Telmadarrehei, T. Effect of salinity on phenolic composition and antioxidant activity of artichoke (Cynara scolymus L.) leaves. Res. J. Med. Plant 2012, 6, 245–252. [Google Scholar] [CrossRef]
- Mehr, Z.; Khajeh, H.; Bahabadi, S.; Sabbagh, S. Changes on proline, phenolic compounds and activity of antioxidant enzymes in Anethum graveolens L. under salt stress. Int. J. Agron. Plant Prod. 2012, 3, 710–715. [Google Scholar]
- Amarowicz, R.; Weidner, S. Biological activity of grapevine phenolic compounds. In Grapevine Molecular Physiology & Biotechnology; Springer: Berlin/Heidelberg, Germany, 2009; pp. 389–405. [Google Scholar]
- Mohammadkhani, N. Effects of salinity on phenolic compounds in tolerant and sensitive grapes. Poljopr. I Sumar. 2018, 64, 73–86. [Google Scholar] [CrossRef]
- Bartwal, A.; Mall, R.; Lohani, P.; Guru, S.; Arora, S. Role of secondary metabolites and brassinosteroids in plant defense against environmental stresses. J. Plant Growth Regul. 2013, 32, 216–232. [Google Scholar] [CrossRef]






| Location | pH | EC (dS m−1) | K (mg kg−1) | N (mg kg−1) | P (mg kg−1) | Texture |
|---|---|---|---|---|---|---|
| Al-Ghat | 7.83 | 2.89 | 0.59 | 227.33 | 45.67 | Sandy loam |
| ±0.03 | ±0.88 | ±0.075 | ±3.11 | ±14.13 |
| Source of Variation | DF | SS | MS | F | p Value | SS | MS | F | p |
| Shoot Length (cm) | Shoot Dry Mass (g) | ||||||||
| Status (A) | 1 | 35.82 | 35.82 | 4.01 | 0.0527 * | 0.0526 | 0.0526 | 26.43 | <0.0001 *** |
| Salinity (B) | 4 | 5932.07 | 1483.02 | 166.19 | <0.0001 *** | 1.897 | 0.474 | 234.94 | <0.0001 *** |
| A × B | 4 | 43.91 | 10.98 | 1.23 | 0.3153 ns | 0.0462 | 0.011 | 5.8 | 0.001 ** |
| Nodes (No.) | Leaves (No.) | ||||||||
| Status (A) | 1 | 4.5 | 4.5 | 11.84 | 0.001 ** | 4.5 | 4.5 | 7.14 | 0.011 * |
| Salinity (B) | 4 | 74.52 | 18.63 | 49.03 | <0.0001 *** | 196.92 | 49.23 | 78.14 | <0.0001 *** |
| A × B | 4 | 3 | 0.75 | 1.97 | 0.119 ns | 10.6 | 2.65 | 4.21 | 0.006 ** |
| Root Length (cm) | Root Dry Mass (g) | ||||||||
| Status (A) | 1 | 900 | 900 | 10.47 | 0.002 ** | 0.022 | 0.022 | 11.11 | 0.002 ** |
| Salinity (B) | 4 | 90,173.9 | 22,543.5 | 262.14 | <0.0001 *** | 1.219 | 0.304 | 152.36 | <0.0001 *** |
| A × B | 4 | 1282.3 | 320.6 | 3.73 | 0.0123 * | 0.013 | 0.003 | 1.65 | 0.183 ns |
| RSA (cm2) | Root Volume (cm3) | ||||||||
| Status (A) | 1 | 344.8 | 344.79 | 16.85 | 0.0002 *** | 0.756 | 0.755 | 55.92 | <0.0001 *** |
| Salinity (B) | 4 | 13,503.4 | 3375.85 | 164.98 | <0.0001 *** | 20.197 | 5.049 | 373.54 | <0.0001 *** |
| A × B | 4 | 289.9 | 72.47 | 3.54 | 0.015 * | 0.44 | 0.11 | 8.14 | 0.0001 *** |
| Root Dia (cm) | Root Tips (No.) | ||||||||
| Status (A) | 1 | 0.288 | 0.288 | 19.23 | 0.0001 *** | 1076 | 1076.5 | 14.13 | 0.0006 *** |
| Salinity (B) | 4 | 3.743 | 0.935 | 62.35 | <0.0001 *** | 174,884 | 43,720.9 | 573.83 | <0.0001 *** |
| A × B | 4 | 0.053 | 0.0133 | 0.89 | 0.480 ns | 955 | 238.8 | 3.13 | 0.0261 * |
| Source of Variation | DF | SS | MS | F | p Value | SS | MS | F | p Value |
| ChlA | ChlB | ||||||||
| Status (A) | 1 | 126.14 | 126.144 | 105.16 | <0.0001 *** | 32.76 | 32.76 | 49.64 | <0.0001 *** |
| Salinity (B) | 4 | 494.05 | 135.51 | 102.97 | <0.0001 *** | 246.08 | 61.52 | 93.21 | <0.0001 *** |
| A × B | 4 | 24.179 | 6.045 | 5.04 | 0.0025 ** | 15.79 | 3.947 | 5.98 | 0.0009 *** |
| Shoot Proline | Root Proline | ||||||||
| Status (A) | 1 | 66.49 | 66.49 | 28.06 | <0.0001 *** | 49.2 | 49.2 | 13.91 | 0.0007 *** |
| Salinity (B) | 4 | 854.49 | 213.62 | 90.16 | <0.0001 *** | 553.29 | 138.32 | 39.09 | <0.0001 *** |
| A × B | 4 | 88.81 | 22.2 | 9.37 | <0.0001 *** | 81.46 | 20.36 | 5.76 | 0.001 ** |
| Shoot Phenolics | Root Phenolics | ||||||||
| Status (A) | 1 | 30.09 | 30.09 | 0.32 | 0.576 ns | 73.35 | 73.35 | 0.64 | 0.430 ns |
| Salinity (B) | 4 | 3707.95 | 926.98 | 9.78 | <0.0001 *** | 4372.4 | 1093.1 | 9.47 | <0.0001 *** |
| A × B | 4 | 362 | 90.5 | 0.96 | 0.443 ns | 391.12 | 97.78 | 0.85 | 0.505 ns |
| Mycelium | Vesicles | ||||||||
| Status (A) | 1 | 32,207.2 | 32,207.2 | 1243.5 | <0.0001 *** | 4 × 106 | 4274.93 | 200.02 | <0.0001 *** |
| Salinity (B) | 4 | 9173.1 | 2293.3 | 88.54 | <0.0001 *** | 1105.8 | 276.45 | 12.93 | <0.0001 *** |
| A × B | 4 | 9173.1 | 2293.54 | 88.54 | <0.0001 *** | 1105.8 | 276.45 | 12.93 | <0.0001 *** |
| Arbuscules | Total spore count | ||||||||
| Status (A) | 1 | 19,391.1 | 19,391.1 | 487.26 | <0.0001 *** | 684,216 | 684,216 | 962.55 | <0.0001 *** |
| Salinity (B) | 4 | 7727.4 | 1931.8 | 48.54 | <0.0001 *** | 198,989 | 49,747 | 142.69 | <0.0001 *** |
| A × B | 4 | 7727.4 | 1931.8 | 48.54 | <0.0001 | 198,989 | 49,747 | 142.69 | <0.0001 *** |
Disclaimer/Publisher’s Note: The statements, opinions and data contained in all publications are solely those of the individual author(s) and contributor(s) and not of MDPI and/or the editor(s). MDPI and/or the editor(s) disclaim responsibility for any injury to people or property resulting from any ideas, methods, instructions or products referred to in the content. |
© 2024 by the authors. Licensee MDPI, Basel, Switzerland. This article is an open access article distributed under the terms and conditions of the Creative Commons Attribution (CC BY) license (https://creativecommons.org/licenses/by/4.0/).
Share and Cite
Malik, J.A.; Alqarawi, A.A.; Alotaibi, F.; Habib, M.M.; Sorrori, S.N.; Almutairi, M.B.R.; Dar, B.A. Alleviation of NaCl Stress on Growth and Biochemical Traits of Cenchrus ciliaris L. via Arbuscular Mycorrhizal Fungi Symbiosis. Life 2024, 14, 1276. https://doi.org/10.3390/life14101276
Malik JA, Alqarawi AA, Alotaibi F, Habib MM, Sorrori SN, Almutairi MBR, Dar BA. Alleviation of NaCl Stress on Growth and Biochemical Traits of Cenchrus ciliaris L. via Arbuscular Mycorrhizal Fungi Symbiosis. Life. 2024; 14(10):1276. https://doi.org/10.3390/life14101276
Chicago/Turabian StyleMalik, Jahangir A., Abdulaziz A. Alqarawi, Fahad Alotaibi, Muhammad M. Habib, Salah N. Sorrori, Majed B. R. Almutairi, and Basharat A. Dar. 2024. "Alleviation of NaCl Stress on Growth and Biochemical Traits of Cenchrus ciliaris L. via Arbuscular Mycorrhizal Fungi Symbiosis" Life 14, no. 10: 1276. https://doi.org/10.3390/life14101276
APA StyleMalik, J. A., Alqarawi, A. A., Alotaibi, F., Habib, M. M., Sorrori, S. N., Almutairi, M. B. R., & Dar, B. A. (2024). Alleviation of NaCl Stress on Growth and Biochemical Traits of Cenchrus ciliaris L. via Arbuscular Mycorrhizal Fungi Symbiosis. Life, 14(10), 1276. https://doi.org/10.3390/life14101276

