Exploring the Proteomic Signature of Diabetic Nephropathy: Implications for Early Diagnosis and Treatment
Abstract
1. Introduction
2. Materials and Methods
2.1. Study Design and Participant Selection
2.1.1. Inclusion Criteria
2.1.2. Ethical Approval
2.2. Sample Collection and Preparation
2.2.1. Blood Sample Collection
2.2.2. Sample Processing
2.3. Proteomic Analysis
2.3.1. Protein Extraction and Quantification
2.3.2. Protein Digestion and Labeling
2.3.3. Mass Spectrometry Analysis
2.4. Bioinformatics and Statistical Analysis
3. Results
3.1. Study Population
3.2. Comparative Proteomic Analysis Between Diabetic Nephropathy Patients and Healthy Controls
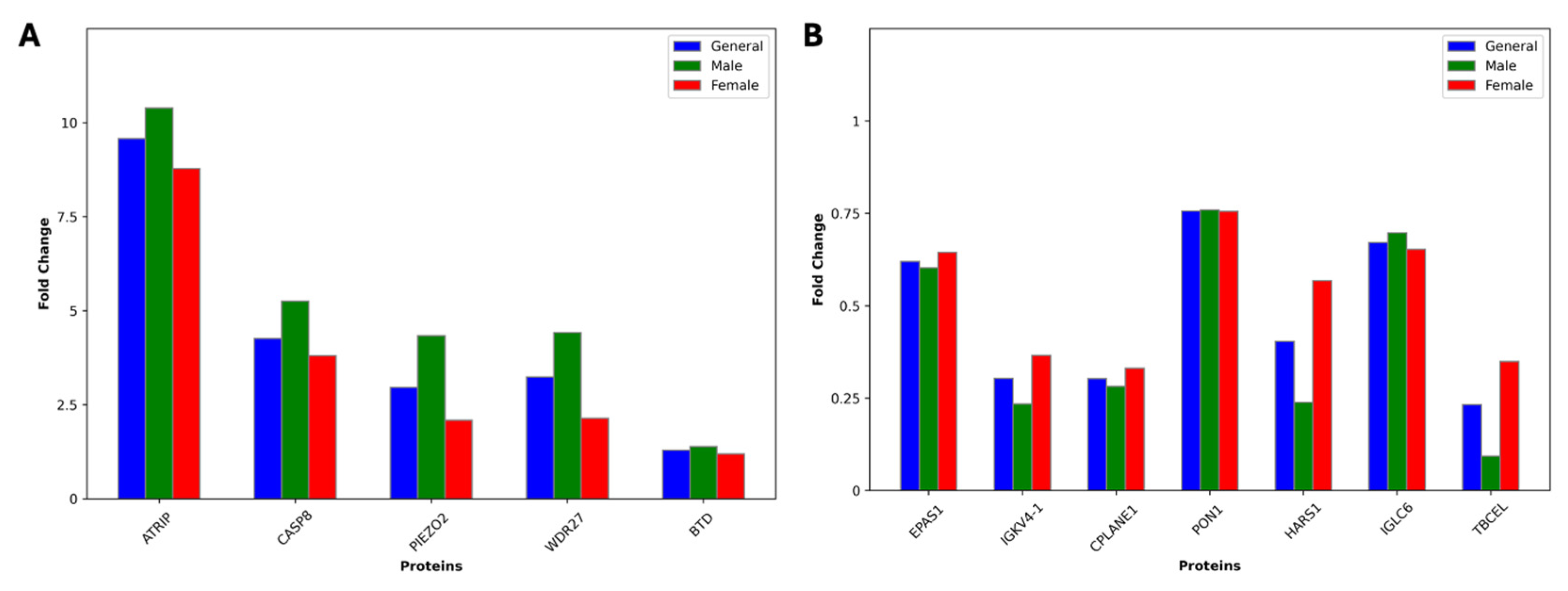
3.3. Differential Expression Analysis: Volcano Plots and Five-Fold Changes
3.4. Pathway Analysis and Protein–Protein Interaction Network in Diabetic Nephropathy Patients
4. Discussion
5. Conclusions
Supplementary Materials
Author Contributions
Funding
Institutional Review Board Statement
Informed Consent Statement
Data Availability Statement
Conflicts of Interest
Abbreviations
| DN | Diabetic Nephropathy |
| DM | Diabetes Mellitus |
| DM1 | Type 1 Diabetes |
| DM2 | Type 2 Diabetes |
| DKD | Diabetic Kidney Disease |
| ESRD | End-Stage Renal Disease |
| GFR | Glomerular Filtration Rate |
| eGFR | Estimated Glomerular Filtration Rate |
| RAAS | Renin–Angiotensin–Aldosterone System |
| AGEs | Advanced Glycation End Products |
| Ang-II | Angiotensin II |
| ROS | Reactive Oxygen Species |
| IL-6 | Interleukin-6 |
| TNF-α | Tumor Necrosis Factor-Alpha |
| NF-κB | Nuclear Factor Kappa-Light-Chain-Enhancer of Activated B Cells |
| PKC | Protein Kinase C |
| MS | Mass Spectrometry |
| EDTA | Ethylenediaminetetraacetic Acid |
| PBS | Phosphate-Buffered Saline |
| FASP | Filter Aided Sample Preparation |
| LC-MS/MS | Liquid Chromatography–Mass Spectrometry/Mass Spectrometry |
| CE | Collision Energy |
| IMS | Ion Mobility Separation |
| KEGG | Kyoto Encyclopedia of Genes and Genomes |
| GO | Gene Ontology |
| DAVID | Database for Annotation, Visualization, and Integrated Discovery |
| SPSS | Statistical Package for the Social Sciences |
| PPI | Protein–Protein Interaction |
| STRING | Search Tool for the Retrieval of Interacting Genes/Proteins |
| WBC | White Blood Cell |
| RBC | Red Blood Cell |
| HGB | Hemoglobin |
| HCT | Hematocrit |
| PLT | Platelets |
| MCV | Mean Corpuscular Volume |
| MCH | Mean Corpuscular Hemoglobin |
| MCHC | Mean Corpuscular Hemoglobin Concentration |
| RDW | Red Cell Distribution Width |
| HbA1c | Hemoglobin A1c |
| ACR | Albumin-to-Creatinine Ratio |
| PCR | Protein-to-Creatinine Ratio |
| DEPs | Differentially Expressed Proteins |
| BP | Biological Processes |
| CC | Cellular Components |
| MF | Molecular Functions |
| HDL | High-Density Lipoprotein |
| HIF-2α | Hypoxia-Inducible Factor 2 Alpha |
| FSGS | Focal Segmental Glomerulosclerosis |
| CKD | Chronic Kidney Disease |
| vWF | von Willebrand Factor |
| LIS | Laboratory Information Systems |
| ELISA | Enzyme-linked Immunosorbent Assay |
References
- Valencia, W.M.; Florez, H. How to prevent the microvascular complications of type 2 diabetes beyond glucose control. BMJ 2017, 356, i6505. [Google Scholar] [CrossRef]
- Xue, R.; Gui, D.; Zheng, L.; Zhai, R.; Wang, F.; Wang, N. Mechanistic Insight and Management of Diabetic Nephropathy: Recent Progress and Future Perspective. J. Diabetes Res. 2017, 2017, 1839809. [Google Scholar] [CrossRef] [PubMed]
- Alicic, R.Z.; Rooney, M.T.; Tuttle, K.R. Diabetic Kidney Disease. Clin. J. Am. Soc. Nephrol. 2017, 12, 2032–2045. [Google Scholar] [CrossRef]
- Reutens, A.T. Epidemiology of Diabetic Kidney Disease. Med. Clin. N. Am. 2013, 97, 499–517. [Google Scholar] [CrossRef] [PubMed]
- Maggiore, U.; Budde, K.; Heemann, U.; Hilbrands, L.; Oberbauer, R.; Oniscu, G.C.; Pascual, J.; Schwartz Sorensen, S.; Viklicky, O.; Abramowicz, D. Long-term risks of kidney living donation: Review and position paper by the ERA-EDTA DESCARTES working group. Nephrol. Dial. Transplant. 2017, 32, 216–223. [Google Scholar] [CrossRef] [PubMed]
- Selby, N.M.; Taal, M.W. An updated overview of diabetic nephropathy: Diagnosis, prognosis, treatment goals and latest guidelines. Diabetes Obes. Metab. 2020, 22, 3–15. [Google Scholar] [CrossRef]
- Sternlicht, H.; Bakris, G.L. Management of Hypertension in Diabetic Nephropathy: How Low Should We Go? Blood Purif. 2016, 41, 139–143. [Google Scholar] [CrossRef]
- Donate-Correa, J.; Luis-Rodríguez, D.; Martín-Núñez, E.; Tagua, V.G.; Hernández-Carballo, C.; Ferri, C.; Rodríguez-Rodríguez, A.E.; Mora-Fernández, C.; Navarro-González, J.F. Inflammatory Targets in Diabetic Nephropathy. J. Clin. Med. 2020, 9, 458. [Google Scholar] [CrossRef]
- Samsu, N. Diabetic Nephropathy: Challenges in Pathogenesis, Diagnosis, and Treatment. BioMed Res. Int. 2021, 2021, 1497449. [Google Scholar] [CrossRef]
- Chawla, T. Role of the renin angiotensin system in diabetic nephropathy. World J. Diabetes 2010, 1, 141. [Google Scholar] [CrossRef]
- Singh, R.; Singh, A.K.; Alavi, N.; Leehey, D.J. Mechanism of Increased Angiotensin II Levels in Glomerular Mesangial Cells Cultured in High Glucose. J. Am. Soc. Nephrol. 2003, 14, 873–880. [Google Scholar] [CrossRef]
- Vidotti, D.B.; Casarini, D.E.; Cristovam, P.C.; Leite, C.A.; Schor, N.; Boim, M.A. High glucose concentration stimulates intracellular renin activity and angiotensin II generation in rat mesangial cells. Am. J. Physiol.-Ren. Physiol. 2004, 286, F1039–F1045. [Google Scholar] [CrossRef] [PubMed]
- Gilbert, R.E.; Krum, H.; Wilkinson-Berka, J.; Kelly, D.J. The renin–angiotensin system and the long-term complications of diabetes: Pathophysiological and therapeutic considerations. Diabet. Med. 2003, 20, 607–621. [Google Scholar] [CrossRef]
- Lim, A.K.H.; Tesch, G.H. Inflammation in Diabetic Nephropathy. Mediat. Inflamm. 2012, 2012, 146154. [Google Scholar] [CrossRef]
- Liu, Y. Cellular and molecular mechanisms of renal fibrosis. Nat. Rev. Nephrol. 2011, 7, 684–696. [Google Scholar] [CrossRef] [PubMed]
- Duni, A.; Liakopoulos, V.; Roumeliotis, S.; Peschos, D.; Dounousi, E. Oxidative Stress in the Pathogenesis and Evolution of Chronic Kidney Disease: Untangling Ariadne’s Thread. Int. J. Mol. Sci. 2019, 20, 3711. [Google Scholar] [CrossRef]
- Tavafi, M. Diabetic nephropathy and antioxidants. J. Nephropathol. 2013, 2, 20–27. [Google Scholar] [CrossRef] [PubMed]
- Navarro-González, J.F.; Mora-Fernández, C.; de Fuentes, M.M.; García-Pérez, J. Inflammatory molecules and pathways in the pathogenesis of diabetic nephropathy. Nat. Rev. Nephrol. 2011, 7, 327–340. [Google Scholar] [CrossRef]
- Menne, J.; Park, J.-K.; Boehne, M.; Elger, M.; Lindschau, C.; Kirsch, T.; Meier, M.; Gueler, F.; Fiebeler, A.; Bahlmann, F.H.; et al. Diminished Loss of Proteoglycans and Lack of Albuminuria in Protein Kinase C-α—Deficient Diabetic Mice. Diabetes 2004, 53, 2101–2109. [Google Scholar] [CrossRef]
- Thipsawat, S. Early detection of diabetic nephropathy in patient with type 2 diabetes mellitus: A review of the literature. Diabetes Vasc. Dis. Res. 2021, 18, 14791641211058856. [Google Scholar] [CrossRef]
- Liu, R.; Li, G.; Cui, X.; Zhang, D.; Yang, Q.; Mu, X.; Pan, W. Methodological evaluation and comparison of five urinary albumin measurements. J. Clin. Lab. Anal. 2011, 25, 324–329. [Google Scholar] [CrossRef] [PubMed]
- Jim, B.; Santos, J.; Spath, F.; Cijiang He, J. Biomarkers of Diabetic Nephropathy, the Present and the Future. Curr. Diabetes Rev. 2012, 8, 317–328. [Google Scholar] [CrossRef]
- Thornton Snider, J.; Sullivan, J.; van Eijndhoven, E.; Hansen, M.K.; Bellosillo, N.; Neslusan, C.; O’Brien, E.; Riley, R.; Seabury, S.; Kasiske, B.L. Lifetime benefits of early detection and treatment of diabetic kidney disease. PLoS ONE 2019, 14, e0217487. [Google Scholar] [CrossRef] [PubMed]
- Merchant, M.L.; Klein, J.B. Proteomics and Diabetic Nephropathy. Semin. Nephrol. 2007, 27, 627–636. [Google Scholar] [CrossRef]
- Beker, M.C.; Caglayan, B.; Yalcin, E.; Caglayan, A.B.; Turkseven, S.; Gurel, B.; Kelestemur, T.; Sertel, E.; Sahin, Z.; Kutlu, S.; et al. Time-of-Day Dependent Neuronal Injury After Ischemic Stroke: Implication of Circadian Clock Transcriptional Factor Bmal1 and Survival Kinase AKT. Mol. Neurobiol. 2018, 55, 2565–2576. [Google Scholar] [CrossRef]
- Cevik, O.; Baykal, A.T.; Sener, A. Platelets Proteomic Profiles of Acute Ischemic Stroke Patients. PLoS ONE 2016, 11, e0158287. [Google Scholar] [CrossRef] [PubMed]
- Tang, D.; Chen, M.; Huang, X.; Zhang, G.; Zeng, L.; Zhang, G.; Wu, S.; Wang, Y. SRplot: A free online platform for data visualization and graphing. PLoS ONE 2023, 18, e0294236. [Google Scholar] [CrossRef]
- Luque, Y.; Lenoir, O.; Bonnin, P.; Hardy, L.; Chipont, A.; Placier, S.; Vandermeersch, S.; Xu-Dubois, Y.-C.; Robin, B.; Lazareth, H.; et al. Endothelial Epas1 Deficiency Is Sufficient to Promote Parietal Epithelial Cell Activation and FSGS in Experimental Hypertension. J. Am. Soc. Nephrol. 2017, 28, 3563–3578. [Google Scholar] [CrossRef]
- Ye, Z.; Zhang, Y.; Huang, N.; Chen, S.; Wu, X.; Li, L. Immune repertoire and evolutionary trajectory analysis in the development of diabetic nephropathy. Front. Immunol. 2022, 13, 1006137. [Google Scholar] [CrossRef]
- Ikeda, Y.; Suehiro, T.; Inoue, M.; Nakauchi, Y.; Morita, T.; Arii, K.; Ito, H.; Kumon, Y.; Hashimoto, K. Serum paraoxonase activity and its relationship to diabetic complications in patients with non—Insulin-dependent diabetes mellitus. Metabolism 1998, 47, 598–602. [Google Scholar] [CrossRef]
- Zhou, H.; Tan, K.C.; Shiu, S.W.; Wong, Y. Increased serum advanced glycation end products are associated with impairment in HDL antioxidative capacity in diabetic nephropathy. Nephrol. Dial. Transplant. 2007, 23, 927–933. [Google Scholar] [CrossRef]
- Samouilidou, E.C.; Liaouri, A.; Kostopoulos, V.; Nikas, D.; ad Grapsa, E. The importance of paraoxonase 1 activity in chronic kidney disease. Ren. Fail. 2024, 46, 2376930. [Google Scholar] [CrossRef] [PubMed]
- Meyer-Schuman, R.; Antonellis, A. Evidence for a dominant-negative mechanism in HARS1-mediated peripheral neuropathy. FEBS J. 2021, 288, 91–94. [Google Scholar] [CrossRef] [PubMed]
- Sugita, E.; Hayashi, K.; Hishikawa, A.; Itoh, H. Epigenetic Alterations in Podocytes in Diabetic Nephropathy. Front. Pharmacol. 2021, 12, 759299. [Google Scholar] [CrossRef] [PubMed]
- Fathzadeh, M.; Li, J.; Rao, A.; Cook, N.; Chennamsetty, I.; Seldin, M.; Zhou, X.; Sangwung, P.; Gloudemans, M.J.; Keller, M.; et al. FAM13A affects body fat distribution and adipocyte function. Nat. Commun. 2020, 11, 1465. [Google Scholar] [CrossRef]
- Lundbäck, V.; Kulyte, A.; Strawbridge, R.J.; Ryden, M.; Arner, P.; Marcus, C.; Dahlman, I. FAM13A and POM121C are candidate genes for fasting insulin: Functional follow-up analysis of a genome-wide association study. Diabetologia 2018, 61, 1112–1123. [Google Scholar] [CrossRef]
- Lin, X.; Liou, Y.-H.; Li, Y.; Gong, L.; Li, Y.; Hao, Y.; Pham, B.; Xu, S.; Jiang, Z.; Li, L.; et al. FAM13A Represses AMPK Activity and Regulates Hepatic Glucose and Lipid Metabolism. iScience 2020, 23, 100928. [Google Scholar] [CrossRef]
- Fritsch, M.; Günther, S.D.; Schwarzer, R.; Albert, M.-C.; Schorn, F.; Werthenbach, J.P.; Schiffmann, L.M.; Stair, N.; Stocks, H.; Seeger, J.M.; et al. Caspase-8 is the molecular switch for apoptosis, necroptosis and pyroptosis. Nature 2019, 575, 683–687. [Google Scholar] [CrossRef]
- Hu, J.; Dong, X.; Yao, X.; Yi, T. Circulating inflammatory factors and risk causality associated with type 2 diabetic nephropathy: A Mendelian randomization and bioinformatics study. Medicine 2024, 103, e38864. [Google Scholar] [CrossRef]
- Tesch, G.H. Diabetic nephropathy—Is this an immune disorder? Clin. Sci. 2017, 131, 2183–2199. [Google Scholar] [CrossRef]
- Oba, R.; Ueno, H.; Oishi, A.; Nagahama, K.; Kanzaki, G.; Tsuboi, N.; Yokoo, T.; Nagase, M. Upregulation of Piezo2 and increased extracellular matrix protein in diabetic kidney disease mice. Hypertens. Res. 2025, 48, 1514–1528. [Google Scholar] [CrossRef] [PubMed]
- Altman, J.; Bai, S.; Purohit, S.; White, J.; Steed, D.; Liu, S.; Hopkins, D.; She, J.-X.; Sharma, A.; Zhi, W. A candidate panel of eight urinary proteins shows potential of early diagnosis and risk assessment for diabetic kidney disease in type 1 diabetes. J. Proteom. 2024, 300, 105167. [Google Scholar] [CrossRef] [PubMed]
- Domingueti, C.P.; Dusse, L.M.S.; Carvalho, M.; das Graças Carvalho, M.; Gomes, K.B.; Fernandes, A.P. Hypercoagulability and cardiovascular disease in diabetic nephropathy. Clin. Chim. Acta 2013, 415, 279–285. [Google Scholar] [CrossRef] [PubMed]
- Si, S.; Liu, H.; Xu, L.; Zhan, S. Identification of novel therapeutic targets for chronic kidney disease and kidney function by integrating multi-omics proteome with transcriptome. Genome Med. 2024, 16, 84. [Google Scholar] [CrossRef]
- Zhang, W.; Ma, L.; Zhou, Q.; Gu, T.; Zhang, X.; Xing, H. Therapeutic Targets for Diabetic Kidney Disease: Proteome-Wide Mendelian Randomization and Colocalization Analyses. Diabetes 2024, 73, 618–627. [Google Scholar] [CrossRef]
- Van Roy, N.; Speeckaert, M.M. The Potential Use of Targeted Proteomics and Metabolomics for the Identification and Monitoring of Diabetic Kidney Disease. J. Pers. Med. 2024, 14, 1054. [Google Scholar] [CrossRef]
- Hill, C.; McKnight, A.J.; Smyth, L.J. Integrated multiomic analyses: An approach to improve understanding of diabetic kidney disease. Diabet. Med. 2025, 42, e15447. [Google Scholar] [CrossRef]
- Hu, X.; Chen, S.; Ye, S.; Chen, W.; Zhou, Y. New insights into the role of immunity and inflammation in diabetic kidney disease in the omics era. Front. Immunol. 2024, 15, 1342837. [Google Scholar] [CrossRef]
- Parker, C.E.; Borchers, C.H. Mass spectrometry based biomarker discovery, verification, and validation—Quality assurance and control of protein biomarker assays. Mol. Oncol. 2014, 8, 840–858. [Google Scholar] [CrossRef]
- Birhanu, A.G. Mass spectrometry-based proteomics as an emerging tool in clinical laboratories. Clin. Proteom. 2023, 20, 32. [Google Scholar] [CrossRef]
- Ma, Y.; Wang, D.; Li, H.; Ma, X.; Zou, Y.; Mu, D.; Yu, S.; Cheng, X.; Qiu, L. Liquid chromatography-tandem mass spectrometry in clinical laboratory protein measurement. Clin. Chim. Acta 2024, 562, 119846. [Google Scholar] [CrossRef] [PubMed]










| Parameter | Control Group (Mean ± SD) | Patient Group (Mean ± SD) | Reference Range |
|---|---|---|---|
| WBC (×109/L) | 6.45 ± 1.45 | 8.73 ± 2.13 | 4.0–11.0 |
| RBC (×1012/L) | 4.62 ± 0.34 | 4.45 ± 0.64 | 4.2–6.1 |
| HGB (g/dL) | 13.28 ± 1.63 | 12.05 ± 2.26 | 12.0–17.5 |
| HCT (%) | 40.18 ± 4.38 | 37.28 ± 6.54 | 36–53 |
| PLT (×109/L) | 255.5 ± 67.92 | 278.5 ± 69.32 | 150–450 |
| MCV (fL) | 86.81 ± 4.9 | 83.93 ± 8.69 | 80–100 |
| MCH (pg) | 28.71 ± 1.95 | 27.16 ± 3.72 | 27–34 |
| MCHC (g/dL) | 33.06 ± 1.08 | 32.26 ± 1.67 | 30–36 |
| RDW (%) | 14.34 ± 3.8 | 15.58 ± 2.27 | 11.5–14.5 |
| Creatinine (mg/dL) | 0.67 ± 0.08 | 2.24 ± 1.62 | 0.7–1.2 |
| GFR (mL/min/1.73 m2) | 115.56 ± 16.97 | 38.5 ± 16.15 | >60 |
| HbA1c (%) | 5.39 ± 0.22 | 7.49 ± 1.72 | 4–6 |
| ACR (mg/g) | 624.21 ± 170.85 | <30 | |
| PCR (mg/g) | 1428.92 ± 732.63 | <150 |
Disclaimer/Publisher’s Note: The statements, opinions and data contained in all publications are solely those of the individual author(s) and contributor(s) and not of MDPI and/or the editor(s). MDPI and/or the editor(s) disclaim responsibility for any injury to people or property resulting from any ideas, methods, instructions or products referred to in the content. |
© 2025 by the authors. Licensee MDPI, Basel, Switzerland. This article is an open access article distributed under the terms and conditions of the Creative Commons Attribution (CC BY) license (https://creativecommons.org/licenses/by/4.0/).
Share and Cite
Sari-Ak, D.; Con, F.; Helvaci, N.; Yelkenci, H.E.; Kural, A.; Can, O.; Beker, M.C. Exploring the Proteomic Signature of Diabetic Nephropathy: Implications for Early Diagnosis and Treatment. Life 2025, 15, 1312. https://doi.org/10.3390/life15081312
Sari-Ak D, Con F, Helvaci N, Yelkenci HE, Kural A, Can O, Beker MC. Exploring the Proteomic Signature of Diabetic Nephropathy: Implications for Early Diagnosis and Treatment. Life. 2025; 15(8):1312. https://doi.org/10.3390/life15081312
Chicago/Turabian StyleSari-Ak, Duygu, Fatih Con, Nazli Helvaci, Hayriye Ecem Yelkenci, Alev Kural, Ozgur Can, and Mustafa Caglar Beker. 2025. "Exploring the Proteomic Signature of Diabetic Nephropathy: Implications for Early Diagnosis and Treatment" Life 15, no. 8: 1312. https://doi.org/10.3390/life15081312
APA StyleSari-Ak, D., Con, F., Helvaci, N., Yelkenci, H. E., Kural, A., Can, O., & Beker, M. C. (2025). Exploring the Proteomic Signature of Diabetic Nephropathy: Implications for Early Diagnosis and Treatment. Life, 15(8), 1312. https://doi.org/10.3390/life15081312

