Analyzing Key Factors on Training Days within a Standard Microcycle for Young Sub-Elite Football Players: A Principal Component Approach
Abstract
1. Introduction
2. Materials and Methods
2.1. Sample
2.2. Study Design
2.3. Selection Criteria
2.4. Standard Microcycle
2.5. Methods
2.5.1. Individual Characteristics
2.5.2. Wearable and Tracking Systems
2.5.3. External Training Load
2.5.4. Internal Training Load
2.6. Statistical Analysis
3. Results
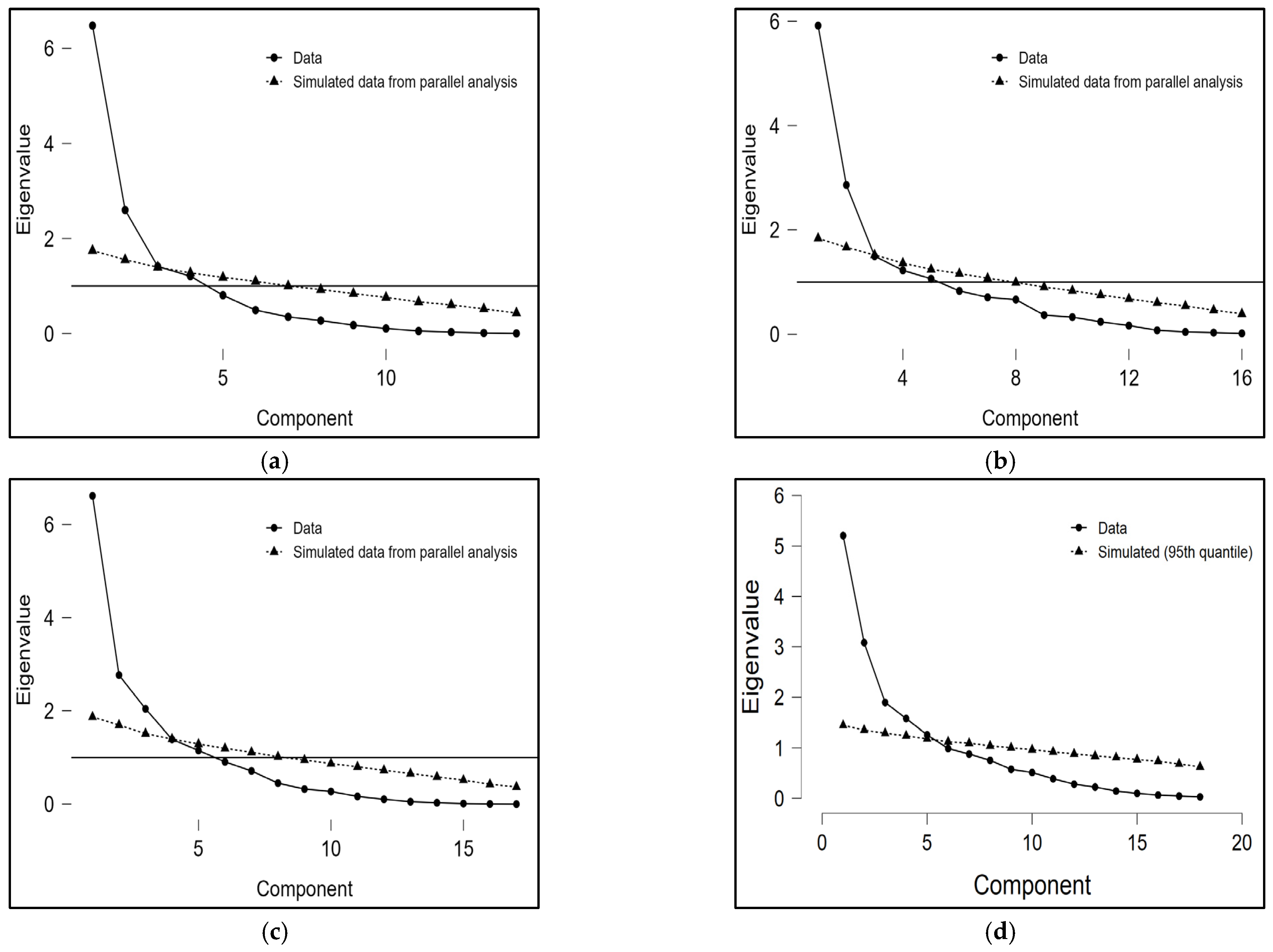
3.1. Data-Reduction Procedure and Eigenvalues
3.2. Principal Components
4. Discussion
4.1. Training Day Analysis
4.2. Weekly Analysis
4.3. Practical Applications, Limitations and Future Directions
5. Conclusions
Author Contributions
Funding
Institutional Review Board Statement
Informed Consent Statement
Data Availability Statement
Acknowledgments
Conflicts of Interest
References
- Impellizzeri, F.M.; Jeffries, A.C.; Weisman, A.; Coutts, A.J.; McCall, A.; McLaren, S.J.; Kalkhoven, J. The ‘Training Load’ Construct: Why It Is Appropriate and Scientific. J. Sci. Med. Sport 2022, 25, 445–448. [Google Scholar] [CrossRef] [PubMed]
- Staunton, C.A.; Abt, G.; Weaving, D.; Wundersitz, D.W.T. Misuse of the Term ‘Load’ in Sport and Exercise Science. J. Sci. Med. Sport 2021, 25, 439–444. [Google Scholar] [CrossRef] [PubMed]
- Teixeira, J.E.; Forte, P.; Ferraz, R.; Leal, M.; Ribeiro, J.; Silva, A.J.; Barbosa, T.M.; Monteiro, A.M. Quantifying Sub-Elite Youth Football Weekly Training Load and Recovery Variation. Appl. Sci. 2021, 11, 4871. [Google Scholar] [CrossRef]
- Teixeira, J.E.; Branquinho, L.; Ferraz, R.; Leal, M.; Silva, A.J.; Barbosa, T.M.; Monteiro, A.M.; Forte, P. Weekly Training Load across a Standard Microcycle in a Sub-Elite Youth Football Academy: A Comparison between Starters and Non-Starters. Int. J. Environ. Res. Public Health 2022, 19, 11611. [Google Scholar] [CrossRef] [PubMed]
- Teixeira, J.E.; Alves, A.R.; Ferraz, R.; Forte, P.; Leal, M.; Ribeiro, J.; Silva, A.J.; Barbosa, T.M.; Monteiro, A.M. Effects of Chronological Age, Relative Age, and Maturation Status on Accumulated Training Load and Perceived Exertion in Young Sub-Elite Football Players. Front. Physiol. 2022, 13, 832202. [Google Scholar] [CrossRef] [PubMed]
- Djaoui, L.; Haddad, M.; Chamari, K.; Dellal, A. Monitoring Training Load and Fatigue in Soccer Players with Physiological Markers. Physiol. Behav. 2017, 181, 86–94. [Google Scholar] [CrossRef] [PubMed]
- Miguel, M.; Oliveira, R.; Brito, J.P.; Loureiro, N.; García-Rubio, J.; Ibáñez, S.J. External Match Load in Amateur Soccer: The Influence of Match Location and Championship Phase. Healthcare 2022, 10, 594. [Google Scholar] [CrossRef] [PubMed]
- Teixeira, J.E.; Forte, P.; Ferraz, R.; Leal, M.; Ribeiro, J.; Silva, A.J.; Barbosa, T.M.; Monteiro, A.M. Monitoring Accumulated Training and Match Load in Football: A Systematic Review. Int. J. Environ. Res. Public Health 2021, 18, 3906. [Google Scholar] [CrossRef] [PubMed]
- Ju, W.; Doran, D.; Hawkins, R.; Evans, M.; Laws, A.; Bradley, P. Contextualised High-Intensity Running Profiles of Elite Football Players with Reference to General and Specialised Tactical Roles. Biol. Sport 2022, 40, 291–301. [Google Scholar] [CrossRef]
- Haddad, M.; Stylianides, G.; Djaoui, L.; Dellal, A.; Chamari, K. Session-RPE Method for Training Load Monitoring: Validity, Ecological Usefulness, and Influencing Factors. Front. Neurosci. 2017, 11, 612. [Google Scholar] [CrossRef]
- Helwig, J.; Diels, J.; Röll, M.; Mahler, H.; Gollhofer, A.; Roecker, K.; Willwacher, S. Relationships between External, Wearable Sensor-Based, and Internal Parameters: A Systematic Review. Sensors 2023, 23, 827. [Google Scholar] [CrossRef] [PubMed]
- Teixeira, J.E.; Forte, P.; Ferraz, R.; Branquinho, L.; Morgans, R.; Silva, A.J.; Monteiro, A.M.; Barbosa, T.M. Resultant Equations for Training Load Monitoring during a Standard Microcycle in Sub-Elite Youth Football: A Principal Components Approach. PeerJ 2023, 11, e15806. [Google Scholar] [CrossRef] [PubMed]
- Rico-González, M.; Pino-Ortega, J.; Praça, G.M.; Clemente, F.M. Practical Applications for Designing Soccer’ Training Tasks From Multivariate Data Analysis: A Systematic Review Emphasizing Tactical Training. Percept. Mot. Skills 2022, 129, 892–931. [Google Scholar] [CrossRef] [PubMed]
- Maughan, P.C.; MacFarlane, N.G.; Swinton, P.A. Relationship between Subjective and External Training Load Variables in Youth Soccer Players. Int. J. Sports Physiol. Perform. 2021, 16, 1127–1133. [Google Scholar] [CrossRef] [PubMed]
- Coppus, T.A.; Anderson, T.; Hurley, E.; Gill, D.L.; Brown, P.K. The Practical Utility of Objective Training Load Indices in Division I College Soccer Players. J. Strength Cond. Res. 2022, 36, 1026–1030. [Google Scholar] [CrossRef]
- Scantlebury, S.; Till, K.; Beggs, C.; Dalton-Barron, N.; Weaving, D.; Sawczuk, T.; Jones, B. Achieving a Desired Training Intensity through the Prescription of External Training Load Variables in Youth Sport: More Pieces to the Puzzle Required. J. Sports Sci. 2020, 38, 1124–1131. [Google Scholar] [CrossRef] [PubMed]
- Nosek, P.; Andrew, M.; Sormaz, M.; Drust, B.; Brownlee, T. The Use of Principal Component Analysis for Reduction of Training Load Data in Professional Soccer. Kinesiology 2023, 55, 202–212. [Google Scholar] [CrossRef]
- Portella, D.; Jatene, P.; Silva, A.; Dos Santos, G.; Monteiro, D.; Teixeira, J.; Branquinho, L.; Ferraz, R.; Forte, P. Comparison of Force Variables and Dynamic Strength Index between Age Groups in Elite Young Brazilian Football Goalkeepers. Front. Sports Act. Living 2024, 6, 1282214. [Google Scholar] [CrossRef] [PubMed]
- de Dios-Álvarez, V.; Suárez-Iglesias, D.; Bouzas-Rico, S.; Alkain, P.; González-Conde, A.; Ayán-Pérez, C. Relationships between RPE-Derived Internal Training Load Parameters and GPS-Based External Training Load Variables in Elite Young Soccer Players. Res. Sports Med. 2021, 31, 58–73. [Google Scholar] [CrossRef]
- Coutinho, D.; Gonçalves, B.; Travassos, B.; Folgado, H.; Figueira, B.; Sampaio, J. Different Marks in the Pitch Constraint Youth Players’ Performances during Football Small-Sided Games. Res. Q. Exerc. Sport 2020, 91, 15–23. [Google Scholar] [CrossRef]
- Trecroci, A.; Cavaggioni, L.; Rossi, A.; Moriondo, A.; Merati, G.; Nobari, H.; Ardigò, L.P.; Formenti, D. Effects of Speed, Agility and Quickness Training Programme on Cognitive and Physical Performance in Preadolescent Soccer Players. PLoS ONE 2022, 17, e0277683. [Google Scholar] [CrossRef] [PubMed]
- Hill, M.; Scott, S.; Malina, R.M.; McGee, D.; Cumming, S.P. Relative Age and Maturation Selection Biases in Academy Football. J. Sports Sci. 2020, 38, 1359–1367. [Google Scholar] [CrossRef] [PubMed]
- Parr, J.; Winwood, K.; Hodson-Tole, E.; Deconinck, F.J.A.; Parry, L.; Hill, J.P.; Malina, R.M.; Cumming, S.P. Predicting the Timing of the Peak of the Pubertal Growth Spurt in Elite Youth Soccer Players: Evaluation of Methods. Ann. Hum. Biol. 2020, 47, 400–408. [Google Scholar] [CrossRef] [PubMed]
- Mirwald, R.L.; Baxter-Jones, A.D.G.; Bailey, D.A.; Beunen, G.P. An Assessment of Maturity from Anthropometric Measurements. Med. Sci. Sports Exerc. 2002, 34, 689–694. [Google Scholar] [CrossRef] [PubMed]
- Branquinho, L.C.; Ferraz, R.; Marques, M.C. The Continuous and Fractionated Game Format on the Training Load in Small Sided Games in Soccer. Open Sports Sci. J. 2020, 13, 81–85. [Google Scholar] [CrossRef]
- Beato, M.; Jamil, M.; Devereux, G. Reliability of Internal and External Load Parameters in Recreational Football (Soccer) for Health. Res. Sports Med. 2018, 26, 244–250. [Google Scholar] [CrossRef]
- Branquinho, L.; Ferraz, R.; Marques, M.C. 5-a-Side Game as a Tool for the Coach in Soccer Training. Strength Cond. J. 2021, 43, 96–108. [Google Scholar] [CrossRef]
- Akubat, I.; Barrett, S.; Abt, G. Integrating the Internal and External Training Loads in Soccer. Int. J. Sports Physiol. Perform. 2014, 9, 457–462. [Google Scholar] [CrossRef] [PubMed]
- Branquinho, L.; De França, E.; Teixeira, J.; Valente, N.; Reis, T.; Thomatieli-Santos, R.; Forte, P.; Ferraz, R. Comparing Physical, Technical and Tactical Performances in the World Cup Qatar 2022. J. Hum. Sport Exerc. 2024, 19, 654–666. [Google Scholar] [CrossRef]
- Branquinho, L.; De França, E.; Teixeira, J.; Forte, P.; Ferraz, R. Identifying the Ideal Weekly Training Load for In-Game Performance in an Elite Brazilian Soccer Team. Front. Physiol. 2024, 15, 1341791. [Google Scholar] [CrossRef]
- Pino-Ortega, J.; Rojas-Valverde, D.; Gómez-Carmona, C.D.; Rico-González, M. Training Design, Performance Analysis, and Talent Identification—A Systematic Review about the Most Relevant Variables through the Principal Component Analysis in Soccer, Basketball, and Rugby. Int. J. Environ. Res. Public Health 2021, 18, 2642. [Google Scholar] [CrossRef] [PubMed]
- Rojas-Valverde, D.; Pino-Ortega, J.; Rico-González, M. Data Mining in Team Sports: The Case of Principal Component Analysis. In The Use of Applied Technology in Team Sport; Routledge: London, UK, 2021. [Google Scholar]
- Jolliffe, I.T.; Cadima, J. Principal Component Analysis: A Review and Recent Developments. Philos. Trans. R. Soc. Math. Phys. Eng. Sci. 2016, 374, 20150202. [Google Scholar] [CrossRef] [PubMed]
- Rojas-Valverde, D.; Pino-Ortega, J.; Gómez-Carmona, C.D.; Rico-González, M. A Systematic Review of Methods and Criteria Standard Proposal for the Use of Principal Component Analysis in Team’s Sports Science. Int. J. Environ. Res. Public Health 2020, 17, 8712. [Google Scholar] [CrossRef] [PubMed]
- Weaving, D.; Beggs, C.; Dalton-Barron, N.; Jones, B.; Abt, G. Visualizing the Complexity of the Athlete-Monitoring Cycle through Principal-Component Analysis. Int. J. Sports Physiol. Perform. 2019, 14, 1304–1310. [Google Scholar] [CrossRef] [PubMed]
- Warmenhoven, J.; Cobley, S.; Draper, C.; Harrison, A.; Bargary, N.; Smith, R. Bivariate Functional Principal Components Analysis: Considerations for Use with Multivariate Movement Signatures in Sports Biomechanics. Sports Biomech. 2019, 18, 10–27. [Google Scholar] [CrossRef] [PubMed]
- Maughan, P.; Swinton, P.; MacFarlane, N. Relationships Between Training Load Variables in Professional Youth Football Players. Int. J. Sports Med. 2021, 42, 624–629. [Google Scholar] [CrossRef]
- Morgans, R.; Rhodes, D.; Teixeira, J.; Modric, T.; Versic, S.; Oliveira, R. Quantification of Training Load across Two Competitive Seasons in Elite Senior and Youth Male Soccer Players from an English Premiership Club. Biol. Sport 2023, 40, 1197–1205. [Google Scholar] [CrossRef]
- Jiménez-Reyes, P.; Garcia-Ramos, A.; Párraga-Montilla, J.A.; Morcillo-Losa, J.A.; Cuadrado-Peñafiel, V.; Castaño-Zambudio, A.; Samozino, P.; Morin, J.-B. Seasonal Changes in the Sprint Acceleration Force-Velocity Profile of Elite Male Soccer Players. J. Strength Cond. Res. 2020, 36, 70–74. [Google Scholar] [CrossRef] [PubMed]
- Güllich, A.; Kovar, P.; Zart, S.; Reimann, A. Sport Activities Differentiating Match-Play Improvement in Elite Youth Footballers—A 2-Year Longitudinal Study. J. Sports Sci. 2017, 35, 207–215. [Google Scholar] [CrossRef]
- Teixeira, J.E.; Forte, P.; Ferraz, R.; Branquinho, L.; Silva, A.J.; Monteiro, A.M.; Barbosa, T.M. Integrating Physical and Tactical Factors in Football Using Positional Data: A Systematic Review. PeerJ 2022, 10, e14381. [Google Scholar] [CrossRef]
- Brink, M.S.; Visscher, C.; Arends, S.; Zwerver, J.; Post, W.J.; Lemmink, K.A. Monitoring Stress and Recovery: New Insights for the Prevention of Injuries and Illnesses in Elite Youth Soccer Players. Br. J. Sports Med. 2010, 44, 809–815. [Google Scholar] [CrossRef] [PubMed]
- Jaspers, A.; Kuyvenhoven, J.P.; Staes, F.; Frencken, W.G.P.; Helsen, W.F.; Brink, M.S. Examination of the External and Internal Load Indicators’ Association with Overuse Injuries in Professional Soccer Players. J. Sci. Med. Sport 2018, 21, 579–585. [Google Scholar] [CrossRef] [PubMed]
- Almulla, J.; Takiddin, A.; Househ, M. The Use of Technology in Tracking Soccer Players’ Health Performance: A Scoping Review. BMC Med. Inform. Decis. Mak. 2020, 20, 184. [Google Scholar] [CrossRef] [PubMed]
- Laakso, T.; Davids, K.; Luhtanen, P.; Liukkonen, J.; Travassos, B. How Football Team Composition Constrains Emergent Individual and Collective Tactical Behaviours: Effects of Player Roles in Creating Different Landscapes for Shared Affordances in Small-Sided and Conditioned Games. Int. J. Sports Sci. Coach. 2022, 17, 346–354. [Google Scholar] [CrossRef]
- Sampaio, T.; Marinho, D.; Teixeira, J.E.; Oliveira, J.; Morais, J. Clustering U-14 Portuguese Regional Team Football Players by Lower Limb Strength, Power, Dynamic Balance, Speed and Change of Direction: Understanding the Field Position Factor. PeerJ 2023, 11, e15609. [Google Scholar] [CrossRef] [PubMed]
- Ferraz, R.; Forte, P.; Branquinho, L.; Teixeira, J.; Neiva, H.; Marinho, D.; Marques, M. The Performance during the Exercise: Legitimizing the Psychophysiological Approach. In Exercise Physiology; IntechOpen: Rijeka, Croatia, 2022. [Google Scholar]
- Kusmakar, S.; Shelyag, S.; Zhu, Y.; Dwyer, D.; Gastin, P.; Angelova, M. Machine Learning Enabled Team Performance Analysis in the Dynamical Environment of Soccer. IEEE Access 2020, 8, 90266–90279. [Google Scholar] [CrossRef]
- Rico-González, M.; Pino-Ortega, J.; Méndez, A.; Clemente, F.; Baca, A. Machine Learning Application in Soccer: A Systematic Review. Biol. Sport 2022, 40, 249–263. [Google Scholar] [CrossRef]
- Teixeira, J.; Encarnação, S.; Branquinho, L.; Morgans, R.; Afonso, P.; Rocha, J.; Graca, F.; Barbosa, T.; Monteiro, A.; Ferraz, R.; et al. Data Mining Paths for Standard Weekly Training Load in Sub-Elite Young Football Players: A Machine Learning Approach. J. Funct. Morphol. Kinesiol. 2024, 9, 114. [Google Scholar] [CrossRef]
- Thomas, C.; Dos’ Santos, T.; Jones, P.A. A Comparison of Dynamic Strength Index between Team-Sport Athletes. Sports 2017, 5, 71. [Google Scholar] [CrossRef]
- Sampaio, T.; Encarnação, S.; Santos, O.; Narciso, D.; Oliveira, J.; Teixeira, J.; Forte, P.; Morais, J.; Vasques, C.; Monteiro, A. Effectiveness of Pilates Training Interventions on Older Adults’ Balance: A Systematic Review and Meta-Analysis of Randomized The Effectiveness of Pilates Training Interventions on Older Adults’ Balance: A Systematic Review and Meta-Analysis of Randomized Controlled Trials. Healthcare 2023, 11, 3083. [Google Scholar] [CrossRef]
- Coutinho, D.; Gonçalves, B.; Laakso, T.; Travassos, B. Clustering Ball Possession Duration According to Players’ Role in Football Small-Sided Games. PLoS ONE 2022, 17, e0273460. [Google Scholar] [CrossRef] [PubMed]
- Coutinho, D.; Gonçalves, B.; Santos, S.; Travassos, B.; Folgado, H.; Sampaio, J. Exploring How Limiting the Number of Ball Touches during Small-Sided Games Affects Youth Football Players’ Performance across Different Age Groups. Int. J. Sports Sci. Coach. 2022, 17, 545–557. [Google Scholar] [CrossRef]



| PCA | Variables | Calculation | |
|---|---|---|---|
| MD-3 | 1 | TD (m), AvS (m·min−1), SPR (m·s−1), rHSR (m), HMLD (m), SPR_N (n), SPR_D (m), DSL (au), ACC (m·s−2), DEC (m·s−2) | 0.81 × TD (m) + 0.62 × AvS (m·min−1) + 0.76 × SPR (m·s−1) + 0.90 × rHSR (m) + 0.90 × HMLD (m) + 0.89 × SPR_N (n) + 0.86 × SPR_D (m) + 0.53 × DSL (au) + 0.67 + ACC (m·s−2) + 0.75 × DEC (m·s−2) |
| 2 | HRmax (bpm), AvHR (bpm), %HRmax, TRIMP (au) | 0.78 × HRmax (bpm) + 0.94 × AvHR (bpm) + 0.94 × HRmax (%) + 0.52 × TRIMP (au) | |
| 3–5 | TQR (au) | 0.51 × TQR (au) | |
| MD-2 | 1 | TD (m), Vmax (m·s−1), rHSR (m), HMLD (m), SPR_N (n), SPR_D (m), DSL (au), ACC (m·s−2), DEC (m·s−2) | 0.76 × TD (m) + 0.55 × SPR (m·s−1) + 0.92 × rHSR (m) + 0.93 × HMLD (m) + 0.94 × SPR_N (n) + 0.90 × SPR_D (m) + 0.63 × DSL (au) + 0.46 + ACC (m·s−2) + 0.75 × DEC (m·s−2) |
| 2 | HRmax (bpm), AvHR (bpm), %HRmax, TRIMP (au) | 0.72 × HRmax (bpm) + 0.95 × AvHR (bpm) + 0.95 × HRmax (%) + 0.71 × TRIMP (au) | |
| 3–5 | AvS (m·min−1) | 0.67 × AvS (m·min−1) | |
| MD-1 | 1 | TD (m), rHSR (m), HMLD (m), SPR_N (n), DSL (au), ACC (m·s−2), DEC (m·s−2) | 0.64 × TD (m) + 0.92 × rHSR (m) + 0.76 × HMLD (m) + 0.55 × SPR_N (n) + 0.61 × DSL (au) + 0.88 + ACC (m·s−2) + 0.90 × DEC (m·s−2) |
| 2 | HRmax (bpm), AvHR (bpm), %HRmax, TRIMP (au) | 0.79 × HRmax (bpm) + 0.96 × AvHR (bpm) + 0.93 × HRmax (%) + 0.72 × TRIMP (au) | |
| 3–5 | AvS (m·min−1), sRPE (au), TQR (au) | –0.44 × AvS (m·min−1) − 0.60 sRPE (au) − 0.59 TQR (au) | |
| Wk | 1 | TD (m), HMLD (m), DSL (au), ACC (m·s−2), DEC (m·s−2) | 0.70 × TD (m) + 0.79 × HMLD (m) + 0.71 × DSL (au) + 0.84 + ACC (m·s−2) + 0.88 × DEC (m·s−2) |
| 2 | HRmax (bpm), AvHR (bpm), %HRmax, TRIMP (au) | 0.77 × HRmax (bpm) + 0.96 × AvHR (bpm) + 0.95 × HRmax (%) + 0.69 × TRIMP (au) | |
| 3–5 | AvS (m·min−1), SPR (m·s−1), sRPE (au), TQR (au) | 0.51 × AvS (m·min−1), SPR (m·s−1) − 0.46 × sRPE (au), − 0.42 × TQR (au) |
Disclaimer/Publisher’s Note: The statements, opinions and data contained in all publications are solely those of the individual author(s) and contributor(s) and not of MDPI and/or the editor(s). MDPI and/or the editor(s) disclaim responsibility for any injury to people or property resulting from any ideas, methods, instructions or products referred to in the content. |
© 2024 by the authors. Licensee MDPI, Basel, Switzerland. This article is an open access article distributed under the terms and conditions of the Creative Commons Attribution (CC BY) license (https://creativecommons.org/licenses/by/4.0/).
Share and Cite
Teixeira, J.E.; Branquinho, L.; Ferraz, R.; Morgans, R.; Encarnação, S.; Ribeiro, J.; Afonso, P.; Ruzmetov, N.; Barbosa, T.M.; Monteiro, A.M.; et al. Analyzing Key Factors on Training Days within a Standard Microcycle for Young Sub-Elite Football Players: A Principal Component Approach. Sports 2024, 12, 194. https://doi.org/10.3390/sports12070194
Teixeira JE, Branquinho L, Ferraz R, Morgans R, Encarnação S, Ribeiro J, Afonso P, Ruzmetov N, Barbosa TM, Monteiro AM, et al. Analyzing Key Factors on Training Days within a Standard Microcycle for Young Sub-Elite Football Players: A Principal Component Approach. Sports. 2024; 12(7):194. https://doi.org/10.3390/sports12070194
Chicago/Turabian StyleTeixeira, José Eduardo, Luís Branquinho, Ricardo Ferraz, Ryland Morgans, Samuel Encarnação, Joana Ribeiro, Pedro Afonso, Nemat Ruzmetov, Tiago M. Barbosa, António M. Monteiro, and et al. 2024. "Analyzing Key Factors on Training Days within a Standard Microcycle for Young Sub-Elite Football Players: A Principal Component Approach" Sports 12, no. 7: 194. https://doi.org/10.3390/sports12070194
APA StyleTeixeira, J. E., Branquinho, L., Ferraz, R., Morgans, R., Encarnação, S., Ribeiro, J., Afonso, P., Ruzmetov, N., Barbosa, T. M., Monteiro, A. M., & Forte, P. (2024). Analyzing Key Factors on Training Days within a Standard Microcycle for Young Sub-Elite Football Players: A Principal Component Approach. Sports, 12(7), 194. https://doi.org/10.3390/sports12070194

