Next Article in Journal
Life Table Parameters of the Tomato Leaf Miner Tuta absoluta (Lepidoptera: Gelechiidae) on Five Tomato Cultivars in China
Next Article in Special Issue
The Emergence of the Family Scirtidae (Insecta: Coleoptera) in Lotic Karst Habitats: A Case Study over 15 Years
Previous Article in Journal
Wolbachia Infection through Hybridization to Enhance an Incompatible Insect Technique-Based Suppression of Aedes albopictus in Eastern Spain
Previous Article in Special Issue
Demography and Behaviour of Teinopodagrion oscillans (Odonata: Megapodagrionidae) in a Protected Area of the Colombian Andean Region
 
 
Font Type:
Arial Georgia Verdana
Font Size:
Aa Aa Aa
Line Spacing:
Column Width:
Background:
Article

Odonata Assemblages in Urban Semi-Natural Wetlands

1
Faculty of Teacher Education, University of Zagreb, Trg Matice Hrvatske 12, 44250 Petrinja, Croatia
2
Department of Biology, Division of Zoology, Faculty of Science, University of Zagreb, Horvatovac 102a, 10000 Zagreb, Croatia
3
Association Hyla, Lipovac I 7, 10000 Zagreb, Croatia
4
Department of Biology, Josip Juraj Strossmayer University of Osijek, Trg Svetog Trojstva 3, 31000 Osijek, Croatia
*
Author to whom correspondence should be addressed.
Insects 2024, 15(3), 207; https://doi.org/10.3390/insects15030207
Submission received: 20 February 2024 / Revised: 8 March 2024 / Accepted: 18 March 2024 / Published: 20 March 2024
(This article belongs to the Special Issue Aquatic Insects: Diversity, Ecology and Evolution)

Abstract

Simple Summary

Aquatic habitats in urban areas are often important for conservation of local biodiversity. Although Odonata are widely used as ecological indicators of freshwater habitat integrity and health, our understanding and knowledge of their ecological requirements in urban landscapes is not yet complete. Therefore, the taxonomic and functional diversity of Odonata assemblages was analyzed in a semi-natural wetland in the Croatian capital in the summers of 2020 and 2023. The two main habitat types, anthropogenically disturbed and natural oxbow lakes, mostly had comparable assemblage metrics. However, we found significant differences in relation to the time scale, where most metrics were lower in 2023, indicating the negative impact of extreme climate events (including droughts) that occurred in this region after 2020. As even some species of conservation concern were detected, our results indicate that semi-natural urban wetlands, especially natural oxbow lakes, have great potential to function as good habitats for Odonata.

Abstract

As the human population in urban areas is continuously growing, urbanization is one of the greatest threats to biodiversity. To mitigate the negative effects, the inclusion of blue zones (aquatic habitats) in modern urban development practices is strongly recommended, as they could be beneficial for the local biodiversity conservation. Odonata are a flagship group and are widely used in freshwater conservation as ecological indicators of habitat integrity and health. However, our understanding of their ecological requirements in urban landscapes is not yet complete. Therefore, we analyzed the taxonomic and functional diversity of Odonata in a semi-natural wetland in the Croatian capital. This study was conducted in the summers of 2020 and 2023. Most taxonomic and functional assemblage metrics were comparable between the two main habitat types, anthropogenically disturbed and natural oxbow lakes. However, significant differences were found in relation to the time scale, where most metrics were lower in 2023, indicating the negative impact of extreme climate events (including droughts) that occurred in this region after 2020. With 19 species recorded, our results indicate that semi-natural urban wetlands, especially natural oxbow lakes, have great potential to function as good habitats for Odonata, where even some species of conservation concern were detected. When developing landscape management plans in urban areas, it is essential to consider the importance of habitat heterogeneity in terms of good structure of aquatic macrophytes (presence of submerged, emergent and floating vegetation), which would ensure the most suitable habitat conditions for local Odonata species.

1. Introduction

Currently, more than half of the world’s population resides in urban areas [1], and this number is expected to increase by a further 10 percent by the beginning of the next decade [2]. Urbanization is the second largest cause of natural habitat destruction worldwide [3] and, as a form of land-use change that leads to habitat fragmentation and isolation, is one of the greatest threats to biodiversity [4]. Therefore, the inclusion of green (vegetation) and blue zones (aquatic habitats, such as streams, rivers, canals, wetlands, ponds, lakes and reservoirs) in urban design is strongly encouraged in modern urban development practice as they offer potential benefits for local biodiversity conservation and improve local microclimate conditions [5]. However, despite their potential conservation value, the environmental conditions in urban habitats are far from optimal for most organisms.
In urban environments, both terrestrial and aquatic habitats undergo significant changes characterized by increased local minimum temperatures compared to their natural counterparts, contributing to the urban heat island (UHI) effect [6]. These changes in abiotic conditions are primarily due to shifts in vegetation cover, including the transition from natural vegetation to non-native species or the complete removal of vegetation. Such changes can amplify the UHI effect by influencing surface albedo and heat absorption [7]. In addition, changes in vegetation and abiotic conditions can lead to excessive habitat fragmentation and thus degradation of natural landscapes [1,8]. These changes have cascading effects on abiotic conditions throughout the urban ecosystem also affecting urban freshwater habitats. For example, urban aquatic habitats might demonstrate elevated temperatures due to the UHI effect, changes in composition of aquatic macrophytes from non-native vegetation, fragmented ecosystems caused by urban development, straightened river channels altering flow patterns, and reduced water levels resulting from water abstraction practices [9]. A comprehensive understanding of the complex relationship between vegetation changes and their effects on abiotic conditions such as temperature and hydrology in urban green and blue zones is crucial for effective urban planning and conservation strategies [1,6,8,9].
In addition, urban freshwater habitats are often exposed to various sources of pollution [10,11]. Eutrophication and phytoplankton blooms (including toxic cyanobacteria) are common in urban standing waters due to high nutrient loading (phosphorus and nitrogen) from stormwater and urban runoff (e.g., municipal wastewater discharge, sewage treatment plants and sewage overflow) [11,12], resulting in high oxygen consumption in the sediment and a reduction of light in the water column, which limits the growth of aquatic macrophytes, leading to a shift in their communities or their complete disappearance [13]. Moreover, water and sediment in urban freshwater habitats often contain high levels of heavy metals and toxic organic compounds originating from traffic, households, industry, fertilizers and chemicals used to control unwanted organisms (e.g., mosquitoes) or to improve water clarity [5].
Anthropogenic pressure in urban habitats has a synergistic effect on benthic organisms, leading to the disappearance of sensitive species and a decline in the fitness of those that remain [5,13,14]. This process leads to a biotic homogenization of benthic communities and increases the risk of local extirpation [1,15,16]. However, studies have shown that different taxonomic groups of aquatic macroinvertebrates respond differently to urban biodiversity drivers (e.g., habitat size, margin naturalness, water temperature, pollution level, aquatic and riparian vegetation, presence of fish or invasive species) [5]. Furthermore, it was shown that urban ponds typically harbor less-diverse macroinvertebrate assemblages compared to their non-urban counterparts [6,17,18,19]. These assemblages predominantly comprise widely distributed eurytopic taxa characterized by high tolerance to environmental conditions and robust dispersal abilities [20,21]. Some generalist taxa, such as Oligochaeta and Chironomidae, can even thrive in such habitats and their assemblages can be abundant and species-rich [22,23].
If urban lentic waters are properly managed, they could play an important role in maintaining freshwater biodiversity and even provide a habitat for some endangered species [24,25]. However, if they are polluted and not properly constructed and managed, some of them could represent low-quality habitats where species cannot complete their life cycle. Such habitats then act as ecological traps, i.e., habitats that are mistakenly considered by organisms to be more suitable than habitats with better environmental conditions, increasing the risk of local extinction of some populations [19,26].
In freshwater conservation, aquatic insects of the order Odonata are a flagship group, often used as ecological indicators of habitat integrity and condition [27,28]. They are widely distributed, occupy an important position as predators in aquatic and terrestrial food webs, exhibit relatively high taxonomic diversity with different species requiring different environmental conditions, and have short but complex life cycles that cross the aquatic–terrestrial interface and that allow them to respond quickly to changes in both aquatic and adjacent terrestrial habitats [29,30,31]. Due to these characteristics, Odonata are sensitive indicators of freshwater habitat change and anthropogenic impacts [32,33]. Despite the growing number of studies on Odonata in urban habitats [25,34,35,36], our understanding of their ecological requirements in urban wetlands in large cities is not yet complete.
Therefore, the main aims of this study were: (i) to determine the taxonomic and functional diversity of Odonata in two habitat types—anthropogenically disturbed and natural oxbow lakes—in an urban wetland complex, (ii) to detect temporal changes in those metrics between the two sampling years and (iii) to assess the conservation value of the two habitat types.

2. Materials and Methods

2.1. Study Area

The study area is located in the southeastern part of the city of Zagreb, Croatia, about 4 km from the city center [37]. The Savica Lakes are a complex of semi-natural wetlands along the Sava River. The complex includes the old oxbow lakes of the Sava and several abandoned gravel pits created by the expansion of the Sava oxbow for the purpose of gravel extraction. In 1964, an embankment was constructed between the lake complex and the Sava River, separating the wetland from the river [38]. Since the lakes are hydraulically connected to the Sava River, the water level in the lakes depends on the water level of the Sava River [38].
The Savica area has a total water surface of 30 ha and is divided into two parts [37]. The upper lakes are located north of the old, disused railroad line, which was used in the past to supply coal to the local thermal power plant. The upper lakes are connected to the lower lakes located south of the railway by drainage pipes [38].
The man-made gravel paths surrounding the lakes are on both sides overgrown with trees (predominantly Salix alba L., Populus nigra L., Populus alba L., Alnus glutinosa (L.) Gaertner, Robinia pseudoacacia L.) and shrubs (such as Rubus spp., Clematis vitalba L.) [37]. The aquatic vegetation consists mainly of emergent and floating macrophytes (such as Myriophyllum spicatum L., Nuphar lutea (L.) Sm. in Sibith. et Sm., Ceratophyllum demersum L.), and the most widespread is Myriophyllo-Nupharetum luteae (W. Koch 1926) Hueck 1931 association. In the shallow parts of the lakes, close to the shoreline, Lemno-Spirodeletum polyrhizae W. Koch 1954 and Nymphoidetum peltatae Bellot 1951 associations are developed. The riparian vegetation is generally well developed and uniform on all lakes, and is represented by the community of periodically flooded banks (Nanociperion W. Koch 1926) (including Cyperus sp., Carex sp., Juncus sp.). Additionally, some patches of the lakes’ banks are covered with Phragmitetum australis (Gams 1927) Schmale 1939 and Typhetum latifoliae (Soó 1927) Now. 1930 associations [37].
The great importance of this area lies in the fact that it is the only relatively well-preserved wetland within the city of Zagreb, which is a refuge for many vertebrate and invertebrate species [39]. Therefore, the area has been protected as a significant landscape since 1991 due to its high biological value (e.g., 174 bird species and 16 mammal species) [37,40]. Nowadays, the old oxbow lakes and gravel pits are mainly used for fishing purposes [37].
However, some of the lakes are anthropogenically influenced in several ways. Firstly, the cooling water from the Zagreb thermal power plant is discharged directly into the upper lakes. Although the upper and lower lakes are connected, there is a temperature difference between them [38]. Due to the inflow of warm water from the power plant, the upper lakes sometimes do not freeze over in the winter months, while the other lakes regularly freeze over every year. Furthermore, the densely populated suburb of Šanci is located near the Savica Lakes, while a large part of the area is also surrounded by agricultural land with greenhouses.

2.2. Study Sites and Odonata Sampling

Our study included a total of five lakes within the Savica urban lakescape, belonging to two habitat types that can be distinguished based on their habitat morphology: anthropogenically disturbed lakes (Hawaii and Žuta graba) (abandoned gravel pits) and natural oxbow lakes (Vrbova, Veliko jezero and Ušće) (remnants of the Sava River oxbow) (Figure 1).
Adult Odonata were investigated at each study site in the summer months of 2020 and 2023, with six sampling occasions between June and September. At each lake, Odonata species were investigated for a period of 60 min (until no additional species were detected) along a transect following the lake’s shoreline. All adults observed within ≈5 m of the transect route were documented, identified and numbers of each species were counted (high abundances of damselflies, if present, were immediately estimated). Fieldwork was conducted on sunny days, between 9 a.m. and 4 p.m. Adults were mostly observed visually and identified by eye or binoculars with close vision. Some species were sampled using an entomological net (e.g., the species of the genus Sympetrum) and released after identification.

2.3. Environmental Variables

During three sampling occasions in 2023, the following environmental variables were measured in triplicates at each study site: water temperature, dissolved oxygen saturation (using the oximeter OXI 96, WTW GmbH, Weilheim, Germany), conductivity (using the conductometer Sension 5, Hach, Loveland, CO, USA), and pH (using the pH-meter 330i, WTW GmbH, Weilheim, Germany). In addition, 1 L water samples for laboratory analysis of the water (total water hardness, chemical oxygen demand, nitrite and nitrate concentrations) were taken from the same locations at each study site. In the subsequent laboratory analysis, total water hardness and nitrite and nitrate concentrations were measured according to the standard procedures [41], while the assessment of chemical oxygen demand, which serves as a surrogate parameter for dissolved organic matter in water, was carried out based on the methods described by the Deutsches Institut für Normung [42], as described in Sertić Perić et al. [43].

2.4. Data Analysis

To assess the taxonomic diversity of Odonata, Odonata assemblage metrics (species richness (S), abundance (N), Shannon (H′) and Simpson diversity indices (1 − λ)) were calculated for each sampling event at each study site in the two habitat types (anthropogenically disturbed and natural oxbow lakes).
To assess the similarities of Odonata assemblages between the two habitat types, a cluster analysis based on the Bray–Curtis similarity matrix was performed. Species abundance data were log (x + 1) transformed prior to analysis. A SIMPER (similarity percentage) analysis was performed to assess the species predominantly responsible for the similarities between sites of the same habitat type. SIMPER analysis was based on the log-transformed species data and preformed using the Bray–Curtis similarity matrix. Odonata assemblage metrics, Bray–Curtis similarity index, cluster and SIMPER analyses were performed using the PRIMER 6.0 software package [44].
Prior to further analyses, the normality of the taxonomic and functional assemblage metrics as well as the physico-chemical parameters was tested using the Shapiro–Wilk test in SPSS Statistics ver. 27.0 [45].
To assess the conservation value of the habitat types studied, the Dragonfly Biotic Index (DBI) was calculated, an index commonly used to assess the ecological integrity and health of freshwater ecosystems using Odonata assemblages [46]. This index weights species according to their geographic distribution, conservation status and sensitivity to anthropogenic habitat disturbance. The following subcategories were used in the analysis: national distribution (according to [47]), national red-list classification (according to [48]), and species sensitivity to habitat change (assessed based on expert knowledge). Each subcategory can be scored from 0 to 3 points (i.e., a widespread, non-threatened species that is highly tolerant to anthropogenic disturbance receives 0 points (0 + 0 + 0), while a species with a highly restricted distribution that is also highly threatened and extremely sensitive to habitat disturbance receives 9 points (3 + 3 + 3)). For each habitat type, a standardized DBI score was calculated by summing the DBI scores of all species occurring in a given habitat type and dividing by the number of species occurring in that habitat type, treating sampling events as replicates.
To quantify the functional diversity of Odonata assemblages in two main habitat types, the Rao quadratic diversity (RaoQ) coefficient was used, which is a measure of the convergence or divergence of traits compared to random expectations [49]. A total of 20 functional traits from five trait groups were used to calculate RaoQ coefficient (taken from [50,51]): (i) body shape (Zygoptera and Anisoptera), (ii) preference for lateral connectivity: (a) eupotamon = main channel and connected lateral arms; (b) parapotamon = lateral arms connected only at the downstream end at mean water level; (c) plesiopotamon = no connectivity with the main channel at mean water level, including lakes where macrophyte coverage does not exceed 20%; (d) palaeopotamon = no connectivity with the main channel at mean water level, including lakes and pools, where coverage by macrophytes exceeds 20%; (e) temporary water bodies = temporary pools where the water level depends primarily on ground water levels, (iii) current preference: (a) limnophilous = mostly occurring in stagnant waters, rarely also in slow-flowing lotic habitats; (b) limno- to rheophilous = prefer stagnant waters, but often also occur in slow-flowing lotic habitats; (c) rheo- to limnophilous = prefer slow-flowing streams and their lentic zones; (d) rheophilous = occur in lotic habitats, preferably with moderate and fast flow velocity, (iv) dispersal capacity (high, medium) and (v) reproduction (reproduction mode and the form and location of oviposit clutches): eggs laid: (a) attached to substrate, (b) in the substrate, (c) not attached to/in substrate, (d) in open water, (e) into plant tissue, (f) on plant material, (g) on exposed soil or rock. For each functional trait in Odonata assemblages, the community weighted means (CWMs) were calculated to quantify shifts in mean trait values within assemblages, resulting from environmental selection for specific functional trait categories [49] using the CANOCO package version 5.15 [52].
A series of generalized linear mixed models (GLMMs) were constructed to assess differences in physico-chemical water properties, taxonomic and functional Odonata assemblage metrics, and DBI between the two habitat types. In all constructed models, sites (level 1) nested within the habitat type (level 2) were included with sampling events as repeated measures (year, month). The interaction effect between habitat type and year was used as a fixed effect in all models. To account for variation caused by potential differences among study sites and sampling events, sites and sampling events (months) were included in all models as random effects, with first-order autoregressive (AR1) covariance type, which was assumed for repeated measures over time [53]. GLMMs with normal distribution and with log link function were constructed for targeted variables: species richness, abundance, Shannon diversity and RaoQ, while gamma distribution with log link function was used for other non-normally distributed variables. Estimation was built by Relative Hessian Convergence. Degrees of freedom were computed for significance test using Satterthwaite approximation that is used for small sample size and unbalanced data. Pairwise contrasts of estimated means between habitat types (anthropogenically disturbed vs. natural) and years (2020 vs. 2023) of estimated means were applied using a least significant difference (LSD) post-hoc test. The above analyses were performed using SPSS Statistics ver. 27.0 [45].

3. Results

3.1. Environmental Variables

Anthropogenically disturbed and natural oxbow lakes differed significantly in terms of oxygen saturation and nitrite concentration in the water (Table 1). Anthropogenically disturbed habitats had significantly higher oxygen saturation and nitrite concentration compared to the natural oxbow lakes (Table 1). Other measured water parameters did not differ significantly between the two habitat types (Table 1).

3.2. Odonata Species and Their Threat Level

A total of 19 species were recorded in two habitat types in the studied urban wetland in Croatia (Table 2). At the anthropogenically disturbed lakes, 13 species were recorded, while all 19 species were detected at the natural oxbow lakes (Table 2). The SIMPER group similarity analysis (Table 3) showed that Ischnura elegans (Vander Linden, 1820) and Platycnemis pennipes (Pallas, 1771) were the dominant species at both habitat types (Table 3). Aeshna isoceles (Müller, 1767) and Lestes sponsa (Hansemann, 1823) are listed as near threatened species (NT) in the Croatian Red List of Odonata [48].
The cluster analysis revealed a significant degree of similarity (ca. 40%) among the study sites associated with the two distinct habitat types. This similarity was identified through an examination of their Odonata assemblages, highlighting the spatial extent of these assemblages within the Savica urban lakescape (Figure 2).

3.3. Odonata Assemblages and Their Conservation Value

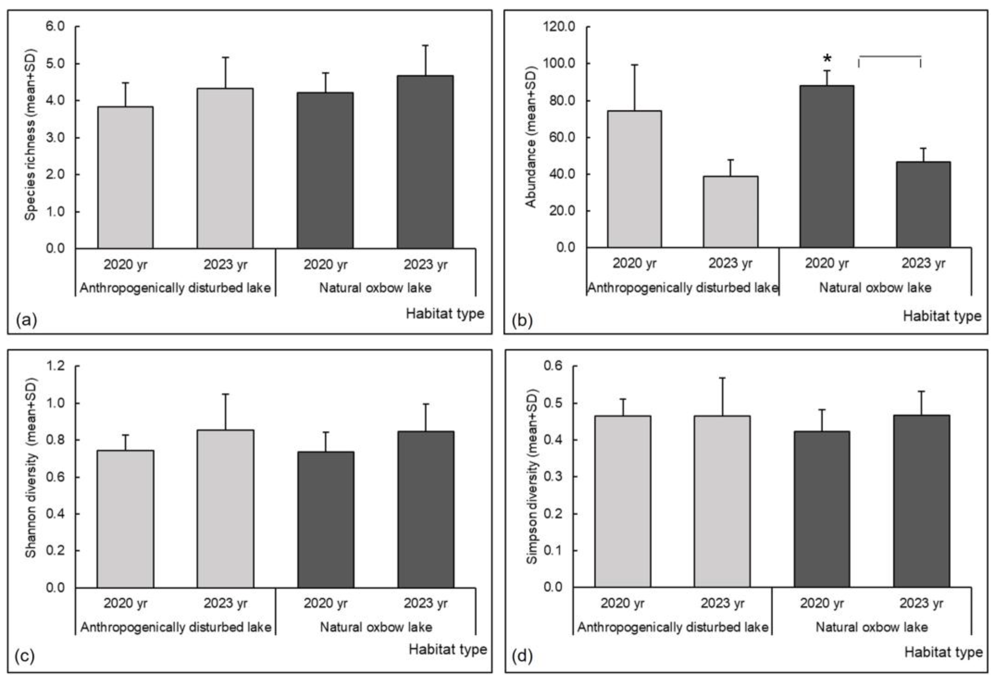
Among the taxonomic parameters, only abundance differed significantly in relation to the time scale at natural oxbow lakes, and it was higher in 2020 compared to 2023 (Table 4, Figure 3b). Odonata species richness, Simpson and Shannon diversity indices were comparable between the two habitat types and regarding the time scale (Table 4, Figure 3a,c,d).
No significant differences were found in DBI values between the habitat types, nor regarding the time scale of the study (Table 4, Figure 4).

3.4. Functional Diversity of Odonata Assemblages

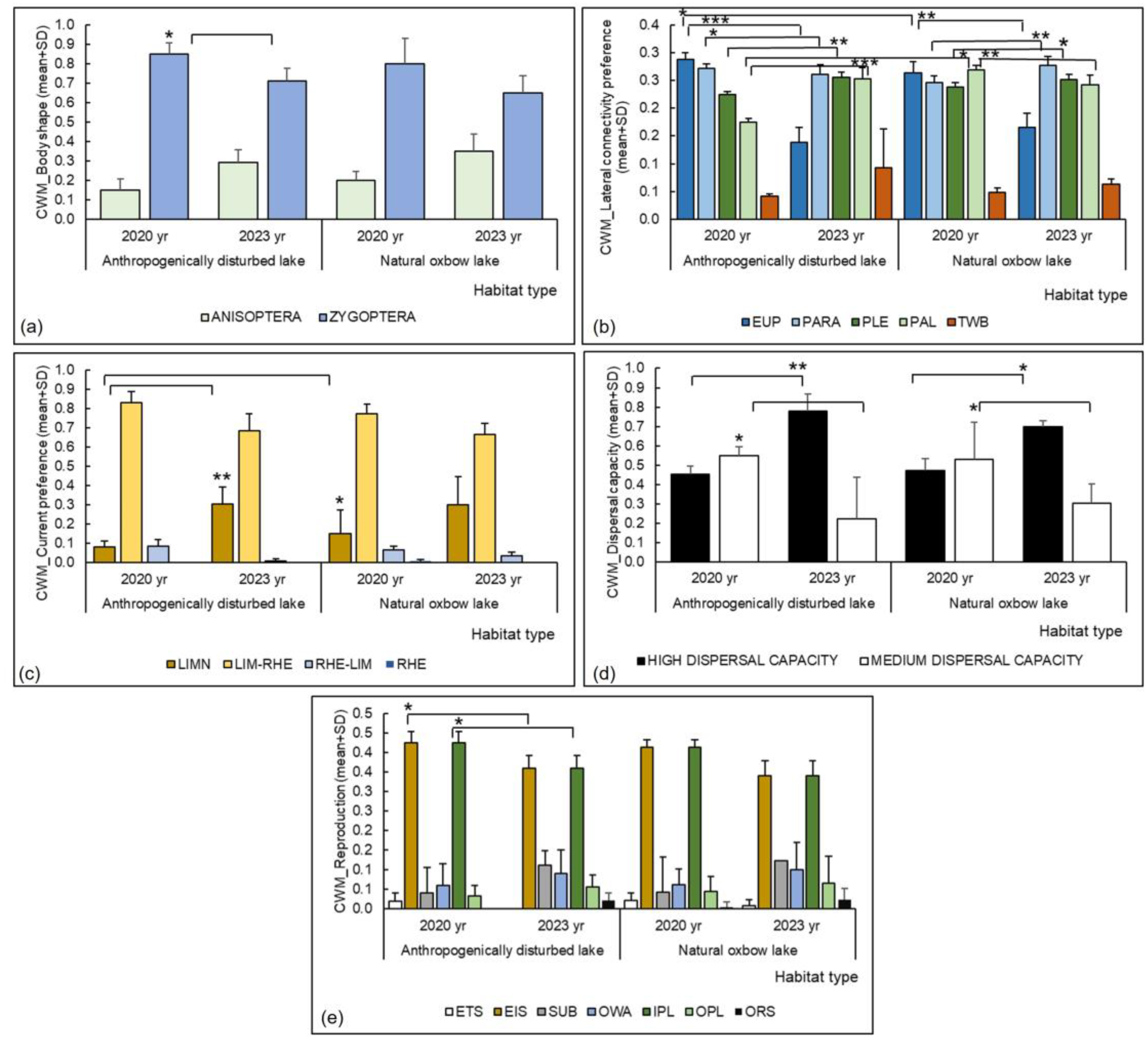
The functional diversity (RaoQ) of Odonata assemblages was comparable between anthropogenically disturbed and natural oxbow lakes (Table 5, Figure 5). However, significant differences were found for several functional traits (Table 5, Figure 6).
In terms of lateral connectivity preference, eupotamon element was significantly different between habitat types in 2020 (higher in anthropogenically disturbed lakes) (Table 5, Figure 6b). Significant differences were found at both habitat types with respect to the time scale (higher in 2020) (Table 5, Figure 6b). Significant differences in parapotamon and plesiopotamon were observed at both habitat types with respect to time scale (parapotamon was higher at anthropogenically disturbed habitats in 2020, at natural oxbow lakes in 2023; plesiopotamon was higher at both habitat types in 2023) (Table 5, Figure 6b). A significantly higher proportion of palaeopotamon was found at natural oxbow lakes in 2020 compared to anthropogenically disturbed lakes (Table 5, Figure 6b). Differences were also observed regarding the time scale at both habitat types (higher at anthropogenically disturbed habitats in 2023 and at natural oxbow lakes in 2020) (Table 5, Figure 6b).
In terms of current preference, a higher proportion of limnophilous species was found at natural oxbow lakes than at anthropogenically disturbed oxbows in 2020 (Table 5, Figure 6c). Significant differences were observed regarding the time scale at anthropogenically disturbed lakes (higher in 2023) (Table 5, Figure 6c).
Regarding the dispersal ability, differences were observed on the time scale at both habitat types (higher proportion of species with high dispersal ability in 2023, higher proportion of species with medium dispersal ability in 2020) (Table 5, Figure 6d).

4. Discussion

4.1. Blue Zones in a City Have Great Potential to Function as Good Habitats for Odonata, but Time Combined with Climate Extremes Affects Their Functional Trait Representation

Most physico-chemical water parameters were comparable between the anthropogenically disturbed and natural oxbow lakes; however, significant differences were found in the concentration of nitrites and water oxygen saturation. Waterbodies located in urban areas generally have elevated nutrient concentrations (nitrites, nitrates, phosphates) originating from sewage discharge, wastewater from industrial plants, city parks and/or sporadic agricultural areas where various pesticides and fertilizers are used for growing and maintaining plants. Also, rainwater runoff often brings with it drainage water from the surrounding city roads [10,13,16]. Although anthropogenically disturbed lakes in the studied urban lakescape had significantly higher concentrations of nitrites in water compared to natural oxbow lakes, those concentrations were still very low considering the permitted limit values in surface waters (maximum 1 mg/L) [54].
The interplay between water temperature and oxygen saturation emphasized by Wetzl and Likens [55] proved to be a central factor influencing the concentration of dissolved oxygen in aquatic ecosystems. Our observations showed that natural oxbow lakes had, on average, lower oxygen saturation than anthropogenically disturbed lakes. In general, warmer waters have higher oxygen saturation, but, paradoxically, dissolved oxygen levels decrease with increasing water temperature [55]. In the summer months, particularly in the warmer upper layer of the lake where our physico-chemical measurements were conducted, total oxygen availability may be limited by temperature. This limitation exists even when the water is 100% saturated with oxygen, which can result in suboptimal dissolved oxygen levels for various organisms—a scenario that is likely to occur in the Savica Lakes. The influence of aquatic plants on oxygen saturation further adds to the complexity of this relationship. The process of photosynthesis by aquatic plants increases the oxygen content in the water [55]. In particular, lakes with high oxygen saturation, such as Hawaii Lake with its reed beds and Vrbova and Žuta Graba lakes with their submerged aquatic vegetation and water lilies, had a higher proportion of aquatic plants compared to lakes with lower oxygen levels. This observation underlines the role of aquatic vegetation in increasing oxygen saturation and thus in shaping oxygen dynamics in these freshwater ecosystems.
Our results indicate the importance of blue zones in large cities as habitats for Odonata. As this study shows, the presence of natural habitat features (habitat morphology and vegetation structure) is beneficial for many Odonata species and should be considered in landscape management plans in urban areas to ensure important habitat complexity for aquatic insects such as Odonata [34,56]. Due to the mutual proximity of the study sites, similar values of physico-chemical water properties, generally well-developed aquatic vegetation [37] and the high dispersal mobility of adult Odonata (which allows the possibility that many of the individuals observed at a particular lake emerged from another lake) [57], most of taxonomic assemblage metrics were comparable between the anthropogenically disturbed and natural oxbow lakes, similar to the results of Dolný et al. [58].
However, we observed differences in Odonata abundance regarding the time scale: it was significantly higher at natural oxbow lakes in 2020, which might be related to the rather harsh climate conditions in recent years. From the winter of 2021, much of Europe was affected by widespread drought. The extreme precipitation deficit led to a decline in surface and groundwater levels, resulting in many perennial aquatic habitats becoming intermittent, negatively impacting both aquatic and terrestrial ecosystems [59]. Climate change also led to intense summer thunderstorms, which were particularly strong in the studied region in 2023 [60]. Given the severe drought in 2022 and the violent storms with high rainfall and strong winds in spring and summer 2023, it is conceivable that the survival of numerous Odonata individuals—both eggs and nymphs in 2022 and adults in 2023—was affected. This is consistent with the results of relevant studies (e.g., [61,62]), which similarly emphasized ecological disturbances in Odonata populations in response to comparable climatic stressors.
Similar to most taxonomic metrics, functional diversity of Odonata assemblages was found to be comparable between the two habitat types, indicating that species occupying these habitats have similar traits that allow their success in urban areas. Our results differ from previous studies that found a decline in Odonata functional diversity with increasing anthropogenic pressure [32,63]. These discrepancies could be due to complex interactions influenced by (i) historical and geological factors, (ii) similar (micro) habitat conditions in the studied area and (iii) the presence of hydrological stressors. For example, the shared geological features of the two habitat types can provide comparable ecological niches for Odonata species, but also habitat conditions such as vegetation composition and water quality may contribute to maintaining functional diversity despite anthropogenic pressure (cf. [64,65]). As pointed out by Willigalla & Fartmann [64] and the references herein, a considerable number of Central European cities (e.g., Zagreb) are located in floodplains adjacent to large rivers and in regions characterized by pronounced biological and geological diversity. Therefore, these areas already had a considerable habitat and species richness even before human settlement. It can therefore be assumed that cities in such locations naturally have a high abundance and diversity of Odonata, which could also explain our results independent of anthropogenic influence. Moreover, hydrological stressors such as altered water or nutrient levels can impact Odonata assemblages and their functional diversity (cf. [65,66]). The urban lakescape of Savica likely exhibits a stormpond effect, similar to the findings of Holtmann et al. [66], who observed that urban stormwater ponds, characterized by a warmer microclimates and relatively low nutrient concentrations (as in lakes included in this study), harbor richer and more diverse Odonata assemblages, including threatened species. The absence of a noticeable decline in functional diversity can therefore be attributed to the mitigating effect of the Sava oxbow lakes on the studied habitats. Moreover, it is likely that habitat diversity in terms of different lateral habitat connectivity, which as an environmental factor largely depends on hydrological conditions, largely influences the spatial and temporal patterns of taxonomic and functional diversity of Odonata.
In our study, the structure of Odonata assemblages differed with respect to some life history traits, especially in terms of time scale. Both habitat types were predominantly inhabited by generalists found in different types of freshwater habitats [51]. Although significant differences were found in terms of species preference for lateral habitat connectivity and flow, the pattern was not clear for either habitat type. However, these traits and their differences with respect to time scale could be related to the dispersal ability trait. The stronger representation of the trait “high dispersal ability” in 2023 and the trait “medium dispersal ability” in 2020 could also be a consequence of the harsh climatic conditions that occurred in the time frame of this study, which favored the persistence of generalist lentic species with high dispersal ability (such as Crocothemis erythraea (Brullé, 1832), Orthetrum albistylum (Selys, 1848), Anax imperator Leach, 1815), while the species richness and abundance of lotic species (such as Calopteryx splendens (Harris, 1782), Onychogomphus forcipatus (Linnaeus, 1758), Orthetrum coerulescens (Fabricius, 1798)) decreased in the second year of the study. Adult Odonata generally have very good flight abilities, which allow them to travel among different waterbodies and over long distances [67,68]. However, lentic habitats are less predictable spatially and temporally than lotic habitats, which means that lentic species have better (higher) dispersal abilities crucial for their long-term survival [68,69].
Although results regarding Odonata body shape and reproduction type life history traits were not significant, we observed some trends regarding the time scale of the study. More precisely, a higher proportion of Zygoptera found in 2020 (compared to 2023) could be related to aforementioned extreme climate conditions in 2022 and 2023. Zygoptera tend to be less tolerant to high and low temperatures compared to Anisoptera, even if they occur at the same latitudes or altitudes [70,71]. As some anthropogenically disturbed lakes had well-developed vegetation, a higher proportion of endophytic oviposition reproduction trait (i.e., in species laying eggs in the substrate and plant tissue) (such as Ischnura elegans, Ischnura pumilio (Charpentier, 1825), Platycnemis pennipes) [51] was detected at such habitats in 2020 compared to 2023, most likely due to the higher abundance of Zygoptera in the first year of the study. Most Zygoptera have endophytic oviposition, and require substrate, such as aquatic macrophytes, to lay their eggs in [51,67].

4.2. Implications for Conservation

In this study, 13% of European and 28% of Croatian Odonata species were recorded in the studied urban wetland landscape [30,48]. Such species richness could be considered as moderately high [72]. However, this number is expected to rise with increasing sampling effort, because although adult Odonata are considered good indicators of habitat selection, their presence in a particular habitat is not a definitive indication of the species’ reproductive success there [56,67,72]. As suggested in previous studies, it is optimal to also examine nymphs and exuviae for the most accurate Odonata species list [34,73], which is highly recommended for future studies. Such addition would provide data about the species that complete their life cycles (i.e., are core residents) in the studied urban wetland. Moreover, further monitoring might be of use to determine how Odonata assemblages change over time, considering both natural and artificial drivers. Finally, the study focused on adults should also be conducted in spring as, in this way, additional species belonging to spring fauna could also be recorded. For instance, a previous study in this area reported Brachytron pratense (Müller, 1764) and Epitheca bimaculata (Charpentier, 1825) [39], which were not documented within the current study. Since there is sometimes a possibility that flying adults are double-counted (e.g., in case of high Odonata abundances), the mark and recapture method could be applied when studying adult Odonata.
As expected, Platycnemis pennipes and Ischnura elegans were the most common species at both anthropogenically disturbed and natural oxbow lakes, as they occur in a wide range of freshwater habitats [74]. Both species prefer to inhabit slow-flowing waters but are also frequently found in well-oxygenated stagnant waters with well-developed aquatic vegetation, such as oxbows and marshes or various man-made habitats (gravel pits, fishponds, canals) [57,74]. Although the values of the Dragonfly Biotic Index were comparable between the two habitat types, at natural oxbow lakes, some species of conservation concern were recorded: Aeshna isoceles and Lestes sponsa [48], which is consistent with the importance of natural habitat structure, with well-developed aquatic and riparian vegetation and a variety of microhabitats for rare Odonata [58].

5. Conclusions

Our results suggest that semi-natural urban wetlands have great potential to function as good habitats for Odonata. As these insects are generally evolutionary well-adapted to warmer conditions, and the majority of species recorded within this study are eurytherm generalists, able to tolerate wide temperature range in their habitats, this could indicate their tolerance to the UHI effects in urban waterbodies. Although most of taxonomic and functional assemblage metrics were comparable between the anthropogenically disturbed and natural oxbow lakes, species composition, but also abundance and some aspects of functional diversity (e.g., species preference for lateral habitat connectivity and their dispersal capacity), were different at the two habitat types, with species of conservation concern present only at the natural oxbow lakes. In addition, the observed significant differences in Odonata abundance with respect to the time scale of the study, indicate the negative impact of extreme climatic events on Odonata in urban habitats. The importance of habitat heterogeneity in terms of diverse aquatic macrophyte structure (presence of submerged, emergent and floating vegetation) and lateral connectivity must be considered when designing landscape management plans in urban areas to ensure the most suitable habitat conditions for local Odonata species.

Author Contributions

Conceptualization, M.V., A.B., M.S.P. and S.G.; methodology, M.V., M.S.P., S.G., A.Š.K. and T.K.; validation, M.V., A.B., M.S.P. and S.G.; formal analysis, M.V. and A.B.; investigation, M.V., M.S.P., S.G., A.Š.K. and T.K.; resources, M.S.P. and S.G.; data curation, M.V., M.S.P., S.G., B.S., T.B., A.Š.K. and T.K.; writing—original draft preparation, M.V.; writing—review and editing M.V., A.B., M.S.P., S.G., B.S., T.B., A.Š.K. and T.K.; visualization, M.V. and A.B.; supervision, M.V., M.S.P. and S.G.; project administration, M.V., M.S.P. and S.G.; funding acquisition, S.G. All authors have read and agreed to the published version of the manuscript.

Funding

This research was funded by the Maksimir Public Institution (Zagreb, Croatia): KLASA: 406-01/22-01/31; UR. BROJ: 465-02-22-7.

Data Availability Statement

Data are available from the corresponding author upon request.

Acknowledgments

Our colleagues from the University of Zagreb, Faculty of Science, Division of Biology as well as employees of the Maksimir Public Institution are thanked for their assistance with the fieldwork. Three anonymous reviewers are thanked for their useful comments and suggestions that markedly improved this paper.

Conflicts of Interest

The authors declare no conflicts of interest.

References

  1. Grimm, N.B.; Faeth, S.H.; Golubiewski, N.E.; Redman, C.L.; Wu, J.; Bai, X.; Briggs, J.M. Global change and the ecology of cities. Science 2008, 319, 756–760. [Google Scholar] [CrossRef]
  2. Seto, K.C.; Guneralp, B.; Hutyra, L.R. Global forecasts of urban expansion to 2030 and direct impacts on biodiversity and carbon pools. Proc. Natl. Acad. Sci. USA 2012, 109, 16083–16088. [Google Scholar] [CrossRef]
  3. Ellis, E.C.; Klein Goldewijk, K.; Siebert, S.; Lightman, D.; Ramankutty, N. Anthropogenic transformation of the biomes, 1700 to 2000. Global Ecol. Biogeogr. 2010, 19, 589–606. [Google Scholar] [CrossRef]
  4. McDonald, R.I.; Kareiva, P.; Forman, R.T.T. The implications of current and future urbanization for global protected areas and biodiversity conservation. Biol. Conserv. 2008, 141, 1695–1703. [Google Scholar] [CrossRef]
  5. Oertli, B.; Parris, K.M. Review: Toward management of urban ponds for freshwater biodiversity. Ecosphere 2019, 10, e02810. [Google Scholar] [CrossRef]
  6. Johnson, R.C.; Jin, H.; Carreiro, M.M.; Jack, J.D. Macroinvertebrate community structure, secondary production and trophic-level dynamics in urban streams affected by non-point-source pollution. Freshw. Biol. 2013, 58, 843–857. [Google Scholar] [CrossRef]
  7. Kim, H.H. Urban heat island. Int. J. Remote Sens. 1992, 13, 2319–2336. [Google Scholar] [CrossRef]
  8. McDonald, R.I. Global urbanization: Can ecologists identify a sustainable way forward? Front. Ecol. Environ. 2008, 6, 99–104. [Google Scholar] [CrossRef]
  9. Wilson, J.N.; Bekessy, S.; Parris, K.M.; Gordon, A.; Heard, G.W.; Wintle, B.A. Impacts of climate change and urban development on the spotted marsh frog (Limnodynastes tasmaniensis). Austral Ecol. 2013, 38, 11–22. [Google Scholar] [CrossRef]
  10. Collins, K.A.; Lawrence, T.J.; Stander, E.K.; Jontos, R.J.; Kaushal, S.S.; Newcomer, T.A.; Grimm, N.B.; Ekberg, M.L.C. Opportunities and challenges for managing nitrogen in urban stormwater: A review and synthesis. Ecol. Eng. 2010, 36, 1507–1519. [Google Scholar] [CrossRef]
  11. Vincent, J.; Kirkwood, A.E. Variability of water quality, metals and phytoplankton community structure in urban stormwater ponds along a vegetation gradient. Urban Ecosyst. 2014, 17, 839–853. [Google Scholar] [CrossRef]
  12. Peretyatko, A.; Teissier, S.; De Backer, S.; Triest, L. Assessment of the risk of cyanobacterial bloom occurrence in urban ponds: Probabilistic approach. Ann. Limnol. 2010, 46, 121–133. [Google Scholar] [CrossRef]
  13. Naselli-Flores, L. Urban Lakes: Ecosystems at Risk, Worthy of the Best Care. In Proceedings of the Taal 2007: The 12th World Lake Conference, Jaipur, India, 28 October–2 November 2007; pp. 1333–1337. [Google Scholar]
  14. Mahler, B.J.; Van Metre, P.C.; Callender, E. Trends in metals in urban and reference lake sediments across the United States, 1970–2001. Environ. Toxicol. Chem. 2006, 25, 1698–1709. [Google Scholar] [CrossRef] [PubMed]
  15. McKinney, M.L. Urbanization, biodiversity, and conservation. BioScience 2002, 52, 883–890. [Google Scholar] [CrossRef]
  16. McKinney, M.L. Effects of urbanization on species richness: A review of plants and animals. Urban Ecosyst. 2008, 11, 161–176. [Google Scholar] [CrossRef]
  17. Noble, A.; Hassal, C. Poor ecological quality of urban ponds in northern England: Causes and consequences. Urban Ecosyst. 2014, 18, 649–662. [Google Scholar] [CrossRef]
  18. Thornhill, I.; Batty, L.; Death, R.G.; Friberg, N.R.; Ledger, M.E. Local and landscape scale determinants of macroinvertebrate assemblages and their conservation value in ponds across an urban land-use gradient. Biodivers. Conserv. 2017, 26, 1065–1086. [Google Scholar] [CrossRef] [PubMed]
  19. Smith, B.D.; Villalobos-Jiménez, G.; Perron, M.A.C.; Sahlén, G.; Assandri, G.; Vilenica, M.; Calvão Batista, L.; Juen, L.; Cerini, F.; Bried, J.T. Odonata assemblages in human-modified landscapes. In Dragonflies and Damselflies: Model Organisms for Ecological and Evolutionary Research, 2nd ed.; Cordoba-Aguilar, A., Beatty, C., Bried, J., Eds.; Oxford Academic: Oxford, UK, 2023; pp. 247–260. [Google Scholar] [CrossRef]
  20. McKinney, M.L.; Lockwood, J.L. Biotic homogenization: A few winners replacing many losers in the next mass extinction. Trends Ecol. Evol. 1999, 14, 450–453. [Google Scholar] [CrossRef] [PubMed]
  21. Smith, R.F.; Alexander, L.C.; Lamp, W.O. Dispersal by terrestrial stages of stream insects in urban watersheds: A synthesis of current knowledge. J. N. Am. Benthol. Soc. 2009, 28, 1022–1037. [Google Scholar] [CrossRef]
  22. Mackintosh, T.J.; Davis, J.A.; Thompson, R.M. The influence of urbanisation on macroinvertebrate biodiversity in constructed stormwater wetlands. Sci. Total Environ. 2015, 536, 527–537. [Google Scholar] [CrossRef]
  23. Hill, M.J.; Biggs, J.; Thornhill, I.; Briers, R.A.; Gledhill, D.G.; White, J.C.; Wood, P.J.; Hassall, C. Urban ponds as an aquatic biodiversity resource in modified landscapes. Glob. Chang. Biol. 2017, 23, 986–999. [Google Scholar] [CrossRef]
  24. Hannon, E.R.; Hafernik, J.E. Reintroduction of the rare damselfly Ischnura gemina (Odonata: Coenagrionidae) into an urban California park. J. Insect Conserv. 2007, 11, 141–149. [Google Scholar] [CrossRef]
  25. Goertzen, D.; Suhling, F. Central European cities maintain substantial dragonfly species richness—A chance for biodiversity conservation? Insect Conserv. Diver. 2015, 8, 238–246. [Google Scholar] [CrossRef]
  26. Hale, R.; Coleman, R.; Pettigrove, V.; Swearer, S.E. Review: Identifying, preventing and mitigating ecological traps to improve the management of urban aquatic ecosystems. J. Appl. Ecol. 2015, 52, 928–939. [Google Scholar] [CrossRef]
  27. Samways, M.J.; Steytler, N.S. Dragonfly (Odonata) distribution patterns in urban and forest landscapes, and recommendations for riparian management. Biol. Conserv. 1996, 78, 279–288. [Google Scholar] [CrossRef]
  28. Oertli, B. The use of dragonflies in the assessment and monitoring of aquatic habitats. In Dragonflies and Damselflies; Cordoba-Aguilar, A., Ed.; Oxford University Press: Oxford, UK, 1990; pp. 79–95. [Google Scholar]
  29. Smith, J.; Samways, M.J.; Taylor, S. Assessing riparian quality using two complementary sets of bioindicators. Biodivers. Conserv. 2007, 16, 2695–2713. [Google Scholar] [CrossRef]
  30. Boudot, J.P.; Kalkman, V.J. Atlas of the European Dragonflies and Damselflies; KNNV Uitgeverij: Zeist, The Netherlands, 2015. [Google Scholar]
  31. Bried, J.T.; Samways, M.J. A review of odonatology in freshwater applied ecology and conservation science. Freshw. Sci. 2015, 34, 1023–1031. [Google Scholar] [CrossRef]
  32. Dolný, A.; Harabiš, F.; Bárta, D.; Lhota, S.; Drozd, P. Aquatic insects indicate terrestrial habitat degradation: Changes in taxonomical structure and functional diversity of dragonflies in tropical rainforest of East Kalimantan. Trop. Zool. 2012, 25, 141–157. [Google Scholar] [CrossRef]
  33. Kutcher, T.E.; Bried, J.T. Adult Odonata conservatism as an indicator of freshwater wetland condition. Ecol. Indic. 2014, 38, 31–39. [Google Scholar] [CrossRef]
  34. Jeanmougin, M.; Leprieur, F.; Lois, G.; Clergeau, P. Fine-scale urbanization affects Odonata species diversity in ponds of a megacity (Paris, France). Acta Oecol. 2014, 59, 26–34. [Google Scholar] [CrossRef]
  35. Villalobos-Jiménez, G.; Hassall, C. Effects of the urban heat island on the phenology of Odonata in London, UK. Int. J. Biometeorol. 2017, 61, 1337–1346. [Google Scholar] [CrossRef]
  36. Perron, M.A.C.; Richmond, I.C.; Pick, F.R. Plants, water quality and land cover as drivers of Odonata assemblages in urban ponds. Sci. Total Environ. 2021, 773, 145467. [Google Scholar] [CrossRef]
  37. Alegro, A.; Bogdanović, S.; Rešetnik, I.; Boršić, I.; Cigić, P.; Nikolić, T. Flora of the seminatural marshland Savica, part of the (sub)urban flora of the city of Zagreb (Croatia). Nat. Croat. 2013, 22, 111–134. [Google Scholar]
  38. Bišćan, M.; Kos, R.; Jerman Vranić, M.; Kovačić, G.; Horvatić Viduka, E.; Jelavić, V.; Abrashi, A.; Marković, K.; Stanec, D.; Malbaša, H.; et al. Elaborat Zaštite Okoliša. Zahvat: Mala Hidroelektrana te-to Zagreb; EKONERG—Institut za Energetiku i Zaštitu Okolišad.o.o: Zagreb, Croatia, 2019. [Google Scholar]
  39. Fanjek, I.; Grabundžija, M.; Kelemen Pepeonik, V.; Šiško, D.; Šterk, R.; Vojnić Rogić, I.; Dulčić, A.; Ninić, V. Prostorni Plan Područja Posebnih Obilježja, Priobalje Save (Krajobraz uz Savu—Savski Park); Gradski Zavod za Prostorno Uređenje; Odsjek za Zaštitu Okoliša: Zagreb, Croatia, 2006. [Google Scholar]
  40. Tvrtković, N.; Vuković, M.; Pavlinić, I.; Šašić, M.; Mihoci, I.; Grbac, I.; Godec, Z. Inventarizacija Odabrane Faune Savice sa Zonacijom Prostora. Prilog za Izradu Prostornog Plana Područja Posebnih Obilježja Priobalje Save (Krajobraz uz Savu–Savski Park). I. Etapa–Savica. Zoološki Odjel Hrvatskog Prirodoslovnog Muzeja: Zagreb, Croatia, 2007. [Google Scholar]
  41. APHA. Standard Method for the Examination of Water and Wastewater, 16th ed.; American Public Health Association: Washington, DC, USA, 1985. [Google Scholar]
  42. Deutsches Institut für Normung. Deutsche Einheitsverfahren zur Wasser-, Abwasser- und Schlammuntersuchung, 16th ed.; Verlag Chemie: Weinheim, Germany, 1986; Volume II. [Google Scholar]
  43. Sertić Perić, M.; Matoničkin Kepčija, R.; Miliša, M.; Gottstein, S.; Lajtner, J.; Dragun, Z.; Filipović Marijić, V.; Krasnići, N.; Ivanković, D.; Erk, M. Benthos-drift relationships as proxies for the detection of the most suitable bioindicator taxa in flowing waters—A pilot-study within a Mediterranean karst river. Ecotoxicol. Environ. Saf. 2018, 163, 125–135. [Google Scholar] [CrossRef] [PubMed]
  44. Clarke, K.R.; Gorley, R.N. Primer V6: User Manual/Tutorial; Plymouth: Auckland, New Zealand, 2006. [Google Scholar]
  45. IBM Corp. IBM SPSS Statistics for Windows, Version 27.0; IBM: Armonk, NY, USA, 2020. [Google Scholar]
  46. Samways, M.J.; Taylor, S. Impacts of Invasive Alien Plants on Red-Listed South African Dragonflies (Odonata). S. Afr. J. Sci. 2004, 100, 78–81. [Google Scholar]
  47. Kotarac, M.; Šalamun, A.; Vilenica, M. EU Natura 2000 Integration Project: Field Research and Laboratory Processing for Collecting New Inventory Data for Taxonomic Groups: Actinopterygii and Cephalaspidomorphi, Amphibia and Reptilia, Aves, Chiroptera, Decapoda, Lepidoptera, Odonata, Plecoptera–Final Report for the Taxonomic Group Odonata; Ministry of Environmental and Nature Protection: Zagreb, Croatia, 2016.
  48. Belančić, A.; Bogdanović, T.; Franković, M.; Ljuština, M.; Mihoković, N.; Vitas, B. Red Data Book of Dragonflies of Croatia; Ministry of Culture, State Institute for Nature Protection: Zagreb, Croatia, 2008.
  49. Ricotta, C.; Moretti, M. CWM and Rao’s quadratic diversity: A unified framework for functional ecology. Oecologia 2011, 167, 181–188. [Google Scholar] [CrossRef] [PubMed]
  50. Schmidt-Kloiber, A.; Hering, D. www.freshwaterecology.info—An online tool that unifies, standardises and codifies more than 20,000 European freshwater organisms and their ecological preferences. Ecol. Indic. 2015, 53, 271–282. [Google Scholar] [CrossRef]
  51. Dijkstra, K.-D.B.; Wildermuth, H.; Martens, A. Dataset “Odonata” the Taxa and Autecology Database for Freshwater Organisms, Version 8.0. 2024. Available online: www.freshwaterecology.info (accessed on 20 January 2024).
  52. ter Braak, C.J.F.; Šmilauer, P. Canoco Reference Manual and User’s Guide: Software for Ordination, Version 5.0; Micro-Computer Power: Ithaca, NY, USA, 2012. [Google Scholar]
  53. Field, A. Discovering Statistics Using SPSS, 3rd ed.; SAGE Publications: London, UK, 2009. [Google Scholar]
  54. Oram, B. Nitrates and Nitrites in Drinking Water; Groundwater and Surface Waters; Water Research Center 2014. Available online: https://water-research.net/index.php/nitrate (accessed on 20 December 2023).
  55. Wetzel, R.G.; Likens, G.E. Limnological Analysis, 2nd ed.; Springer Verlag: New York, NY, USA, 1991. [Google Scholar]
  56. Perron, M.A.C.; Pick, F.R. Stormwater ponds as habitat for Odonata in urban areas: The importance of obligate wetland plant species. Biodivers. Conserv. 2019, 29, 913–931. [Google Scholar] [CrossRef]
  57. Askew, R.R. The Dragonflies of Europe, 2nd ed.; Harley Books: Essex, UK, 2004. [Google Scholar]
  58. Dolný, A.; Ožana, S.; Burda, M.; Harabiš, F. Effects of landscape patterns and their changes to species richness, species composition, and the conservation value of Odonates (Insecta). Insects 2021, 12, 478. [Google Scholar] [CrossRef]
  59. Garrido-Perez, J.M.; Sergio, M.; Vicente-Serrano, S.M.; Barriopedro, D.; García-Herrera, R.; Trigo, R.; Beguería, S. Examining the outstanding Euro-Mediterranean drought of 2021–2022 and its historical context. J. Hydrol. 2024, 630, 130653. [Google Scholar] [CrossRef]
  60. Battaglioli, F.; Groenemeijer, P.; Púčik, T.; Taszarek, M.; Ulbrich, U.; Rust, H. Modelled multidecadal trends of lightning and (very) large hail in Europe and North America (1950–2021). J. Appl. Meteorol. Climatol. 2023, 62, 1627–1653. [Google Scholar] [CrossRef]
  61. Jakob, C.; Suhling, F. Risky Times? Mortality During Emergence in Two Species of Dragonflies (Odonata: Gomphidae, Libellulidae). Aquat. Insects 1999, 21, 1–10. [Google Scholar] [CrossRef]
  62. Hassall, C.; Thompson, D.J. The effects of environmental warming on Odonata: A review. Int. J. Odonatol. 2008, 11, 131–153. [Google Scholar] [CrossRef]
  63. Silva, L.; Diego, F.R.; Castro, M.P.; Juen, L.; Callisto, M.; Hughes, R.M.; Hermes, M.G. Functional responses of Odonata larvae to human disturbances in neotropical savanna headwater streams. Ecol. Indic. 2021, 133, 108367. [Google Scholar] [CrossRef]
  64. Willigalla, C.; Fartmann, T. Patterns in the diversity of dragonflies (Odonata) in cities across Central Europe. Eur. J. Entomol. 2012, 109, 235–245. [Google Scholar] [CrossRef]
  65. Crabot, J.; Mauchamp, A.; Bergerot, B.; Bonis, A.; Gore, O.; Rossignol, N.; Paillisson, J.M. How hydrology and landscape shape Odonata assemblages in marshlands crossed by ditches. Freshw. Biol. 2022, 67, 1228–1241. [Google Scholar] [CrossRef]
  66. Holtmann, L.; Juchem, M.; Brüggeshemke, J.; Möhlmeyer, A.; Fartmann, T. Stormwater ponds promote dragonfly (Odonata) species richness and density in urban areas. Ecol. Eng. 2018, 118, 1–11. [Google Scholar] [CrossRef]
  67. Corbet, P.S. Dragonflies: Behavior and Ecology of Odonata; Harley Books: Colchester, UK, 2004. [Google Scholar]
  68. Harabiš, F.; Dolný, A. The effects of ecological determinants on the dispersal abilities of central European dragonflies (Odonata). Odonatologica 2011, 40, 17–26. [Google Scholar]
  69. Hof, C.; Brändle, M.; Brandl, R. Lentic odonates have larger and more northern ranges than lotic species. J. Biogeogr. 2006, 33, 63–70. [Google Scholar] [CrossRef]
  70. Bota-Sierra, C.A.; García-Robledo, C.; Escobar, F.; Novelo-Gutiérrez, R.; Londoño, G.A. Environment, taxonomy and mor-phology constrain insect thermal physiology along tropical mountains. Funct. Ecol. 2022, 36, 1924–1935. [Google Scholar] [CrossRef]
  71. Olsen, K.; Svenning, J.-C.; Balslev, H. Climate change is driving shifts in dragonfly species richness across Europe via differential dynamics of taxonomic and biogeographic groups. Diversity 2022, 14, 1066. [Google Scholar] [CrossRef]
  72. Vilenica, M.; Mičetić Stanković, V.; Franković, M. Dragonfly fauna (Insecta, Odonata) in the Turopolje region (Croatia). Nat. Croat. 2011, 20, 141–158. [Google Scholar]
  73. Wildermuth, H. Visual and tactile stimuli in choice of oviposition substrates by the dragonfy Perithemis mooma Kirby (Anisoptera: Libellulidae). Odonatologica 1992, 21, 309–321. [Google Scholar]
  74. Dijkstra, K.-D.B.; Lewington, R. Field Guide to the Dragonflies of Britain and Europe, 1st ed.; British Wildlife Publishing: Gillingham, UK, 2006. [Google Scholar]
Figure 1. Geographical depiction of the Savica significant landscape in the city of Zagreb, Croatia, featuring photographic examples of the study sites. Legend: light grey spots—anthropogenically disturbed lakes, dark grey spots—natural oxbow lakes.
Figure 1. Geographical depiction of the Savica significant landscape in the city of Zagreb, Croatia, featuring photographic examples of the study sites. Legend: light grey spots—anthropogenically disturbed lakes, dark grey spots—natural oxbow lakes.
Insects 15 00207 g001
Figure 2. Cluster analysis of study sites belonging to anthropogenically disturbed and natural oxbow lakes in the Savica urban lakescape in the city of Zagreb, Croatia, based on the composition of Odonata assemblages. Legend: H—Hawaii, ZG—Žuta graba, VJ—Veliko jezero, V—Vrbova, U—Ušće lakes. Numbers 1–3 are sampling events.
Figure 2. Cluster analysis of study sites belonging to anthropogenically disturbed and natural oxbow lakes in the Savica urban lakescape in the city of Zagreb, Croatia, based on the composition of Odonata assemblages. Legend: H—Hawaii, ZG—Žuta graba, VJ—Veliko jezero, V—Vrbova, U—Ušće lakes. Numbers 1–3 are sampling events.
Insects 15 00207 g002
Figure 3. Odonata taxonomic assemblage metrics at anthropogenically disturbed and natural oxbow lakes in the Savica urban lakescape in the city of Zagreb, Croatia: (a) species richness, (b) abundance, (c) Shannon diversity index, (d) Simpson diversity index. Asterisks indicate significant differences in metrics between the different years of the study (* = p < 0.05).
Figure 3. Odonata taxonomic assemblage metrics at anthropogenically disturbed and natural oxbow lakes in the Savica urban lakescape in the city of Zagreb, Croatia: (a) species richness, (b) abundance, (c) Shannon diversity index, (d) Simpson diversity index. Asterisks indicate significant differences in metrics between the different years of the study (* = p < 0.05).
Insects 15 00207 g003
Figure 4. Dragonfly Biotic Index (DBI) calculated for anthropogenically disturbed and natural oxbow lakes in the Savica urban lakescape in the city of Zagreb, Croatia.
Figure 4. Dragonfly Biotic Index (DBI) calculated for anthropogenically disturbed and natural oxbow lakes in the Savica urban lakescape in the city of Zagreb, Croatia.
Insects 15 00207 g004
Figure 5. Functional diversity (RaoQ index) of Odonata assemblages at anthropogenically disturbed and natural oxbow lakes in the Savica urban lakescape in the city of Zagreb, Croatia, presented as mean and standard deviation (SD).
Figure 5. Functional diversity (RaoQ index) of Odonata assemblages at anthropogenically disturbed and natural oxbow lakes in the Savica urban lakescape in the city of Zagreb, Croatia, presented as mean and standard deviation (SD).
Insects 15 00207 g005
Figure 6. Functional traits of Odonata at anthropogenically disturbed and natural oxbow lakes in the Savica urban lakescape in the city of Zagreb, Croatia, presented as mean and standard deviation (SD) in relation to: (a) body shape, (b) habitat preference of species for lateral connectivity, (c) current preference of species, (d) species dispersal capacity, (e) reproduction type. Asterisks indicates a significant difference between the habitat types and between the different years of the study (*** = p < 0.001, ** = p < 0.01, * = p < 0.05). Legend: yr—year; CWM—community weighted mean; EUP—eupotamon, PARA—parapotamon, PLE—pleisiopotamon, PAL—palaeopotamon, TWB—temporary waterbodies; LIMN—limnophilous, LIM-RHE—limno- to rheophilous, RHE-LIM—rheo- to limnophilous, RHE—rheophilous; ETS—eggs laid attached to substrate, EIS—eggs laid into the substrate, SUB—eggs laid not attached to or in substrate, OWA—eggs laid in open water, IPL—eggs laid inside plant tissue, OPL—eggs laid onto plant material, ORS—eggs laid on exposed soil or rock.
Figure 6. Functional traits of Odonata at anthropogenically disturbed and natural oxbow lakes in the Savica urban lakescape in the city of Zagreb, Croatia, presented as mean and standard deviation (SD) in relation to: (a) body shape, (b) habitat preference of species for lateral connectivity, (c) current preference of species, (d) species dispersal capacity, (e) reproduction type. Asterisks indicates a significant difference between the habitat types and between the different years of the study (*** = p < 0.001, ** = p < 0.01, * = p < 0.05). Legend: yr—year; CWM—community weighted mean; EUP—eupotamon, PARA—parapotamon, PLE—pleisiopotamon, PAL—palaeopotamon, TWB—temporary waterbodies; LIMN—limnophilous, LIM-RHE—limno- to rheophilous, RHE-LIM—rheo- to limnophilous, RHE—rheophilous; ETS—eggs laid attached to substrate, EIS—eggs laid into the substrate, SUB—eggs laid not attached to or in substrate, OWA—eggs laid in open water, IPL—eggs laid inside plant tissue, OPL—eggs laid onto plant material, ORS—eggs laid on exposed soil or rock.
Insects 15 00207 g006
Table 1. Physico-chemical water properties measured in the anthropogenically disturbed and natural oxbow lakes in the Savica urban lakescape in the city of Zagreb, Croatia. The results of the generalized linear mixed models (GLMMs) show the differences in physico-chemical water properties between the habitats. Statistically significant effects and pairwise contrasts determined by the post-hoc least significant difference (LSD) test (p < 0.05) are in bold. Legend: SD—standard deviation, F—F-statistic, pp-significance value, d.f.—degrees of freedom.
Table 1. Physico-chemical water properties measured in the anthropogenically disturbed and natural oxbow lakes in the Savica urban lakescape in the city of Zagreb, Croatia. The results of the generalized linear mixed models (GLMMs) show the differences in physico-chemical water properties between the habitats. Statistically significant effects and pairwise contrasts determined by the post-hoc least significant difference (LSD) test (p < 0.05) are in bold. Legend: SD—standard deviation, F—F-statistic, pp-significance value, d.f.—degrees of freedom.
Physico-Chemical Water ParameterAnthropogenically
Disturbed Lake
Natural Oxbow LakeFpd.f.
Mean ± SDMean ± SD
Water temperature (°C)29.79 ± 1.8727.40 ± 2.660.6830.4131
Oxygen saturation (%)124.94 ± 16.1397.24 ± 22.994.5660.0381
pH7.81 ± 0.127.65 ± 0.270.9760.3291
Conductivity (µS/cm)344 ± 19315 ± 160.7570.3891
Water hardness (mg CaCO3/L)188.82 ± 11.13198.58 ± 10.482.0090.1641
Chemical oxygen demand (mg O2/L)5.06 ± 0.904.14 ± 0.410.1880.6671
Nitrate concentration (mg N/L)0.379 ± 0.1220.086 ± 0.0311.2270.2741
Nitrite concentration (mg N/L)0.014 ± 0.0020.005 ± 0.0003941.837p < 0.0011
Table 2. Abundance of Odonata species (shown as mean number of individuals) recorded during both years (2020 and 2023) of the study at anthropogenically disturbed and natural oxbow lakes in the Savica urban lakescape in the city of Zagreb, Croatia.
Table 2. Abundance of Odonata species (shown as mean number of individuals) recorded during both years (2020 and 2023) of the study at anthropogenically disturbed and natural oxbow lakes in the Savica urban lakescape in the city of Zagreb, Croatia.
SpeciesAnthropogenically Disturbed LakesNatural
Oxbow Lakes
Calopteryx splendens (Harris, 1782)0.20.2
Lestes sponsa (Hansemann, 1823) 0.1
Platycnemis pennipes (Pallas, 1771)23.126.5
Ischnura elegans (Vander Linden, 1820)28.334.3
Ischnura pumilio (Charpentier, 1825)0.70.1
Erythromma viridulum (Charpentier, 1840)0.30.7
Cordulia aenea (Linnaeus, 1758) 0.1
Onychogomphus forcipatus (Linnaeus, 1758) 0.1
Aeshna affinis (Vander Linden, 1820) 0.1
Aeshna isoceles (Müller, 1767) 0.1
Anax imperator (Leach, 1815)0.10.4
Crocothemis erythraea (Brullé, 1832)0.51.1
Libellula depressa (Linnaeus, 1758) 0.2
Orthetrum albistylum (Selys, 1848)1.41.0
Orthetrum brunneum (Fonscolombe, 1837)0.20.3
Orthetrum cancellatum (Linnaeus, 1758)0.30.2
Orthetrum coerulescens (Fabricius, 1798)0.80.7
Sympetrum sanguineum (Müller, 1764)0.60.7
Sympetrum striolatum (Charpentier, 1840)0.20.8
Species richness (S)13.019.0
Sum of all species abundances (mean, N)56.567.4
Table 3. Results of SIMPER analysis based on Odonata assemblages from anthropogenically disturbed and natural oxbow lakes in the Savica urban lakescape in the city of Zagreb, Croatia. SIMPER analysis was based on the log-transformed species data and preformed using the Bray–Curtis similarity matrix.
Table 3. Results of SIMPER analysis based on Odonata assemblages from anthropogenically disturbed and natural oxbow lakes in the Savica urban lakescape in the city of Zagreb, Croatia. SIMPER analysis was based on the log-transformed species data and preformed using the Bray–Curtis similarity matrix.
Group: anthropogenically disturbed lakes
Average similarity: 54.29
SpeciesMean abundance
per replicate
Similarity contribution
within group (%)
Ischnura elegans2.9756.66
Platycnemis pennipes2.4633.87
Group: natural oxbow lakes
Average similarity: 55.14
SpeciesMean abundance
per replicate
Similarity contribution
within group (%)
Ischnura elegans3.1852.69
Platycnemis pennipes2.7238.28
Table 4. Results of the generalized linear mixed models (full models) (GLMMs) showing the differences in Odonata taxonomic assemblage and Dragonfly Biotic Index between anthropogenically disturbed and natural oxbow lakes in the Savica urban lakescape in the city of Zagreb, Croatia. Statistically significant effects resulting from the post-hoc least significant difference test (p < 0.05) are shown in bold. Legend: F—F statistic, d.f.—degrees of freedom, pp-significance value, tt test (the estimate divided by its standard error), D—disturbed habitat type, N—natural habitat type.
Table 4. Results of the generalized linear mixed models (full models) (GLMMs) showing the differences in Odonata taxonomic assemblage and Dragonfly Biotic Index between anthropogenically disturbed and natural oxbow lakes in the Savica urban lakescape in the city of Zagreb, Croatia. Statistically significant effects resulting from the post-hoc least significant difference test (p < 0.05) are shown in bold. Legend: F—F statistic, d.f.—degrees of freedom, pp-significance value, tt test (the estimate divided by its standard error), D—disturbed habitat type, N—natural habitat type.
Taxonomic
Parameter
YearHabitat Type
Pairwise Contrast
Fpd.f.1d.f.2tp
Species
richness (S)
2020D-N0.2590.8533260.0001.000
2023D-N3260.9130.424
2020–2023D-D3260.4460.675
2020–2023N-N3260.2200.834
Abundance (N)2020D-N3.3170.0353260.4170.642
2023D-N3260.4640.647
2020–2023D-D3261.3820.179
2020–2023N-N3262.0410.050
Simpson
diversity (1 − λ)
2020D-N4.5630.0473240.0180.987
2023D-N3240.2860.803
2020–2023D-D3242.3440.108
2020–2023N-N3242.4260.095
Shannon
diversity (H′)
2020D-N0.6930.5773260.5360.606
2023D-N3260.4860.639
2020–2023D-D3241.4700.155
2020–2023N-N3240.3100.155
Dragonfly
Biotic Index (DBI)
2020D-N4.3850.0453260.9030.392
2023D-N3261.9110.124
2020–2023D-D3260.9700.341
2020–2023N-N3261.66990.376
Table 5. Results of the generalized linear mixed models (full models) (GLMMs) showing the differences in community weighted means (CWMs) of Odonata functional traits between anthropogenically disturbed and natural oxbow lakes in the Savica urban lakescape in the city of Zagreb, Croatia. Statistically significant effects resulting from the post-hoc least significant difference test (p < 0.05) are shown in bold. Legend: F—F statistic, d.f.—degrees of freedom, pp-significance value, tt test (the estimate divided by its standard error), D—disturbed habitat type, N—natural habitat type.
Table 5. Results of the generalized linear mixed models (full models) (GLMMs) showing the differences in community weighted means (CWMs) of Odonata functional traits between anthropogenically disturbed and natural oxbow lakes in the Savica urban lakescape in the city of Zagreb, Croatia. Statistically significant effects resulting from the post-hoc least significant difference test (p < 0.05) are shown in bold. Legend: F—F statistic, d.f.—degrees of freedom, pp-significance value, tt test (the estimate divided by its standard error), D—disturbed habitat type, N—natural habitat type.
Functional Trait GroupFunctional TraitYearHabitat Type Pairwise ContrastFpd.f.1d.f.2tp
Functional Diversity (RaoQ)2020D–N0.9270.4223261.4240.116
2023D–N3260.8630.396
2020–2023D–D3261.0780.291
2020–2023N–N3261.1000.281
Body shapeAnisoptera2020D-N0.6180.6103220.0720.943
2023D-N3220.7710.449
2020–2023D-D3221.1160.276
2020–2023N-N3220.4970.624
Zygoptera2020D-N1.5870.2183250.4450.660
2023D-N3250.6800.503
2020–2023D-D3252.0050.050
2020–2023N-N3250.5960.556
Lateral
connectivity preference
eupotamon2020D-N7.736<0.0013262.1170.044
2023D-N3260.9900.331
2020–2023D-D3265.044<0.001
2020–2023N-N3262.8620.008
parapotamon2020D-N5.5950.0033261.5390.136
2023D-N3261.0950.284
2020–2023D-D3262.0880.047
2020–2023N-N3263.1730.004
plesiopotamon (including lakes)2020D-N5.3310.0053260.7570.456
2023D-N3260.2440.809
2020–2023D-D3263.1970.004
2020–2023N-N3261.9720.050
palaeopotamon (including pools, ponds)2020D-N16.677<0.0013262.0130.050
2023D-N3260.0050.996
2020–2023D-D3265.136<0.001
2020–2023N-N3263.4860.002
temporary water bodies2020D-N2.2820.1043251.0310.313
2023D-N3251.7220.097
2020–2023D-D3250.7360.469
2020–2023N-N3251.5740.128
Current
preference
limnophilous2020D-N6.7320.0023212.0080.050
2023D-N3210.8150.424
2020–2023D-D3213.0590.006
2020–2023N-N3211.8270.082
limno- to
rheophilous
2020D-N1.8270.1673261.4220.167
2023D-N3260.4670.644
2020–2023D-D3261.1500.143
2020–2023N-N3260.4260.673
rheo- to
limnophilous
2020D-N0.0001.000390.0001.000
2023D-N390.0001.000
2020–2023D-D390.0001.000
2020–2023N-N390.0001.000
rheophilous2020D-N 0.000----
2023D-N----
2020–2023D-D----
2020–2023N-N----
Dispersal
capacity
high2020D-N4.8410.0093251.2440.225
2023D-N3250.1490.882
2020–2023D-D3253.3570.003
2020–2023N-N3252.1740.039
medium2020D-N4.4660.0133240.7530.459
2023D-N3240.3850.703
2020–2023D-D3242.4260.023
2020–2023N-N3242.3590.027
Reproductioneggs attached to the substrate2020D-N0.0001.000280.0010.999
2023D-N28--
2020–2023D-D28--
2020–2023N-N280.0001.000
eggs laid in the substrate2020D-N1.7440.1833260.3100.759
2023D-N3261.1100.277
2020–2023D-D3262.1020.045
2020–2023N-N3260.6350.531
eggs not attached to or in the substrate2020D-N3.1800.0453210.0880.930
2023D-N3210.5090.616
2020–2023D-D3211.8600.077
2020–2023N-N3211.9270.068
eggs laid in open water2020D-N0.2610.8533220.5730.572
2023D-N3220.5500.588
2020–2023D-D3220.2660.793
2020–2023N-N3220.3420.736
eggs laid inside plant tissue2020D-N1.7440.1833260.3260.747
2023D-N3261.1040.280
2020–2023D-D3262.1020.045
2020–2023N-N3260.6350.531
eggs laid onto plant material2020D-N0.5900.6293200.5460.591
2023D-N3200.5800.568
2020–2023D-D3200.3790.709
2020–2023N-N3200.8120.426
eggs on exposed soil or rock2020D-N0.2140.812270.4880.641
2023D-N----
2020–2023D-D----
2020–2023N-N270.3180.760
Disclaimer/Publisher’s Note: The statements, opinions and data contained in all publications are solely those of the individual author(s) and contributor(s) and not of MDPI and/or the editor(s). MDPI and/or the editor(s) disclaim responsibility for any injury to people or property resulting from any ideas, methods, instructions or products referred to in the content.

Share and Cite

MDPI and ACS Style

Vilenica, M.; Brigić, A.; Štih Koren, A.; Koren, T.; Sertić Perić, M.; Schmidt, B.; Bužan, T.; Gottstein, S. Odonata Assemblages in Urban Semi-Natural Wetlands. Insects 2024, 15, 207. https://doi.org/10.3390/insects15030207

AMA Style

Vilenica M, Brigić A, Štih Koren A, Koren T, Sertić Perić M, Schmidt B, Bužan T, Gottstein S. Odonata Assemblages in Urban Semi-Natural Wetlands. Insects. 2024; 15(3):207. https://doi.org/10.3390/insects15030207

Chicago/Turabian Style

Vilenica, Marina, Andreja Brigić, Ana Štih Koren, Toni Koren, Mirela Sertić Perić, Bruno Schmidt, Tomislava Bužan, and Sanja Gottstein. 2024. "Odonata Assemblages in Urban Semi-Natural Wetlands" Insects 15, no. 3: 207. https://doi.org/10.3390/insects15030207

APA Style

Vilenica, M., Brigić, A., Štih Koren, A., Koren, T., Sertić Perić, M., Schmidt, B., Bužan, T., & Gottstein, S. (2024). Odonata Assemblages in Urban Semi-Natural Wetlands. Insects, 15(3), 207. https://doi.org/10.3390/insects15030207

Note that from the first issue of 2016, this journal uses article numbers instead of page numbers. See further details here.

Article Metrics

Back to TopTop