Abstract
A key aspect of the seismic design of structures is the distribution of the lateral strength, because it governs the distribution of the cumulative plastic strain energy (i.e., the damage) among the stories. The lateral shear strength of a story i is commonly normalized by the upward weight of the building and expressed by a shear force coefficient αi. The cumulative plastic strain energy in a given story i can be normalized by the product of its lateral strength and yield displacement, and expressed by a plastic deformation ratio ηi. The distribution αi/α1 that makes ηi equal in all stories is called the optimum yield-shear force distribution. It constitutes a major aim of design; a second aim is to achieve similar ductility demand in all stories. This paper proposes a new approach for deriving the optimum yield-shear force coefficient distribution of structures without underground stories and equipped with metallic dampers. It is shown, both numerically and experimentally, that structures designed with the proposed distribution fulfil the expected response in terms of both damage distribution and inter-story drift demand. Moreover, a comparison with other distributions described in the literature serves to underscore the advantages of the proposed approach.
1. Introduction
Conventional seismic design allows for damage to a structure under rare or very rare seismic events for economic reasons. The philosophy is to design the structural elements (e.g., beams and columns in frames) so that they can dissipate most of the energy introduced by the earthquake through plastic deformations, without leading to the collapse of the structure. To the present day, the seismic design of structures is made with the so-called force-based approach, which characterizes the loading effect of earthquakes on structures in terms of forces. The force-based approach implements the above philosophy through the use of ductility factors and the assumption of the “equal-displacement” rule. The origin of this approach can be found in the studies carried out for single degree of freedom (SDOF) systems by Veletsos and Newmark [1]. The equal displacement rule assumes that the maximum displacement of a SDOF elastoplastic system and that of the counterpart elastic system under a given ground motion are the same. Based on this assumption, the design lateral strength of the structure is reduced by a ductility-based factor μ (called q in Eurocode 8 [2]) with respect to the value that would be required for the structure to remain elastic. However, many difficulties arise when this approach is extended to multi-story structures. One resides in how to predict the distribution of the cumulative plastic energy dissipation demand Ehi among stories. Controlling this distribution is a key aspect of earthquake resistant design [3]. Force-based methods resolve the inability to deal explicitly with Ehi by prescribing rules aimed at avoiding/alleviating the concentration of plastic strain energy demands in specific stories. These rules govern both the global (the whole structure) and the local level (the individual structural elements). Global level requirements include: (i) a minimum ratio between the sum of the flexural strengths of the columns, ΣMRc, and the flexural strengths of the beams, ΣMRb, that frame at the same joint; (ii) avoidance of abrupt variations in lateral stiffness and mass distributions, and (iii) ensuring that, at all end sections in a building where plastic hinges may form, the ratio between the maximum and minimum values of the parameter ρi = Di/Ci is between 2 and 3 [2]. Here, Di is the demand obtained from a linear elastic analysis (e.g., the bending moment in moment frames), and Ci the capacity (e.g., the moment resistance in moment frames). Local level requirements include the capacity design of the sections. Yet, for economic reasons, the required minimum value of the ratio ΣMRc/ΣMRb in codes (about 1.3) is far below the one that would guarantee the formation of a full strong-column/weak-beam mechanism (≥4) [4]. Hence, damage concentrations in given stories can occur to some extent.
Contrary to the presumption of the force-based approach that an earthquake exerts forces on the structure, in reality it imparts seismic energy [5]. Characterizing the loading effect of earthquakes in terms of energy instead of forces provides a more rational ground for seismic design and constitutes the basis of the so-called energy-based approach. This approach, first proposed by Housner [6] and later developed by Akiyama [7], Bertero [3] and others, has been gaining attention in the last two decades. It was implemented in 2009 in the Japanese Building Code [8]. Energy-based concepts are crucial also to analyse and overview strategies for designing buildings with energy dissipation devices, as shown for example in a recent review on different strategies for the optimal placement of viscous dampers in buildings structures [9]. The fact that the energy-based approach addresses the prediction of Ehi directly constitutes the core of the methodology. For convenience, Ehi can be normalized by the product of the lateral strength Qyi and yield displacement δyi, of the story and expressed by the parameter ηi = Ehi/(Qyiδyi). The ratio ηi has been widely used in the past as an index of damage. Akiyama [7] showed that the distribution of ηi among stories depends on the extent to which the so-called yield-shear force coefficient of the story, αi, deviates from an “optimum” value αopt,i, Here, αi is defined as Qyi normalized by the weight above the story, i.e., , where mj is the story mass, g the acceleration of gravity and N the total number of stories. αopt,i is defined as the value of αi that makes ηi equal in all stories (i.e., uniform distribution of damage). The distribution of αopt,i, i.e., , is referred to as the “optimum yield-shear force coefficient distribution”, and is a key aspect of seismic design methodology based on the energy approach. While several general expressions of have been proposed in the past for conventional structures [7,8,10,11], optimum distributions specifically for structures with energy dissipation systems are very scarce [12], in particular for those using metallic energy dissipation devices (dampers). The structures with metallic dampers constitute an innovative seismic design strategy whose use has increased exponentially in recent decades. Structures with metallic dampers solve one of the main drawbacks of conventional structures—the occurrence of plastic deformations in beams and columns of the frame—and concentrate the plastic-strain energy dissipation demands in specific elements (dampers) specially designed for that purpose and easily replaceable.
This paper proposes a new expression for the optimum yield-shear force coefficient distribution of structures without underground stories and equipped with metallic dampers, for application in the framework of the energy-based seismic design approach. In contrast to previous approaches that resort to regression analyses of the responses obtained through iterative trial-and-error calculations of structures subjected to a set of ground motions, the optimum yield-shear force distribution proposed in this study involves applying modal analysis formulation and two basic assumptions: (i) damage basically spreads out evenly among the stories regardless of the level of plastic deformation; and (ii) the ductility demand is approximately the same in all stories. The validity of these assumptions for structures designed with the optimum distribution has been demonstrated in past studies [7]. The optimum yield-shear force distribution proposed in this study applies a novel approach in comparison with the optimum distribution developed by the authors in previous studies [12]. In Benavent-Climent [12] the building was represented by an equivalent shear strut (continuous model with distributed mass and stiffness) fixed at the base and the optimum strength distribution was obtained assuming that it coincides with the maximum shear-force distribution in the equivalent elastic undamped shear strut. The equation proposed in [12] approximated the “exact” curve that is obtained by solving the partial differential equation of the elastic undamped distributed parameter system. The new optimum distribution proposed in this paper is obtained representing the building by a discrete model with the mass lumped at several points and the lateral stiffness represented by discrete springs, under the two assumptions motioned above. The new optimum distribution applies modal analysis formulation without resorting to approximations. The application of the proposed optimum distribution to buildings with underground stories, for which the soil-structure interaction could be significant, is beyond the scope of this study. The proposed optimum distribution can be used in buildings with uneven height of the story.
2. Background
2.1. Idealization of a Structure with Metallic Dampers
Structures with metallic dampers consist of two parts working in parallel. The “main structure” is entrusted with sustaining the gravity loads while the structure moves laterally, remaining basically elastic. The other part is the “energy dissipation system”, entrusted with dissipating most of the energy input by the earthquake. The latter comprises the dampers and the auxiliary elements needed to connect them with the “main structure”. Figure 1 shows in bold lines the idealized curve that represents the i-th story shear force versus inter-story drift, Qi-δi, of a structure with metallic dampers subjected to monotonic (Figure 1a) and cyclic (Figure 1b) loading. This curve is the sum of two curves. One represents the main structure, fQi-δi, and is characterized by the elastic stiffness fki. The other represents the energy dissipation system, sQi-δi, and is defined by the initial stiffness ski, the yield strength, sQy,i, and the yield displacement sδy,i. The stiffness ratio Ki is defined by Ki = ski/fki. The “energy dissipation system” is typically made stiffer laterally than the “main structure”. Accordingly, hereafter, the “energy dissipation system” will be designated with the subindex “s” (stiff part) and the “main structure” with the subindex “f” (flexible part). The flexible part is assumed elastic and the stiff part is assumed to exhibit elastic-perfectly plastic restoring force characteristics.
Figure 1.
Story shear vs. inter-story drift relationship of a structure with metallic dampers subjected to (a) monotonic and (b) cyclic lateral loads.
The main structure must have a large enough elastic deformation capacity to achieve the maximum lateral displacement expected under seismic loads. As for the strength, past research [7] recommended the following value for the ratio rq,i between the averaged maximum shear force attained by the main structure in the positive and negative domains,(=] and the yield-shear force of the energy dissipation system, sQy,i at each story level:
2.2. Energy-Based Design Framework
The dynamic response of an N-degree of freedom system subjected to a seismic ground motion is governed by the following force-equilibrium equation:
where M and C are the mass and damping matrices, F(t) is the restoring force vector, r is the directivity ground motion vector, üg(t) is the ground acceleration, u is the relative displacement vector respect to the foundation ground and t the time. Pre-multiplying Equation (2) by and integrating over the duration of the earthquake, t = td, the energy balance equation is obtained:
where Ek is the kinetic energy, Eξ is the damping energy, Ea is the absorbed energy and EI is the relative input energy, (hereafter input energy). Further, EI can also be expressed as an equivalent velocity, VE, defined by , where M is the total mass of the structure, and Equation (3) can be rewritten as:
where Ea is the sum of the elastic strain energy, Es, and the energy dissipated by plastic deformations or hysteretic energy, Eh, i.e., Ea = Es + Eh. By definition, the sum of Ek and Es is the so-called vibrational elastic energy, Ee (=Ek + Es). Housner [6] defined the sum of Ee and Eh as the energy that contributes to the damage ED (=Ee + Eh). ED can also be expressed in the form of an equivalent velocity, VD, by and thus Equation (4) can be rearranged as follows:
Furthermore, several empirical expressions have been proposed in the literature to estimate VD from VE [7,13,14,15,16,17,18]. In this study, the one proposed by Akiyama [7] is used:
where ξ is the inherent fraction of damping of the structure. For elastic MDOF systems, F(t) can be expressed by F(t) = Ku(t), where K is the elastic stiffness matrix. The damping matrix C can be in general non-proportional; yet, even in this case it can be approximated by a damping matrix that can be diagonalized by the natural vibration modes. This approximated damping matrix is obtained ignoring the off-diagonal coupling coefficients of the modal coordinate damping matrix. Then, the response vector u can be obtained by superimposing the contribution of each vibrational mode, i.e., , where xn(t) is the normal coordinate corresponding to mode n and φn the corresponding mode vector. Using a damping matrix C that can be diagonalized by the undamped vibration modes, taking into account the orthogonality properties, and pre-multiplying Equation (2) by φnT, gives the following set of N-uncoupled equations in normal coordinates:
where mn = φnTMφn, cn = φnTCφn and kn = φnTKφn are the n-th generalized mass, damping and stiffness, respectively, and Γn = φnTMr/mn is the n-th modal participation factor. The displacements xn(t) obtained from Equation (7) are Γn times larger than those of an equivalent SDOF system, xSDOF,n(t), with mass, damping and stiffness given by mn, cn and kn, respectively, subjected to the ground acceleration üg. That is, xn(t) = ΓnxSDOF,n(t). Then, multiplying both sides of the Equation (7) by and integrating between t = 0 and t ≤ td, the energy balance equation corresponding to the uncoupled n-th vibration mode is obtained as follows:
The first three terms of the left-hand side are the kinetic energy Ek,n, the damping energy Eξ,n and the absorbed energy Ea,n corresponding to vibration mode n, respectively. It is worth noting that, given the linear nature of Equation (8), the third term on the left-hand side should be, strictly speaking, denoted as the elastic strain energy, which coincides with the absorbed energy in this case. The term on the right-hand side is the input energy corresponding to vibration mode n, EI,n. Each term of Equation (8) is Γn2 times the corresponding value in the n-th equivalent SDOF system; in particular, , where is the absorbed energy of the n-th equivalent SDOF system. Moreover, substituting in Equation (3) and taking into account that M, K and C are orthogonal, the energy balance equation of the elastic MDOF systems at t ≤ td is:
From Equations (3), (8), and (9), it can be observed that Ek, Eξ, Ea and EI in the elastic MDOF systems are obtained summing up the contribution of all n-th vibration mode energies, Ekn, Eξn, Ean and EIn. In particular, can also be expressed as follows:
Similar expressions can also be obtained for Ek, Eξ and EI. Equation (10) shows that the absorbed energy of an elastic MDOF system can be obtained as the superposition of the absorbed energy of N equivalent SDOF systems, each one associated with a vibration mode n, subjected to the ground acceleration üg and scaled by . Chou and Uang [19] proposed applying the superposition of Ea,n likewise for structures that undergo plastic deformations to estimate the total absorbed energy at t = td. Further, Akiyama [7] showed that as the structure enters the nonlinear range, Ee (=Ek + Es) becomes negligible compared with Eh at t ≥ td and can be disregarded, i.e., Eh = Ea. Therefore, the following Equation (10), Eh can be estimated by:
where is the hysteretic energy dissipated by the n-th equivalent SDOF system. If the structure is classically damped, it suffices to add the contribution of the first r vibrational modes that mobilize 90% of the total mass of the structure. In the more general case that the structure is non-classically damped, it has been shown in recent research [20] that the modal mass ratio alone is not sufficient to ascertain the accuracy of a truncated model. A measure that is related to the damping matrix, called modal dissipation ratio of each mode in a complex modal analysis framework, should necessary be considered when constructing a reduced-order model.
2.3. Hysteretic Energy Accumulated under Cyclic and under Monotonic Loads
Under the cyclic reversals caused by the ground motion, each story i dissipates a portion of hysteretic energy Eh,i of the total hysteretic energy dissipated by the overall structure. The quotient ψI = Eh,i/Eh is defined hereafter as the i-th story hysteretic energy ratio. After the ground motion fades away, i.e., at t ≥ td, Eh = Ea because the elastic strain energy is totally recovered and Ee = 0, so that ψi = Ea,i/Ea. A modal hysteretic energy ratio ψn,i can also be defined using the hysteretic energy dissipated at the i-th story in the mode n, Ehn,i, and the total hysteretic energy dissipated in mode n, , i.e., ψn,i = Ehn,i/Ehn, and the remark made above for ψi at t ≥ td is also applicable to ψn,i. Similarly, if the structure is subjected to monotonically applied lateral loads following the n-th vibration mode instead of cyclic loads, the ratio between the hysteretic energy dissipated at the i-th story, Ehmn,i, and the total dissipated energy, , define a new ratio ψmn,i as follows:
Throughout numerical simulations conducted on MDOF systems subjected to several ground motions, Chou and Uang [19] showed that ψn,i and ψmn,i have similar values. Therefore, Ehn,i can be estimated by . Recalling that and it follows that:
In a general MDOF system subjected to a given ground motion characterized by its hysteretic energy spectrum EhSDOF-T, the hysteretic energy accumulated in the i-th story Eh,i can be estimated through Equation (13), first, calculating ψmn,i from a pushover analysis with the n-th vibrational mode loading pattern and, second, taking as EhnSDOF the ordinate of the EhSDOF-T spectrum at period Tn.
3. Proposal of New Optimum Yield-Shear Force Coefficient Distribution
The main purpose of installing dampers is to avoid damage in the main structure and concentrate the plastic deformations in the energy dissipation system. Accordingly, in the following discussion the main structure is assumed to remain elastic and the cumulative plastic strain energy ratioηi for this type of structure is defined as ηi = sEh,i/(sQy,i × sδy,i), where sEh,i denotes the hysteretic energy dissipated by the energy dissipation devices (dampers) installed at the i-th story. For convenience, noting that , and using Equation (13), the plastic strain energy ration ηi can be rewritten as follows:
where the sum in the numerator is extended to r vibration modes. For a given ground motion, the sαi’s that make ηi equal in all stories, i.e., ηi = η, are defined here as the optimum yield-shear force coefficients of the energy dissipation system, sαopt,i. The corresponding distribution, sαopt,i/sα1, is referred to hereafter as optimum yield shear force distribution (=sαopt,i/sα1), where sα1 is the yield-shear force coefficient of the energy dissipation system at the first (ground) story. Using Equation (14) and noting that ηi = η, then is given by:
Taking into account that sδy,i = sQy,i/ski, recalling Figure 1 and noting that Qy,i = sQy,i+ fki sδy,i =sQy,i+ (ski/Ki) sδy,i = sQy,i+sQy,i(1/Ki) = sQy,i(Ki + 1)/Ki, the yield shear force coefficient of the whole structure (including main structure and energy dissipation system) at the i-th story αi is related to sαi by:
Therefore, the distribution of the optimum total yield shear force coefficient, , is simply . If Ki is the same in all stories, it is obvious that coincides with . Using Equation (15) gives, then:
Past research [7] shows that in an elastic-perfectly plastic MDOF system designed with the optimum distribution associated with a given ground motion, damage spreads out evenly among the stories essentially regardless of the level of plastic deformation. This allows to assume that if the ground motion is scaled down by a factor sy so that the level of plastic deformation in the dampers is zero, i.e., ηi = η ≈ 0, the maximum total elastic force developed by the dampers at each story i in each mode n, sQmaxn,i, coincides with the lateral strength required on the dampers in each mode n, sQyn,i, to carry all stories to the brink of yielding, that is sQmaxn,i = sQyn,i. These forces can be expressed in terms of shear force coefficients, sαmax,i, and their distribution, i.e., , would coincide with the optimum distribution , i.e., . The vector of maximum elastic forces on the whole structure (i.e., main structure and energy dissipation system) at the n-th vibration mode, Fn, of an elastic MDOF system subjected to a given ground motion characterized by its elastic response spectrum Sa-T scaled by factor sy can be easily obtained from modal analysis as follows:
where San is the ordinate of the Sa-T spectrum at the period of vibration mode n. The corresponding maximum total shear force on the i-th story in mode n, Qmaxn,i, is simply obtained by summing up the components Fn,i of vector Fn above the i-th story as follows:
where φn,j are the components of mode vector φn. The maximum force in the energy dissipation system at the i-th story in mode n, sQmaxn,i, can be related with Qmaxn,i by . Solving for sQmaxn,i in this expression and recalling that is has been assumed that sQmaxn,i = sQyn,i, the following expression is obtained:
In turn, for a design earthquake that causes plastic deformations in the energy dissipation system (i.e., a ground motion not scaled down by sy), the maximum and minimum normalized plastic deformations experienced by the energy dissipation system of each story i in each vibration mode n are defined as follows: μmaxn,i = (δmaxn,i − sδyn,i)/sδyn,i and μminn,i = |(δminn,i − sδyn,i)|/sδyn,i. Here δmaxn,i and δminn,i are the maximum and minimum inter-story drifts attained at the i-th story in mode n, and sδyn,i is defined as sδyn,i = sQyn,i/ski. The mean value is . It has been shown [7] that, in mixed systems combining in each story an elastic part with an elastic-perfectly plastic part, as shown in Figure 1, the maximum deformations are roughly the same in the positive and negative domains and thus it can be assumed δmaxn,i ≈ |δminn,i|, or . Moreover, it has been shown [7] that if the structure is designed with the optimum distribution, then is roughly the same in all stories and thus it can be assumed that . Consequently (δmaxn,i − sδy,i) = sμn sδy,i. The hysteretic energy accumulated at the i-th story, if pushed monotonically beyond the elastic range following the distribution of lateral forces of the n-th mode given by Equation (18) up to δmaxn,i, is:
Recalling that sδyn,i = sQyn,i/ski and Ki =ski/fki, using Equations (12), (20), and (21) ψmn,i can estimated with the following expression:
Equation (22) indicates that when the distribution of lateral strength of the structure, expressed in terms of the yield-shear force coefficient, follows the optimum distribution, then ψmn,i can be calculated from the mass and the elastic properties of the structures, with no need to perform a pushover analysis. In this study, Equation (15) with ψmn,i calculated using Equation (22) is proposed as the optimum yield-shear force coefficient distribution for the energy dissipation system and will be denoted as herein. Similarly, Equation (17) with ψmn,i calculated using Equation (22) is proposed as the optimum yield-shear force coefficient distribution for the whole structure and will be denoted as hereafter.
4. Numerical Validation
4.1. Prototype Structures, Modelization and Ground Motions
In order to validate the optimum yield shear-force coefficient distribution proposed in this study, several prototype reinforced concrete (RC) structures consisting of waffle-flat plates supported on RC columns having 3, 6, and 9-stories (main structure) equipped with metallic dampers (energy dissipation system) were investigated. To model the prototype structures, it was assumed that the mass of each plate is concentrated in one point of mass mi located at the centre of mass of the plate (lumped-mass model). Torsional and rocking effects are not considered and therefore a single degree of freedom is assigned to each mass: the horizontal displacement in the direction of the ground motion. The rest of parameters that define the numerical model are the i-th story lateral stiffness of the main structure fki; and the lateral stiffness ski and lateral strength sQyi provided by the dampers. fki is defined as the quotient between the shear force endured by the main structure at the i-th story and the corresponding interstory drift in elastic conditions. ski is defined as the quotient between the shear force endured by the metallic dampers installed at the i-th story and the corresponding interstory drift in elastic conditions. sQyi is the maximum shear force that can be endured by the metallic dampers installed at the i-th story. The main structure is assumed to remain elastic and the metallic dampers exhibit an elastic-perfectly plastic hysteretic behaviour, as shown in Figure 1. The inherent damping fraction ξ = 0.05. The main structures are designed to sustain only the gravity loads specified under Spanish standards [21,22]. Therefore, fki and mi for the prototypes with the same number of stories are identical. fki was determined from a static analysis in which the main structure was subjected to a distribution of lateral forces that followed the pattern of the first vibration mode. Table 1 shows fki, mi, the height of the story i hi and the fundamental period of the main structure fT1. To validate the proposed optimum distribution in a large number of different cases, a variety of levels of plastic deformation for the dampers—expressed in terms of coefficient sμ—, and a variety of ground motions—characterized by the seismological parameters VD, TG, TNH, Id and the proximity to the source (i.e., near-fault or far-field earthquakes)—were considered. TG is the predominant period of the ground motion, TNH is the corner period of the pseudo-velocity Newmark-Hall spectrum, and ID is a seismological parameter proposed by Cosenza and Manfredi [23] defined by ID = 2gIA/(π PGA PGV) where IA is the Arias intensity, PGA is the peak ground acceleration and PGV the peak ground velocity. Appendix A presents the original (unscaled) ground motions selected, together with TG, TNH, ID, PGA and PGV. The lateral stiffness provided by the dampers at each story i, ski, was made proportional to the lateral stiffness of the main frame fki, i.e., Ki = fki/ski= K. Each ground motion was scaled in acceleration by applying a factor SF. The values of SF were kept in the range 0.3 ≤ SF ≤ 3 to distort as little as possible the characteristics of the original signal, and were determined to keep the maximum allowed inter-story drift IDI,i below 0.75%, while providing a K smaller than 20. The limit IDI,i ≤ 0.75% was fixed on the basis of code recommendations [8,24] and experimental results obtained by the authors in previous studies [25,26,27]. Also, values of K larger than 20 are not realistic because they lead to very small values of sδyi that can hardly be applied in practice. For a given set of values of parameters sμ, SF, VD, TG, TNH, Id and the proximity to the source, the required K, sQy1—expressed in terms of the base shear force coefficient sα1 (=sQy1/Mg)—, and the normalized energy dissipation demand of the dampers η were calculated applying the method developed by Benavent–Climent [12], but using the optimum yield shear force distribution proposed in this study, with Equations (15) and (22) instead of the optimum distribution proposed in [12]. Table 2, Table 3 and Table 4 summarize the combinations of values for SF, K, VD, sα1, η, sμ investigated, together with the resulting fundamental period of the whole structure in the elastic range T1. In applying Equation (15), the input energy corresponding to each mode n was determined from the inelastic hysteretic energy spectrum Eh-T of the scaled ground motion.
Table 1.
Lateral stiffness, mass and height of the main structure.
Table 2.
Properties of the designed metallic in three-story buildings.
Table 3.
Properties of the designed metallic in six-story buildings.
Table 4.
Properties of the designed metallic in nine-story buildings.
The inelastic hysteretic energy spectrum Eh-T was calculated by following Akiyama’s approach [7], as explained next. First, the elastic input energy spectrum EI-T of the ground motion was obtained with the expression of the right-hand side of Equation (3). Second, the inelastic input energy spectrum, , was determined by averaging the elastic spectrum EI-T in the range T ≤ T ≤ Tmax; that is, the corresponding to a given period T of the spectrum was obtained by . Here, Tmax is a period longer than T, influenced by the level of plastic deformations experienced by the system characterized by sμ. The calculation of Tmax is explained in Appendix B as an extension of the formulation proposed by Akiyama [7] for conventional structures to systems with metallic dampers. Third, recalling that the elastic vibrational energy Ee can be neglected as explained in Section 2.2. (i.e., Eh = ED), Eh is readily obtained from by means of Equation (6) as .
4.2. Optimum Distributions Obtained with the Proposed Expression for Different Ground Motions
Figure 2 and Figure 3 show the proposed optimum yield shear force coefficient distributions —Equations (17) and (22)—obtained for the near-fault (Figure 2) and far-field (Figure 3) ground motions. In all cases the grow is approximately linear in the lower two thirds of the building, and increases exponentially in the upper stories, especially for taller buildings. This is due to the influence of the higher modes of vibration. It is also worth noting that in the lower two thirds part of the building is basically the same for all records, whereas clear differences are observed in the upper one third depending on the ground motion considered. These tendencies and features have been identified in previous studies [7,12].
Figure 2.
Optimum yield shear force distributions obtained with proposed distribution for 3 (a), 6 (b) and 9 (c) story buildings subjected to seven near-field earthquakes.
Figure 3.
Optimum yield shear force distributions obtained with proposed expression for 3 (a), 6 (b) and 9 (c) story buildings subjected to seven far-field earthquakes.
4.3. Comparison between Proposed and “Exact” Distributions
Similarly to the optimum yield shear force coefficient distributions proposed in previous studies [7,11,12] the new distribution proposed in this study provides an approximation to the “exact” distribution, referred to as hereafter, that would make ηi exactly the same in all stories. is different for each ground motion and can be obtained only through an iterative trial-and-error procedure of nonlinear time history analyses. A number of multi-purpose algorithms existing in the literature may be used to efficiently conduct such an iterative process [28,29]. In this study, was calculated using the pattern search method (PSM), which belongs to the direct search methodology for optimization of n-dimensional functions [30]. PSM has been used in previous studies on optimization of buildings with dampers [31] and on damage control of buildings [32,33]. There are other approaches such as the gradient-based method or genetic algorithms used successfully in structural optimization problems [28,29] that could potentially be more efficient to reach the “exact” optimum distribution. Nevertheless, it is out of the scope of this study to determine the most efficient method. In short, PSM is an iterative procedure to minimize an objective function. Some advantages of the PSM are: (i) it is a derivative-free method and (ii) it is simple. In this case, the objective function is the standard deviation of ηi, while the independent n-dimensional variable is the lateral strength of the structure. Through non-linear time history analyses with a given accelerogram, PSM varies the lateral strength distribution of the structure until the standard deviation of ηi is zero. The main drawback of using PSM in this study has been the significant increase of the calculation time with the increase of the number of stories of the buildings. PSM took about fifteen minutes to reach the optimum distribution for a three-story building subjected to a single ground motion. This time increased up to four hours for a six-story building and up to ten hours for a nine-story building.
Using the PSM, the exact distribution was calculated for each prototype structure and for each ground motion, and then was compared with the counterpart approximate distribution proposed in this study, in Figure 4 and Figure 5. The figures show in bold lines the mean curves obtained averaging , by means of the seven accelerograms applied to each prototype structure at each story level. It can be seen that the mean curves of are very close to the vertical line passing through the abscissa 1.0 (ranging from 0.9 to 1.2); this indicates that the proposed distribution is very close to the exact distribution. For comparison purposes, Figure 4 and Figure 5 also show the mean curves obtained using the optimum distribution proposed by Benavent-Climent [12], normalized by . It is clear in the figures that while both distributions and approximate the exact solution in the lower part of the structure, in the upper part the distribution proposed by Benavent-Climent deviates up to about 35% from the exact value.
Figure 4.
Ratios (record to record and mean) and (mean) obtained for 3 (a), 6 (b), and 9 (c) story buildings subjected to near-field earthquakes.
Figure 5.
Ratios (record to record and mean) and (mean) obtained for 3 (a), 6 (b) and 9 (c) story buildings subjected to far-field earthquakes.
Under near-field ground motions, the coefficients of variation (COV) of calculated for all stories are 0.05, 0.07 and 0.10 for the three-, six-, and nine-story prototype structures, respectively. The counterpart COVs for far-field ground motions are 0.05, 0.06 and 0.08, respectively. Noticeably, there are not significant differences between the two types of earthquakes, the COV of being less than or equal than 0.10, independently the height of the building. The optimum distribution proposed by Benavent-Climent [12] provides a good approximation to the “exact” distribution in the lower part of the building but tends to over-estimate the required strength in the upper stories. The COV of under near-field records are 0.14, 0.14, 0.17 for three, six and nine-story prototype structures respectively, and 0.13, 0.13, 0.17 under far-field records. Therefore, the proposed optimum distribution gives a better approximation to the “exact” one than to that obtained with . It is worth noting that, from a practical point of view, the main differences between and , are: (i) is based only on properties of the main structure while requires also to know the ratio between the lateral stiffness of the dampers and the lateral stiffness of the main frame at each story; (ii) depends on the predominant period of the ground motion TG while requires to know the inelastic input energy spectrum. Therefore, the time required to obtain the optimum distribution with is larger than with and the analytical expression of the former is more complex than the later. However, from a practical point of view, since these calculations are made usually with a computer, the differences in time and in programming complexity are negligible.
4.4. Damage Distribution among Stories
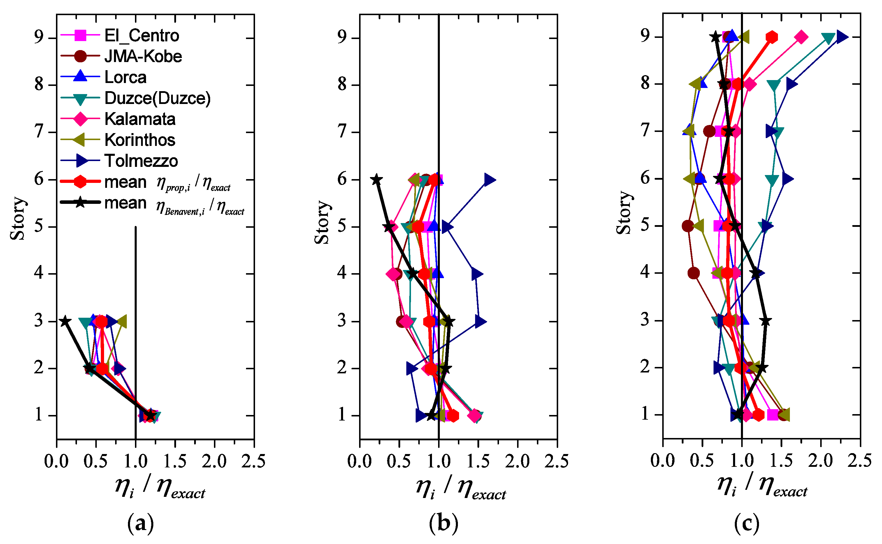
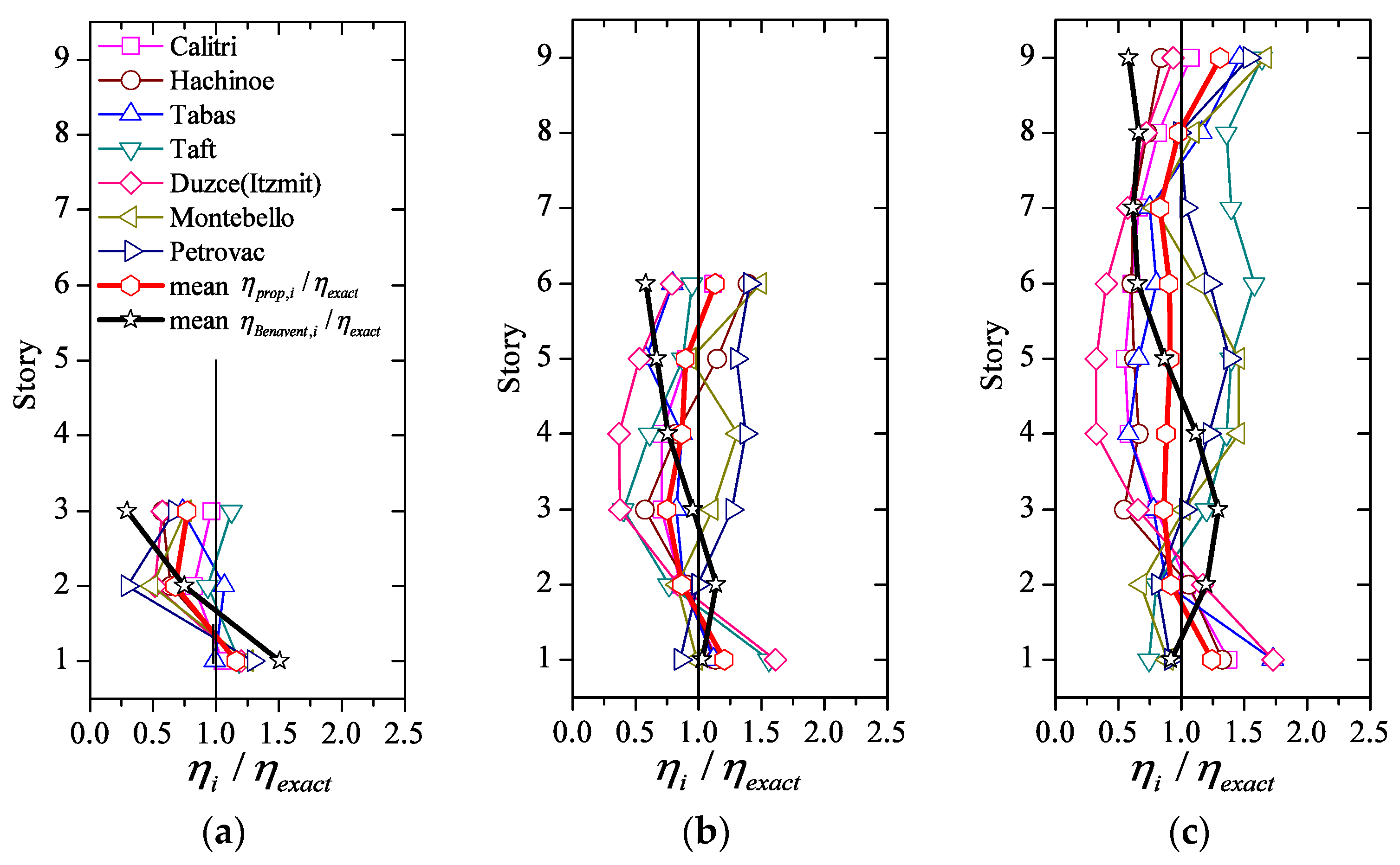
As explained in previous sections, the damage in a given story i can be characterized by the ratio ηi. It has likewise been explained in previous sections that the optimum distribution of the shear force coefficients is the one that makes ηi equal in all stories. This strictly occurs only when the distribution is used, and the common value of ηi in this case will be named ηexact (=ηi) hereafter. When the approximate distributions or are used, in general the ηi’s do not have exactly the same value in all stories. In order to evaluate such deviations, the ηi obtained at each story through nonlinear time story analyses conducted for each individual ground motion and for each prototype structure designed with , referred to as ηprop,i hereafter, are plotted in Figure 6 and Figure 7 normalized by ηexact. Also shown in the figures with bold lines are the mean curves of ηprop,i/ηexact obtained by averaging the response at each story level throughout the seven ground motions applied to each prototype structure. As can be seen, the mean curve ηprop,i/ηexact is close to the vertical line passing through the abscissa 1.0. This indicates that the proposed distribution provides a reasonably uniform distribution of damage among stories. More precisely, the COV of ηprop,i/ηexact calculated for all stories and all the near-field earthquakes are 0.40, 0.33 and 0.42, for the three-, six-, and nine-story prototype structures, respectively; the counterpart values for far-field earthquakes are 0.33, 0.33, and 0.37.
Figure 6.
Ratios ηprop,i/ηexact (record to record and mean) and ηBenavent,i/ηexact (mean) obtained for 3 (a), 6 (b) and 9 (c) story buildings subjected to near-field earthquakes.
Figure 7.
Ratios ηprop,i/ηexact (record to record and mean) and ηBenavent,i/ηexact (mean) obtained for 3 (a), 6 (b) and 9 (c) story buildings subjected to far-field earthquakes.
For comparison, the ηi obtained at each story through nonlinear time story analyses conducted for each individual ground motion and for each prototype structure designed with was also calculated and it is referred to as ηBenavent,i hereafter. Figure 6 and Figure 7 show in bold lines the mean curves of ηBenavent,i/ηexact obtained by averaging the response at each story level through the seven ground motions applied to each prototype structure. When is used the COV of ηBenavent,i/ηexact are 0.81, 0.61, and 0.63 for near-field earthquakes and 0.80, 0.59, and 0.52 for far-field earthquakes, respectively. It follows from these results that the optimum yield shear force distribution proposed in this study provides a much more uniform distribution of damage among the stories than the one proposed by Benavent-Climent [12]. The reason lies in the bias of Benavent-Climent’s equation, overestimating the required strength at the higher stories, which leads to lower values of ηBenavent,i for the high stories, and higher values for the low stories.
Furthermore, Figure 8 compares the histories of energy Eh dissipated by the 6-story building designed with and with for two ground motions: Calitri (Figure 8a) and Montebello (Figure 8b). It can be seen that there are not significant differences between them.
Figure 8.
History of dissipated energy for the 6-story building designed with and subjected to Calitri (a) and Montebello (b) ground motions.
4.5. Maximum Interstory Drifts
Figure 9 and Figure 10 show the maximum inter-story drifts normalized by the story height, IDIi, obtained from the time history analyses conducted on the prototype structures designed with , denoted by IDIprop,i (record-to-record, mean and the envelope of the maximum values “maxenv”), and for those designed with , denoted by IDIexact,i (the mean and the envelope of the maximum values “maxenv”). Overall, comparing the mean curves it is seen that the IDIi’s obtained with the proposed distribution (i.e., “mean IDIprop,I” in the figures) are very close, almost coinciding with the exact values (i.e., “mean IDIexact,i” in the figures). Similar observations can be made with the maximum envelope curves (i.e., “maxenv IDIprop,I” versus “maxenv IDIexact,I”). Moreover, the target IDIi (=0.75%) is not exceeded in any case. It is also noteworthy that despite the differences observed in the distribution of ηi for the structures designed with and with (Figure 6 and Figure 7), the response in terms of displacement are in very good agreement. In other words, the small deviations of ηi among stories scarcely affect the maximum lateral inter-story drifts.
Figure 9.
Interstory drift ratios IDIprop,i (record-to-record, mean and maximum envelope) and IDIexact,i (mean and maximum envelope) obtained for 3 (a), 6 (b), and 9 (c) story buildings subjected to near-field earthquakes.
Figure 10.
Interstory drift ratios IDIprop,i (record-to-record, mean and maximum envelope) and IDIexact,i (mean and maximum envelope) obtained for 3 (a), 6 (b) and 9 (c) story buildings subjected to far-field earthquakes.
Deviations of the yield shear force coefficient distribution with respect to the exact value inevitably cause deviations from the aspired even distribution of damage (i.e., ηi equal in all stories). Nonetheless, when these deviations are limited (to about 20% as occurs with the proposed distribution according to the results of this study), then the damage concentration (i.e., values of ηi in specific stories markedly larger than in the rest of stories) is prevented and the response of the structure in terms of displacements IDIprop,i scarcely deviates from that obtained for a structure designed , i.e from IDIexact,i. These results emphasize the key importance of designing structures with a strength distribution close to that prescribed by the optimum yield-shear force distribution so as to prevent damage concentration and to control the response of the structure in terms of displacement. The results of this study also underline the improvements of the proposed optimum distribution with respect to the one proposed by Benavent-Climent [12] in past studies.
Finally, a comparison was carried out between the IDIi’s of the prototype structures designed using or with , respectively IDIprop,i and IDIBenavent,i. The goodness of the agreement of IDIi or IDIBenavent,i with respect to IDIexact,i, is quantified in terms of the normalized square mean error, NMSE, defined as follows:
NMSE ranges between −∞ (very bad fit) and 1 (perfect fit). Values above 0.70 are considered a reasonably good fit. The results are shown in Figure 11. It is seen that the structures designed using lead to NMSE values greater than 0.70 (Figure 11a) and 0.50 (Figure 11b) in the case of near-field and far-field records, respectively. Nonetheless, for the structures designed with , even though the target IDIi is not exceeded and most analyses show NSME greater than 0.50, there are results giving poor values for NMSE, especially with near-field records (Figure 11a).
Figure 11.
Normalized mean square error of IDIprop,i and IDIBenavent,i with respect to IDIexact,i for (a) near-field earthquakes and (b) far-field earthquakes.
4.6. Ductility Distribution among Stories
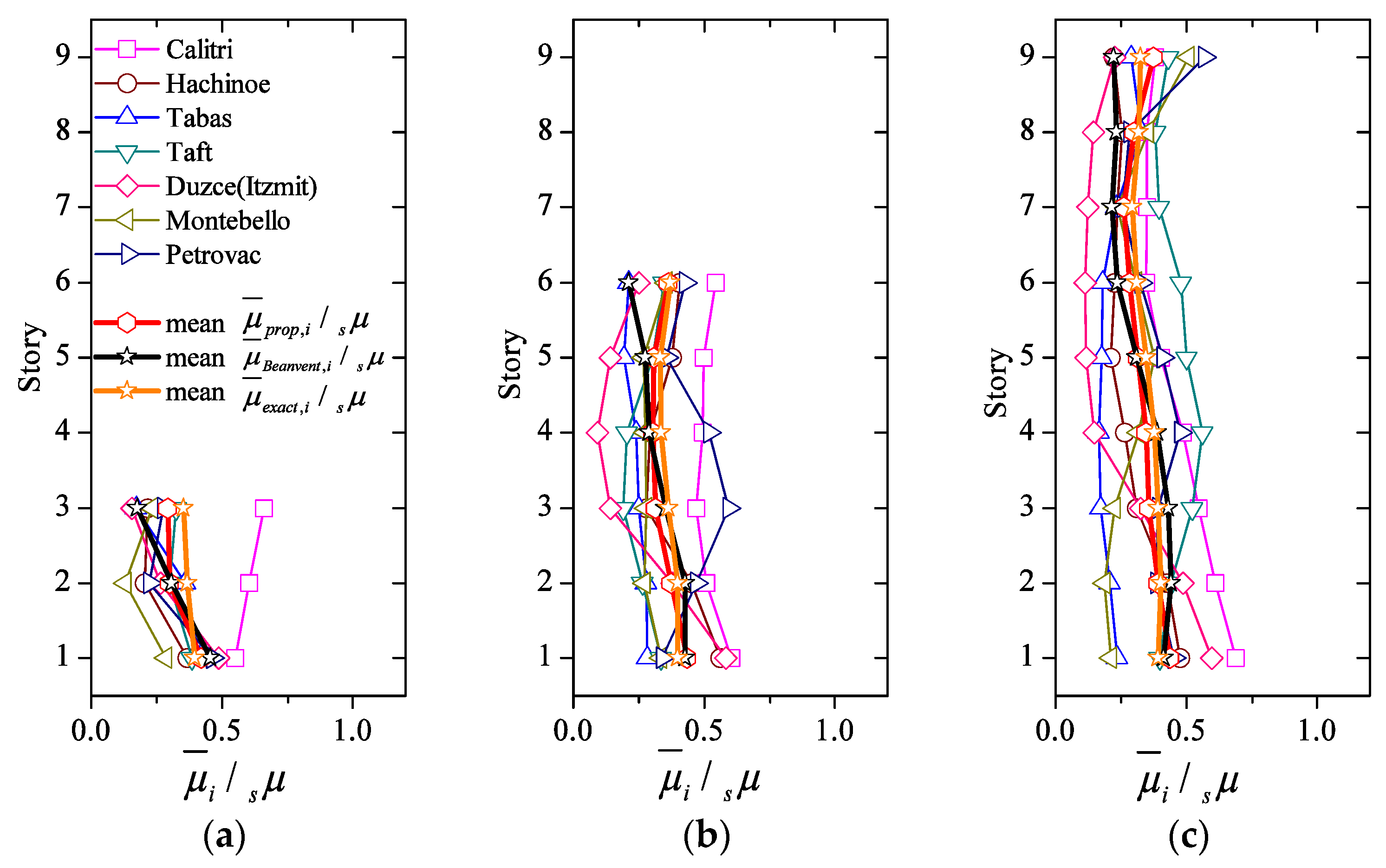
Following past studies [7], it was assumed in Section 3 that when the structure is designed with the optimum yield-force coefficient distribution the ductility demand is rougly the same in all stories (i.e., ). This assumption is further examined in this subsection. Using the IDIprop,i’s of Section 4.5, the corresponding ductility factor at each story i, referred to as herein, was calculated for the structures designed with the proposed optimum distribution by:
where hi is given in Table 1. The yield displacement of the dampers is obtained with:
where mi, are given in Table 1 and , Ki = K in Table 2, Table 3 and Table 4. was compared with the ductility factor assumed for designing the prototype structures shown in Table 2, Table 3 and Table 4. The quotient calculated for each ground motion and the mean curve “mean are plotted in Figure 12 and Figure 13. Also plotted in the figures are the mean curves “mean ” and “mean ” obtained using IDIBenavent,i, and IDIexact,i, instead of IDIprop,I and in Equations (24) and (25). The curves “mean ”, “mean ” and “mean ” are found to lie approximately in a vertical line. Noting that the denominator is the same in all cases and has the same value for all stories, this means that the ductility demand is approximately the same in all stories. The variation of “mean , “mean ” or “mean ” throughout the stories was further quantified by calculating the corresponding COV. The results are shown in Table 5. It can be seen that the structures designed with so that η is exactly the same in all stories also exhibit a very uniform distribution of among stories, the COVs ranging from 0.05 to 0.12. This confirms Akiyama’s [7] results and further supports one of the assumptions made in this study. For structures designed with the proposed approximate optimum distribution , the COV slightly increases with respect to , in particular for the three story structure, but is still small. The distribution proposed by Benavent-Climent [12] presents the largest COVs.
Figure 12.
Ratios (record to record and mean), (mean) and (mean) obtained for 3 (a), 6 (b) and 9 (c) story structures subjected to near-field earthquakes.
Figure 13.
Ratios (record to record and mean), (mean) and (mean) obtained for 3 (a), 6 (b) and 9 (c) story structures subjected to far-field earthquakes.
Table 5.
COV of “mean ”, “mean ” and “mean ”.
Finally, it is likewise observed in Figure 12 and Figure 13 that “mean , “mean ” and “mean ” are in general below 1. The reason is that the expression used in reference [12] to relate with , developed by Cosenza and Manfredi [23], is somewhat conservative and provides in general a safe-side estimation of the maximum displacements.
5. Experimental Validation
5.1. Test Model
A waffle-flat slab RC structure supported on RC columns and equipped with metallic dampers (test model) was built in the Laboratory of Structures of the University of Granada (Spain), and subjected to unidirectional dynamic loadings with a shaking table. The test model is representative of a prototype two story building at a scale of two fifths. The overall dimensions and characteristics of the test model are shown in Figure 14. Due to space limitations in the laboratory, the test model does not represent the whole buildings but rather a portion of it. More precisely, to reduce its height it was assumed that under lateral loadings the sections of zero bending moment on the columns of the second story are located at mid-height. With this assumption, the columns of the second story were replaced by half columns with a pin connection at the top. The weight that the prototype building supports above mid-height of these columns was replaced by steel blocks put on the top (indicated as “added weight” in Figure 14). Similarly, to reduce the horizontal dimensions of the test model it was assumed that under lateral loading the mid-span section of the RC slab moves horizontally (i.e., there is no vertical movement) and that the bending moment is zero. To simulate these boundary conditions, the mid-span section of the RC slab was connected to the steel blocks put on the top of the half-columns of the second story with pin-ended steel bars. The very large flexural stiffness of these steel blocks prevented any possible vertical displacement. Steel blocks were also attached to the slab to represent the gravity loads acting on the floor. The mass m1 of the RC floor slab with the added weight was m1 = 4079 kg. The mass m2 of the added weight put on top of the half columns of the second story was m2 = 7058 kg. The total mass of the test model was 11137 kg.
Figure 14.
Test model and experimental setup: (a) elevation in the direction of lateral loading; (b) elevation perpendicular to the direction of loading; (c) plan. Dimensions in mm.
One metallic damper was installed in each story along the direction of shaking. The type of metallic damper used was developed by the authors in past studies [34] and is named web plastification damper (WPD). The details of the WPDs are shown in Figure 15. The WPD is constructed by assembling several short-length segments of I-shaped steel sections and two U-shaped steel bars. The WPD is installed in the structure as a diagonal bar connecting two consecutive floor levels. When the damper is subjected to axial deformations, the webs of the I-sections are forced to undergo out of plane plastic deformations. The two U-shaped steel bars function as auxiliary elements aimed to transfer the horizontal forces from the slabs to the I-shaped steel sections and are designed to remain elastic.
Figure 15.
Metallic dampers tested: (a) damper 2 (second story); (b) damper 1 (first story) (dimensions in mm).
5.2. Test Set-Up and Instrumentation
The RC elements of the test model were instrumented with strain gages attached to the longitudinal reinforcement, uniaxial accelerometers and displacement transducers (linear variable differential transformers, LVDT). The ends of the WPDs were also instrumented with strain gages that measured the axial forces acting on them. The accelerometers and the LVDT’s provided the horizontal accelerations and displacements of the masses. Additional LVDTs installed in the WPDs measured their axial displacements. Data were acquired continuously with a scan frequency of 200 Hz. Figure 16 offers a general view of the experimental set up.
Figure 16.
Test set-up.
5.3. Seismic Simulations
The test model was subjected to three consecutive seismic simulations. In each simulation, the shaking table reproduced the accelerogram recorded at Calitri during the Campano-Lucano earthquake (Italy, 1980) scaled in time by the factor 0.63. In the first seismic simulation, C100, the original accelerogram was applied without scaling in amplitude. In the second simulation, C200, the amplitude of the original accelerogram was multiplied by two, and in the third simulation C300 by three. The resulting peak accelerations applied to the shaking table were 0.16, 0.31, and 0.47 g, respectively (here g is the acceleration of gravity). Figure 17a shows the accelerogram (scaled only in time by 0.63) and Figure 17b the corresponding elastic spectrum EI-T corresponding to a damping fraction of ξ = 1.8% (i.e., the damping fraction measured during the test as discussed later).
Figure 17.
Accelerogram (a) and input energy spectrum (b) used in the shaking table tests.
5.4. Test Results
The readings provided by the gauges attached to the steel reinforcement of the RC elements indicate that the strains remained below or very close to the yield strain, meaning that the RC main structure remained elastic during the tests. This is corroborated by the fact that the damping fraction ξ obtained experimentally from free vibration tests conducted at the end of each seismic simulation remained constant (ξ = 1.8%). The maximum inter-story drifts IDI were 0.74% in the first story and 0.86% in the second one. These IDIs are slightly below and above, respectively, the value assumed in codes for the elastic limit of RC waffle-flat slab structures (0.75%). The corresponding ductility factors were and for the first and second stories respectively.
In contrast to the main structure, the WPDs underwent plastic deformations. Figure 18 and Figure 19 show the axial force versus axial displacement curves, N-d, measured on the metallic dampers installed in the first (Figure 18) and second story (Figure 19) in each seismic simulation. The energy dissipated by each damper at the end of the tests is obtained by integrating these N-d curves. Specifically, at the end of the tests the hysteretic energy dissipated by the damper of the first story was Eh1 = 4885 kNmm and that of the damper of the second story Eh2 = 3073 kNmm. The corresponding normalized ratios ηi = Ehi/(sQyi × sδyi) are η1 = 33.4 and η2 = 27.2 for the first and second stories. The values of sQyi and sδyi used for obtaining ηi were calculated with the equations developed in [34], as discussed in the next subsection.
Figure 18.
Axial force vs. axial displacement in the metallic damper of the first story for the seismic simulations C100 (a), C200 (b) and C300 (c).
Figure 19.
Axial force vs. axial displacement in the metallic damper of the second story for the seismic simulations C100 (a), C200 (b) and C300 (c).
5.5. Discussion
A nonlinear finite element model representing the test model without the dampers was developed using Engineer’s Studio software (V.1.07.02, Forum-8, London, UK) [35]. The numerical model was subjected to nonlinear static pushover analysis by applying an inverted triangle distribution of lateral forces. From this analysis, the lateral stiffness fki and yield strength fQyi of the main RC structure (without dampers) was obtained, giving fk1 = 3.6 kN/mm and fQy1 = 20.6 kN in the first story, and fk2 = 4.1 kN/mm and fQy2 = 22.4 kN in the second story. The lateral stiffness ski and yield strength sQyi provided by the dampers was calculated with the equations developed in [34] giving sk1 = 31.3 kN/mm and sQy1 = 68.7 kN in the first story, and sk2 = 24.8 kN/mm and sQy2 = 53 kN in the second story. Given these sQyi’s, the actual yield shear force coefficients of the energy dissipation system corresponding to the lateral strengths sQyi indicated above are sα1 = 0.63 in the first story and sα2 = 0.77 in the second story, and the distribution is and . Using Equation (16), the total yield shear force coefficients of the tested structure are α1 = 0.70 in the first story and α2 = 0.9 in the second story, and the distribution is and for the first and second stories, respectively.
Meanwhile, idealizing the test model as a lumped mass system with two degrees of freedom (the horizontal displacement of each mass m1 and m2), and using the mi and fki indicated above, the vibration periods Ti and the corresponding vibration modes vectors φi of the RC main structure in elastic conditions were determined, giving T1 = 0.15s, φ1 = [1, 0.518] for the first mode and T2 = 0.05s, φ2 = [−0.3, 1] for the second one. With the above information, the ψmn,i parameters were calculated with Equation (22), giving ψm1,1 = 0.594 and ψm1,2 = 0.406 in the first mode, and ψm2,1 = 0.428 and ψm1,2 = 0.572 in the second mode. Further, using the input energy spectrum EI-T of the accelerogram applied to the shaking table (Figure 17b) and applying the procedure explained at the end of Section 4.1, the inelastic hysteretic energy spectra Eh-T of the scaled accelerograms applied to the shaking table were calculated. Substituting the ’s provided by these spectra in Equation (17) and using the ψmn,i’s and other dynamic properties indicated above, the values of the optimum yield shear force coefficient distribution proposed in this study, Equations (17) and (22), were calculated giving and . The values are very close to the actual yield-shear force coefficient distribution of the tested structure (i.e., and ). This explains why the cumulative plastic deformation ratios were very similar in the two stories (i.e., η1 = 33.4 and η2 = 27.2), as well as the ductility factors (i.e., and ), as shown in Section 5.4. This finding serves to validate, experimentally, the optimum yield-shear force coefficient distribution proposed in this study.
6. Conclusions
Past earthquakes have accentuated the importance of preventing a concentration of damage in multi-storey buildings, since it is a prevalent cause of collapse. Such an objective can be attained by using an appropriate distribution of lateral strength, one that can be expressed in terms of yield shear force coefficients. The present study focusses on structures with metallic dampers, proposing a new approach to obtain an optimum distribution of the yield shear force coefficients among stories, , that makes the damage–expressed in terms of cumulative plastic strain energy normalized by the product of yield strength and yield inter-story drift—approximately equal in all stories. The proposed optimum distribution is derived by applying modal analysis formulation and adopting two basic assumptions. One is that the damage spreads out evenly among the stories regardless of the level of plastic deformation. The second is that the ductility demand is approximately the same in all stories. These assumptions are supported by the results of past studies; the second one is further assessed in this study both numerically and experimentally. The proposed optimum distribution is validated through numerical simulations and shaking table tests. The new distribution if compared with the “exact” distribution obtained from non-linear time history analyses, and with the distribution proposed by Benavent-Climent in previous studies, , leads us to these main conclusions:
- (1)
- is in good agreement with ; the ratio ranges between 0.9 to 1.2 and the coefficient of variation (COV) is less than 0.10;
- (2)
- improves significantly upon the one proposed by Benavent-Climent. , particularly for the upper 1/3 of the height of the structure.
- (3)
- The interstory-drifts of the structures designed with or with are very similar.
- (4)
- Deviations of the yield-shear force coefficient distribution with respect to , inevitably causes deviations of ηi from the aspired even distribution of damage (i.e., ηi = η equal in all stories). Nonetheless, if such deviations of the yield-shear force coefficient distribution are less than about 20%: (i) the variations of ηi among stories are small, thus damage concentration becomes a minor problem, and (ii) the inter-story drifts scarcely deviate from those obtained with
- (5)
- In structures having the optimum yield-shear force distribution, the ductility demand is approximately the same for all stories.
Author Contributions
A.B.-C. conceived the overall idea of the methodology. J.D.-Á. developed the idea, carried out the numerical modelling, the corresponding non-linear calculations, postprocessed the data and wrote a first draft. Both authors reviewed and supervised the final version of the manuscript. All authors have read and agreed to the published version of the manuscript.
Funding
This research was funded by Spanish Ministry of Economy and Competitivity, research project reference MEC BIA2017 88814 R and received funds from the European Union (Fonds Européen de Dévelopment Régional).
Conflicts of Interest
The authors declare no conflict of interest.
Appendix A
Table A1.
Near-field ground motion records used in the analyses.
Table A1.
Near-field ground motion records used in the analyses.
| Earthquake | Record | Country | Year | TNH (s) | TG (s) | PGA (cm2/s) | PGV (cm2/s) | ID |
|---|---|---|---|---|---|---|---|---|
| El Centro | El Centro | EE.UU | 1940 | 0.60 | 0.46 | 341.31 | 37.23 | 8.95 |
| Hyogo-ken Nanbu | Kobe | Japan | 1995 | 0.84 | 0.34 | 820.32 | 90.24 | 7.11 |
| Lorca | Lorca | Spain | 2011 | 0.43 | 0.46 | 325.84 | 35.40 | 2.40 |
| Friuli | Tolmezzo | Italy | 1976 | 0.51 | 0.27 | 349.85 | 20.96 | 6.80 |
| Alkion | Korinthos | Greece | 1981 | 0.80 | 0.54 | 225.66 | 22.43 | 7.89 |
| Duzce | Duzce | Turkey | 1999 | 0.70 | 0.43 | 369.88 | 35.72 | 12.17 |
| Kalamata | Kalamata | Greece | 1986 | 0.50 | 0.56 | 327.50 | 25.97 | 3.01 |
Table A2.
Far-field ground motion records used in the analyses
Table A2.
Far-field ground motion records used in the analyses
| Earthquake | Record | Country | Year | TNH (s) | TG (s) | PGA (cm2/s) | PGV (cm2/s) | ID |
|---|---|---|---|---|---|---|---|---|
| Izmit | Duzce | Turkey | 1999 | 0.60 | 0.35 | 303.77 | 41.35 | 5.11 |
| Northridge | Montebello | EE.UU. | 1994 | 0.39 | 0.30 | 163.34 | 11.02 | 11.22 |
| Montenegro | Petrovac | Montenegro | 1979 | 0.64 | 0.46 | 445.30 | 38.37 | 16.54 |
| Tokachi-oki | Hachinoe | Japan | 1968 | 0.35 | 0.49 | 224.39 | 43.19 | 5.82 |
| Kern County | Taft | EE.UU. | 1952 | 0.70 | 0.35 | 152.90 | 17.15 | 12.97 |
| Campano Lucano | Calitri | Italy | 1980 | 1.00 | 1.20 | 155.00 | 26.16 | 16.51 |
| Tabas | Tabas | Iran | 1978 | 0.25 | 0.30 | 908.35 | 84.34 | 9.75 |
Appendix B
Akiyama [7] proposed a simple method to obtain the lengthened period, Tmax, as opposed to the elastic one T, of a SDOF with elastic-perfectly plastic restoring force characteristics that undergoes plastic deformations characterized by the maximum deformation ratio, μ. Tmax is obtained by calculating the time it takes the system to complete a cycle of deformation in free vibration (path O–A–B–C–D–E–O in Figure A1a). The procedure proposed by Akiyama is extended here to structures with metallic dampers that are characterized by a post elastic stiffness (A–B and DE, Figure A1b) exerted by the flexible part.
Figure A1.
Deformation cycle of a SDOF system corresponding to μ: (a) Elastic-Perfectly plastic structure; (b) structure with metallic dampers.
Figure A1.
Deformation cycle of a SDOF system corresponding to μ: (a) Elastic-Perfectly plastic structure; (b) structure with metallic dampers.

The differential equation that governs the movement of the SDOF system along paths O–A and B–C in free vibration (Figure A1b) is:
where y(t) is the displacement, t the time, , M is the mass of the system and mk is the lateral stiffness of the system obtained by adding fk and sk. Along paths O–A and B–C, the solutions are the following:
• O–A:
Boundary conditions: y(0) = 0;
Taking into account that , the time taken by the SDOF systems from O to A, tOA, is the following:
• B–C:
Boundary conditions: ;
Since , the time taken by SDOF systems from B to C, tBC, is obtained as follows:
For SDOF systems in free vibration having undergone a plastic deformation represented by µ, the differential equation for the stretch A–B (Figure A1b) is:
where .
The solution is obtained as follows:
• Segment A–B:
Boundary conditions: ; using Equations (A2) and (A3).
Taking into account that in Equation (A7), the time taken by SDOF systems from A to B, tAC, is obtained as follows:
Eventually, the time taken by the SDOF system to complete the path from O to C, tOC, is Tmax/2 [7] and it is obtained by adding tOA (Equation (A3)), tAB (Equation (A8)), and tBC (Equation (A5)). Therefore, Tmax can be expressed as:
Furthermore, the ductility µ can be calculated by means of the quotient (yB-yA)/yA. Taking into account Equations (A2), (A3), (A7), and (A8) the following expression is obtained for µ:
It is important to note that µ obtained from Equation (A10) decreases monotonically with respect to α0. Furthermore, Tmax relies on the value of α0. For this reason, an iterative procedure is necessary to obtain Tmax for a given µtarget as follows:
- (1)
- A tentative value is adopted for α0 taking into account that 0 < α0 < 1.
- (2)
- tAB is obtained from Equation (A8) and the result, together with α0, is used in Equation (A10) to obtain µiter.
- (3)
- If µiter = µtarget (with a fixed tolerance) the valid value for α0 is found, used in Equation (A9) to obtain Tmax. If not, the procedure is repeated from step 1 with a new value for α0.
References
- Veletsos, A.; Newmark, N.M. Effect of inelastic behavior on the response of simple systems to earthquake motions. In Proceedings of the 2nd World Conference on Earthquake Engineering; Earthquake Engineering Research Institute: Tokyo, Japan, 1960; pp. 895–912. [Google Scholar]
- CEN. European standard EN 1998-1:2004 Eurocode 8: Design of structures for earthquake resistance; European Committee for Standardization: Brussels, Belgium, 2005. [Google Scholar]
- Uang, C.-M.; Bertero, V.V. Evaluation of seismic energy in structures. Earthq. Eng. Struct. Dyn. 1990, 19, 77–90. [Google Scholar] [CrossRef]
- Kuntz, G.L.; Browning, J.A. Reduction of column yielding during earthquakes for reinforced concrete frames. ACI Struct. J. 2003, 100, 573–580. [Google Scholar]
- Fardis, M.N. From force-to displacement-based seismic desing of concrete structures and beyond. In Proceedings of the 16 European Conference on Earthquake Engineering; Springer: Thessaloniki, Greece, 2018; pp. 1–20. [Google Scholar]
- Housner, G.W. Limit Design of Structures to Resist Earthquakes. In Proceedings of the 1st WCEE; Earthquake Engineering Research Institute: Oakland, CA, USA, 1956; pp. 1–13. [Google Scholar]
- Akiyama, H. Earthquake resistant limit-state design for buildings (English Version); University of Tokyo Press: Tokyo, Japan, 1985. [Google Scholar]
- Building Research Institute. Earthquake-resistant structural calculation based on energy balance. In The Building Standard Law of Japan; The Building Center of Japan: Tokyo, Japan, 2009; pp. 414–423. [Google Scholar]
- De Domenico, D.; Ricciardi, G.; Takewaki, I. Design strategies of viscous dampers for seismic protection of building structures: A review. Soil Dyn. Earthq. Eng. 2019, 118, 144–165. [Google Scholar] [CrossRef]
- Deguchi, Y.; Kawashima, T.; Yamanari, M.; Ogawa, K. Sesimic design load distribution in steel frame. In Proceedings of the 14th World Conference on Earthquake Engineering, Beijing, China, 12–17 October 2008. [Google Scholar]
- Building Research Institute. Notification No. 1793 (1980): Stipulation of the value of Z, methods of calculating and Rt and Ai and standards for the designation by the Designated Administrative Organization of districts where the ground is extremely soft. In The Building Standard Law of Japan; The Building Center of Japan, Ed.; The Building Center of Japan: Tokyo, Japan, 2009; pp. 42–43. [Google Scholar]
- Benavent-Climent, A. An energy-based method for seismic retrofit of existing frames using hysteretic dampers. Soil Dyn. Earthq. Eng. 2011, 31, 1385–1396. [Google Scholar] [CrossRef]
- Kuwamura, H.; Galambos, T. Earthquake load for structural reliability. J. Struct. Eng. 1989, 115, 1446–1462. [Google Scholar] [CrossRef]
- Fajfar, P.; Vidic, T. Consistent inelastic design spectra: Hysteretic and input energy. Earthq. Eng. Struct. Dyn. 1994, 23, 523–537. [Google Scholar] [CrossRef]
- Lawson, R.; Krawinkler, H. Cumulative damage potential of seismic ground motion. In Proceedings of the 10th European Conference on Earthquake Engineering; Balkema: Vienna, Austria, 1995; pp. 1079–1086. [Google Scholar]
- Decanini, L.D.; Mollaioli, F. An energy-based methodology for the assessment of seismic demand. Soil Dyn. Earthq. Eng. 2001, 21, 113–137. [Google Scholar] [CrossRef]
- Benavent-Climent, A.; López-Almansa, F.; Bravo-González, D.A. Design energy input spectra for moderate-to-high seismicity regions based on Colombian earthquakes. Soil Dyn. Earthq. Eng. 2010, 30, 1129–1148. [Google Scholar] [CrossRef]
- López-Almansa, F.; Yazgan, A.U.; Benavent-Climent, A. Design energy input spectra for high seismicity regions based on Turkish registers. Bull. Earthq. Eng. 2013, 11, 885–912. [Google Scholar] [CrossRef]
- Chou, C.-C.; Uang, C.-M. A procedure for evaluating seismic energy demand of framed structures. Earthq. Eng. Struct. Dyn. 2003, 32, 229–244. [Google Scholar] [CrossRef]
- De Domenico, D.; Ricciardi, G. Dynamic response of non-classically damped structures via reduced-order complex modal analysis: Two novel truncation measures. J. Sound Vib. 2019, 452, 169–190. [Google Scholar] [CrossRef]
- Ministerio Fomento. Código Técnico de la Edificación. Documento Básico SE-AE; Centro Publicaciones. Secretaria General Técnica. M.Fomento: Madrid, Spain, 2008. [Google Scholar]
- Ministerio Fomento. Instrucción de Hormigón Estructural. EHE-08; Centro Publicaciones. Secretaria General Técnica. M.Fomento: Madrid, Spain, 2008. [Google Scholar]
- Cosenza, E.; Manfredi, G. Damage indices and damage measures. Prog. Struct. Eng. Mater. 2000, 2, 50–59. [Google Scholar] [CrossRef]
- SEAOC. Vision 2000: Performance Based Seismic Engineering of Buildings (VOL. 1), Prepared by Vision 2000 Committee; SEAOC: Sacramento, CA, USA, 1995. [Google Scholar]
- Benavent-Climent, A.; Donaire-Avila, J.; Oliver-Saiz, E. Shaking table tests of a reinforced concrete waffle-flat plate structure designed following modern codes: Seismic performance and damage evaluation. Earthq. Eng. Struct. Dyn. 2016, 45, 315–336. [Google Scholar] [CrossRef]
- Benavent-Climent, A.; Donaire-Avila, J.; Oliver-Sáiz, E. Seismic performance and damage evaluation of a waffle-flat plate structure with hysteretic dampers through shake-table tests. Earthq. Eng. Struct. Dyn. 2018, 47, 1250–1269. [Google Scholar] [CrossRef]
- Benavent-Climent, A.; Galé-Lamuela, D.; Donaire-Avila, J. Energy capacity and seismic performance of RC waffle-flat plate structures under two components of far-field ground motions: Shake table tests. Earthq. Eng. Struct. Dyn. 2019, 48, 949–969. [Google Scholar] [CrossRef]
- San, B.; Waisman, H.; Harari, I. Analytical and numerical shape optimization of a class of structures under mass constraints and self-weight. J. Eng. Mech. 2020, 146, 04019109. [Google Scholar] [CrossRef]
- Ehsani, A.; Dalir, H. Multi-objective optimization of composite angle grid plates for maximum buckling load and minimum weight using genetic algorithms and neural networks. Compos. Struct. 2019, 229, 111450. [Google Scholar] [CrossRef]
- Michael, R.; Torczon, V.; Trosset, M.W. Direct search methods: Then and now. J. Comput. Appl. Math. 2000, 124, 191–207. [Google Scholar]
- Kokil, A.S.; Shrikhande, M. Optimal placement of supplemental dampers in seismic design of structures. J. Seismol. Earthq. Eng. 2007, 9, 125–135. [Google Scholar]
- Bagheri, A.; Amini, F. Control of structures under uniform hazard earthquake excitation via wavelet analysis and pattern search method. Struct. Control. Heal. Monit. 2013, 20, 671–685. [Google Scholar] [CrossRef]
- Kourehli, S.S.; Amiri, G.G.; Ghafory-Ashtiany, M.; Bagheri, A. Structural damage detection based on incomplete modal data using pattern search algorithm. J. Vib. Control 2013, 19, 821–833. [Google Scholar] [CrossRef]
- Benavent-Climent, A.; Morillas, L.; Vico, J. A study on using wide-flange section web under out-of-plane flexure for passive energy dissipation. Earthq. Eng. Struct. Dyn. 2011, 40, 473–490. [Google Scholar] [CrossRef]
- Forum-8. Engineer’s Studio V.1.07.02 (Computer Program.); FORUM-8: London, UK, 2012. [Google Scholar]
© 2020 by the authors. Licensee MDPI, Basel, Switzerland. This article is an open access article distributed under the terms and conditions of the Creative Commons Attribution (CC BY) license (http://creativecommons.org/licenses/by/4.0/).


















