Verifying Physiological and Biomechanical Parameters during Continuous Swimming at Speed Corresponding to Lactate Threshold
Abstract
1. Introduction
2. Materials and Methods
2.1. Participants
2.2. Study Design
2.3. Progressively Increasing Swimming Speed Test and Parameters Calculation
2.4. Continuous Swimming Session with Constant Speed
2.5. Statistical Analysis
3. Results
3.1. Swimming Speed between Tests
3.2. Comparison of Physiological Variables between Tests
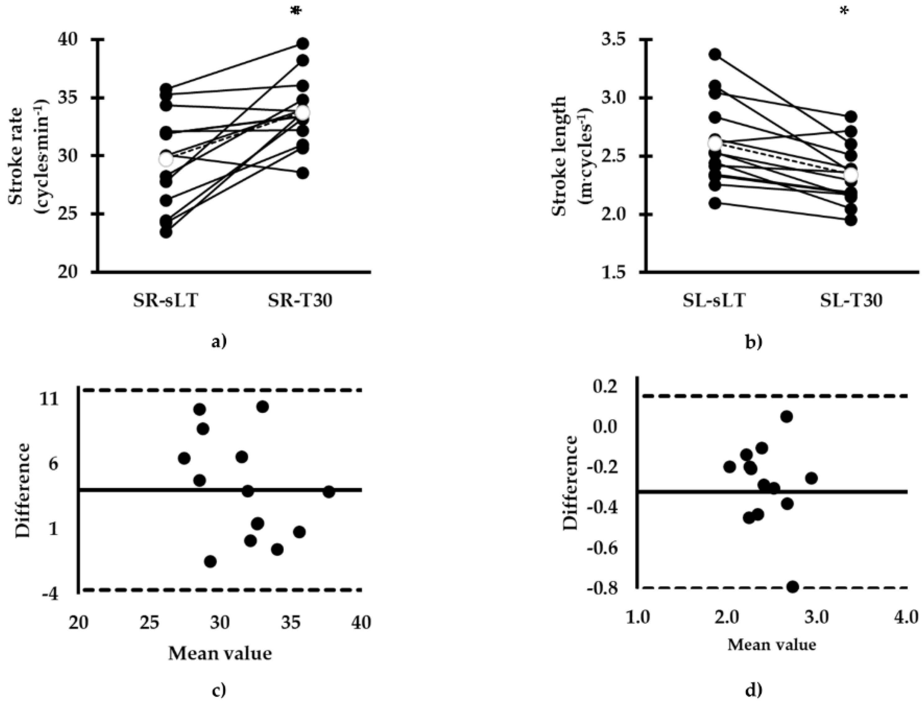
3.3. Comparison of Biomechanical Variables between Tests
4. Discussion
5. Conclusions
Author Contributions
Funding
Acknowledgments
Conflicts of Interest
List of Abbreviations
| 7 × 200 m: | Progressively increasing speed test |
| T30: | 30 min of continuous swimming |
| sLT: | Speed corresponding to the second lactate threshold |
| BL: | Blood lactate concentration |
| VO2: | Oxygen uptake |
| HR: | Heart rate |
| SR: | Arm-stroke rate |
| SL: | Arm-stroke length |
| BL-sLT: | Blood lactate concentration corresponding to the second lactate threshold |
| VO2-sLT: | Oxygen uptake corresponding to the second lactate threshold |
| HR-sLT: | Heart rate corresponding to the second lactate threshold |
| SR-sLT: | Arm-stroke rate corresponding to the second lactate threshold |
| SL-sLT: | Arm-stroke length corresponding to the second lactate threshold |
| BL-T30: | Blood lactate concentration during 30 min of continuous swimming |
| VO2-T30: | Oxygen uptake during 30 min of continuous swimming |
| HR-T30: | Heart rate during 30 min of continuous swimming |
| SR-T30: | Arm-stroke rate during 30 min of continuous swimming |
| SL-T30: | Arm-stroke length during 30 min of continuous swimming |
References
- Pyne, D.B.; Hamilton, L.; Swanwick, K.M. Monitoring the lactate threshold in world-ranked swimmers. Med. Sci. Sports Exerc. 2001, 33, 291–297. [Google Scholar] [CrossRef] [PubMed]
- Zacca, R.; Azevedo, R.; Peterson Silveira, R.; Vilas-Boas, J.P.; Pyne, D.B.; Castro, F.A.d.S.; Fernandes, R.J. Comparison of incremental intermittent and time trial test in age group swimmers. J. Strength Cond. Res. 2019, 33, 801–810. [Google Scholar] [CrossRef] [PubMed]
- Carvalho, D.C.; Soares, S.S.; Zacca, R.; Sousa, J.; Marinho, A.D.; Silva, J.A.; VilasBoas, J.P.; Fernandes, R.J. Anaerobic threshold biophysical characterization of the four swimming techniques. Int. J. Sports Med. 2020, in press. [Google Scholar]
- Arsoniadis, G.G.; Botonis, P.G.; Nikitakis, S.I.; Kalokiris, D.; Toubekis, A.G. Effects of successive annual training on aerobic endurance indices in young swimmers. Open Sport Sci. J. 2017, 10, 214–221. [Google Scholar] [CrossRef][Green Version]
- Fernandes, R.J.; Keskinen, K.; Colaҫo, P.; Querido, A.; Machado, L.; Morais, P.; Novais, D.; Marinho, D.; Vilas-Boas, J.P. Time limit at VO2max velocity in elite crawl swimmers. Int. J. Sports Med. 2008, 29, 145–150. [Google Scholar] [CrossRef]
- Machado, L.; Almeida, M.; Morais, P.; Fernandes, R.J.; Vilas-Boas, J.P. Assessing the individual anaerobic threshold: The mathematical model. Port. J. Sport Sci. 2006, 6, 142–144. [Google Scholar]
- Fernandes, R.J.; Sousa, M.; Machado, L.; Vilas-Boas, J.P. Step length and individual anaerobic threshold assessment in swimming. Int. J. Sports Med. 2011, 32, 940–946. [Google Scholar] [CrossRef]
- Faude, O.; Kindermann, W.; Meyer, T. Lactate threshold concepts. How valid are they? Sports Med. 2009, 39, 469–490. [Google Scholar] [CrossRef]
- Jamnick, A.N.; Botella, J.; Botella, J.; Pyne, D.B.; Bishop, D.J. Manipulating graded exercise test variables affects the validity of the lactate threshold and VO2peak. PLoS ONE 2018, 13, 1–21. [Google Scholar] [CrossRef]
- Beneke, R.; Hütler, M.; Von Duvillard, S.P.; Sellens, M.; Leithäuser, R.M. Effect of test interruptions on blood lactate during constant workload testing. Med. Sci. Sports Exerc. 2003, 35, 1626–1630. [Google Scholar] [CrossRef]
- Borszcz, K.; Tramontin, A.F.; Bossi, A.H.; Carminatti, L.J.; Costa, V.P. Functional threshold power in cyclists: Validity of the concept and physiological responses. Int. J. Sports Med. 2018, 39, 737–742. [Google Scholar] [PubMed]
- Ribeiro, J.; Toubekis, A.G.; Figuiredo, P.; de Jesus, K.; Tousaint, H.M.; Alves, F.; Vilas-Boas, J.P.; Fernandes, R.J. Biophysical determinants of front-crawl swimming at moderate and severe intensities. Int. J. Sports Physiol. Perf. 2017, 12, 241–246. [Google Scholar] [CrossRef] [PubMed]
- Barbosa, T.M.; Fernandes, R.J.; Keskinen, K.L.; Vilas-Boas, J.P. The influence of stroke mechanics into energy cost of elite swimmers. Eur. J. Appl. Physiol. 2008, 103, 139–149. [Google Scholar] [CrossRef] [PubMed]
- Jürimäe, J.; Haljaste, K.; Cicchella, A.; Latt, E.; Purge, P.; Leppik, A.; Jürimäe, T. Analysis of swimming performance from physical, physiological, and biomechanical parameters in young swimmers. Pediatr. Exerc. Sci. 2007, 19, 70–81. [Google Scholar] [CrossRef]
- Cohen, J. Statistical Power Analysis for the Behavioral Sciences, 2nd ed.; Lawrence Erlbaum Associates: Hillsdate, NJ, USA, 1988. [Google Scholar]
- Faul, F.; Erdfelder, E.; Lang, A.G.; Bucher, A. G*Power 3: A flexible statistical power analysis program for social, behavioral, and biomedical sciences. Behav. Res. Methods 2007, 39, 175–191. [Google Scholar] [CrossRef]
- Bland, J.M.; Altman, D.G. Statistical methods for assessing agreement between two methods of clinical measurement. Lancet 1986, 327, 307–310. [Google Scholar] [CrossRef]
- Tokmakidis, S.P.; Léger, A.L.; Pilianidis, C.T. Failure to obtain a unique threshold on the blood lactate concentration curve during exercise. Eur. J. Appl. Physiol. Occup. Physiol. 1998, 77, 332–342. [Google Scholar] [CrossRef]
- Papoti, M.; Vitório, R.; Araújo, G.G.; Da Silva, R.A.; Santhiago, V.; Martins, B.L.; Cunha, A.S.; Gobatto, A.C. Determination of force corresponding to maximal lactate steady state in tethered swimming. Int. J. Exerc. 2009, 2, 269–279. [Google Scholar]
- Baron, B.; Dekerle, J.; Depretz, S.; Lefevre, T.; Pelayo, P. Self-selected speed and maximal lactate steady state speed in swimming. J. Sports Med. Phys. Fit. 2005, 45, 1–6. [Google Scholar]
- Pelarigo, G.J.; Denadai, S.B.; Greco, C.C. Stroke phases responses around maximal lactate steady state in front crawl. J. Sci. Med. Sport 2011, 14, 168. [Google Scholar] [CrossRef]
- Beneke, R.; Leithäuser, M.R.; Ochentel, O. Blood lactate diagnostics in exercise testing and training. Int. J. Sports Physiol. Perf. 2011, 6, 8–24. [Google Scholar] [CrossRef] [PubMed]
- Seifert, L.; Komar, J.; Leprêtre, P.M.; Lemaitre, F.; Chavallard, F.; Alberty, M. Swim specialty affects energy cost and motor organization. Int. J. Sports Med. 2010, 31, 624–630. [Google Scholar] [CrossRef] [PubMed]
- Skorski, S.; Faude, O.; Urhausen, A.; Kindermann, W.; Meyer, T. Intensity control in swim training by means of the individual anaerobic threshold. J. Strength Cond. Res. 2012, 26, 3304–3311. [Google Scholar] [CrossRef] [PubMed]
- Nikitakis, I.S.; Paradisis, P.G.; Bogdanis, G.C.; Toubekis, A.G. Physiological responses of continuous and intermittent swimming at critical speed and maximum lactate steady state in children and adolescent swimmers. Sports 2019, 7, 25. [Google Scholar] [CrossRef]
- Coyle, E.F.; Gonzalez-Alonso, J. Cardiovascular drift during prolonged exercise: New perspectives. Exerc. Sports Sci. Rev. 2001, 29, 88–92. [Google Scholar]
- Pelarigo, J.G.; Machado, L.; Fernandes, R.J.; Greco, C.C.; Vilas-Boas, J.P. Oxygen uptake kinetics and energy system’s contribution around maximal lactate steady state swimming intensity. PLoS ONE 2017, 12, 167263. [Google Scholar] [CrossRef]
- Dekerle, J.; Brickley, G.; Alberty, M.; Pelayo, P. Characterising the slope of the distance—Time relationship in swimming. J. Sci. Med. Sport 2010, 13, 365–370. [Google Scholar] [CrossRef]
- Barbosa, T.M.; Bragada, A.G.; Reis, M.V.; Marinho, A.D.; Carvalho, C.; Silva, A.J. Energetics and biomechanics as determining factors of swimming performance: Updating the state of the art. J. Sci. Med. Sport. 2010, 13, 262–269. [Google Scholar] [CrossRef]
- Alberty, M.; Sidney, M.; Huot-Marchand, F.; Hespel, M.J.; Pelayo, P. Intracyclic velocity variations and arm coordination during exhaustive exercise in front crawl stroke. Int. J. Sports Med. 2005, 26, 471–475. [Google Scholar] [CrossRef]
- Oliveira, M.F.M. Metabolic and Swim Technique Responses During the Exercise at the Speed Corresponding to Maximal Lactate Steady State Determined Continuously and Intermittently. Master’s Thesis, São Paulo State University, Rio Claro, Brazil, 2008. [Google Scholar]
- Dekerle, J.; Nesi, X.; Lefevre, T.; Depretz, S.; Sidney, M.; Huot Marchand, F.; Pelayo, P. Stroking parameters in front crawl swimming and maximal lactate steady state speed. Int. J. Sports Med. 2005, 25, 53–58. [Google Scholar] [CrossRef]
- Pelarigo, J.G.; Fernandes, R.J.; Ribeiro, L.; Benedito, D.; Greco, C.C.; Vilas-Boas, J.P. Comparison of different methods for the swimming aerobic capacity evaluation. J. Strength Cond. Res. 2018, 32, 3542–3551. [Google Scholar] [CrossRef] [PubMed]



| Variables | N = 14 Swimmers (Male and Female) | N = 10 Male Swimmers | N = 4 Female Swimmers |
|---|---|---|---|
| Age (years) | 18.0 (2.5) | 17.5 (2.4) | 19.2 (2.6) |
| Body mass (kg) | 67.5 (8.8) | 69.7 (8.1) | 60.3 (8.7) |
| Height (cm) | 174.5 (7.7) | 175.6 (7.3) | 171.9 (9.3) |
| Time (s) 200 m front crawl | 131.6 (7.3) | 129.2 (7.3) | 137.6 (2.5) |
| FINA points 200 m front crawl | 513.6 (66.0) | 503.3 (75.0) | 539.5 (28.2) |
| FINA points (best style) | 564.0 (109.3) | 540.4 (119.4) | 623.0 (49.5) |
| Competitive experience (years) | 9.9 (1.8) | 9.5 (1.9) | 10.8 (1.5) |
© 2020 by the authors. Licensee MDPI, Basel, Switzerland. This article is an open access article distributed under the terms and conditions of the Creative Commons Attribution (CC BY) license (http://creativecommons.org/licenses/by/4.0/).
Share and Cite
Arsoniadis, G.G.; Nikitakis, I.S.; Botonis, P.G.; Malliaros, I.; Toubekis, A.G. Verifying Physiological and Biomechanical Parameters during Continuous Swimming at Speed Corresponding to Lactate Threshold. Sports 2020, 8, 95. https://doi.org/10.3390/sports8070095
Arsoniadis GG, Nikitakis IS, Botonis PG, Malliaros I, Toubekis AG. Verifying Physiological and Biomechanical Parameters during Continuous Swimming at Speed Corresponding to Lactate Threshold. Sports. 2020; 8(7):95. https://doi.org/10.3390/sports8070095
Chicago/Turabian StyleArsoniadis, Gavriil G., Ioannis S. Nikitakis, Petros G. Botonis, Ioannis Malliaros, and Argyris G. Toubekis. 2020. "Verifying Physiological and Biomechanical Parameters during Continuous Swimming at Speed Corresponding to Lactate Threshold" Sports 8, no. 7: 95. https://doi.org/10.3390/sports8070095
APA StyleArsoniadis, G. G., Nikitakis, I. S., Botonis, P. G., Malliaros, I., & Toubekis, A. G. (2020). Verifying Physiological and Biomechanical Parameters during Continuous Swimming at Speed Corresponding to Lactate Threshold. Sports, 8(7), 95. https://doi.org/10.3390/sports8070095

