Relationship between Upper and Lower Body Strength and Basketball Shooting Performance
Abstract
1. Introduction
2. Materials and Methods
2.1. Participants
2.2. Procedures
2.3. Statistical Analysis
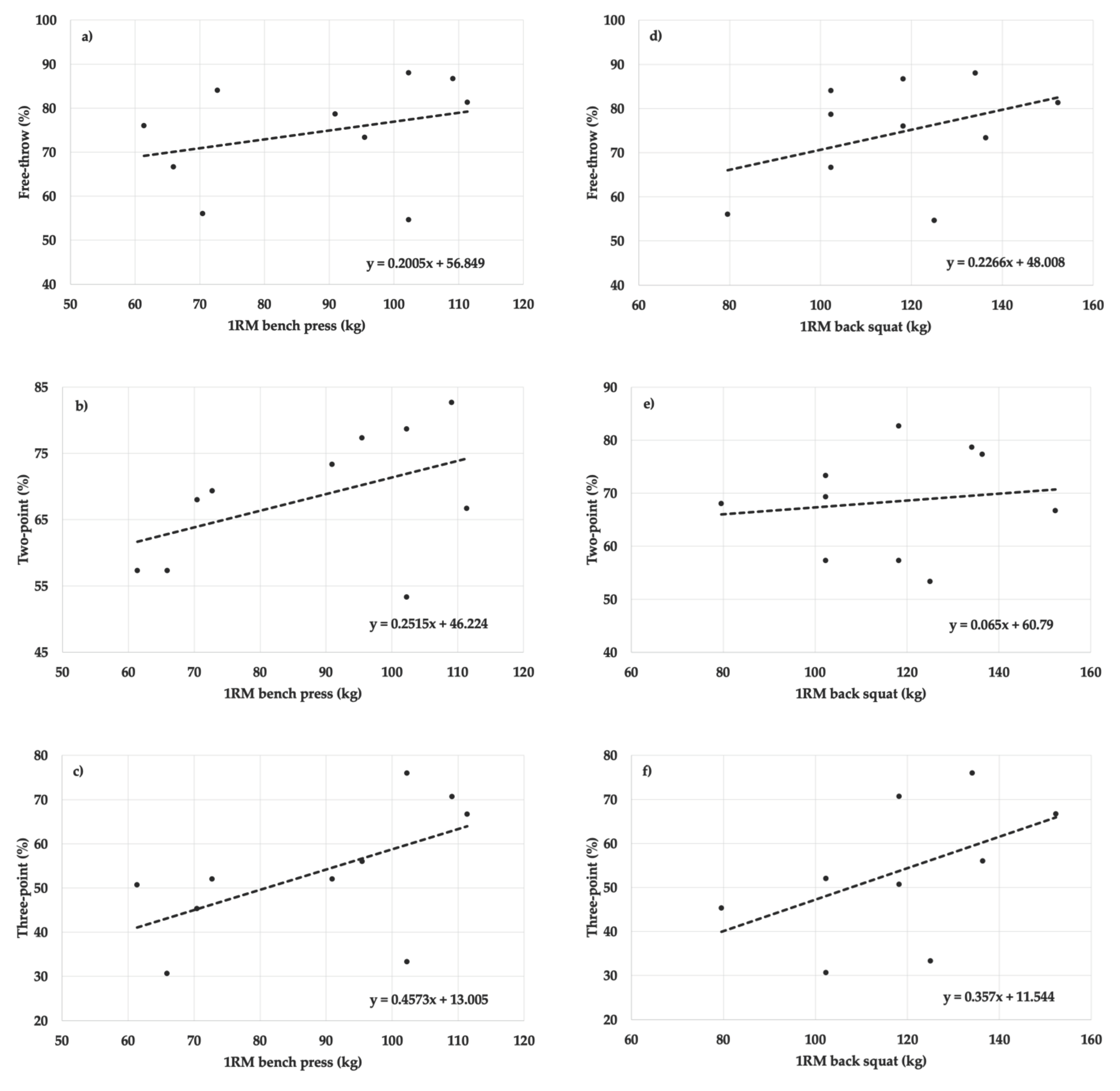
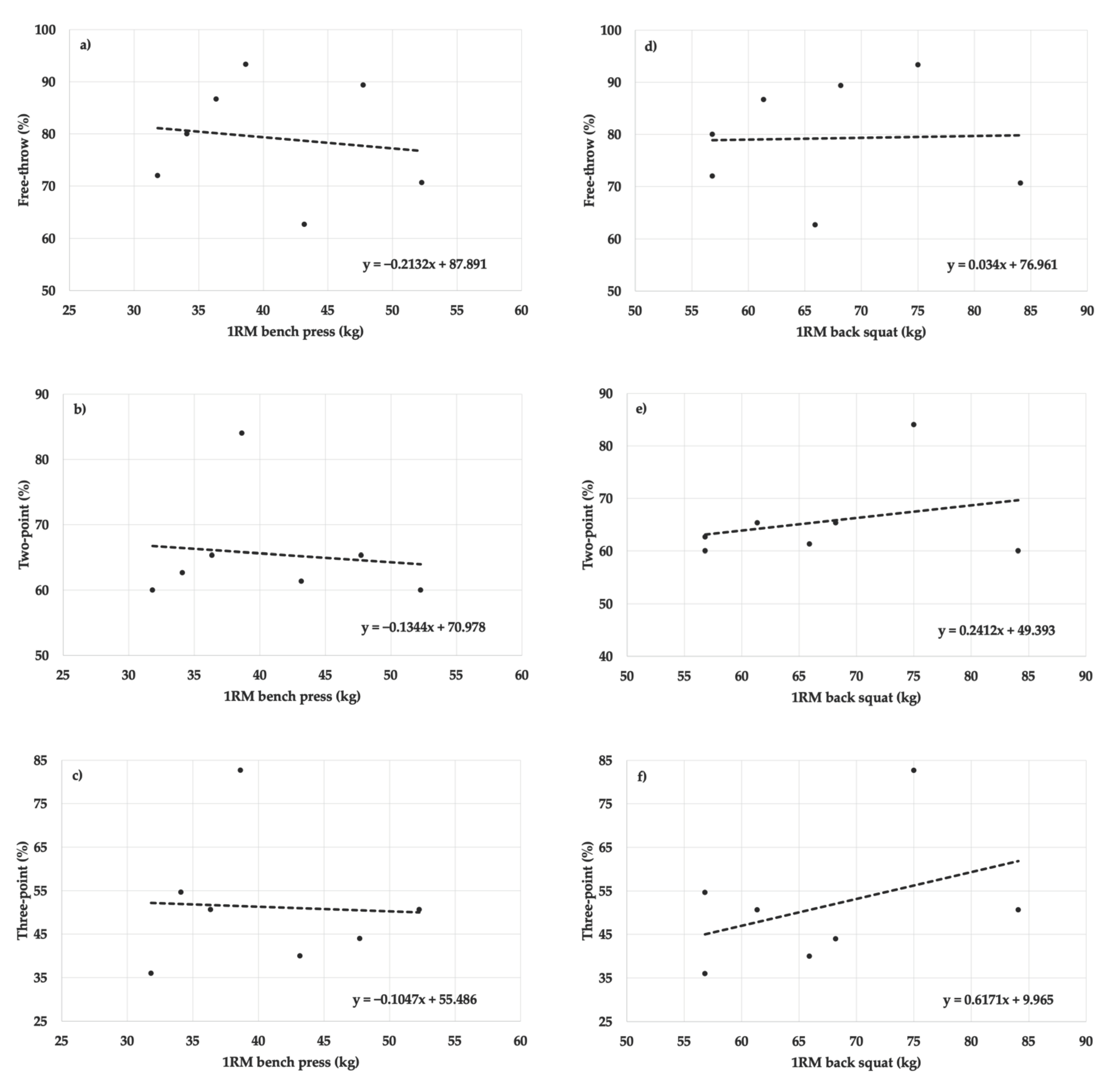
3. Results
4. Discussion
5. Conclusions
Author Contributions
Funding
Institutional Review Board Statement
Informed Consent Statement
Data Availability Statement
Conflicts of Interest
References
- Csataljay, G.; O’Donohue, P.; Huges, M.; Dancs, H. Performance indicators that distinguish winning and losing teams in basketball. Int. J. Perform. Anal. 2009, 9, 60–66. [Google Scholar] [CrossRef]
- Csataljay, G.; James, N.; Hughes, M.; Dancs, H. Performance difference between winning and losing basketball teams during close, balanced and unbalanced quarters. J. Hum. Sport Exerc. 2012, 7, 356–364. [Google Scholar] [CrossRef]
- Gomez, M.A.; Lorenzo, A.; Sampaio, J.; Ibanez, S.J.; Ortega, E. Game-related statistics that discriminated winning and losing teams from the Spanish men’s professional basketball teams. Coll. Antropol. 2008, 32, 451–456. [Google Scholar]
- Lorenzo, A.; Gomez, M.A.; Ortega, E.; Ibanez, S.J.; Sampaio, J. Game related statistics which discriminate between winning and losing under-16 male basketball games. J. Sport Sci. Med. 2010, 9, 664–668. [Google Scholar]
- Trninic, S.; Dizdar, D.; Luksic, E. Difference between winning and defeated top quality basketball teams in final tournaments of European club championship. Coll. Antropol. 2002, 26, 521–531. [Google Scholar]
- Dawes, J.J.; Spiteri, T. Relationship between pre-season testing performance and playing time among NCAA D-II basketball players. Sport Exerc. Med. 2016, 2, 47–54. [Google Scholar] [CrossRef]
- Ostojic, S.M.; Mazic, S.; Dikic, N. Profiling in basketball: Physical and physiological characteristics of elite players. J. Strength Cond. Res. 2006, 20, 740–744. [Google Scholar] [CrossRef]
- Morrison, M.; Martin, D.T.; Talpey, S.; Scanlan, A.T.; Delaney, J.; Halson, S.L.; Weakley, J. A systematic review on fitness testing in adult male basketball players: Tests adopted, characteristics reported and recommendations for practice. Sports Med. 2022, 52, 1491–1532. [Google Scholar] [CrossRef]
- Latin, R.W.; Berg, K.; Baechle, T. Physical and performance characteristics of NCAA Division-I male basketball players. J. Strength Cond. Res. 1994, 8, 214–218. [Google Scholar]
- Cabarkapa, D.; Fry, A.C.; Lane, M.T.; Hudy, A.; Dietz, P.R.; Cain, G.J.; Andre, M.J. The importance of lower body strength and power for future success in professional men’s basketball. Sport Sci. Health 2020, 10, 10–16. [Google Scholar] [CrossRef]
- Hoffman, J.R.; Tenenbaum, G.; Maresh, C.M.; Kraemer, W.J. Relationship between athletic performance tests and playing time in elite college basketball players. J. Strength Cond. Res. 1996, 10, 67–71. [Google Scholar]
- Chaouachi, A.; Brughelli, M.; Chamari, K.; Levin, G.T.; Abdelkrim, N.B.; Laurencelle, L.; Castagna, C. Lower limb maximal dynamic strength and agility determinants in elite basketball players. J. Strength Cond. Res. 2009, 23, 1570–1577. [Google Scholar] [CrossRef]
- Cui, Y.; Liu, F.; Bao, D.; Liu, H.; Zhang, S.; Gómez, M.Á. Key anthropometric and physical determinants for different playing positions during National Basketball Association draft combine test. Front. Psychol. 2019, 10, 2359. [Google Scholar] [CrossRef]
- Lockie, R.G.; Beljic, A.; Ducheny, S.C.; Kammerer, J.D.; Dawes, J.J. Relationships between playing time and selected NBA combine test performance in Division-I mid-major basketball players. Int. J. Exerc. Sci. 2020, 13, 583–596. [Google Scholar]
- Delextrat, A.; Cohen, D. Physiological testing of basketball players: Toward a standard evaluation of anaerobic fitness. J. Strength Cond. Res. 2008, 22, 1066–1072. [Google Scholar] [CrossRef]
- Hunter, G.R.; Hilyer, J.; Forster, M.A. Changes in fitness during 4 years of intercollegiate basketball. J. Strength Cond. Res. 1993, 7, 26–29. [Google Scholar]
- Pojskic, H.; Sisic, N.; Separovic, V.; Sekulic, D. Association between conditioning capacities and shooting performance in professional basketball players: An analysis of stationary and dynamic shooting skills. J. Strength Cond. Res. 2018, 32, 1981–1992. [Google Scholar] [CrossRef]
- Haff, G.G.; Triplett, N.T. Essentials of Strength Training and Conditioning, 4th ed.; Human Kinetics: Champaign, IL, USA, 2015. [Google Scholar]
- Simenz, C.J.; Dugan, C.A.; Ebben, W.P. Strength and conditioning practices of National Basketball Association strength and conditioning coaches. J. Strength Cond. Res. 2005, 19, 495–504. [Google Scholar]
- McCurdy, K.; Langford, G.A.; Cline, A.L.; Doscher, M.; Hoff, R. The reliability of 1-and 3RM tests of unilateral strength in trained and untrained men and women. J. Sport Sci. Med. 2004, 3, 190–196. [Google Scholar]
- Rice, P.E.; Goodman, C.L.; Capps, C.R.; Triplett, N.T.; Erickson, T.M.; McBride, J.M. Force–and power–time curve comparison during jumping between strength-matched male and female basketball players. Eur. J. Sport Sci. 2017, 17, 286–293. [Google Scholar] [CrossRef]
- Witmer, C.A.; Davis, S.E.; Moir, G.L. The acute effects of back squats on vertical jump performance in men and women. J. Sports Sci. Med. 2010, 9, 206–213. [Google Scholar]
- Teramoto, M.; Cross, C.L.; Rieger, R.H.; Maak, T.G.; Willick, S.E. Predictive validity of national basketball association draft combine on future performance. J. Strength Cond. Res. 2018, 32, 396–408. [Google Scholar] [CrossRef]
- Burnham, T.R.; Ruud, J.D.; McGowan, R. Bench press training program with attached chains for female volleyball and basketball athletes. Percept. Mot. Skills 2010, 110, 61–68. [Google Scholar] [CrossRef]
- Knudson, D. Biomechanics of the basketball jump shot—Six key teaching points. J. Phys. Educ. Recreat. Dance 1993, 64, 67–73. [Google Scholar] [CrossRef]
- Cabarkapa, D.; Fry, A.C.; Cabarkapa, D.V.; Myers, C.A.; Jones, G.T.; Deane, M.A. Kinetic and kinematic characteristics of proficient and non-proficient 2-point and 3-point basketball shooters. Sports 2021, 10, 2. [Google Scholar] [CrossRef]
- Cabarkapa, D.; Fry, A.C.; Carlson, K.M.; Poggio, J.P.; Deane, M.A. Key kinematic components for optimal basketball free throw shooting performance. Cent. Eur. J. Sport Sci. Med. 2021, 36, 5–15. [Google Scholar] [CrossRef]
- Cabarkapa, D.; Fry, A.C.; Poggio, J.P.; Deane, M.A. Kinematic differences between proficient and non-proficient free throw shooters–video analysis. J. Appl. Sports Sci. 2021, 1, 12–21. [Google Scholar] [CrossRef]
- Esteves, P.T.; Arede, J.; Travassos, B.; Dicks, M. Gaze and shoot: Examining the effects of player height and attacker-defender interpersonal distances on gaze behavior and shooting accuracy of elite basketball players. Rev. Psicol. Deporte 2021, 30, 1–8. [Google Scholar]
- Gorman, A.D.; Maloney, M.A. Representative design: Does the addition of a defender change the execution of a basketball shot? Psychol. Sport Exerc. 2016, 27, 112–119. [Google Scholar] [CrossRef]
- Cabarkapa, D.; Fry, A.C.; Deane, M.A.; Akers, J.D. The relationship between breakfast consumption and basketball shooting performance. Facta Univ. Ser. Phys. Educ. Sport 2020, 18, 311–322. [Google Scholar] [CrossRef]
- Padulo, J.; Nikolaidis, P.T.; Cular, D.; Dello Iacono, A.; Vando, S.; Galasso, M.; Storto, D.L.; Ardigo, L.P. The effect of heart rate on jump-shot accuracy of adolescent basketball players. Front. Physiol. 2018, 9, 1065. [Google Scholar] [CrossRef]



Publisher’s Note: MDPI stays neutral with regard to jurisdictional claims in published maps and institutional affiliations. |
© 2022 by the authors. Licensee MDPI, Basel, Switzerland. This article is an open access article distributed under the terms and conditions of the Creative Commons Attribution (CC BY) license (https://creativecommons.org/licenses/by/4.0/).
Share and Cite
Cabarkapa, D.; Eserhaut, D.A.; Fry, A.C.; Cabarkapa, D.V.; Philipp, N.M.; Whiting, S.M.; Downey, G.G. Relationship between Upper and Lower Body Strength and Basketball Shooting Performance. Sports 2022, 10, 139. https://doi.org/10.3390/sports10100139
Cabarkapa D, Eserhaut DA, Fry AC, Cabarkapa DV, Philipp NM, Whiting SM, Downey GG. Relationship between Upper and Lower Body Strength and Basketball Shooting Performance. Sports. 2022; 10(10):139. https://doi.org/10.3390/sports10100139
Chicago/Turabian StyleCabarkapa, Dimitrije, Drake A. Eserhaut, Andrew C. Fry, Damjana V. Cabarkapa, Nicolas M. Philipp, Shay M. Whiting, and Gabriel G. Downey. 2022. "Relationship between Upper and Lower Body Strength and Basketball Shooting Performance" Sports 10, no. 10: 139. https://doi.org/10.3390/sports10100139
APA StyleCabarkapa, D., Eserhaut, D. A., Fry, A. C., Cabarkapa, D. V., Philipp, N. M., Whiting, S. M., & Downey, G. G. (2022). Relationship between Upper and Lower Body Strength and Basketball Shooting Performance. Sports, 10(10), 139. https://doi.org/10.3390/sports10100139

