An Examination of Relative Age and Athlete Dropout in Female Developmental Soccer
Abstract
:1. Introduction
2. Materials and Methods
3. Results
3.1. General Findings–Relative Age
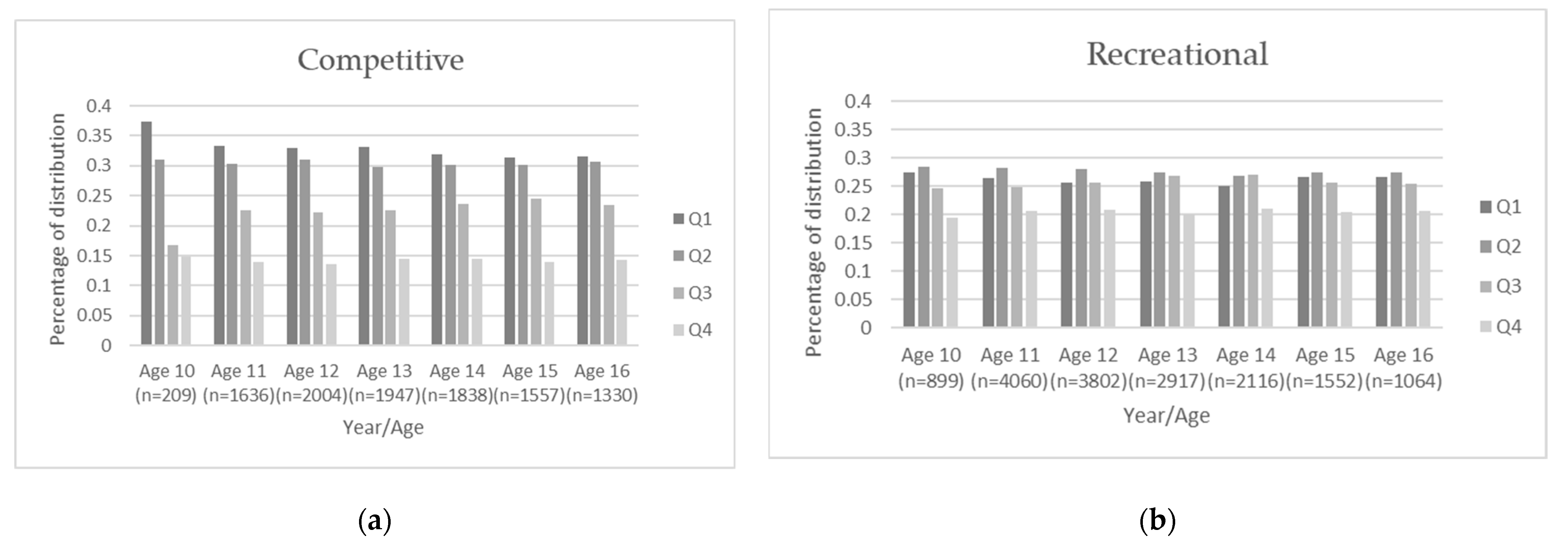
3.2. Additional Factors—Competition Level and Community Size
4. Discussion
5. Conclusions
Author Contributions
Funding
Institutional Review Board Statement
Informed Consent Statement
Data Availability Statement
Acknowledgments
Conflicts of Interest
References
- Eime, R.M.; Young, J.A.; Harvey, J.T.; Charity, M.J.; Payne, W.R. A Systematic Review of the Psychological and Social Benefits of Participation in Sport for Children and Adolescents: Informing Development of a Conceptual Model of Health through Sport. Int. J. Behav. Nutr. Phys. Act. 2013, 10, 98. [Google Scholar] [CrossRef] [PubMed] [Green Version]
- Janssen, I.; LeBlanc, A.G. Systematic Review of the Health Benefits of Physical Activity and Fitness in School-Aged Children and Youth. Int. J. Behav. Nutr. Phys. Act. 2010, 7, 40. [Google Scholar] [CrossRef] [PubMed] [Green Version]
- Lagestad, P. Differences between Adolescents Staying in and Dropping out of Organized Sport: A Longitudinal Study. J. Phys. Educ. Sport 2019, 19, 444–452. [Google Scholar] [CrossRef]
- Howie, L.D.; Lukacs, S.L.; Pastor, P.N.; Reuben, C.A.; Mendola, P. Participation in Activities Outside of School Hours in Relation to Problem Behavior and Social Skills in Middle Childhood. J. Sch. Health 2010, 80, 119–125. [Google Scholar] [CrossRef]
- Boone, E.M.; Leadbeater, B.J. Game On: Diminishing Risks for Depressive Symptoms in Early Adolescence Through Positive Involvement in Team Sports. J. Res. Adolesc. 2006, 16, 79–90. [Google Scholar] [CrossRef]
- Sanders, C.E.; Field, T.M.; Diego, M.; Kaplan, M. Moderate Involvement in Sports Is Related to Lower Depression Levels among Adolescents. Adolescence 2000, 35, 793–797. [Google Scholar] [PubMed]
- Lubans, D.R.; Morgan, P.J.; Cliff, D.P.; Barnett, L.M.; Okely, A.D. Fundamental Movement Skills in Children and Adolescents: Review of Associated Health Benefits. Sports Med. Auckl. 2010, 40, 1019–1035. [Google Scholar] [CrossRef] [Green Version]
- Stodden, D.F.; Goodway, J.D.; Langendorfer, S.J.; Roberton, M.A.; Rudisill, M.E.; Garcia, C.; Garcia, L.E. A Developmental Perspective on the Role of Motor Skill Competence in Physical Activity: An Emergent Relationship. Quest Natl. Assoc. Kinesiol. High. Educ. 2008, 60, 290–306. [Google Scholar] [CrossRef]
- Canadian Fitness and Lifestyle Research Institute (CFLRI). Bulletin 02: Participation in Organized Physical Activity and Sport; Canadian Fitness and Lifestyle Research Institute (CFLRI): Ottawa, ON, Canada, 2016. [Google Scholar]
- Balish, S.M.; McLaren, C.; Rainham, D.; Blanchard, C. Correlates of Youth Sport Attrition: A Review and Future Directions. Psychol. Sport Exerc. 2014, 15, 429–439. [Google Scholar] [CrossRef]
- Petlichkoff, L.M. The Drop-out Dilemma in Youth Sports. In The Child and Adolescent Athlete; Bar-Or, O., Ed.; Blackwell Science: Oxford, UK, 1996; Volume 6, pp. 418–430. [Google Scholar]
- Butcher, J.; Lindner, K.J.; Johns, D.P. Withdrawal from Competitive Youth Sport: A Retrospective Ten-Year Study. J. Sport Behav. 2002, 25, 145–163. [Google Scholar]
- Crane, J.; Temple, V. A Systematic Review of Dropout from Organized Sport among Children and Youth. Eur. Phys. Educ. Rev. 2015, 21, 114–131. [Google Scholar] [CrossRef]
- Wattie, N.; Cobley, S.; Baker, J. Towards a Unified Understanding of Relative Age Effects. J. Sports Sci. 2008, 26, 1403–1409. [Google Scholar] [CrossRef]
- Helsen, W.F.; Starkes, J.L.; Van Winckel, J. The Influence of Relative Age on Success and Dropout in Male Soccer Players. Am. J. Hum. Biol. 1998, 10, 791–798. [Google Scholar] [PubMed]
- Musch, J.; Grondin, S. Unequal Competition as an Impediment to Personal Development: A Review of the Relative Age Effect in Sport. Dev. Rev. 2001, 21, 147–167. [Google Scholar] [CrossRef] [Green Version]
- Wattie, N.; Schorer, J.; Baker, J. The Relative Age Effect in Sport: A Developmental Systems Model. Sports Med. 2015, 45, 83–94. [Google Scholar] [CrossRef] [PubMed]
- Baker, J.; Cobley, S.; Cobley, S.; Montelpare, W.J.; Wattie, N.; Faught, B.E. Exploring Proposed Mechanisms of the Relative Age Effect in Canadian Minor Hockey. Int. J. Sport Psychol. 2010, 41, 148–159. [Google Scholar]
- Cobley, S.; Baker, J.; Wattie, N.; McKenna, J. Annual Age-Grouping and Athlete Development: A Meta-Analytical Review of Relative Age Effects in Sport. Sports Med. 2009, 39, 235–256. [Google Scholar] [CrossRef]
- Lovell, R.; Towlson, C.; Parkin, G.; Portas, M.; Vaeyens, R.; Cobley, S. Soccer Player Characteristics in English Lower-League Development Programmes: The Relationships between Relative Age, Maturation, Anthropometry and Physical Fitness. PLoS ONE 2015, 10, e0137238. [Google Scholar] [CrossRef]
- Wattie, N.; Baker, J.; Cobley, S.; Montelpare, W.J. A Historical Examination of Relative Age Effects in Canadian Hockey Players. Int. J. Sport Psychol. 2007, 38, 178–186. [Google Scholar]
- Baker, J.; Schorer, J.; Cobley, S.; Bräutigam, H.; Büsch, D. Gender, Depth of Competition and Relative Age Effects in Team Sports. Asian J. Exerc. Sport Sci. 2009, 6, 1–7. [Google Scholar]
- Côté, J.; Macdonald, D.J.; Baker, J.; Abernethy, B. When “Where” Is More Important than “When”: Birthplace and Birthdate Effects on the Achievement of Sporting Expertise. J. Sports Sci. 2006, 24, 1065–1073. [Google Scholar] [CrossRef]
- Fraser-Thomas, J.; Côté, J.; MacDonald, D.J. Community Size in Youth Sport Settings: Examining Developmental Assets and Sport Withdrawal. Phys. Health Educ. Acad. J. 2010, 2, 1–9. [Google Scholar]
- Curtis, J.E.; Birch, J.S. Size of Community of Origin and Recruitment to Professional and Olympic Hockey in North America. Sociol. Sport J. 1987, 4, 229–244. [Google Scholar] [CrossRef]
- Balish, S.M.; Rainham, D.; Blanchard, C. Community Size and Sport Participation across 22 Countries. Scand. J. Med. Sci. Sports 2015, 25, e576–e581. [Google Scholar] [CrossRef] [PubMed]
- Imtiaz, F.; Hancock, D.J.; Vierimaa, M.; Côté, J. Place of Development and Dropout in Youth Ice Hockey. Int. J. Sport Exerc. Psychol. 2014, 12, 234–244. [Google Scholar] [CrossRef] [Green Version]
- Barnsley, R.H.; Thompson, A.H.; Barnsley, P.E. Hockey Success and Birth Date: The Relative Age Effect. Can. Assoc. Health Phys. Educ. Recreat. 1985, 51, 23–28. [Google Scholar]
- Barnsley, R.H.; Thompson, A.H. Birthdate and Success in Minor Hockey: The Key to the NHL. Can. J. Behav. Sci. Can. Sci. Comport. 1988, 20, 167–176. [Google Scholar] [CrossRef] [Green Version]
- Delorme, N.; Boiché, J.; Raspaud, M. Relative Age Effect in Female Sport: A Diachronic Examination of Soccer Players. Scand. J. Med. Sci. Sports 2010, 20, 509–515. [Google Scholar] [CrossRef] [Green Version]
- Delorme, N.; Boiché, J.; Raspaud, M. Relative Age and Dropout in French Male Soccer. J. Sports Sci. 2010, 28, 717–722. [Google Scholar] [CrossRef] [Green Version]
- Delorme, N.; Chalabaev, A.; Raspaud, M. Relative Age Is Associated with Sport Dropout: Evidence from Youth Categories of French Basketball. Scand. J. Med. Sci. Sports 2011, 21, 120–128. [Google Scholar] [CrossRef] [Green Version]
- Figueiredo, A.J.; Coelho-e-Silva, M.J.; Cumming, S.P.; Malina, R.M. Relative Age Effect: Characteristics of Youth Soccer Players by Birth Quarter and Subsequent Playing Status. J. Sports Sci. 2019, 37, 677–684. [Google Scholar] [CrossRef] [PubMed]
- Lemez, S.; Baker, J.; Horton, S.; Wattie, N.; Weir, P. Examining the Relationship between Relative Age, Competition Level, and Dropout Rates in Male Youth Ice-Hockey Players. Scand. J. Med. Sci. Sports 2014, 24, 935–942. [Google Scholar] [CrossRef]
- Wattie, N.; Tietjens, M.; Cobley, S.; Schorer, J.; Baker, J.; Kurz, D. Relative Age-Related Participation and Dropout Trends in German Youth Sports Clubs. Eur. J. Sport Sci. 2014, 14, S213–S220. [Google Scholar] [CrossRef] [PubMed]
- Vincent, J.; Glamser, F.D. Gender Differences in the Relative Age Effect among US Olympic Development Program Youth Soccer Players. J. Sports Sci. 2006, 24, 405–413. [Google Scholar] [CrossRef] [PubMed]
- Malina, R.M. The Young Athlete: Biological Growth and Maturation in a Biocultural Context. In Children and Youth in Sport: A Biopsychosocial Perspective; Smoll, F.L., Smith, R.E., Eds.; Brown & Benchmark: Dubuque, IA, USA, 1996; pp. 161–186. [Google Scholar]
- Malina, R.M.; Bouchard, C.; Bar-Or, O. Maturity-Associated Variation in Growth and Performance. In Growth, Maturation, and Physical Activity; Malina, R.M., Bouchard, C., Bar-Or, O., Eds.; Human Kinetics: Champaign, IL, USA, 2004; pp. 337–365. [Google Scholar]
- Côté, J.; Abernethy, B. A Developmental Approach to Sport Expertise. In The Oxford Handbook of Sport and Performance Psychology; Murphy, S.M., Ed.; Oxford University Press: New York, NY, USA, 2012; pp. 435–447. [Google Scholar]
- Fraser-Thomas, J.; Côté, J.; Deakin, J. Examining Adolescent Sport Dropout and Prolonged Engagement from a Developmental Perspective. J. Appl. Sport Psychol. 2008, 20, 318–333. [Google Scholar] [CrossRef]
- Wall, M.; Côté, J. Developmental Activities That Lead to Dropout and Investment in Sport. Phys. Educ. Sport Pedagog. 2007, 12, 77–87. [Google Scholar] [CrossRef]
- Smith, K.L.; Weir, P.L.; Till, K.; Romann, M.; Cobley, S. Relative Age Effects Across and Within Female Sport Contexts: A Systematic Review and Meta-Analysis. Sports Med. 2018, 48, 1451–1478. [Google Scholar] [CrossRef] [Green Version]
- Turnnidge, J.; Hancock, D.J.; Côté, J. The Influence of Birth Date and Place of Development on Youth Sport Participation: Contextual Factors and Sport Participation. Scand. J. Med. Sci. Sports 2014, 24, 461–468. [Google Scholar] [CrossRef]
- Smith, K.L.; Weir, P.L. An Examination of the Relative Age Effect in Developmental Girls’ Hockey in Ontario. High Abil. Stud. 2013, 24, 171–184. [Google Scholar] [CrossRef] [Green Version]
- Smith, K.; (University of Windsor, Windsor, ON, Canada); Morin, G.; (Statistics Canada, Ottawa, ON, Canada). Personal communication, 2017.
- Smith, K.; (University of Windsor, Windsor, ON, Canada); Wilkinson, T.; Miller, G.; (Ontario Soccer, Vaughan, ON, Canada). Personal communication, 2016.
- Delorme, N.; Champely, S. Relative Age Effect and Chi-Squared Statistics. Int. Rev. Sociol. Sport 2015, 50, 740–746. [Google Scholar] [CrossRef]
- Cohen, J. Statistical Power Analysis. Curr. Dir. Psychol. Sci. 1992, 1, 98–101. [Google Scholar] [CrossRef]
- Kleinbaum, D.G.; Klein, M. Survival Analysis: A Self-Learning Text, 3rd ed.; Springer: New York, NY, USA, 2012. [Google Scholar]
- Baker, J.; Janning, C.; Wong, H.; Cobley, S.; Schorer, J. Variations in Relative Age Effects in Individual Sports: Skiing, Figure Skating and Gymnastics. Eur. J. Sport Sci. 2014, 14, S183–S190. [Google Scholar] [CrossRef] [PubMed]
- Cobley, S.P.; Till, K. Participation Trends According to Relative Age across Youth UK Rugby League. Int. J. Sports Sci. Coach. 2017, 12, 339–343. [Google Scholar] [CrossRef]
- Sedano, S.; Vaeyens, R.; Redondo, J.C. The Relative Age Effect in Spanish Female Soccer Players. Influence of the Competitive Level and a Playing Position. J. Hum. Kinet. 2015, 46, 129–137. [Google Scholar] [CrossRef] [PubMed] [Green Version]
- Lagestad, P.; Steen, I.; Dalen, T. Inevitable Relative Age Effects in Different Stages of the Selection Process among Male and Female Youth Soccer Players. Sports 2018, 6, 29. [Google Scholar] [CrossRef] [Green Version]
- Smith, K.L.; Weir, P.L. Female Youth Soccer Participation and Continued Engagement: Associations With Community Size, Community Density, and Relative Age. Front. Sports Act. Living 2020, 2, 552597. [Google Scholar] [CrossRef]
- Weir, P.L.; Smith, K.L.; Paterson, C.; Horton, S. Canadian Women’s Ice Hockey—Evidence of a Relative Age Effect. Talent Dev. Excell. 2010, 2, 209–217. [Google Scholar]
- Korgaokar, A.D.; Farley, R.S.; Fuller, D.K.; Caputo, J.L. Relative Age Effect Among Elite Youth Female Soccer Players across the United States. Sport Mont 2018, 16, 37–41. [Google Scholar] [CrossRef]
- Canadian Heritage. Sport Participation 2010. 2013. Available online: https://publications.gc.ca/site/archivee-archived.html?url=https://publications.gc.ca/collections/collection_2013/pc-ch/CH24-1-2012-eng.pdf (accessed on 2 June 2021).
- Bélanger, M.; Gray-Donald, K.; O’Loughlin, J.; Paradis, G.; Hanley, J. When Adolescents Drop the Ball: Sustainability of Physical Activity in Youth. Am. J. Prev. Med. 2009, 37, 41–49. [Google Scholar] [CrossRef]
- Telama, R.; Yang, X. Decline of Physical Activity from Youth to Young Adulthood in Finland. Med. Sci. Sports Exerc. 2000, 32, 1617–1622. [Google Scholar] [CrossRef]
- Thedin Jakobsson, B. What Makes Teenagers Continue? A Salutogenic Approach to Understanding Youth Participation in Swedish Club Sports. Phys. Educ. Sport Pedagog. 2014, 19, 239–252. [Google Scholar] [CrossRef]
- Balderson, D. Sport Academies: A Growing Phenomenon in Canadian Schools. Phys. Health Educ. J. 2015, 80, 27–29. [Google Scholar]
- Way, R.; Repp, C.; Brennan, T. Sport Schools in Canada: The Future Is Here. Can. Sport Cent. Pac. 2010, 83. [Google Scholar]
- Sierra-Díaz, M.; González-Víllora, S.; Pastor-Vicedo, J.; Serra-Olivares, J. Soccer and Relative Age Effect: A Walk among Elite Players and Young Players. Sports 2017, 5, 5. [Google Scholar] [CrossRef] [PubMed] [Green Version]
- Nader, P.R.; Bradley, R.H.; Houts, R.M.; McRitchie, S.L.; O’Brien, M. Moderate-to-Vigorous Physical Activity From Ages 9 to 15 Years. JAMA J. Am. Med. Assoc. 2008, 300, 295–305. [Google Scholar] [CrossRef] [PubMed]
- Cobley, S.; Abbott, S.; Dogramaci, S.; Kable, A.; Salter, J.; Hintermann, M.; Romann, M. Transient Relative Age Effects across Annual Age Groups in National Level Australian Swimming. J. Sci. Med. Sport 2018, 21, 839–845. [Google Scholar] [CrossRef]
- Bronfenbrenner, U. Towards an Experimental Ecology of Human Development. Am. Psychol. 1977, 32, 513–531. [Google Scholar] [CrossRef]
- Bronfenbrenner, U. Developmental Ecology through Space and Time: A Future Perspective. In Examining Lives in Context: Perspectives on the Ecology of Human Development; Moen, P., Elder, G.H., Jr., Lüscher, K., Eds.; American Psychological Association: Washington, DC, USA, 1995; pp. 619–647. [Google Scholar]
- Bronfenbrenner, U. Environments in Developmental Perspective: Theoretical and Operational Models. In Measuring Environment across the Life Span: Emerging Methods and Concepts; Friedman, S.L., Wachs, T.D., Eds.; American Psychological Association: Washington, DC, USA, 1999; pp. 3–28. [Google Scholar]
- Smith, K. The Role of Relative Age, Community Size, and Positive Youth Development on Female Youth Soccer Participation; ProQuest Dissertations Publishing: Ann Arbor, MI, USA, 2019. [Google Scholar]



| Birth Quartile | Observed (n) | Expected | Standardized Residual | Odds Ratio | 95% CI | |
|---|---|---|---|---|---|---|
| Lower | Higher | |||||
| Quartile 1 (Q1) | 2674 | 2443.1 | 4.56 | 1.13 | 1.07 | 1.19 |
| Quartile 2 (Q2) | 2803 | 2470.2 | 6.74 | 1.19 | 1.13 | 1.25 |
| Quartile 3 (Q3) | 2472 | 2497.4 | −0.476 | 0.99 | 0.92 | 1.05 |
| Quartile 4 (Q4) | 1959 | 2497.4 | −10.745 | 0.73 | 0.67 | 0.80 |
| Mean | Median | |||||||
|---|---|---|---|---|---|---|---|---|
| Birth Quartile | Est. | Std. Error | 95% CI | Est. | Std. Error | 95% CI | ||
| Lower | Upper | Lower | Upper | |||||
| Q1 | 3.840 | 0.046 | 3.750 | 3.929 | 4.000 | 0.097 | 3.809 | 4.191 |
| Q2 | 3.748 | 0.045 | 3.660 | 3.835 | 3.000 | 0.097 | 2.811 | 3.189 |
| Q3 | 3.688 | 0.048 | 3.595 | 3.782 | 3.000 | 0.119 | 2.767 | 3.233 |
| Q4 | 3.483 | 0.052 | 3.381 | 3.586 | 3.000 | 0.086 | 2.831 | 3.169 |
| Overall | 3.705 | 0.024 | 3.659 | 3.752 | 3.000 | 0.054 | 2.894 | 3.106 |
| Regression Coefficient | Std. Error | p > |z| | Hazard Ratio | 95% CI | ||
|---|---|---|---|---|---|---|
| Lower | Upper | |||||
| Q1 | 0.015 | 0.043 | 0.717 | 1.016 | 0.934 | 1.104 |
| Q2 | 0.005 | 0.042 | 0.901 | 1.005 | 0.926 | 1.092 |
| Q3 | 0.025 | 0.043 | 0.565 | 1.025 | 0.942 | 1.116 |
| CS | 0.003 | 0.002 | 0.080 | 1.003 | 1.000 | 1.007 |
| Comp. Level | 0.953 | 0.035 | 0.000 | 2.593 | 2.419 | 2.779 |
| Competitive Level | Dropout before Age 16 Years (n) | Engaged at Age 16 Years (n) | Engaged at Age 16 Years (%) | Overall n |
|---|---|---|---|---|
| Competitive | 1027 | 1300 | 55.9% | 2327 |
| Recreational | 3835 | 1001 | 20.7% | 4836 |
Publisher’s Note: MDPI stays neutral with regard to jurisdictional claims in published maps and institutional affiliations. |
© 2022 by the authors. Licensee MDPI, Basel, Switzerland. This article is an open access article distributed under the terms and conditions of the Creative Commons Attribution (CC BY) license (https://creativecommons.org/licenses/by/4.0/).
Share and Cite
Smith, K.L.; Weir, P.L. An Examination of Relative Age and Athlete Dropout in Female Developmental Soccer. Sports 2022, 10, 79. https://doi.org/10.3390/sports10050079
Smith KL, Weir PL. An Examination of Relative Age and Athlete Dropout in Female Developmental Soccer. Sports. 2022; 10(5):79. https://doi.org/10.3390/sports10050079
Chicago/Turabian StyleSmith, Kristy L., and Patricia L. Weir. 2022. "An Examination of Relative Age and Athlete Dropout in Female Developmental Soccer" Sports 10, no. 5: 79. https://doi.org/10.3390/sports10050079
APA StyleSmith, K. L., & Weir, P. L. (2022). An Examination of Relative Age and Athlete Dropout in Female Developmental Soccer. Sports, 10(5), 79. https://doi.org/10.3390/sports10050079
