The Relationship between 24 h Ultramarathon Performance and the “Big Three” Strategies of Training, Nutrition, and Pacing
Abstract
1. Introduction
2. Materials and Methods
2.1. Participant
2.2. Experimental Design
2.3. Aerobic Fitness
2.4. Nutritional Status
2.5. Blood Glucose Level and Heart Rate during the Ultramarathon
2.6. Statistical Analysis
3. Results
3.1. Aerobic Fitness and Training Status
3.2. Race Performance
3.3. Nutritional Status
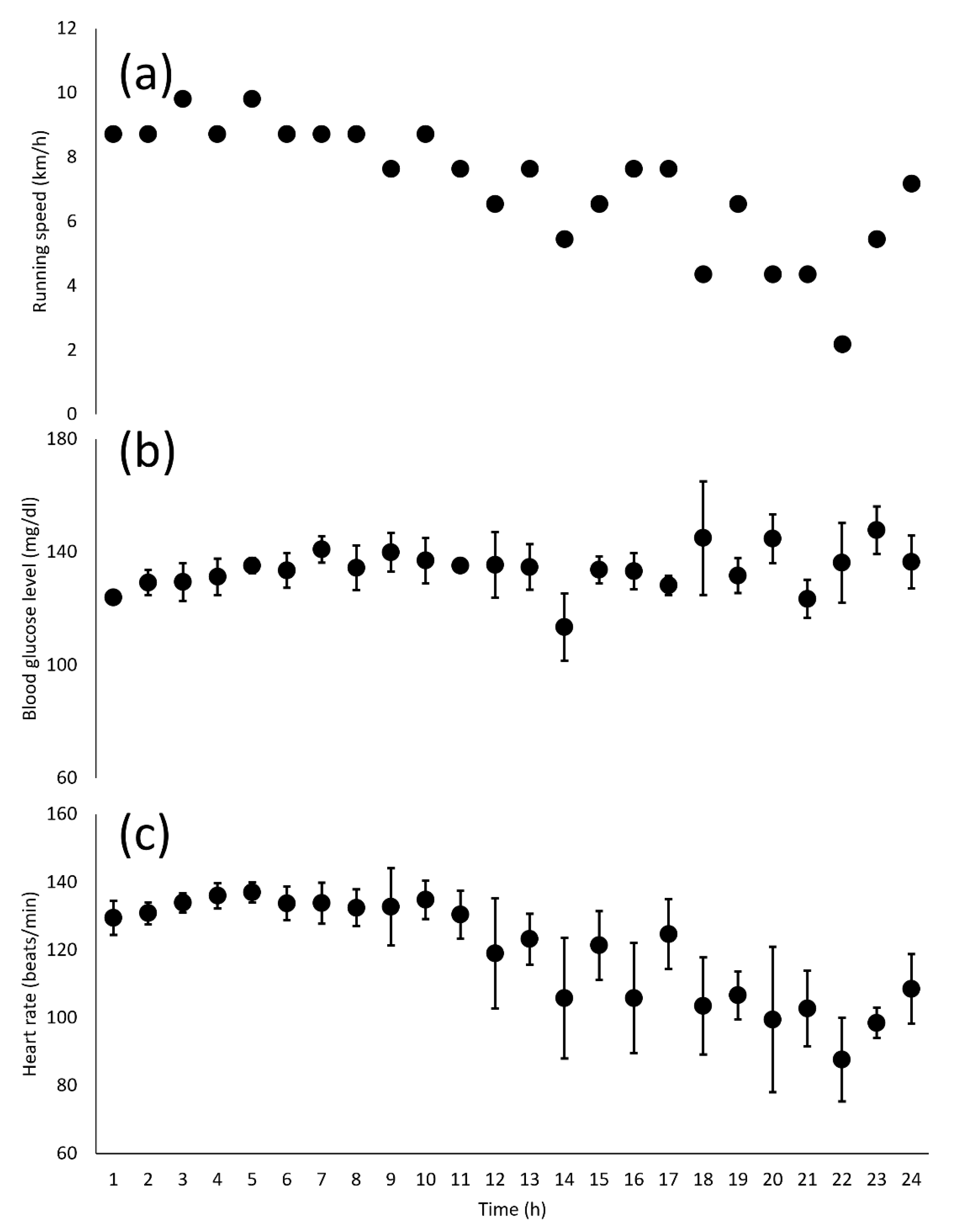
3.4. Blood Glucose Level and Heart Rate
4. Discussion
5. Conclusions
Author Contributions
Funding
Institutional Review Board Statement
Informed Consent Statement
Data Availability Statement
Conflicts of Interest
References
- Knechtle, B.; Knechtle, P.; Rosemann, T.; Lepers, R. Personal best marathon time and longest training run, not anthropometry, predict performance in recreational 24-hour ultrarunners. J. Strength Cond. Res. 2011, 25, 2212–2218. [Google Scholar] [CrossRef] [PubMed]
- Waśkiewicz, Z.; Kłapcińska, B.; Sadowska-Krępa, E.; Czuba, M.; Kempa, K.; Kimsa, E.; Gerasimuk, D. Acute metabolic responses to a 24-h ultra-marathon race in male amateur runners. Eur. J. Appl. Physiol. 2012, 112, 1679–1688. [Google Scholar] [CrossRef] [PubMed]
- Lavoué, C.; Siracusa, J.; Chalchat, É.; Bourrilhon, C.; Charlot, K. Analysis of food and fluid intake in elite ultra-endurance runners during a 24-h world championship. J. Int. Soc. Sport. Nutr. 2020, 17, 36. [Google Scholar] [CrossRef] [PubMed]
- Kinrade, E.J.; Galloway, S. Dietary Observations of Ultra-Endurance Runners in Preparation for and During a Continuous 24-h Event. Front. Physiol. 2021, 12, 765888. [Google Scholar] [CrossRef] [PubMed]
- Ishihara, K.; Inamura, N.; Tani, A.; Shima, D.; Kuramochi, A.; Nonaka, T.; Oneda, H.; Nakamura, Y. Contribution of Solid Food to Achieve Individual Nutritional Requirement during a Continuous 438 km Mountain Ultramarathon in Female Athlete. Int. J. Environ. Res. Public Health 2021, 18, 5153. [Google Scholar] [CrossRef] [PubMed]
- Ishihara, K.; Uchiyama, N.; Kizaki, S.; Mori, E.; Nonaka, T.; Oneda, H. Application of Continuous Glucose Monitoring for Assessment of Individual Carbohydrate Requirement during Ultramarathon Race. Nutrients 2020, 12, 1121. [Google Scholar] [CrossRef] [PubMed]
- Costa, R.; Hoffman, M.D.; Stellingwerff, T. Considerations for ultra-endurance activities: Part 1- nutrition. Res. Sport Med. 2019, 27, 166–181. [Google Scholar] [CrossRef] [PubMed]
- Tiller, N.B.; Roberts, J.D.; Beasley, L.; Chapman, S.; Pinto, J.M.; Smith, L.; Wiffin, M.; Russell, M.; Sparks, S.A.; Duckworth, L.; et al. International Society of Sports Nutrition Position Stand: Nutritional considerations for single-stage ultra-marathon training and racing. J. Int. Soc. Sport Nutr. 2019, 16, 50. [Google Scholar] [CrossRef] [PubMed]
- Takayama, F.; Aoyagi, A.; Nabekura, Y. Pacing strategy in a 24-hour ultramarathon race. Int. J. Perform. Anal. Sport 2016, 16, 498–507. [Google Scholar] [CrossRef]
- Takayama, F.; Aoyagi, A.; Shimazu, W.; Nabekura, Y. Effects of Marathon Running on Aerobic Fitness and Performance in Recreational Runners One Week after a Race. J. Sport Med. 2017, 2017, 9402386. [Google Scholar] [CrossRef] [PubMed]
- Takayama, F.; Aoyagi, A.; Nabekura, Y. Relationship between Classic Physiological Variables and Running Performance in Recreational Runners. Int. J. Sport Health Sci. 2018, 16, 33–40. [Google Scholar] [CrossRef][Green Version]
- Teixeira, V.; Voci, S.M.; Mendes-Netto, R.S.; da Silva, D.G. The relative validity of a food record using the smartphone application MyFitnessPal. Nutr. Diet. J. Dietit. Assoc. Aust. 2018, 75, 219–225. [Google Scholar] [CrossRef] [PubMed]
- Amaze. Calorie Slism. Available online: https://calorie.slism.jp/ (accessed on 7 August 2022).
- Stuempfle, K.J.; Hoffman, M.D.; Weschler, L.B.; Rogers, I.R.; Hew-Butler, T. Race diet of finishers and non-finishers in a 100 mile (161 km) mountain footrace. J. Am. Coll. Nutr. 2011, 30, 529–535. [Google Scholar] [CrossRef] [PubMed]
- Viribay, A.; Arribalzaga, S.; Mielgo-Ayuso, J.; Castañeda-Babarro, A.; Seco-Calvo, J.; Urdampilleta, A. Effects of 120 g/h of Carbohydrates Intake during a Mountain Marathon on Exercise-Induced Muscle Damage in Elite Runners. Nutrients 2020, 12, 1367. [Google Scholar] [CrossRef] [PubMed]
- Neumayr, G.; Pfister, R.; Mitterbauer, G.; Maurer, A.; Hoertnagl, H. Effect of ultramarathon cycling on the heart rate in elite cyclists. Br. J. Sport Med. 2004, 38, 55–59. [Google Scholar] [CrossRef] [PubMed]
- Gimenez, P.; Kerhervé, H.; Messonnier, L.A.; Féasson, L.; Millet, G.Y. Changes in the energy cost of running during a 24-h treadmill exercise. Med. Sci. Sport Exerc. 2013, 45, 1807–1813. [Google Scholar] [CrossRef] [PubMed]
- Tan, P.L.; Tan, F.H.; Bosch, A.N. Assessment of Differences in the Anthropometric, Physiological and Training Characteristics of Finishers and Non-finishers in a Tropical 161-km Ultra-marathon. Int. J. Exerc. Sci. 2017, 10, 465–478. [Google Scholar] [PubMed]
- Valenzano, A.; Moscatelli, F.; Triggiani, A.I.; Capranica, L.; De Ioannon, G.; Piacentini, M.F.; Mignardi, S.; Messina, G.; Villani, S.; Cibelli, G. Heart-Rate Changes After an Ultraendurance Swim from Italy to Albania: A Case Report. Int. J. Sport Physiol. Perform. 2016, 11, 407–409. [Google Scholar] [CrossRef] [PubMed]
- Mattsson, C.M.; Ståhlberg, M.; Larsen, F.J.; Braunschweig, F.; Ekblom, B. Late cardiovascular drift observable during ultraendurance exercise. Med. Sci. Sport Exerc. 2011, 43, 1162–1168. [Google Scholar] [CrossRef] [PubMed]

| Baseline Diet | Pre-Race Diet | Pre-Race Meal | |
|---|---|---|---|
| Energy (kcal) | 2357 ± 131 | 2759 ± 223 | 1224 |
| Protein (g) | 123 ± 23 | 91 ± 9 | 26 |
| Protein (g/kg) | 1.8 ± 0.3 | 1.3 ± 0.1 | 0.4 |
| Protein (%energy) | 21 ± 4 | 13 ± 2 | 8 |
| Fat (g) | 65 ± 13 | 49 ± 17 | 12 |
| Fat (g/kg) | 1.0 ± 0.2 | 0.7 ± 0.2 | 0.2 |
| Fat (%energy) | 25 ± 5 | 16 ± 5 | 9 |
| CHO (g) | 322 ± 62 | 492 ± 57 | 252 |
| CHO (g/kg) | 4.7 ± 0.9 | 7.2 ± 0.8 | 3.7 |
| CHO (%energy) | 54 ± 8 | 71 ± 4 | 83 |
| 0–6 h | 6–12 h | 12–18 h | 18–24 h | Total (0–24 h) | |
|---|---|---|---|---|---|
| Energy (kcal) | 1778 | 1702 | 1324 | 1518 | 6322 |
| Energy (kcal/h) | 296 | 284 | 221 | 253 | 263 |
| Protein (g) | 40 | 36 | 33 | 41 | 151 |
| Protein (g/kg) | 0.6 | 0.5 | 0.5 | 0.6 | 2.2 |
| Protein (g/h) | 6.7 | 6.1 | 5.5 | 6.9 | 6.3 |
| Fat (g) | 23 | 22 | 33 | 35 | 113 |
| Fat (g/kg) | 0.3 | 0.3 | 0.5 | 0.5 | 1.6 |
| Fat (g/h) | 3.9 | 3.7 | 5.5 | 5.8 | 4.7 |
| CHO (g) | 366 | 342 | 216 | 250 | 1174 |
| CHO (g/kg) | 5.3 | 5.0 | 3.2 | 3.6 | 17 |
| CHO (g/h) | 61 | 57 | 36 | 42 | 48 |
| Fluid (mL) | 1650 | 1650 | 1500 | 1500 | 6300 |
| Fluid (mL/h) | 275 | 275 | 250 | 250 | 263 |
Publisher’s Note: MDPI stays neutral with regard to jurisdictional claims in published maps and institutional affiliations. |
© 2022 by the authors. Licensee MDPI, Basel, Switzerland. This article is an open access article distributed under the terms and conditions of the Creative Commons Attribution (CC BY) license (https://creativecommons.org/licenses/by/4.0/).
Share and Cite
Takayama, F.; Mori, H. The Relationship between 24 h Ultramarathon Performance and the “Big Three” Strategies of Training, Nutrition, and Pacing. Sports 2022, 10, 162. https://doi.org/10.3390/sports10100162
Takayama F, Mori H. The Relationship between 24 h Ultramarathon Performance and the “Big Three” Strategies of Training, Nutrition, and Pacing. Sports. 2022; 10(10):162. https://doi.org/10.3390/sports10100162
Chicago/Turabian StyleTakayama, Fuminori, and Hisashi Mori. 2022. "The Relationship between 24 h Ultramarathon Performance and the “Big Three” Strategies of Training, Nutrition, and Pacing" Sports 10, no. 10: 162. https://doi.org/10.3390/sports10100162
APA StyleTakayama, F., & Mori, H. (2022). The Relationship between 24 h Ultramarathon Performance and the “Big Three” Strategies of Training, Nutrition, and Pacing. Sports, 10(10), 162. https://doi.org/10.3390/sports10100162

