Impact Analysis of Photoperiodic Disorder on the Eyestalk of Chinese Mitten Crab (Eriocheir sinensis) through High-Throughput Sequencing Technology
Abstract
1. Introduction
2. Materials and Methods
2.1. Ethics Statement
2.2. Experimental Design and Sampling
2.3. RNA Isolation and RNA-Seq Library Preparation
2.4. Transcriptome Data Processing and Analysis
2.5. Differential Gene Expression Analysis
2.6. Quantitative Real-Time Polymerase Chain Reaction (qRT-PCR)
3. Result
3.1. Transcriptome Sequence Assessment and Annotation
3.2. Differential Expression Analysis
3.3. GO Functional Classification of Differentially Expressed Genes
3.4. Significant Enrichment Analysis of KEGG Pathway
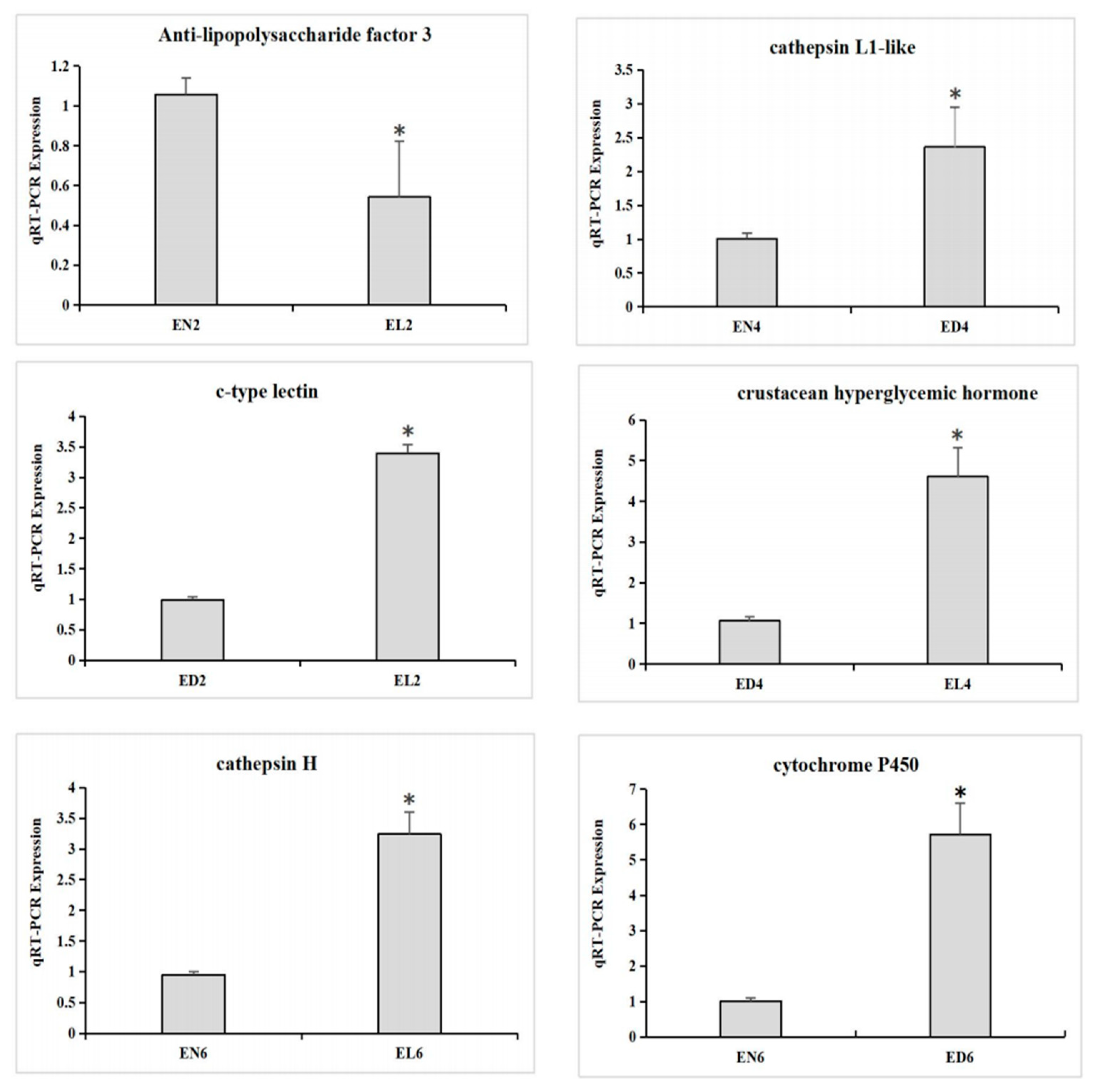
3.5. qRT-PCR Verification
4. Discussion
5. Conclusions
Supplementary Materials
Author Contributions
Funding
Institutional Review Board Statement
Informed Consent Statement
Data Availability Statement
Acknowledgments
Conflicts of Interest
References
- Sauvet, F.; Gomez-Merino, D.; Dorey, R.; Ciret, S.; Gallopin, T.; Drogou, C.; Arnal, P.J.; Chennaoui, M. Lengthening of the photoperiod influences sleep characteristics before and during total sleep deprivation in rat. J. Sleep Res. 2018, 28, e12709. [Google Scholar] [CrossRef]
- Goldstein, M.; Vallejos-Vidal, E.; Wong-Benito, V.; Barraza-Rojas, F.; Tort, L.; Reyes-Lopez, F.E.; Imarai, M. Effects of artificial photoperiods on antigen-dependent immune responses in rainbow trout (Oncorhynchus mykiss). Fish Shellfish Immunol. 2023, 137, 108759. [Google Scholar] [CrossRef] [PubMed]
- Wang, X.; Li, Y.; Hu, J.; Zhang, Y.; Zhang, M.; Wang, G.; Jiang, H.; Sun, J.; Guo, C.; Xu, S.; et al. Effects of different photoperiods on growth and ovarian development and maturation of silver pomfret Pampus argenteus. J. Fish Biol. 2023, 103, 59–72. [Google Scholar] [CrossRef] [PubMed]
- Gauquelin, G.; Gharib, C.; Ghaemmaghami, F.; Allevard, A.M.; Cherbal, F.; Geelen, G.; Bouzeghrane, F.; Legros, J.J. A day/night rhythm of vasopressin and oxytocin in rat retina, pineal and harderian gland. Peptides 1988, 9, 289–293. [Google Scholar] [CrossRef] [PubMed]
- Gomes, N.F.; de Oliveira, L.J.R.; Rabelo, I.P.; de Jesus Pereira, A.N.; Andrade, E.F.; Orlando, D.R.; Zangeronimo, M.G.; Pereira, L.J. Influence of training in the dark or light phase on physiologic and metabolic parameters of Wistar rats submitted to aerobic exercise. Biol. Rhythm Res. 2015, 47, 215–225. [Google Scholar] [CrossRef]
- Lundova, K.; Matousek, J.; Stejskal, V. The effect of non-circadian photoperiod on growth and puberty onset of brook trout Merluccius bilinearis. Animals 2021, 11, 692. [Google Scholar] [CrossRef]
- Singh, A.; Zutshi, B. Photoperiodic effects on somatic growth and gonadal maturation in Mickey Mouse platy, Xiphophorus maculatus (Gunther, 1866). Fish Physiol. Biochem. 2020, 46, 1483–1495. [Google Scholar] [CrossRef] [PubMed]
- Farhadi, A.; Jensen, M.A. Effects of photoperiod and stocking density on survival, growth and physiological responses of narrow clawed crayfish (Astacus leptodactylus). Aquac. Res. 2016, 47, 2518–2527. [Google Scholar] [CrossRef]
- Harlioğlu, M.M.; Duran, T.Ç. The effect of darkness on mating and pleopodal egg production time in a freshwater crayfish, Astacus leptodactylus Eschscholtz. Aquac. Int. 2009, 18, 843–849. [Google Scholar] [CrossRef]
- Basinou, V.; Park, J.-S.; Cederroth, C.R.; Canlon, B. Circadian regulation of auditory function. Hear. Res. 2017, 347, 47–55. [Google Scholar] [CrossRef]
- Fanjul-Moles, M.L.; Escamilla-Chimal, E.G.; Salceda, R.; Giulianini, P.G.; Sanchez-Chavez, G. Circadian modulation of crustacean hyperglycemic hormone in crayfish eyestalk and retina. Chronobiol. Int. 2010, 27, 34–51. [Google Scholar] [CrossRef] [PubMed]
- Han, Z.; Li, X.; Li, X.; Xu, W.; Li, Y. Circadian rhythms of melatonin in haemolymph and optic lobes of Chinese mitten crab (Eriocheir sinensis) and Chinese grass shrimp (Palaemonetes sinensis). Biol. Rhythm Res. 2019, 50, 400–407. [Google Scholar] [CrossRef]
- Christie, A.E. Crustacean neuroendocrine systems and their signaling agents. Cell Tissue Res. 2011, 345, 41–67. [Google Scholar] [CrossRef]
- Alfaro-Montoya, J.; Braga, A.; Umaña-Castro, R. Research frontiers in penaeid shrimp reproduction: Future trends to improve commercial production. Aquaculture 2019, 503, 70–87. [Google Scholar] [CrossRef]
- Kanda, S. Evolution of the regulatory mechanisms for the hypothalamic-pituitary-gonadal axis in vertebrates-hypothesis from a comparative view. Gen. Comp. Endocrinol. 2019, 284, 113075. [Google Scholar] [CrossRef]
- Wang, D.; Wu, F. China Fishery Statistics Year Book; China Agriculture Press: Beijing, China, 2022; p. 34, (In Chinese with English Abstract). [Google Scholar]
- Herborg, L.M.; Rushton, S.P.; Clare, A.S.; Bentley, M.G. Spread of the Chinese mitten crab (Eriocheir sinensis H. Milne Edwards) in Continental Europe: Analysis of a historical data set. Hydrobiologia 2003, 503, 21–28. [Google Scholar] [CrossRef]
- Koronowski, K.B.; Sassone-Corsi, P. Communicating clocks shape circadian homeostasis. Science 2021, 371, eabd0951. [Google Scholar] [CrossRef] [PubMed]
- Andrés, M.; Rotllant, G.; Zeng, C. Survival, development and growth of larvae of the blue swimmer crab, Portunus pelagicus, cultured under different photoperiod conditions. Aquaculture 2010, 300, 218–222. [Google Scholar] [CrossRef]
- Wei, J.; Tian, L.; Wang, Y.; Yu, L.; Zhu, X. Effects of salinity, photoperiod, and light spectrum on larval survival, growth, and related enzyme activities in the giant freshwater prawn, Macrobrachium rosenbergii. Aquaculture 2021, 530, 735794. [Google Scholar] [CrossRef]
- Choi, J.Y.; Choi, Y.-U.; Kho, J.; Choi, C.Y. Effects of various photoperiods and specific wavelengths on circadian rhythm in ornamental cleaner shrimp Lysmata amboinensis. Biol. Rhythm Res. 2018, 50, 897–907. [Google Scholar] [CrossRef]
- She, Q.; Han, Z.; Liang, S.; Xu, W.; Li, X.; Zhao, Y.; Wei, H.; Dong, J.; Li, Y. Impacts of circadian rhythm and melatonin on the specific activities of immune and antioxidant enzymes of the Chinese mitten crab (Eriocheir sinensis). Fish Shellfish Immunol. 2019, 89, 345–353. [Google Scholar] [CrossRef]
- Fanjul-Moles, M.L.; Escamilla-Chimal, E.G.; Gloria-Soria, A.; Hernandez-Herrera, G. The crayfish Procambarus clarkii CRY shows daily and circadian variation. J. Exp. Biol. 2004, 207, 1453–1460. [Google Scholar] [CrossRef] [PubMed]
- Mykles, D.L.; Chang, E.S. Hormonal control of the crustacean molting gland: Insights from transcriptomics and proteomics. Gen. Comp. Endocrinol. 2020, 294, 113493. [Google Scholar] [CrossRef] [PubMed]
- Keller, R. Crustacean neuropeptides: Structures, functions and comparative aspects. Experientia 1992, 48, 439–448. [Google Scholar] [CrossRef]
- Farhadi, A.; Tang, S.; Huang, M.; Yu, Q.; Xu, C.; Li, E. Identification of key immune and stress related genes and pathways by comparative analysis of the gene expression profile under multiple environmental stressors in pacific white shrimp (Litopenaeus vannamei). Fish Shellfish Immunol. 2023, 135, 108695. [Google Scholar] [CrossRef]
- Lu, W.; Wainwright, G.; Webster, S.G.; Rees, H.H.; Turner, P.C. Clustering of mandibular organ-inhibiting hormone and moult-inhibiting hormone genes in the crab, Cancer pagurus, and implications for regulation of expression. Gene 2000, 253, 197–207. [Google Scholar] [CrossRef] [PubMed]
- Gao, Q.; Li, B.; Wei, B.X.; Liu, W.; Wang, P.; Wang, J.L.; Zhou, X.M.; Wang, X.P. Juvenile hormone regulates photoperiod-mediated male reproductive diapause via the methoprene-tolerant gene in the ladybeetle Harmonia axyridis. Insect Sci. 2021, 29, 139–150. [Google Scholar] [CrossRef] [PubMed]
- Chen, H.Y.; Toullec, J.Y.; Lee, C.Y. The crustacean hyperglycemic hormone superfamily: Progress made in the past decade. Front. Endocrinol. 2020, 11, 578958. [Google Scholar] [CrossRef]
- Viljanen, M.L.M.; Nevala, N.E.; Calais-Grano, C.L.; Lindstrom, K.M.W.; Donner, K. Increasing the illumination slowly over several weeks protects against light damage in the eyes of the crustacean. J. Exp. Biol. 2017, 220, 2798–2808. [Google Scholar] [CrossRef]
- Xie, X.; Zhu, D.; Yang, J.; Qiu, X.; Cui, X.; Tang, J. Molecular cloning of two structure variants of crustacean hyperglycemic hormone (CHH) from the swimming crab (Portunus trituberculatus), and their gene expression during molting and ovarian development. Zool. Sci. 2014, 31, 802–809. [Google Scholar] [CrossRef]
- Mattson, M.P.; Spaziani, E. Stress reduces hemolymph ecdysteroid levels in the crab: Mediation by the eyestalks. J. Exp. Zool. 1985, 234, 319–323. [Google Scholar] [CrossRef]
- Chen, Q.; Kang, C. Advancements in the study of the classification and immune function of shrimp hemocytes. Chin. J. Biotechnol. 2021, 37, 53–66. [Google Scholar]
- Harris, J.; Hope, J.C.; Lavelle, E.C. Autophagy and the immune response to TB. Transbound. Emerg. Dis. 2009, 56, 248–254. [Google Scholar] [CrossRef]
- Varadaraj, K.; Kumari, S.S.; Skinner, D.M. Molecular characterization of four members of the alpha-tubulin gene family of the Bermuda land crab Gecarcinus lateralis. J. Exp. Zool. 1997, 278, 63–77. [Google Scholar] [CrossRef]
- Kang, T.; Xia, Y.; Dong, T.; Zheng, X.; Yang, S.; Qian, S.; Huang, M.; Fei, H. C-type lectin with a QPN motif from swimming crab (Portunus trituberculatus) displays broad nonself-recognition ability and functions as an opsonin. Dev. Comp. Immunol. 2021, 120, 104066. [Google Scholar] [CrossRef] [PubMed]
- Ma, H.L.; Shi, Y.H.; Zhang, X.H.; Li, M.Y.; Chen, J. A transmembrane C-type lectin receptor mediates LECT2 effects on head kidney-derived monocytes/macrophages in a teleost, Plecoglossus altivelis. Fish Shellfish Immunol. 2016, 51, 70–76. [Google Scholar] [CrossRef] [PubMed]
- Wang, X.W.; Xu, J.D.; Zhao, X.F.; Vasta, G.R.; Wang, J.X. A shrimp C-type lectin inhibits proliferation of the hemolymph microbiota by maintaining the expression of antimicrobial peptides. J. Biol. Chem. 2014, 289, 11779–11790. [Google Scholar] [CrossRef] [PubMed]
- Wang, S.; Li, H.; Chen, R.; Jiang, X.; He, J.; Li, C. TAK1 confers antibacterial protection through mediating the activation of MAPK and NF-kappaB pathways in shrimp. Fish Shellfish Immunol. 2022, 123, 248–256. [Google Scholar] [CrossRef] [PubMed]
- Obrietan, K.; Impey, S.; Storm, D.R. Light and circadian rhythmicity regulate MAP kinase activation in the suprachiasmatic nuclei. Nat. Neurosci. 1998, 1, 693–700. [Google Scholar] [CrossRef] [PubMed]
- Alzate-Correa, D.; Aten, S.; Campbell, M.J.; Hoyt, K.R.; Obrietan, K. Light-induced changes in the suprachiasmatic nucleus transcriptome regulated by the ERK/MAPK pathway. PLoS ONE 2021, 16, e0249430. [Google Scholar] [CrossRef]
- Araki, S.; Osuka, K.; Takata, T.; Tsuchiya, Y.; Watanabe, Y. Coordination between Calcium/Calmodulin-Dependent Protein Kinase II and Neuronal Nitric Oxide Synthase in Neurons. Int. J. Mol. Sci. 2020, 21, 7997. [Google Scholar] [CrossRef] [PubMed]
- Cheng, H.Y.; Dziema, H.; Papp, J.; Mathur, D.P.; Koletar, M.; Ralph, M.R.; Penninger, J.M.; Obrietan, K. The molecular gatekeeper Dexras1 sculpts the photic responsiveness of the mammalian circadian clock. J. Neurosci. Off. J. Soc. Neurosci. 2006, 26, 12984–12995. [Google Scholar] [CrossRef] [PubMed]






| Target Gene | Forward (5′–3′) | Reverse (5′–3′) |
|---|---|---|
| β-actin | GCCAAGACTCAACCCACGTAAA | TCACCGGCAAAACCAGACTT |
| anti-lipopolysaccharide-factor 3 | GACCCTTTGCTGAATGCTTGA | CTGCTCTACAATGTCGCCTGA |
| cathepsin L1-like | ACAGGAAGCCGTTCATAGC | GCACGGTATGGGAAGCA |
| cathepsin H | CATTACGGAGAGAGGAAGCTTGT | GTTTTCCAGGAAGCACAAACTC |
| crustacean hyperglycemic hormone | GCTACAGCAACCTCGTCTTCCG | TTCTTCCTGCCAACCACCC |
| c-type lectin | ATGGGTGGAAGCGGTAGCC | TCGGGTGCCAGAAGGGAAT |
| cytochrome P450 | CCAACTGTCTTGTTCTCCCCACT | CTCTTCTGCCGAGCATGTCTCA |
| Sample | Gene | Up/Down | p Value |
|---|---|---|---|
| EN2 vs. ED2 | cuticle protein 7-like | up | 0.001756418 |
| cytochrome P450 | up | 0.009890736 | |
| alpha-tubulin | up | 0.0220984 | |
| EN2 vs. EL2 | anti-lipopolysaccharide factor 3 | down | 0.00011537 |
| integrin alpha 4 | down | 0.000588365 | |
| c-type lectin | down | 0.009270203 | |
| ED2 vs. EL2 | cathepsin L1-like | up | 0.000136118 |
| c-type lectin | up | 0.015881644 | |
| juvenile hormone-inducible protein | down | 0.007739685 | |
| EN4 vs. ED4 | cytochrome P450 | down | 6.48881 × 10−7 |
| anti-lipopolysaccharide factor 2 | down | 0.002221855 | |
| cuticle protein | up | 0.003159027 | |
| insulin-like growth factor-binding protein | up | 0.024775594 | |
| cathepsin L1-like | up | 0.031447548 | |
| EN4 vs. EL4 | alpha-tubulin | up | 2.55705 × 10−6 |
| catalase | up | 0.010462105 | |
| gonadotropin inducible transcription | up | 0.02381274 | |
| cathepsin H | up | 0.015726694 | |
| anti-lipopolysaccharide factor | down | 0.002775506 | |
| anti-lipopolysaccharide factor 2 | down | 0.011498019 | |
| ED4 vs. EL4 | cathepsin H | up | 6.89838 × 10−6 |
| cytochrome P450 CYP2 | up | 2.77952 × 10−5 | |
| cathepsin L1-like | up | 0.00432067 | |
| crustacean hyperglycemic hormone | up | 0.014342243 | |
| EN6 vs. ED6 | perlucin 5 | up | 0.007388809 |
| cytochrome P450 | up | 0.014066799 | |
| EN6 vs. EL6 | alpha-tubulin | up | 9.17 × 10−6 |
| heat shock 70 kDa protein | up | 1.68497 × 10−5 | |
| cathepsin H | up | 0.000438936 | |
| cathepsin L1-like | up | 0.00108408 | |
| catalase | up | 0.010191505 | |
| ED6 vs. EL6 | cathepsin H | up | 0.004655283 |
| crustin 4 | down | 0.02655283 |
| Gene | Chromosome | Length | p Value |
|---|---|---|---|
| crustacean hyperglycemic hormone | chr50 | 339 | 0.096884486 |
| molt-inhibiting hormone 1 | chr38 | 513 | 0.264026133 |
| crustacean female hormone | chr40 | 702 | 0.095992495 |
| gonadotropin-releasing hormone receptor | chr3 | 633 | 0.134805803 |
| eclosion hormone | chr33 | 264 | 0.572562442 |
Disclaimer/Publisher’s Note: The statements, opinions and data contained in all publications are solely those of the individual author(s) and contributor(s) and not of MDPI and/or the editor(s). MDPI and/or the editor(s) disclaim responsibility for any injury to people or property resulting from any ideas, methods, instructions or products referred to in the content. |
© 2024 by the authors. Licensee MDPI, Basel, Switzerland. This article is an open access article distributed under the terms and conditions of the Creative Commons Attribution (CC BY) license (https://creativecommons.org/licenses/by/4.0/).
Share and Cite
Zhang, B.; Chai, Y.; Xu, Y.; Huang, Z.; Hu, X.; Li, Y. Impact Analysis of Photoperiodic Disorder on the Eyestalk of Chinese Mitten Crab (Eriocheir sinensis) through High-Throughput Sequencing Technology. Life 2024, 14, 209. https://doi.org/10.3390/life14020209
Zhang B, Chai Y, Xu Y, Huang Z, Hu X, Li Y. Impact Analysis of Photoperiodic Disorder on the Eyestalk of Chinese Mitten Crab (Eriocheir sinensis) through High-Throughput Sequencing Technology. Life. 2024; 14(2):209. https://doi.org/10.3390/life14020209
Chicago/Turabian StyleZhang, Baoli, Yuqiao Chai, Yingkai Xu, Ziwei Huang, Xueqing Hu, and Yingdong Li. 2024. "Impact Analysis of Photoperiodic Disorder on the Eyestalk of Chinese Mitten Crab (Eriocheir sinensis) through High-Throughput Sequencing Technology" Life 14, no. 2: 209. https://doi.org/10.3390/life14020209
APA StyleZhang, B., Chai, Y., Xu, Y., Huang, Z., Hu, X., & Li, Y. (2024). Impact Analysis of Photoperiodic Disorder on the Eyestalk of Chinese Mitten Crab (Eriocheir sinensis) through High-Throughput Sequencing Technology. Life, 14(2), 209. https://doi.org/10.3390/life14020209

